Abstract
Very little is known about how products derived from the hydrothermal carbonization (HTC) of municipal waste affect the availability and uptake of nitrogen in plant nutrition. This study examined the effects of 60% sewage sludge and 40% food waste HTC products, i.e., biochar (BC) and process water (PW), as nitrogen sources on garden cress growth and quality. A fertilization program using four nitrogen doses [(control), 9, 12, and 15 kg da−1 N] and BC, PW, chemical nitrogen (CN), and their combinations were used in a pot experiment conducted under greenhouse conditions. The highest nitrogen dose often produced better results in terms of plant growth and quality. Additionally, fertilization with PW+CN and BC+CN at the highest nitrogen dose significantly improved plant height, plant fresh and dry weight, and root dry weight parameters of garden cress over the previous treatments. The highest stem diameter, number of leaves, and plant area values were obtained in the 15 kg da−1 N dose PW+BC application. The vitamin C content in cress decreased with the increasing levels of CN. The highest vitamin C content was obtained with 15 kg N da−1 PW fertilization. BC+PW and CN fertilization applications improved chlorophyll a, b, and the total contents of garden cress leaves. Moreover, the nitrate (NO3) concentration of cress increased with CN doses while it decreased in all BC and PW administrations. The 9, 12, and 15 kg N da−1 doses of PW+CN and the 15 kg N da−1 dose of BC+CN yielded the highest agricultural nitrogen utilization efficiency (ANUE) values. Plant nutrient content was positively affected in all fertilization applications, except for Na and Cl. However, it was determined that BC+CN fertilizer application improved plant nutrient uptake. Surprisingly, PW+CN treatment at the lowest nitrogen dosage resulted in the highest soil organic matter and total nitrogen content. In conclusion, it has been determined that biochar and process water have a synergistic effect with CN to increase plant growth by improving nitrogen efficiency, but their application alone without CN is insufficient to meet the nitrogen requirement.
1. Introduction
Garden cress (Lepidium sativum L.), an annual herb of the Brassicaceae family, is rich in health-promoting phytochemical components. Additionally, cress has lately emerged as a new leafy vegetable for fresh produce due to demand from consumers, growers, and processors []. Its leaves are rich in calcium, magnesium, phosphorus, potassium, copper, and manganese. It is an excellent source of fiber, flavonoids, selenium, s-methyl cysteine, sulfoxide, and glucosinolate [,]. In addition to the vitamins, minerals, and several anti-carcinogenic components, its seeds and green parts have been used as a remedy for asthma, cough, skin disorders, and other maladies since ancient times [,]. It has the advantage of reducing constipation due to its high magnesium and calcium content while its higher iodine level helps to strengthen bones [].
It is well known that nitrogen is one of the most crucial nutrients for plant growth and yield. However, crops can only absorb about 30–40% of the nitrogenous fertilizer used, resulting in low utilization efficiency and nitrogen losses that harm the environment [,]. In comparison to cereal production, the greenhouse vegetable system always employs more intensive crop rotations, more frequent watering, and significantly higher nutrient input []. Even though the nitrogen use efficiency of intensive vegetable soil was very poor, annual nitrogen fertilizer inputs in the greenhouse vegetable system were 3–4 times higher than those in the non-vegetable system []. Therefore, developing effective strategies to reduce nitrogen losses in vegetable cultivation and increase nitrogen utilization efficiency is imperative.
It is more important than ever to address the growing global concern about the inappropriate treatment of municipal solid waste. Around 3 billion tons of food is wasted annually, with an estimated 1.3 billion tons rotting in consumer and retail bins as a result of improper handling and harvesting techniques []. Food wastes (FW) are organic and rich in nutrients such as nitrogen, phosphate, and potassium. Composting is a common strategy to create biofertilizers and lessen FW [,]. However, composting has drawbacks with long processing durations, uneven passive air dispersion, and high odor potential, whereas anaerobic digestion has concerns with sluggish hydrolysis, foaming, and the safe disposal of the digested products. It is essential to use processing technologies that can address the aforementioned problems and open doors for more efficient resource recovery. However, sewage sludge (SS) output has dramatically expanded over the past few decades due to rapid urbanization and population growth, reaching over 45 million dry tons globally [,]. Approximately 80% of SS is comprised of water, and it could contain dangerous substances (such as pathogens, personal care products, heavy metals, pharmaceuticals, and other micropollutants) that pose an environmental risk. Given the rising output of SS and its potential impact, the quest for alternative processing technologies has recently caught the interest of researchers []. Agricultural application of SS is already limited and will be subject to more stringent regulation in the future due to its pathogen and heavy metal content. It is thought that the conversion of these wastes into carbonaceous material to improve the soil will have a considerable positive impact on both the economy and ecology []. Therefore, the efficacy of nutrient management based on the circular economy of nutrients can be improved by employing waste for nutrient recovery and reuse in agriculture []. Numerous studies on the subject have revealed that agricultural products and renewable energy can be produced by processing waste, including biomass, in different ways [,,].
Thermochemical technology is currently the most remarkable method among the existing waste conversion technologies for digesting waste biomass []. Of these technologies, hydrothermal carbonization (HTC) is considered an effective method for converting organic waste into useful products []. HTC is a thermochemical procedure that improves the properties of raw biomass for future usage, in subcritical water under a moderate temperature (ranging from 180–360 °C) and 2–20 MPa pressure [,]. Due to the elimination of the pre-dehydration phase, HTC has recently become an extensively used method for SS processing []. In this technique, water acts as a catalyst for the degradation and conversion of biomass. This allows the biomass to be processed in an aqueous form without the need for drying. Additionally, products processed under high pressure and temperatures are sterilized, eliminating pathogens [,,]. Through the HTC process, biomass is transformed into carbonaceous biochar (also known as hydrochar), gas (mostly CO2), and process water rich in organic and inorganic compounds []. Process water (PW) accounts for about 90% of HTC products [].
Biochar (BC) can increase soil fertility by providing and/or retaining nutrients for crop production [,,]. However, little study on the usage of PW has been conducted. Only a few studies examining the possibility of using PW as a fertilizer have evaluated the impact on plant growth by mixing the liquid fraction with BC or other organic substrates [,]. Mau et al. [] revealed that HTC process water from poultry litter can effectively improve lettuce growth in the last phases of development. Two recent studies have demonstrated the potential of employing BC and PW produced by HTC of agricultural wastes and SS instead of chemical fertilizers [,]. According to these investigations, plant reactions to inorganic substrates (such as silica or quartz sand) can either inhibit or stimulate, depending on the raw material and dilution dose of the process filtration fluid used [,]. The findings imply that HTC filtrate can be used as a liquid fertilizer for crops to replenish nutrients. In addition, there are reports that BC can be employed in research as a nutrient-rich soil conditioner []. Biochar also can boost plant growth by enhancing the chemical composition of the soil []. Moreover, by preserving the plant’s nutrients in its body, it can improve the food’s usability. As per previous research, it has been found that BC has significant impacts on enhancing plant growth after being mixed into the soil [,,]. It has been stated that the amount of fertilizer needed can be reduced by up to 10% by applying biochar to the soil. The retention of readily available nutrients in the soil (NPK), an increase in carbon mineralization, a balance in nitrogen fixation, a 50% increase in cation exchange capacity, and an increase in soil permeability are the long-term effects that it may have on physical, chemical, and biological properties [,]. The use of HTC BC derived from SS as a growth media component in horticulture has also been suggested []. Previous research has stated that adding BC may reduce gaseous nitrogen losses caused by denitrification following high nitrogen treatments []. It was also demonstrated that nutrients in usable forms were still present following the hydrothermal process []. On the other hand, trace element content is reported to accumulate and immobilize in hydrothermal sewage biochar, posing a negligible environmental concern [,]. The majority of studies on the carbonization of SS for agricultural use focus on BC, which has been shown to increase soil nutrients and soil fertility indicators [,,,], improve plant growth [,,], and possibly replace mineral fertilizers (nitrogen, phosphorus, and micronutrients] for plant production []. The conversion of waste biomass into hydrothermal products for use in agriculture is seen as an ecologically sustainable alternative and potential supplement to mineral fertilizers. However, to the best of our knowledge, there is no study investigating the use of process water and solid phase from the treatment of SS with FW with HTC instead of chemical nitrogen in plant growth. This study aimed to reduce the use of chemical fertilizers in cress production, improve nitrogen usage efficiency, evaluate the use potential of BC and PW obtained from SS and FW as organic fertilizers, and improve cress development and quality.
