Assessment of the Chemical Reactivity of Brazilian Stone Cutting Plant Waste into Cementitious Matrices
Abstract
1. Introduction
2. Literature on Dimension Stone Waste Use on Cement Matrices
2.1. DSW Replacing the Fine Aggregates
2.2. DSW Replacing the Cement
3. Materials and Methods
3.1. Raw Materials Characterization
3.2. Cement Pastes: Production and Characterization
4. Results
4.1. Physicochemical Characteristics of the Raw Materials
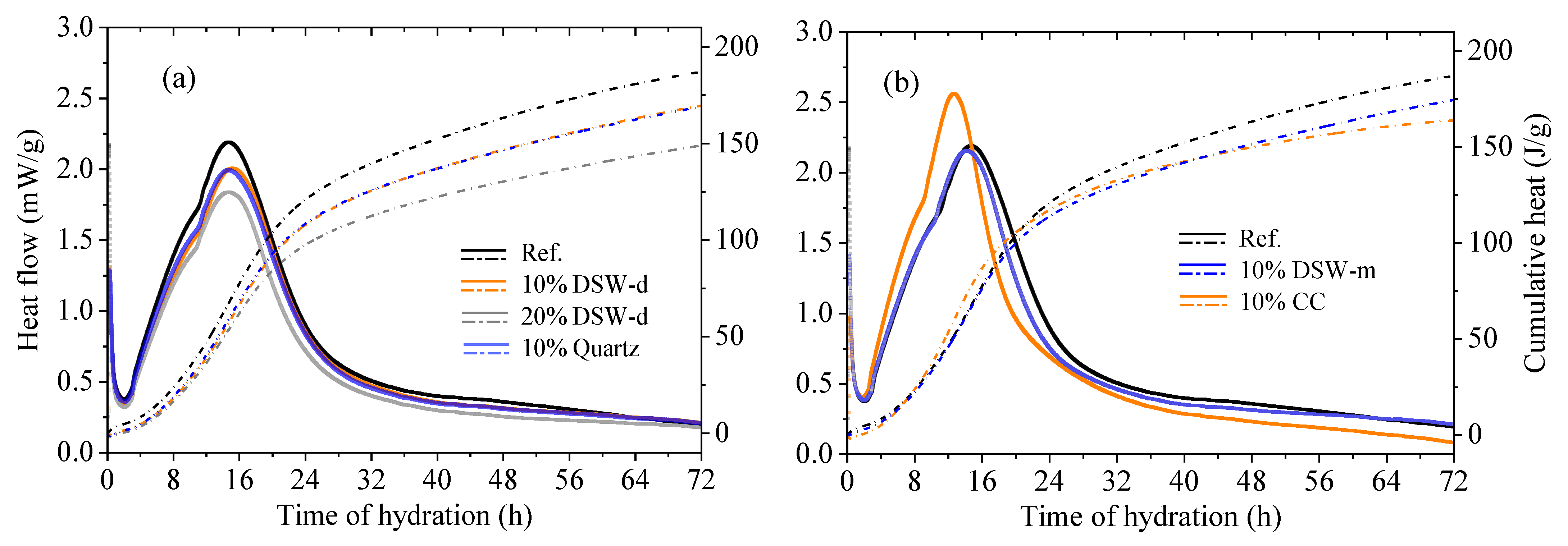
4.2. Characterization of Cement Pastes
5. Conclusions
Author Contributions
Funding
Data Availability Statement
Conflicts of Interest
References
- Careddu, N.; Dino, G.A. Reuse of Residual Sludge from Stone Processing: Differences and Similarities between Sludge Coming from Carbonate and Silicate Stones—Italian Experiences. Environ. Earth Sci. 2016, 75, 1075. [Google Scholar] [CrossRef]
- Torres, P.; Fernandes, H.R.; Olhero, S.; Ferreira, J.M.F. Incorporation of Wastes from Granite Rock Cutting and Polishing Industries to Produce Roof Tiles. J. Eur. Ceram. Soc. 2009, 29, 23–30. [Google Scholar] [CrossRef]
- Ulubeyli, G.C.; Artir, R. Properties of Hardened Concrete Produced by Waste Marble Powder. Procedia Soc. Behav. Sci. 2015, 195, 2181–2190. [Google Scholar] [CrossRef]
- Demirel, B.; Alyamaç, K.E. Waste Marble Powder/Dust. In Waste and Supplementary Cementitious Materials in Concrete; Elsevier: Amsterdam, The Netherlands, 2018; pp. 181–197. [Google Scholar]
- Alyamaç, K.E.; Aydin, A.B. Concrete Properties Containing Fine Aggregate Marble Powder. KSCE J. Civ. Eng. 2015, 19, 2208–2216. [Google Scholar] [CrossRef]
- Simão, L.; Souza, M.T.; Ribeiro, M.J.; Montedo, O.R.K.; Hotza, D.; Novais, R.M.; Raupp-Pereira, F. Assessment of the Recycling Potential of Stone Processing Plant Wastes Based on Physicochemical Features and Market Opportunities. J. Clean. Prod. 2021, 319, 128678. [Google Scholar] [CrossRef]
- Simão, L.; Hotza, D.; Raupp-Pereira, F.; Labrincha, J.A.; Montedo, O.R.K. Characterization of Pulp and Paper Mill Waste for the Production of Waste-Based Cement. Rev. Int. Contam. Ambient. 2019, 35, 237–246. [Google Scholar] [CrossRef]
- Akbulut, H.; Gürer, C. Use of Aggregates Produced from Marble Quarry Waste in Asphalt Pavements. Build. Environ. 2007, 42, 1921–1930. [Google Scholar] [CrossRef]
- Castro, N.F.; Marcon, D.B.; Freire, L.C.; Lima, E.F.; de Almeida, P.F.A. Impacto Do APL de Rochas Ornamentais Do Espírito Santo Nas Comunidas (Impact of the Ornamental Stones APL of Espírito Santo in the Communities). Cent. Tecnol. Miner. Minist. Ciênc. Tecnol. Inov. 2012, 2, 139–176. [Google Scholar]