2. Materials and Methods
The study was carried out as a pot experiment in the controlled greenhouses at The Plant Production, Application and Research Centre of Atatürk University, Erzurum (39°57′ N and 41°10′ E), Turkey, in October 2021. The plant material for the experiment was Lepidium sativum L. cv. Zeybek. A 2:1 sand and garden soil (v/v) mixture was utilized as a growing medium. Table 1 presents the properties of this medium.

Table 1.
Physical and chemical properties of the starting soils.
Commercially available urea ammonium sulfate was used as chemical nitrogen, while Synpet Company provided the biochar and process water. The company used a modified HTC method (referred to as the thermal conversion process) as the waste treatment technology. In this process, all organic wastes containing carbon are converted into ecologically acceptable specific products like biochar and process water (high nutrient-containing liquid fertilizer) under the influence of temperature, pressure, and the high reactivity of water. Following is a summary of the steps and phases of this process (https://www.synpet.com/, accessed on 13 October 2022).
1st stage reactor (Depolymerization): To ensure the separation of inorganic and organic polymers, 60% SS and 40% FW are held at 150 °C under 5–8 bar pressure for a defined period as they reach the 1st stage reactor from the feeding and mixing tank. At this stage, physical separation is achieved with the effect of temperature and pressure.
2nd stage reactor (Hydrolysis): By adding some more water to the wet stock material that comes to this stage, the reactive property of water at moderate temperature (250 °C) and pressure (50 bar) is used. In this way, molecular fragmentation and plant nutrients such as N, S, and P, which are bound in solid matter, are decomposed and passed into the liquid phase. The condensation process is carried out on the liquid intermediate product brought to the evaporator after filtering the separated solid and liquid phases. The concentrated product that was obtained from this source was used as PW (liquid fertilizer with high nutrient content) in our study. The chemical characteristics of the PW are presented in Table 2.

Table 2.
Some chemical properties of PW.
3rd reactor (Cracker): The low-water solid intermediate transported to this reactor is broken down into short hydrocarbon chains at a high temperature (550 °C), from which a solid ultimate product with a large surface area and high C content is obtained. The ultimate product was used in the study as BC. The chemical characteristics of the BC are presented in Table 3.

Table 3.
Some chemical properties of BC.
2.1. Experiment Setup
A completely randomized factorial design was used to conduct the experiment, which included 4 doses (0, 9, 12, and 15 kg da−1 N), 3 replications (3 pots each replication), and 6 treatments (BC: biochar, PW: process water, CN: chemical nitrogen, BC+PW: biochar and process water combination, BC+CN: biochar and chemical nitrogen combination, PW+CN: process water and chemical nitrogen combination) for a total of 171 pots. All doses of chemical fertilizer and biochar were weighed and thoroughly mixed with the growing media before being put into the pots. While calculating the fertilizer amounts according to the application doses, the total nitrogen content of the fertilizer was taken into account. In combination applications, half of the calculated amounts of each fertilizer were applied to keep the doses constant. The pots were watered until they reached the field capacity, and when the soil was tempered, the seeds were planted. At a depth of 2 cm, about 10 cress seeds were sown, and the surface of the soil was pressed by hand. Up to emergence, irrigation was applied twice daily in the form of a spray. After seedlings emerged, the soil was irrigated by pouring tap water, and during the experiment, care was made to preserve soil moisture at a level close to the field’s capacity. When the cotyledon leaves became parallel to the ground, five plants were left in each pot. Immediately after plant emergence, the process water was poured into the pots using a graduated cylinder. Based on the nitrogen content and density of the process water, it was diluted with tap water. All maintenance procedures were carried out without a hiccup, from sowing to harvest. The plants were grown in natural light with daily temperatures of about 25° and a relative humidity of about 50%.
2.2. Harvest, Growth Properties, Measurements
In the study, morphological parameters such as plant height, root collar diameter, number of leaves, leaf area, shoot fresh and dry weight, and root fresh and dry weight of garden cress were measured 55 days after sowing. The plant height was measured in “cm” with a ruler, taking into account the longest leaf. The stem diameter was recorded in “mm” using a digital caliper (±0.01 mm margin of error). The average leaf area of a plant was measured as “cm2” using a portable leaf area meter (CID-202 Portable Laser Leaf Area Meter by CID Bio-Science, Inc. 1554 NE 3rd Avenue, Camas, WA, USA). The number of leaves “per/plant” was calculated by counting leaves larger than 1 cm and dividing by the number of plants. Plants in treatments were harvested to determine the fresh weight of the plant and the root, and the weight of the shoots and roots was recorded as “g” by promptly weighting on precision scales. The weighed samples were dried in an oven at 68 °C until their weight remained constant, and their dry weight was then determined as “g” by weighing the samples once again on a precision balance. The ratio of plant and root dry matter was calculated as the ratio of dry matter in fresh weight to 100. Water soluble dry matter (WSDM) was directly determined by measuring the water coming out from pressed garden cress leaves with a portable (±0.01) precision digital refractometer. The vitamin C content of the plants was recorded as “mg L−1” by reading the Merck Reflex device with the help of ascorbic acid test kits. The amount of chlorophyll in plant leaves was measured one day before harvest using a handheld SPA-502 (Konica Minolta Sensing, Inc.,Tokyo, Japan) chlorophyll meter and recorded as the “SPAD value”. According to the methods given by Lichtenthaler and Buschmann [], the concentrations of chlorophyll a, chlorophyll b, total chlorophyll, and total carotenoid were read spectrophotometrically at 450 nm, 645 nm, and 663 nm using a spectrophotometer (Thermo Scientific, Waltham, MA, USA). In the method, the fresh leaves of garden cress were ground with liquid nitrogen and then centrifuged by homogenizing in 80% acetone as part of the process of analyzing the extracts. The following equations were utilized to calculate the chlorophyll a, b, total chlorophyll, and total carotenoid contents of cress leaves as “mg g−1 FW” in fresh weight. In the equations, V represents the final volume of 80% acetone, and W represents the fresh weight of the extracted tissue expressed in grams.
Chlorophyll a (mg g−1 FW) = (12.7 ∗ 663 nm) − (2.69 ∗ 645 nm) ∗ (V/W ∗ 10,000)
Chlorophyll b (mg g−1 FW) = (22.91 ∗ 645 nm) − (4.68 ∗ 663 nm) ∗ (V/W ∗ 10,000)
Total Chlorophyll (mg g−1 FW) = [(20.2 ∗ 645 nm) + (8.02 ∗ 663 nm)] ∗ (V/W ∗ 10,000)
Total carotenoid (mg g−1 FW) = 4.07 ∗ 450 nm − (0.0435 ∗ Chll an amount + 0.367 ∗ Chll b amount)
Agricultural nitrogen use efficiency (ANUE) was calculated from the “kg” nitrogen dose application as “g” plant fresh weight increase over the control, according to the following formula [].
ANUE = (FW − FW0)/F
- FW = Plant fresh weight in the amount of fertilizer applied (g)
- FW0 = Plant fresh weight in control (g)
- F = Amount of fertilizer applied (kg)
For mineral analysis, dried shoot samples were ground up to pass through a 1 mm mesh screen. The Kjeldahl method was applied to determine the total nitrogen content in leaf samples using a Vapodest 10 Rapid Kjeldahl Distillation Unit (Gerhardt, Konigswinter, Germany) []. An inductively coupled plasma spectrophotometer (Optima 2100 DV; PerkinElmer, Shelton, CT, USA) was used to analyze the mineral concentrations of leaf samples (P, K, Ca, Mg, S, Na, Mn, Fe, Cu, Cl, and B) by Mertens’ methodology [,]. The nitrate content of the leaf samples was assessed using Bremner and Mulvaney [] techniques: nitrate analysis was carried out on plant extracts for fast nitrate-N determination. Salicylic acid is nitrated at extremely acidic conditions to form a compound, which absorbs most effectively in basic (pH > 12) solutions at 410 nm.