- Omar, O.M.; Abd Elhameed, G.D.; Sherif, M.A.; Mohamadien, H.A. Influence of Limestone Waste as Partial Replacement Material for Sand and Marble Powder in Concrete Properties. HBRC J. 2012, 8, 193–203. [Google Scholar] [CrossRef]
- Zunino, F.; Scrivener, K. The Influence of the Filler Effect on the Sulfate Requirement of Blended Cements. Cem. Concr. Res. 2019, 126, 105918. [Google Scholar] [CrossRef]
- Maier, M.; Sposito, R.; Beuntner, N.; Thienel, K.-C. Particle Characteristics of Calcined Clays and Limestone and Their Impact on Early Hydration and Sulfate Demand of Blended Cement. Cem. Concr. Res. 2022, 154, 106736. [Google Scholar] [CrossRef]
- Oey, T.; Kumar, A.; Bullard, J.W.; Neithalath, N.; Sant, G. The Filler Effect: The Influence of Filler Content and Surface Area on Cementitious Reaction Rates. J. Am. Ceram. Soc. 2013, 96, 1978–1990. [Google Scholar] [CrossRef]
- Mejdi, M.; Saillio, M.; Chaussadent, T.; Divet, L.; Tagnit-Hamou, A. Hydration Mechanisms of Sewage Sludge Ashes Used as Cement Replacement. Cem. Concr. Res. 2020, 135, 106115. [Google Scholar] [CrossRef]
- Bentz, D.P.; Ferraris, C.F.; Galler, M.A.; Hansen, A.S.; Guynn, J.M. Influence of Particle Size Distributions on Yield Stress and Viscosity of Cement–Fly Ash Pastes. Cem. Concr. Res. 2012, 42, 404–409. [Google Scholar] [CrossRef]
- Khyaliya, R.K.; Kabeer, K.I.S.A.; Vyas, A.K. Evaluation of Strength and Durability of Lean Mortar Mixes Containing Marble Waste. Constr. Build. Mater. 2017, 147, 598–607. [Google Scholar] [CrossRef]
- Arel, H.S. Recyclability of Waste Marble in Concrete Production. J. Clean. Prod. 2016, 131, 179–188. [Google Scholar] [CrossRef]
- Gesoğlu, M.; Güneyisi, E.; Kocabağ, M.E.; Bayram, V.; Mermerdaş, K. Fresh and Hardened Characteristics of Self Compacting Concretes Made with Combined Use of Marble Powder, Limestone Filler, and Fly Ash. Constr. Build. Mater. 2012, 37, 160–170. [Google Scholar] [CrossRef]
- Hanifi, B.; Hasan, K.; Salih, Y. Influence of Marble and Limestone Dusts as Additives on Some Mechanical Properties of Concrete. Sci. Res. Essays 2007, 2, 372–379. [Google Scholar]
- Hebhoub, H.; Aoun, H.; Belachia, M.; Houari, H.; Ghorbel, E. Use of Waste Marble Aggregates in Concrete. Constr. Build. Mater. 2011, 25, 1167–1171. [Google Scholar] [CrossRef]
- Rodrigues, R.; de Brito, J.; Sardinha, M. Mechanical Properties of Structural Concrete Containing Very Fine Aggregates from Marble Cutting Sludge. Constr. Build. Mater. 2015, 77, 349–356. [Google Scholar] [CrossRef]
- Corinaldesi, V.; Moriconi, G.; Naik, T.R. Characterization of Marble Powder for Its Use in Mortar and Concrete. Constr. Build. Mater. 2010, 24, 113–117. [Google Scholar] [CrossRef]
- Vardhan, K.; Siddique, R.; Goyal, S. Strength, Permeation and Micro-Structural Characteristics of Concrete Incorporating Waste Marble. Constr. Build. Mater. 2019, 203, 45–55. [Google Scholar] [CrossRef]