Soil samples were air-dried, ground up, and passed through a 2 mm filter, before being analyzed physically and chemically. The Kjeldahl method [] was used to calculate the total nitrogen content. Electrical conductivity (EC) was assessed in saturated extracts, according to Rhoades []. Soil pH was determined in a 1:2 soil/water suspension according to McLean []. Organic matter (OM) of soil was analyzed by the Smith-Weldon method according to Nelson and Sommers [].
Data preparation was carried out with Microsoft Excel (Microsoft Corporation, Redmond, WA, USA) and all data were expressed as a treatment mean ± standard error. Statistical analysis was performed using SPSS 25 (IBM, Armonk, NY, USA). Data were subjected to a two-way analysis of variance (ANOVA) to evaluate the single or interactive effects of independent variables (fertilizer and dose) on the parameters. Using Duncan’s multiple-range test, the means of applications were separated at the 0.05 level of significance. Significant differences were denoted by distinct letters.
3. Results
3.1. Growth Characteristics
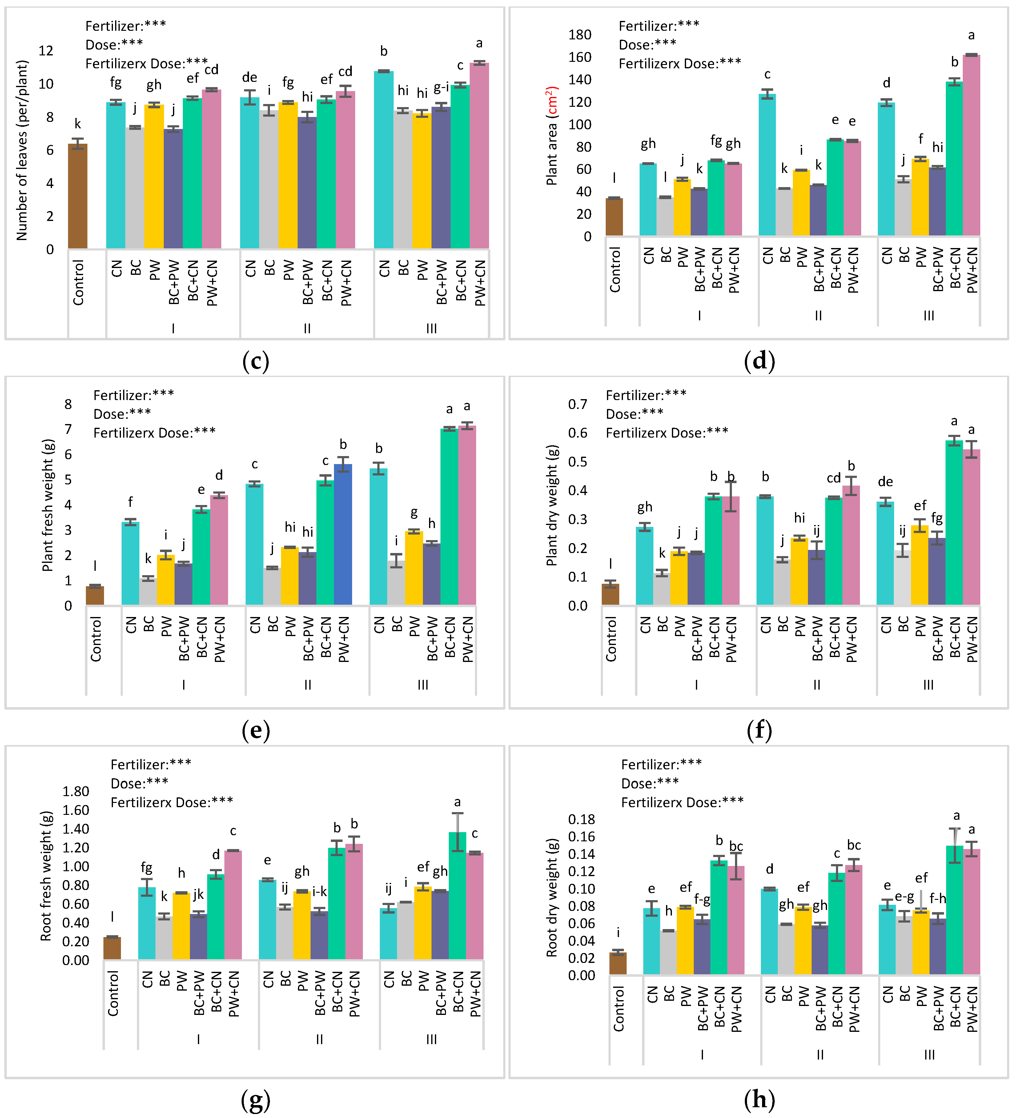
In the study, the effect of fertilizer (p < 0.001), dose (p < 0.001), and fertilizer x dose interaction (p < 0.001) was statistically significant in all measured plant growth parameters. The growth features of garden cress were significantly impacted by different nitrogen (N) levels of the chemical nitrogen (CN), biochar (BC), and process water (PW) applied either as a sole or combination (Figure 1 and Figure 2). In comparison to the control, nitrogen application considerably increased growth parameters such as plant height, stem diameter, leaf number, leaf area, plant fresh and dry weight, and root fresh and dry weight. Maximum results were often recorded when a 15 kg da−1 N dose of PW+CN was applied. At different nitrogen levels, aside from plant area, alternative applications often produced better outcomes than a single chemical nitrogen application. The applications of PW+CN and BC+CN at a 15 kg da−1 N dose resulted in the tallest plants, exhibiting height increases of 112.08% and 107.42% over the control, respectively. While the highest stem diameter was obtained at 9 kg da-1 N dose of BC+CN application and 15 kg da−1 N dose of PW+CN application, these applications increased the stem diameter by 115.81% and 110.31%, respectively, compared to the control. With a rise of 76.52%, the 15 kg da−1 N of PW+CN application resulted in the highest increase in the number of leaves per plant relative to the control. Similar to other results, the 15 kg da−1 N application of PW+BC, which represented an increase of 372.76% from the control, produced the best results in the mean plant area. PW+CN and BC+CN applications played the most important role in increasing the plant fresh weight by 825.12% and 808.72% over control, respectively. The same applications also dramatically increased the plant’s dry weight by 615.94% and 655.60% respectively, compared to the control. Additionally, the highest control-based increase was produced by 15 kg da−1 N BC+CN application with 451.81% in root fresh weight, while in root dry weight produced by 15 kg da−1 N BC+CN and 15 kg da−1 N PW+CN applications with 462.78% and 448.12%, respectively.


Figure 1.
The impact of varying fertilizer and nitrogen concentrations on the garden cress (a) plant’s height, (b) stem diameter, (c) number of leaves, (d) area, and (e–h) both plant, and root fresh and dry weight. Control: 0 kg da−1 N non-fertilizer); I: 9 kg da−1 N, II: 12 kg da−1 N, III: 15 kg da−1 N; BC: biochar, PW: process water, CN: chemical nitrogen, BC+PW: biochar and process water combination, BC+CN: biochar and chemical nitrogen combination, PW+CN: process water and chemical nitrogen combination. *** Means followed by a different letter are significantly different according to Duncan’s multiple range test (p ≤ 0.001).

Figure 2.
Effects of varying nitrogen dosages and fertilizers on the growth of garden cress. Control: 0 kg da−1 N (non-fertilizer), I: 9 kg da−1 N, II: 12 kg da−1 N, III: 15 kg da−1 N; BC: biochar, PW: process water, CN: chemical nitrogen, BC+PW: biochar and process water combination, BC+CN: biochar and chemical nitrogen combination, PW+CN: process water and chemical nitrogen combination. (a–c): Effects of varying nitrogen dosages and fertilizers on the growth of garden cress.