- Mashaly, A.O.; El-Kaliouby, B.A.; Shalaby, B.N.; El-Gohary, A.M.; Rashwan, M.A. Effects of Marble Sludge Incorporation on the Properties of Cement Composites and Concrete Paving Blocks. J. Clean. Prod. 2016, 112, 731–741. [Google Scholar] [CrossRef]
- Rana, A.; Kalla, P.; Csetenyi, L.J. Sustainable Use of Marble Slurry in Concrete. J. Clean. Prod. 2015, 94, 304–311. [Google Scholar] [CrossRef]
- Vardhan, K.; Goyal, S.; Siddique, R.; Singh, M. Mechanical Properties and Microstructural Analysis of Cement Mortar Incorporating Marble Powder as Partial Replacement of Cement. Constr. Build. Mater. 2015, 96, 615–621. [Google Scholar] [CrossRef]
- Singh, M.; Srivastava, A.; Bhunia, D. An Investigation on Effect of Partial Replacement of Cement by Waste Marble Slurry. Constr. Build. Mater. 2017, 134, 471–488. [Google Scholar] [CrossRef]
- Musil, L.; Cibulka, T.; Chylik, J.; Vodicka, R. Characterization of Fillers Made of Natural Stones as a Cement Substitute. IOP Conf. Ser. Mater. Sci. Eng. 2021, 1039, 012007. [Google Scholar] [CrossRef]
- Khodabakhshian, A.; Ghalehnovi, M.; de Brito, J.; Shamsabadi, E.A. Durability Performance of Structural Concrete Containing Silica Fume and Marble Industry Waste Powder. J. Clean. Prod. 2018, 170, 42–60. [Google Scholar] [CrossRef]
- Careddu, N.; Marras, G.; Siotto, G. Recovery of Sawdust Resulting from Marble Processing Plants for Future Uses in High Value-Added Products. J. Clean. Prod. 2014, 84, 533–539. [Google Scholar] [CrossRef]
- Ercikdi, B.; Külekci, G.; Yılmaz, T. Utilization of Granulated Marble Wastes and Waste Bricks as Mineral Admixture in Cemented Paste Backfill of Sulphide-Rich Tailings. Constr. Build. Mater. 2015, 93, 573–583. [Google Scholar] [CrossRef]
- Acchar, W.; Vieira, F.A.; Hotza, D. Effect of Marble and Granite Sludge in Clay Materials. Mater. Sci. Eng. A 2006, 419, 306–309. [Google Scholar] [CrossRef]
- Monteiro, S.N.; Peçanha, L.A.; Vieira, C.M.F. Reformulation of Roofing Tiles Body with Addition of Granite Waste from Sawing Operations. J. Eur. Ceram. Soc. 2004, 24, 2349–2356. [Google Scholar] [CrossRef]
- Vieira, C.M.; Soares, T.; Sánchez, R.; Monteiro, S. Incorporation of Granite Waste in Red Ceramics. Mater. Sci. Eng. A 2004, 373, 115–121. [Google Scholar] [CrossRef]
- Torres, P.; Manjate, R.S.; Quaresma, S.; Fernandes, H.R.; Ferreira, J.M.F. Development of Ceramic Floor Tile Compositions Based on Quartzite and Granite Sludges. J. Eur. Ceram. Soc. 2007, 27, 4649–4655. [Google Scholar] [CrossRef]
- Segadães, A.M.; Carvalho, M.A.; Acchar, W. Using Marble and Granite Rejects to Enhance the Processing of Clay Products. Appl. Clay Sci. 2005, 30, 42–52. [Google Scholar] [CrossRef]