3.2. Quality Characteristics
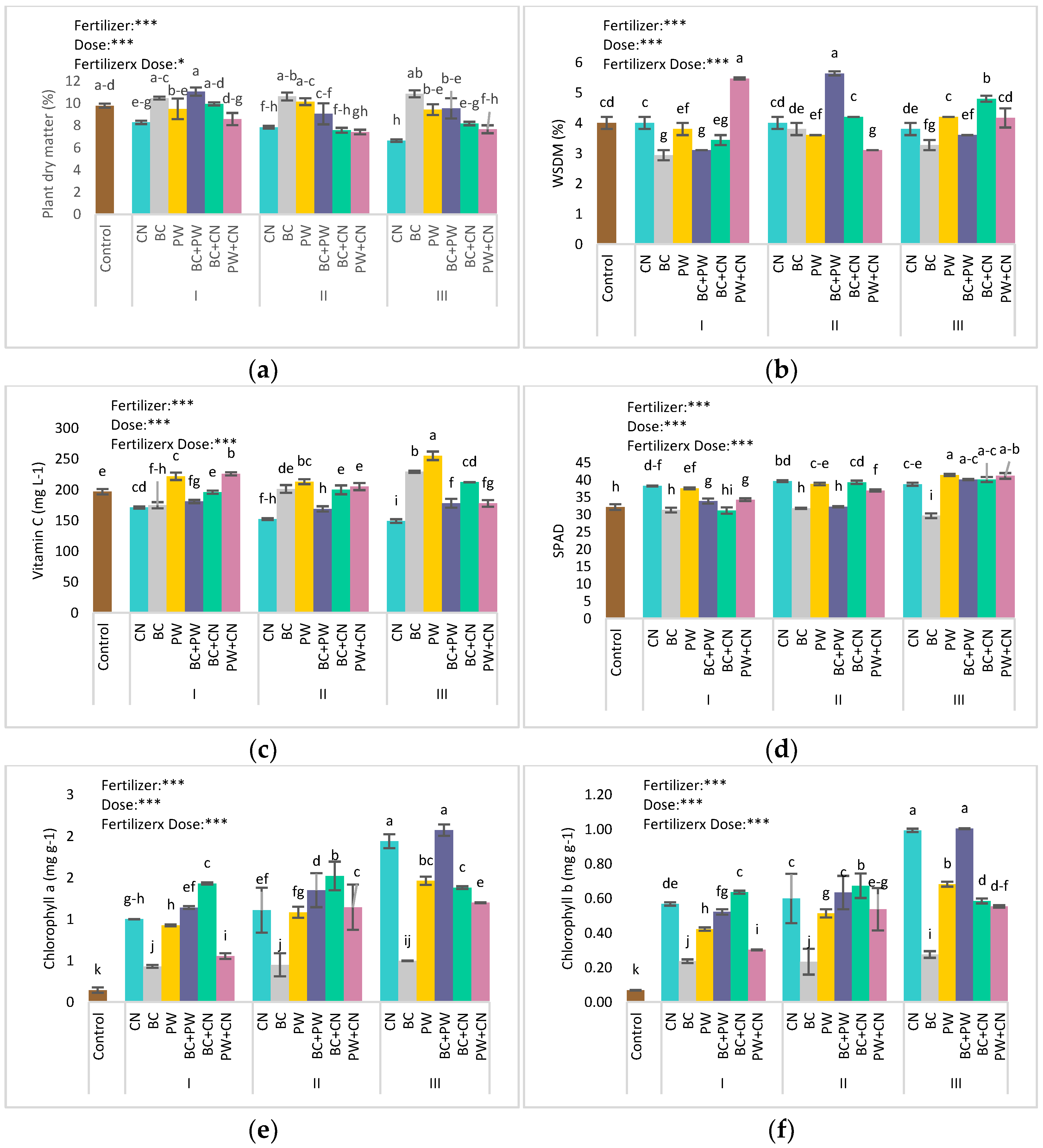
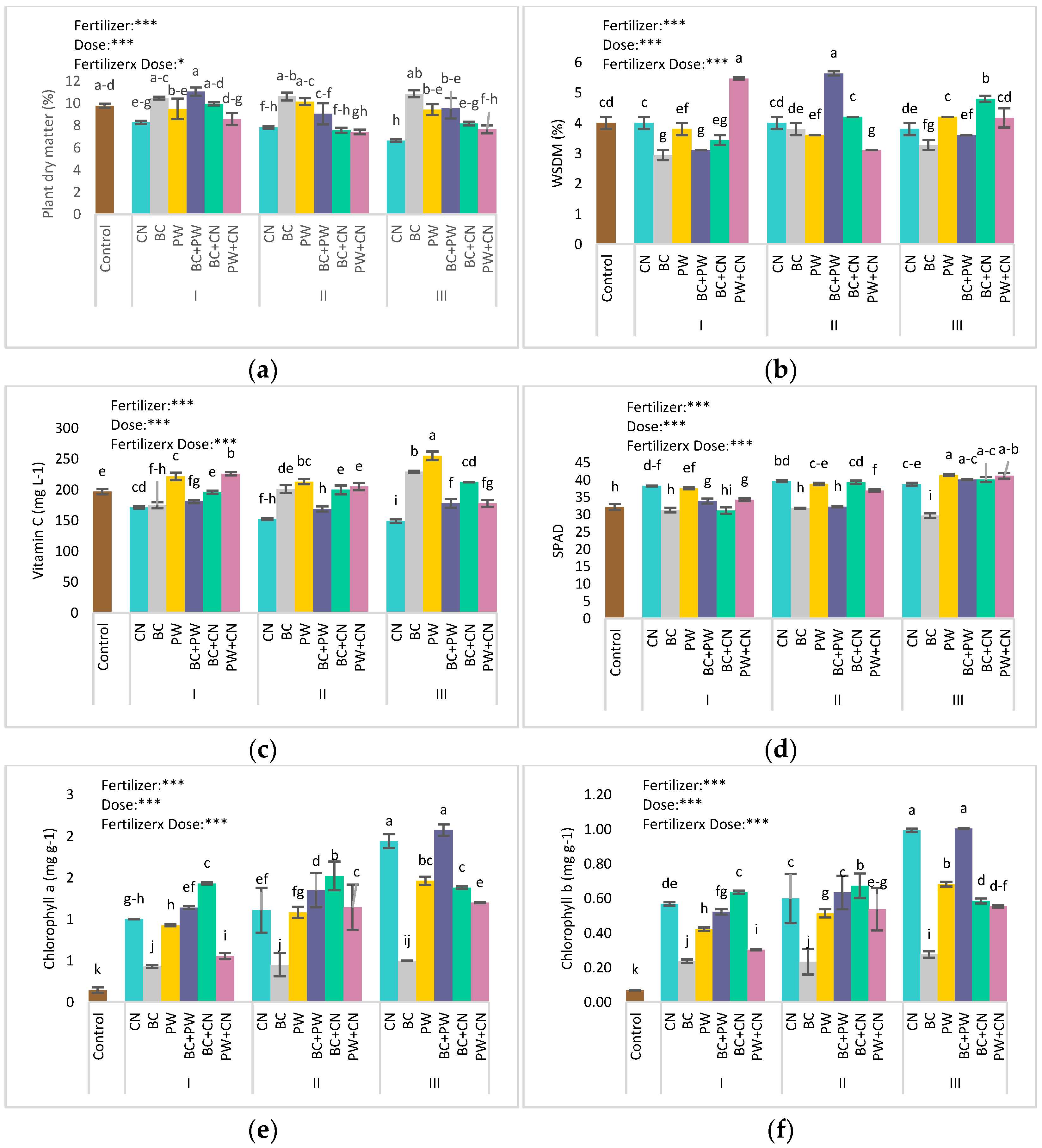
In the study, fertilizer (p < 0.001), dose (p < 0.001), and fertilizer x dose interaction (p < 0.001) had a statistically significant impact on the qualitative characteristics of cress, including plant dry matter, WSDM, vitamin C, chlorophyll a, chlorophyll b, total chlorophyll, total carotenoid, etc. However, the effect of fertilizer x dose interaction on the dry matter content of the plant was found to be significant at the p < 0.05 level (Figure 3). Varying nitrogen doses resulted in different fertilizer application effects on quality parameters. The dose of 9 kg da−1 N of BC+PW (13.02%) resulted in the highest increase in plant dry weight, whereas the dose of 12 kg da−1 N of PW+CN (40.83%) and 9 kg da−1 N of BC+PW (36.67%) showed the maximum increase in WSDM content relative to control. The lowest vitamin C concentrations were produced by CN single doses and decreased as the nitrogen dose increased. The concentration of vitamin C increased by the maximum amount of 29.66% over the control, with the 15 kg da−1 N PW application. The 15 kg da−1 N PW (28.81%) treatment provided the highest increase in SPAD over the control, while the 15 kg da−1 N BC application had the lowest SPAD value. Applications of 15 kg da−1 N BC+PW and 15 kg da−1 N CN resulted in the maximum increase in chlorophyll a, b, and total chlorophyll content when compared to the control, with respective increases of 1252.06%, 1345.29%, 1344.54%, and 1359.83%, 1281.65%, and 1351.23%. However, the 15 kg da−1 N CN application resulted in the highest increase in carotenoid content, which was 338.95% over the control.


Figure 3.
The effect of the varying fertilizer and nitrogen doses on plant and root dry matter, (a) plant’s height, (b) stem diameter, (c) number of leaves, (d) area, and (e–h) both plant, and root fresh and dry weight. WSDM, Vitamin C, SPAD, chlorophyll a, b, total chlorophyll, and total carotenoid of garden cress. Means followed by a different letter are significantly different according to Duncan’s multiple range test (p ≤ 0.001). Control: 0 kg da−1 N (non-fertilizer), I: 9 kg da−1 N, II: 12 kg da−1 N, III: 15 kg da−1 N; BC: biochar, PW: process water, CN: chemical nitrogen, BC+PW: biochar and process water combination, BC+CN: biochar and chemical nitrogen combination, PW+CN: process water and chemical nitrogen combination. Means followed by a different letter are significantly different according to Duncan’s multiple range test ***: p ≤ 0.001, *: p ≤ 0.05.
3.3. Agricultural Nitrogen Use Efficiency (ANUE)
ANUE was impacted at a significant level (p < 0.001) by the sources responsible for variation (fertilizer, dose, and fertilizer x dose interaction). According to other treatments, the nitrogen utilization efficiency was rather high at all nitrogen doses of the PW+CN combination and the 15 kg da−1 N BC+CN application. As each dose was independently evaluated, in comparison to solo CN treatments, nitrogen utilization efficiency increased in PW+CN combinations in 9, 12, and 15 kg da−1 N by 36.66%, 23.53%, and 31.98%, respectively. Similarly, the 15 kg da−1 N BC+CN combination increased ANUE by 29.91% compared to the same dose of single CN administration. The results indicated that chemical fertilizer combinations with process water and biochar were much more effective in ANUE of garden cress than chemical nitrogen alone (Figure 4).

Figure 4.
The effect of varying fertilizers and nitrogen doses on the efficiency of garden cress agricultural nitrogen use (ANUE). I: 9 kg da−1 N, II: 12 kg da−1 N, III: 15 kg da−1 N; BC: biochar, PW: process water, CN: chemical nitrogen, BC+PW: biochar and process water combination, BC+CN: biochar and chemical nitrogen combination, PW+CN: process water and chemical nitrogen combination.
3.4. Plant Nutrient Element Contents
The effect of fertilizer, dose, and fertilizer x dose interaction on the nutrient content of garden cress was presented in Table 4, Table 5 and Table 6. The findings showed that, aside from Na and Cl content, all treatments promoted nutritional content in garden cress shoots when compared to the control. The highest amount of nitrogen was observed in the 15 kg da−1 N BC+CN application with a 3.05% content, but the maximum amounts of NO3 and NH4 were observed in 15 kg da−1 N CN application with concentrations of 943.33 g mL−1 and 559.33 g mL−1, respectively. Moreover, the highest nutritional values were found to be 0.28% in a 9 kg da−1 N CN application for P, 2.3% and 2.4%, respectively, in 9 kg da−1 N and 15 kg da−1 N of BC+CN applications for K, 1.12% in a 15 kg da−1 N of BC+CN application for Ca, 0.26% and 0.27%, respectively, in a 12 kg da−1 N CN and 9 kg da-1 N BC+CN applications for Mg, and 0.29% in a 9 kg da−1 N BC+CN for S. Maximum Mn, Fe, Zn, B, Cl, and Na contents were also reported in treatments with 9 kg da−1 N BC+CN, 15 kg da−1 N BC+CN 9 kg da−1 N BC+CN, control, and 12 kg da−1 N CN, in that order. These nutritional contents’ respective values were 22.68 mg g−1, 53.19 mg g−1, 21.15 mg g−1, 7.7 mg g−1, and 1.81 mg g−1, 188.39 mg g−1. The measurement values usually fell within the critical ranges of the plant nutrient concentrations.

Table 4.
Effects of varying nitrogen doses and fertilizers on the elements N, NO3, NH4, P, and K in shoots of garden cress. Means followed by a different letter are significantly different according to Duncan’s multiple range test (p ≤ 0.001). Control: 0 kg da−1 N (non-fertilizer), I: 9 kg da−1 N, II: 12 kg da−1 N, III: 15 kg da−1 N; BC: biochar, PW: process water, CN: chemical nitrogen, BC+PW: biochar and process water combination, BC+CN: biochar and chemical nitrogen combination, PW+CN: process water and chemical nitrogen combination.

Table 5.
Effects of varying nitrogen doses and fertilizers on the elements Ca, Mg, S, Mn, and Fe in shoots of garden cress. Means followed by a different letter are significantly different according to Duncan’s multiple range test (p ≤ 0.001). Control: 0 kg da−1 N (non-fertilizer), I: 9 kg da−1 N, II: 12 kg da−1 N, III: 15 kg da−1 N; BC: biochar, PW: process water, CN: chemical nitrogen, BC+PW: biochar and process water combination, BC+CN: biochar and chemical nitrogen combination, PW+CN: process water and chemical nitrogen combination.

Table 6.
Effects of varying nitrogen doses and fertilizers on the elements Zn, B, Cl, and Na in shoots of garden cress. Means followed by a different letter are significantly different according to Duncan’s multiple range test (p ≤ 0.001). Control: 0 kg da−1 N (non-fertilizer), I: 9 kg da−1 N, II: 12 kg da−1 N, III: 15 kg da−1 N; BC: biochar, PW: process water, CN: chemical nitrogen, BC+PW: biochar and process water combination, BC+CN: biochar and chemical nitrogen combination, PW+CN: process water and chemical nitrogen combination.
3.5. Soil Properties
The study examined the effects of various fertilizers and application doses on the pH, EC, organic matter (OM), and total nitrogen content (Total N) of the soil. The effect of fertilizer, dose, and fertilizer x dose interaction on these properties is given in Table 7. The results showed that 9 kg da−1 N PW, 9 kg da−1 N C, N, and 12 kg da−1 N BC applications reduced the pH value of the soil relative to the control, while the highest soil pH was measured at doses of 12 kg da−1 N and 9 kg da−1 N of BC+CN combination with 7.96 and 7.92, respectively. On the other hand, all applications significantly raised the levels of OM and Total N in comparison to the control. However, fertilizer treatments significantly decreased the EC of the soil relative to the control. On the other hand, all applications drastically increased the content of OM and Total N over the control. The application of 9 kg da−1 N PW+CN produced the highest soil OM, with 2.68%, while 9 kg da−1 N CN and 9 kg da−1 N PW+CN produced the highest total N content with 0.1023% and 0.079%, respectively.

Table 7.