- Vardhan, K.; Siddique, R.; Goyal, S. Influence of Marble Waste as Partial Replacement of Fine Aggregates on Strength and Drying Shrinkage of Concrete. Constr. Build. Mater. 2019, 228, 116730. [Google Scholar] [CrossRef]
- Raupp-Pereira, F.; Ball, R.J.; Rocha, J.; Labrincha, J.A.; Allen, G.C. New Waste Based Clinkers: Belite and Lime Formulations. Cem. Concr. Res. 2008, 38, 511–521. [Google Scholar] [CrossRef]
- Çelik, M.Y.; Sabah, E. Geological and Technical Characterisation of Iscehisar (Afyon-Turkey) Marble Deposits and the Impact of Marble Waste on Environmental Pollution. J. Environ. Manag. 2008, 87, 106–116. [Google Scholar] [CrossRef]
- Yeşilay, S.; Çakı, M.; Ergun, H. Usage of Marble Wastes in Traditional Artistic Stoneware Clay Body. Ceram. Int. 2017, 43, 8912–8921. [Google Scholar] [CrossRef]
- Tozsin, G.; Oztas, T.; Arol, A.I.; Kalkan, E.; Duyar, O. The Effects of Marble Wastes on Soil Properties and Hazelnut Yield. J. Clean. Prod. 2014, 81, 146–149. [Google Scholar] [CrossRef]
- Souza, M.T.; Simão, L.; de Moraes, E.G.; Senff, L.; Pessôa, J.R.C.; Ribeiro, M.J.; de Oliveira, A.P.N. Role of Temperature in 3D Printed Geopolymers: Evaluating Rheology and Buildability. Mater. Lett. 2021, 293, 129680. [Google Scholar] [CrossRef]
- Souza, M.T.; Ferreira, I.M.; Guzi de Moraes, E.; Senff, L.; de Oliveira, A.P.N. 3D Printed Concrete for Large-Scale Buildings: An Overview of Rheology, Printing Parameters, Chemical Admixtures, Reinforcements, and Economic and Environmental Prospects. J. Build. Eng. 2020, 32, 101833. [Google Scholar] [CrossRef]
- TSouza, M.T.; Ferreira, I.M.; de Moraes, E.G.; Senff, L.; Arcaro, S.; Pessôa, J.R.C.; Ribeiro, M.J.; de Oliveira, A.P.N. Role of Chemical Admixtures on 3D Printed Portland Cement: Assessing Rheology and Buildability. Constr. Build. Mater. 2022, 314, 125666. [Google Scholar] [CrossRef]
- Souza, M.T.; Sakata, R.D.; Onghero, L.; Magalhães, L.C.; de Campos, C.E.M.; de Oliveira, A.P.N.; Repette, W.L. Insights into the “Accelerating Effect” of Sucrose on Cement Pastes. J. Build. Eng. 2022, 59, 105053. [Google Scholar] [CrossRef]
- Yuan, Q.; Zhou, D.; Khayat, K.H.; Feys, D.; Shi, C. On the Measurement of Evolution of Structural Build-up of Cement Paste with Time by Static Yield Stress Test vs. Small Amplitude Oscillatory Shear Test. Cem. Concr. Res. 2017, 99, 183–189. [Google Scholar] [CrossRef]
- Ramos, G.A.; de Matos, P.R.; Pelisser, F.; Gleize, P.J.P. Effect of Porcelain Tile Polishing Residue on Eco-Efficient Geopolymer: Rheological Performance of Pastes and Mortars. J. Build. Eng. 2020, 32, 101699. [Google Scholar] [CrossRef]