Effects of varying nitrogen dosages and fertilizers on the soil properties. Means followed by a different letter are significantly different according to Duncan’s multiple range test (p ≤ 0.001). Control: 0 kg da−1 N (non-fertilizer), I: 9 kg da−1 N, II: 12 kg da−1 N, III: 15 kg da−1 N; BC: biochar, PW: process water, CN: chemical nitrogen, BC+PW: biochar and process water combination, BC+CN: biochar and chemical nitrogen combination, PW+CN: process water and chemical nitrogen combination.
4. Discussion
In the current study, it was observed that varying doses of different fertilizer sources and combinations significantly increased the growth of garden cress. Even though all nitrogen doses improved plant growth relative to the control and in accordance with the growth parameters examined, the 15 kg da−1 N dose was reported to be the most effective. Additionally, the PW+CN and BC+CN combination showed more significant results in improving plant growth than other single and combined applications. Inorganic fertilizers, particularly nitrogen fertilizers, must be utilized to stimulate plant vegetative development. The most often used nutrient element in vegetable cultivation is nitrogen, which is the main component of protein and nucleic acids, the building blocks of all living things. When nitrogen levels are low, vegetable yield and quality suffer []. Studies have shown that nitrogen treatments severely impacted the quality and productivity of lettuce and spinach, and also that plant growth and yield generally increased with increasing the nitrogen dose to a specific threshold []. Although most HTC biochar, specifically the one made from plant biomass, has little nutritional value and cannot be used as a fertilizer on its own, it can be utilized in the soil to increase the value of fertilizer by reducing the amount of fertilizer lost through surface run-off [,]. Researchers are interested in sewage sludge HTC biochar because of its usefulness in improving soil quality, reducing heavy metal uptake, and potential benefits in nourishing soil in agricultural areas []. A study reported that differently modified sewage sludge hydrochars inhibited ammonia evaporation and enhanced soil nitrogen retention, rice nitrogen uptake, and rice yield []. The effectiveness of HTC biochar as a substitute or addition to mineral fertilizers in plant studies is being confirmed by very significant investigations. A study on the common bean using four HTC biochar application rates was carried out. Results showed that applications boosted both plant nutrient concentrations and soil fertility. Previous research indicated that the best time for HTC biochar amendment is three months before sowing when there is a maximum of dry matter []. A study on the impacts of biochar and the HTC process’ liquid phase on the germination efficiency of spring barley and garden cress investigated the phytotoxic effects of the liquid phase and the adverse effects of numerous organic compounds on the germination and growth of cress seedlings. The findings demonstrated that HTC biochar had no phytotoxic effects, although it is always advisable to verify the use of carbonized products in agriculture []. In pot trials on common beans and barley, HTC biochar has been shown to have a positive effect on plant development; this effect is likely related to the increase in soil pH. However, the use of hydrochar did not benefit leek cultivation; as a result, a species-specific approach should be preferred []. On the other hand, Shan et al. [] examined the use potential of the aqueous phase produced from co-HTC of sewage sludge and agricultural wastes (rice husk and wheat straw) and HTC only of sewage sludge rather than chemical fertilizers in the hydroponic cultivation of pakchoi. According to the study, the only fertilizers that can substitute chemical fertilizers are sewage sludge HTC aqueous phase 20% and co-HTC aqueous phase 60%. In a similar study, it was found that the biomass of pakchoi grew by 25.7–40.9% in the liquid phase produced by co-HTC of sewage sludge and leftover mushroom compost, while the nitrogen recovery was reported to be 62.03–64.65% [].
The findings of our study showed that CN fertilization had a detrimental impact on cress’s vitamin C content. High doses of nitrogen application are reported to reduce the vitamin C content in vegetable crops []. The effects of commercial fertilization with ammonium nitrate at doses of 50 kg/ha N, 100 kg/ha N, and 150 kg/ha N on the growth and quality of cress were evaluated in a parallel study (Control), and it was observed that high nitrogen dosages led to poor vitamin C content []. Other research supports the finding that some crops lose vitamin C content when nitrogen fertilization is increased [,,,]. In the analysis of vitamin C in cress, Zhan et al. [] reported 33.52 mg 100 g −1 FW; in a study by Tuncay et al. [] the total vitamin C content was reported to range from 66.9 to 89.2 mg 100 g−1 in 2002, and from 66.4 and 87.9 mg 100 g−1 in 2003. Our results were found to be quite high compared to those obtained in these studies.
Both single and combined applications of process water were found to boost the chlorophyll content of plants in the study. Contrarily, biochar only increased chlorophyll concentrations in combination applications. This may be because biochar limits the release of nutrients from the soil by absorbing them. However, it was found that adding biochar to process water significantly enhanced the chlorophyll contents of cress. Tuncay et al. [] stated that the leaf color of cress with mineral nitrogen fertilization is darker than that of organic nitrogen sources. Leaf nitrogen concentration is directly related to leaf chlorophyll content, hence leaf greenness []. Numerous studies measure or analyze chlorophyll to estimate crop nitrogen status [,,,]. Contrary to the results of our work, Celletti et al. [] claimed that phytotoxic compounds in the liquid process filtrate produced by hydrothermal carbonization of cow manure impeded plant growth. Low concentrations, however, led to nutritional deficiencies and reduced photosynthesis, which resulted in chlorosis and leaf yellowing. However, the researchers pointed out that liquid fertilizer can be used with treatments that remove phytotoxic substances and the effects of elements such as Na.
Our study determined that cress gained a significant increase in agricultural nitrogen use efficiency (ANUE) under PW and CN combination (PW+CN) and BC and CN combination (BC+CN) treatments, compared to single CN treatment. Fertilizer management has a direct impact on sustainable nutrient management, which demands both efficiency and effectiveness. The sustainability of fertilizer management systems is determined by nutrient use efficiency (NUE) []. The harvested yield and plant nitrogen uptake are closely related and mostly have a linear relationship. It was also observed that the growth traits and the findings for nitrogen usage efficiency were parallel. Hydrothermal biochar showed a higher rate of biodegradation and nitrogen availability than pyrolysis biochar, even in the second harvest of Lolium perenne grass, according to pot tests []. A recent study reported that biochar mixed with urea, leguminous residues and azocompost increased N-efficiency as well as reduced nitrogen loss through leaching, as nitrogen is retained on the large specific surface of the biochar [].
The nitrogen fertilizers used in the current study were found to considerably boost the nutritional content of garden cress. The most effective outcomes came from combining PW and BC, which are frequently used with CN. It was discovered that the highest nitrogen dose (15 kg da−1 N) resulted in the maximum outcomes for the nitrate content. The application of CN was found to increase plant nitrate content in comparison to other applications, while the combination of CN with BC and PW was found to reduce it by almost half. As opposed to single CN applications, combined CN applications with BC and PW usually raised the organic matter and total nitrogen content in the soil. Similarly, Inne et al. [] reported that a commercial nitrogen application of 150 kg/ha significantly raised the NO3 level of garden cress. There is evidence that the NO3 level in the leaf increases with increasing nitrogen dose in spinach and lettuce, which is consistent with our findings [,]. Nitrogen (N) and phosphorus (P) are extremely well retained in HTC biochar, suggesting that the resulting solid has the potential to serve as a source of nutrition []. Zhang et al. [] highlighted that nitrogen-rich HTC biochar has the potential to be utilized as a soil conditioner by regulating nitrogen content and stimulating plant growth. Up to 70% of nitrogen and potassium were carried into the liquid phase by the PW from the sewage sludge HTC process, which has proven to be rich in fertilizing components []. According to Sousa and Figueiredo [], the quantity of total nitrogen, organic carbon, readily available potassium, and phosphorus in the soil increased after adding sewage sludge biochar to it. According to the study, adding sewage sludge biochar to the soil boosted nutrients such as P, N, Ca, and Mg, which improved soil fertility and radish yield. Researchers stated that a significant increase in foliar nutrients also improved plant height, dry weight, and leaf number. Yue et al. [] observed significant increases in total soil nitrogen (1.5 times), black carbon (4.5 times), organic carbon (1.9 times), potassium (0.4 times), and available phosphorus (5.6 times) after applying sewage biochar to urban soil and growing turf grass in pots. Grass dry matter increased proportionally with increasing amounts of applied biochar due to improved plant mineral nutrition. SS biochar was also reported to retain nutrients, especially nitrogen (N) in permeable soil in wet conditions due to its nutrient affinity [].
5. Conclusions
The study revealed that PW and BC applications alone were insufficient for growing garden cress, however, when combined with CN, they were very effective at reducing the nitrogen dose and improving agricultural nitrogen use efficiency. Additionally, PW and BC treatments together with CN enhanced the soil’s nitrogen and organic matter content and boosted the plant nutrient intake. Consequently, the implementation of BC and PW to increase the utility of CN while lowering its dose is a very hopeful approach for the advancement of sustainable agriculture practices and systems. However, these findings are generally applicable to horticultural applications that use pots, and must be considered for short-term responses even in field conditions. Future research will provide more precise information regarding the practical usage of PW and BC derived from SS and FW as fertilizer, through extensive field trials that take into account the soil microbial population.
Author Contributions
R.K., E.Y., M.E. and S.E. designed and conducted the experiments; R.K. conducted the research, analyzed the data, and wrote the manuscript; M.T. performed plant and soil nutrient analysis; E.Y., M.E., S.E. and M.T. revised the English composition and analyzed the data. All authors have read and agreed to the published version of the manuscript.
Funding
This research was funded by Atatürk University Scientific Research Projects Coordination Unit (BAP), grant number FAB-2021-8739.
Institutional Review Board Statement
Not applicable.
Informed Consent Statement
Not applicable.
Data Availability Statement
This manuscript includes all data produced or analyzed during this investigation.
Acknowledgments
We are very grateful to Synpet (Synpet Technologies, İstanbul, Turkey, and New York, NY, USA) for their support.
Conflicts of Interest
The authors declare no competing interests.
References
- Fontana, E.; Nicola, S. Producing garden cress (Lepidium sativum L.) for the fresh-cut chain using a soilless culture system. J. Hortic. Sci. Biotechnol. 2008, 83, 23–32. [Google Scholar] [CrossRef]
- Yağmur, B.; Okur, B.; Tuncay, Ö.; Eşiyok, D. The effect of different growing periods and nitrogen fertilizers on nitrogen fractions and nutrient content of garden cress (Lepidium sativum L.). Yüzüncü Yil Üniv. J. Agric. Sci. 2019, 29, 388–396. [Google Scholar] [CrossRef]
- Günay, A. Special Vegetable Growing (Brassica Crops); Cag Press: Ankara, Turkey, 1984; p. 312. [Google Scholar]
- Gokavi, S.S.; Malleshi, N.G.; Guo, M. Chemical composition of garden cress (Lepidium sativum) seeds and its fractions and use of bran as a functional ingredient. Plant Foods Hum. Nutr. 2004, 59, 105–111. [Google Scholar] [CrossRef] [PubMed]
- Diwakar, B.T.; Dutta, P.K.; Lokesh, B.R.; Naidu, K.A. Physicochemical properties of garden cress (Lepidium sativum L.) seed oil. J. Am. Oil Chem. Soc. 2010, 87, 539–548. [Google Scholar] [CrossRef]
- Jain, A.; Balasubramanian, R.; Srinivasan, M.P. Hydrothermal conversion of biomass waste to activated carbon with high porosity: A review. Chem. Eng. J. 2016, 283, 789–805. [Google Scholar] [CrossRef]
- Rahman, M.M.; Salleh, M.A.M.; Rashid, U.; Ahsan, A.; Hossain, M.M.; Ra, C.S. Production of slow release crystal fertilizer from wastewaters through struvite crystallization—A review. Arab. J. Chem. 2014, 7, 139–155. [Google Scholar] [CrossRef]
- Shen, W.; Lin, X.; Shi, W.; Min, J.; Gao, N.; Zhang, H.; Yin, R.; He, X. Higher rates of nitrogen fertilization decrease soil enzyme activities, microbial functional diversity, and nitrification capacity in a Chinese polytunnel greenhouse vegetable land. Plant Soil 2010, 337, 137–150. [Google Scholar] [CrossRef]
- Ju, X.T.; Kou, C.L.; Zhang, F.S.; Christie, P. Nitrogen balance and groundwater nitrate contamination: Comparison among three intensive cropping systems on the North China Plain. Environ. Pollut. 2006, 143, 117–125. [Google Scholar] [CrossRef]
- Kaza, S.; Yao, L.; Bhada-Tata, P.; Van Woerden, F. What a Waste 2.0: A Global Snapshot of Solid Waste Management to 2050; Urban Development; World Bank: Washington, DC, USA, 2018; p. 168. [Google Scholar]
- Wu, J.; Zhao, Y.; Wang, F.; Zhao, X.; Dang, Q.; Tong, T.; Wei, Z. Identifying the action ways of function materials in catalyzing organic waste transformation into humus during chicken manure composting. Bioresour. Technol. 2020, 303, 122927. [Google Scholar] [CrossRef]
- Aragón-Briceño, C.I.; Pozarlik, A.K.; Bramer, E.A.; Niedzwiecki, L.; Pawlak-Kruczek, H.; Brem, G. Hydrothermal carbonization of wet biomass from nitrogen and phosphorus approach: A review. Renew. Energy 2021, 171, 401–415. [Google Scholar] [CrossRef]
- Khoshbouy, R.; Takahashi, F.; Yoshikawa, K. Preparation of high surface area sludge-based activated hydrochar via hydrothermal carbonization and application in the removal of basic dye. Environ. Res. 2019, 175, 457–467. [Google Scholar] [CrossRef] [PubMed]
- Gao, N.; Kamran, K.; Quan, C.; Williams, P.T. Thermochemical conversion of sewage sludge: A critical review. Prog. Energy Combust. Sci. 2020, 79, 100843. [Google Scholar] [CrossRef]
- Liu, H.; Basar, I.A.; Nzihou, A.; Eskicioglu, C. Hydrochar derived from municipal sludge through hydrothermal processing: A critical review on its formation, characterization, and valorization. Water Res. 2021, 199, 117186. [Google Scholar] [CrossRef] [PubMed]
- Breulmann, M.; Schulz, E.; van Afferden, M.; Fühner, C. Effects of pyrolysis and HTC chars produced from sewage sludge in the plant-soil system. In Proceedings of the 20th World Congress of Soil Science, Soil Embrace Life and Universe, Jeju, Republic of Korea, 8–13 June 2014. [Google Scholar]
- Prabhu, M.; Horvat, M.; Lorenz, L.; Otterpohl, R.; Bettendorf, T.; Mutnuri, S. Terra Preta as an alternative for the management of sludge from wastewater treatment plant. In Proceedings of the 1st International Conference on Terra Preta Sanitation, Hamburg, Germany, 28–31 August 2013. [Google Scholar]
- Doelle, H.W. Biomass and organic waste conversion to food, feed, fuel, fertilizer, energy and commodity products. Biotechnology 2012, 10, 156. [Google Scholar]
- Chiew, Y.L.; Shimada, S. Current state and environmental impact assessment for utilizing oil palm empty fruit bunches for fuel, fiber and fertilizer—A case study of Malaysia. Biomass Bioenergy 2013, 51, 109–124. [Google Scholar] [CrossRef]
- Bastidas Oyanedel, J.R.; Schmidt, J.E. (Eds.) Biorefinery: Integrated Sustainable Processes for Biomass Conversion to Biomaterials, Biofuels, and Fertilizers; Springer: Berlin/Heidelberg, Germany, 2019. [Google Scholar] [CrossRef]
- He, C.; Wang, K.; Yang, Y.; Amaniampong, P.N.; Wang, J.Y. Effective nitrogen removal and recovery from dewatered sewage sludge using a novel integrated system of accelerated hydrothermal deamination and air stripping. Environ. Sci. Technol. 2015, 49, 6872–6880. [Google Scholar] [CrossRef] [PubMed]