- De Matos, P.R.; de Oliveira, A.L.; Pelisser, F.; Prudêncio, L.R., Jr. Rheological Behavior of Portland Cement Pastes and Self-Compacting Concretes Containing Porcelain Polishing Residue. Constr. Build. Mater. 2018, 175, 508–518. [Google Scholar] [CrossRef]
- Cochet, G.; Sorrentino, F. Limestone Filled Cements: Properties and Uses. In Mineral Admixtures in Cement and Concrete; Sarkar, S.L., Ghosh, S.N., Eds.; ABI Books: New Delhi, India, 1993; pp. 266–295. [Google Scholar]
- Ramachandran, V.S. Thermal Analyses of Cement Components Hydrated in the Presence of Calcium Carbonate. Thermochim. Acta 1988, 127, 385–394. [Google Scholar] [CrossRef]
- Sawicz, Z.; Heng, S.S. Durability of Concrete with Addition of Limestone Powder. Mag. Concr. Res. 1996, 48, 131–137. [Google Scholar] [CrossRef]
- Tsivilis, S.; Chaniotakis, E.; Badogiannis, E.; Pahoulas, G.; Ilias, A. A Study on the Parameters Affecting the Properties of Portland Limestone Cements. Cem. Concr. Compos. 1999, 21, 107–116. [Google Scholar] [CrossRef]
- Péra, J.; Husson, S.; Guilhot, B. Influence of Finely Ground Limestone on Cement Hydration. Cem. Concr. Compos. 1999, 21, 99–105. [Google Scholar] [CrossRef]
- Chloup-Bondant, M.; Edvard, O. Tricalcium Aluminate and Silicate Hydration. Effect of Limestone and Calcium Sulfate. In NMR Spectroscopy of Cement-Based Materials; Colombet, P., Grimmer, A.-R., Zanni, H., Sozanni, P., Eds.; Springer: Berlin/Heidelberg, Germany, 1998; p. 295. [Google Scholar]
- Ramachandran, V.S.; Zhang, C.M. Influence of CaCO3 on hydration and microstructural characteristics of tricalcium silicate. I1 Cem. 1986, 3, 129–152. [Google Scholar]
- Trezza, M.; Lavat, A. Analysis of the System 3CaO·Al2O3–CaSO4·2H2O–CaCO3–H2O by FT-IR Spectroscopy. Cem. Concr. Res. 2001, 31, 869–872. [Google Scholar] [CrossRef]
- Ramachandra, V.S.; Chun-Mei, Z. Hydration Kinetics and Microstructural Development in the 3CaO·Al2O3-CaSO4·2H2O-CaCO3-H2O System. Mater. Struct. 1986, 19, 437–444. [Google Scholar] [CrossRef]
- Kakali, G.; Tsivilis, S.; Aggeli, E.; Bati, M. Hydration Products of C3A, C3S and Portland Cement in the Presence of CaCO3. Cem. Concr. Res. 2000, 30, 1073–1077. [Google Scholar] [CrossRef]
- Feldman, R.F.; Ramachandran, V.S.; Sereda, P.J. Influence of CaCO3 on the Hydration of 3CaO·Al2O3. J. Am. Ceram. Soc. 1965, 48, 25–30. [Google Scholar] [CrossRef]
- Husson, S.; Guilhot, B.; Pera, J. Influence of Different Fillers on the Hydration of C3S. In Proceedings of the 9th International Congress on the Chemistry of Cement, New Delhi, India; National Council for Cement and Building Materials (NCB): Odisha, India, 1992. [Google Scholar]
- Vuk, T.; Tinta, V.; Gabrovšek, R.; Kaučič, V. The Effects of Limestone Addition, Clinker Type and Fineness on Properties of Portland Cement. Cem. Concr. Res. 2001, 31, 135–139. [Google Scholar] [CrossRef]
- Lothenbach, B.; Le Saout, G.; Gallucci, E.; Scrivener, K. Influence of Limestone on the Hydration of Portland Cements. Cem. Concr. Res. 2008, 38, 848–860. [Google Scholar] [CrossRef]
- Matschei, T.; Lothenbach, B.; Glasser, F.P. The Role of Calcium Carbonate in Cement Hydration. Cem. Concr. Res. 2007, 37, 551–558. [Google Scholar] [CrossRef]
- Zajac, M.; Rossberg, A.; Le Saout, G.; Lothenbach, B. Influence of Limestone and Anhydrite on the Hydration of Portland Cements. Cem. Concr. Compos. 2014, 46, 99–108. [Google Scholar] [CrossRef]
- Jansen, D.; Naber, C.; Ectors, D.; Lu, Z.; Kong, X.-M.; Goetz-Neunhoeffer, F.; Neubauer, J. The Early Hydration of OPC Investigated by In-Situ XRD, Heat Flow Calorimetry, Pore Water Analysis and 1H NMR: Learning about Adsorbed Ions from a Complete Mass Balance Approach. Cem. Concr. Res. 2018, 109, 230–242. [Google Scholar] [CrossRef]








| Chemical and Mineralogical Composition | Physical Features | |||||||||||
|---|---|---|---|---|---|---|---|---|---|---|---|---|
| References | SiO2 | CaO | Al2O3 | MgO | Na2O | K2O | Fe2O3 | LoI | Main Minerals | ρ (g/cm3) | SSA (m2/g) | Mean Particle Size (µm) |
| This work (DSW) | 53.7 | 13.4 | 8.9 | 3.1 | 2.4 | 3.5 | 4.7 | 9.6 | Q; Mu; A; Dol | 2.8 | 2.7 | 21.2 |
| Simão et al. [6] | 2.2–7.0 | 41.9–50.6 | 0.6–3.2 | 1.0–10.3 | 0.1–0.8 | 0.2–0.6 | 0.4–1.7 | 35.2–44.2 | Cal; Dol | 2.6 | 2.5 | 6.3 |
| Careddu et al. [30] | <0.6 | 53.2–54.9 | <0.3 | 0.4–0.5 | <0.1 | <0.1 | <0.1 | 45.1–43.8 | Cal | 2.7–2.8 | 1.8–2.4 | 3.4–5.0 |
| Ercikdi et al. [31] | 1.2 | 55.1 | 0.5 | 0.2 | <0.1 | 0.1 | 0.1 | 42.7 | Cal | 2.7 | 0.3 | |
| Acchar et al. [32] | 37.9 | 19.9 | 13.6 | 3.5 | 3.6 | 4.3 | 3.6 | 12.4 | Q; Bi; Al; An; Or; Cal; Dol | |||
| Monteiro et al. [33] | 64.1 | 3.6 | 13.2 | 1.6 | 2.6 | 4.4 | 8.2 | 1.6 | Mi; Q; M; Pla | |||
| Viera et al. [34] | 67.1 | 1.9 | 14.9 | 0.7 | 2.9 | 5.2 | 4.4 | 0.5 | Fel; Mi; Pla; Q | |||
| Torres et al. [35] | 62.1 | 4.0 | 12.8 | 0.8 | 3.3 | 4.3 | 10.6 | 0.7 | Q; Kao; Mi; Al; I; Cal | |||
| Segadães et al. [36] | 47.9 | 12.6 | 12.6 | 4.9 | 2.3 | 2.3 | 3.0 | 13.1 | Mi; Q; Al; Cal; Dol | |||
| Vardhan et al. [37] | 4.7 | 28.7 | 0.2 | 22.3 | 0.1 | <0.1 | 0.5 | 43.7 | Cal; Dol | |||
| Khyaliya et al. [16] | 3.8 | 33.1 | Trace | 17.9 | 0.1 | 45.1 | Cal; Dol | |||||
| Raupp et al. [38] | 0.6 | 54.5 | 0.1 | 0.3 | <0.1 | 0.1 | 0.2 | 43.0 | Cal | |||
| Yavuz et al. [39] | 0.0 | 55.1 | 0.2 | 0.2 | 0.0 | <0.1 | 0.0 | 43.8 | Cal | |||
| Yeşilay et al. [40] | 0.5 | 53.5 | 1.7 | 0.1 | 0.1 | 44.1 | Cal | |||||
| Tozsin et al. [41] | 50.8 | 0.8 | 9.8 | 0.7 | <0.1 | 0.5 | 37.2 | Dol | ||||
| Samples | Cement | w/b | DSW-d | DSW-m | Quartz | Calcium Carbonate |
|---|---|---|---|---|---|---|
| 1 | 95 | 0.4 | 5 | |||
| 2 | 95 | 0.4 | 5 | |||
| 3 | 90 | 0.4 | 10 | |||
| 4 | 90 | 0.4 | 10 | |||
| 5 | 90 | 0.,4 | 10 | |||
| 6 | 90 | 0.4 | 10 | |||
| 7 | 80 | 0.4 | 20 | |||
| 8 | 80 | 0.4 | 20 | |||
| 9 | 70 | 0.4 | 30 | |||
| 10 | 70 | 0.4 | 30 |
| Chemical Composition (wt.%) | ||||||||||||
|---|---|---|---|---|---|---|---|---|---|---|---|---|
| CaO | SiO2 | Al2O3 | MgO | Fe2O3 | SO3 | K2O | Na2O | TiO2 | LoI | |||
| PC | 66.1 | 15.6 | 4.0 | 1.6 | 3.8 | 3.7 | 0.6 | 0.1 | 3.9 | |||
| DSW | 8.9 | 53.7 | 13.4 | 3.0 | 4.7 | 3.5 | 2.4 | 0.9 | 9.6 | |||
| Mineralogical and Physical Characteristics | ||||||||||||
| ρ (g/cm3) | SSA (m2/g) | D10 (μm) | D50 (μm) | D90 (μm) | C3S (%) | C2S (%) | C3A (%) | C4AF (%) | Gypsum+ Bassenite (%) | Calcite (%) | Periclase (%) | |
| PC | 3.1 | 5.7 | 58.3 | 11.5 | 2.8 | 10.0 | 3.4 | 8.2 | 5.0 | |||
| DSW-d | 2.8 | 2.7 | 2.5 | 21.2 | 82.1 | |||||||
| DSW-m | 2.8 | 4.5 | 1.3 | 6.0 | 30.3 | |||||||
Publisher’s Note: MDPI stays neutral with regard to jurisdictional claims in published maps and institutional affiliations. |
© 2022 by the authors. Licensee MDPI, Basel, Switzerland. This article is an open access article distributed under the terms and conditions of the Creative Commons Attribution (CC BY) license (https://creativecommons.org/licenses/by/4.0/).
Share and Cite
Passos, A.B.; Onghero, L.; de Matos, P.R.; Benvenuti, T.; Magalhães, L.C.; de Oliveira, A.P.N.; Pessôa, J.R.d.C.; Simão, L.; Souza, M.T. Assessment of the Chemical Reactivity of Brazilian Stone Cutting Plant Waste into Cementitious Matrices. Sustainability 2022, 14, 16925. https://doi.org/10.3390/su142416925
Passos AB, Onghero L, de Matos PR, Benvenuti T, Magalhães LC, de Oliveira APN, Pessôa JRdC, Simão L, Souza MT. Assessment of the Chemical Reactivity of Brazilian Stone Cutting Plant Waste into Cementitious Matrices. Sustainability. 2022; 14(24):16925. https://doi.org/10.3390/su142416925
Chicago/Turabian StylePassos, Anderson Batista, Lucas Onghero, Paulo Ricardo de Matos, Tatiane Benvenuti, Laurence Colares Magalhães, Antonio Pedro Novaes de Oliveira, José Renato de Castro Pessôa, Lisandro Simão, and Marcelo Tramontin Souza. 2022. "Assessment of the Chemical Reactivity of Brazilian Stone Cutting Plant Waste into Cementitious Matrices" Sustainability 14, no. 24: 16925. https://doi.org/10.3390/su142416925
APA StylePassos, A. B., Onghero, L., de Matos, P. R., Benvenuti, T., Magalhães, L. C., de Oliveira, A. P. N., Pessôa, J. R. d. C., Simão, L., & Souza, M. T. (2022). Assessment of the Chemical Reactivity of Brazilian Stone Cutting Plant Waste into Cementitious Matrices. Sustainability, 14(24), 16925. https://doi.org/10.3390/su142416925