- Bardhan, M.; Novera, T.M.; Tabassum, M.; Islam, M.A.; Islam, M.A.; Hameed, B.H. Co-hydrothermal carbonization of different feedstocks to hydrochar as potential energy for the future world: A review. J. Clean. Prod. 2021, 298, 126734. [Google Scholar] [CrossRef]
- Dutta, S.; He, M.; Xiong, X.; Tsang, D.C. Sustainable management and recycling of food waste anaerobic digestate: A review. Bioresour. Technol. 2021, 341, 125915. [Google Scholar] [CrossRef]
- Nizamuddin, S.; Baloch, H.A.; Griffin, G.J.; Mubarak, N.M.; Bhutto, A.W.; Abro, R.; Mazari, S.A.; Ali, B.S. An overview of the effect of process parameters on hydrothermal carbonization of biomass. Renew. Sustain. Energy Rev. 2017, 73, 1289–1299. [Google Scholar] [CrossRef]
- Liu, Z.; Wang, Z.; Tang, S.; Liu, Z. Fabrication, characterization and sorption properties of activated biochar from livestock manure via three different approaches. Resour. Conserv. Recycl. 2021, 168, 105254. [Google Scholar] [CrossRef]
- Silva Thomsen, L.B.; Carvalho, P.N.; dos Passos, J.S.; Anastasakis, K.; Bester, K.; Biller, P. Hydrothermal liquefaction of sewage sludge; energy considerations and fate of micropollutants during pilot-scale processing. Water Res. 2020, 183, 116101. [Google Scholar] [CrossRef] [PubMed]
- Neyens, E.; Baeyens, J. A review of thermal sludge pre-treatment processes to improve dewaterability. J. Hazard. Mater. 2003, 98, 51–67. [Google Scholar] [CrossRef] [PubMed]
- Escala, M.; Zumbuhl, T.; Koller, C.; Junge, R.; Krebs, R. Hydrothermal carbonization as an energy-efficient alternative to established drying technologies for sewage sludge: A feasibility study on a laboratory scale. Energy Fuels 2013, 27, 454–460. [Google Scholar] [CrossRef]
- Aragón-Briceño, C.; Ross, A.B.; Camargo-Valero, M.A. Evaluation and comparison of product yields and bio-methane potential in sewage digestate following hydrothermal treatment. Appl. Energy 2017, 208, 1357–1369. [Google Scholar] [CrossRef]
- Chen, W.T.; Haque, M.A.; Lu, T.; Aierzhati, A.; Reimonn, G. A perspective on hydrothermal processing of sewage sludge. Curr. Opin. Environ. Sci. Health 2020, 14, 63–73. [Google Scholar] [CrossRef]
- Atkinson, C.J.; Fitzgerald, J.D.; Hipps, N.A. Potential mechanisms for achieving agricultural benefits from biochar application to temperate soils: A review. Plant Soil 2010, 337, 1–18. [Google Scholar] [CrossRef]
- Steinbeiss, S.; Gleixner, G.; Antonietti, M. Effect of biochar amendment on soil carbon balance and soil microbial activity. Soil Biol. Biochem. 2009, 41, 1301–1310. [Google Scholar] [CrossRef]
- Reibe, K.; Götz, K.P.; Roß, C.L.; Döring, T.F.; Ellmer, F.; Ruess, L. Impact of quality and quantity of biochar and hydrochar on soil Collembola and growth of spring wheat. Soil Biol. Biochem. 2015, 83, 84–87. [Google Scholar] [CrossRef]
- Busch, D.; Stark, A.; Kammann, C.I.; Glaser, B. Genotoxic and phytotoxic risk assessment of fresh and treated hydrochar from hydrothermal carbonization compared to biochar from pyrolysis. Ecotoxicol. Environ. Saf. 2013, 97, 59–66. [Google Scholar] [CrossRef]
- Sun, X.; Sumida, H.; Yoshikawa, K. Effects of liquid fertilizer produced from sewage sludge by the hydrothermal process on the growth of Komatsuna. Br. J. Environ. Clim. Chang. 2014, 4, 261–278. Available online: https://www.cabdirect.org/cabdirect/FullTextPDF/2014/20143414158.pdf (accessed on 13 October 2022). [CrossRef]
- Mau, V.; Neumann, J.; Wehrli, B.; Gross, A. Nutrient behavior in hydrothermal carbonization aqueous phase following recirculation and reuse. Environ. Sci. Technol. 2019, 53, 10426–10434. [Google Scholar] [CrossRef] [PubMed]
- Shan, G.; Li, W.; Bao, S.; Li, Y.; Tan, W. Co-hydrothermal carbonization of agricultural waste and sewage sludge for product quality improvement: Fuel properties of hydrochar and fertilizer quality of aqueous phase. J. Environ. Manag. 2023, 326, 116781. [Google Scholar] [CrossRef] [PubMed]
- Shan, G.; Li, W.; Bao, S.; Hu, X.; Liu, J.; Zhu, L.; Tan, W. Energy and nutrient recovery by spent mushroom substrate-assisted hydrothermal carbonization of sewage sludge. Waste Manag. 2023, 155, 192–198. [Google Scholar] [CrossRef] [PubMed]
- Vozhdayev, G.V.; Spokas, K.A.; Molde, J.S.; Heilmann, S.M.; Wood, B.M.; Valentas, K.J. Response of maize germination and growth to hydrothermal carbonization filtrate type and amount. Plant Soil 2015, 396, 127–136. [Google Scholar] [CrossRef]
- Maniscalco, M.P.; Volpe, M.; Messineo, A. Hydrothermal carbonization as a valuable tool for energy and environmental applications: A review. Energies 2020, 13, 4098. [Google Scholar] [CrossRef]
- Glaser, B.; Lehmann, J.; Zech, W. Ameliorating physical and chemical properties of highly weathered soils in the tropics with charcoal—A review. Biol. Fertil. Soils 2002, 35, 219–230. [Google Scholar] [CrossRef]
- Cheng, C.H.; Lehmann, J.; Engelhard, M.H. Natural oxidation of black carbon in soils: Changes in molecular form and surface charge along a climosequence. Geochim. Cosmochim. Acta 2008, 72, 1598–1610. [Google Scholar] [CrossRef]
- Major, J.; Rondon, M.; Molina, D.; Riha, S.J.; Lehmann, J. Maize yield and nutrition during 4 years after biochar application to a Colombian savanna oxisol. Plant Soil 2010, 333, 117–128. [Google Scholar] [CrossRef]
- Ghorbani, M.; Konvalina, P.; Neugschwandtner, R.W.; Kopecký, M.; Amirahmadi, E.; Bucur, D.; Walkiewicz, A. Interaction of biochar with chemical, green and biological nitrogen fertilizers on nitrogen use efficiency indices. Agronomy 2022, 12, 2106. [Google Scholar] [CrossRef]
- Jeffery, S.; Verheijen, F.G.; van der Velde, M.; Bastos, A.C. A quantitative review of the effects of biochar application to soils on crop productivity using meta-analysis. Agric. Ecosyst. Environ. 2011, 144, 175–187. [Google Scholar] [CrossRef]
- Mendez, A.; Cárdenas-Aguiar, E.; Paz-Ferreiro, J.; Plaza, C.; Gasco, G. The effect of sewage sludge biochar on peat-based growing media. Biol. Agric. Hortic. 2017, 33, 40–51. [Google Scholar] [CrossRef]
- Taghizadeh-Toosi, A.; Clough, T.J.; Condron, L.M.; Sherlock, R.R.; Anderson, C.R.; Craigie, R.A. Biochar incorporation into pasture soil suppresses in situ nitrous oxide emissions from ruminant urine patches. J. Environ. Qual. 2011, 40, 468–476. [Google Scholar] [CrossRef] [PubMed]
- Huang, H.J.; Yuan, X.Z. The migration and transformation behaviors of heavy metals during the hydrothermal treatment of sewage sludge. Bioresour. Technol. 2016, 200, 991–998. [Google Scholar] [CrossRef] [PubMed]
- Zhang, J.; Lin, Q.; Zhao, X. The hydrochar characters of municipal sewage sludge under different hydrothermal temperatures and durations. J. Integr. Agric. 2014, 13, 471–482. [Google Scholar] [CrossRef]
- Hossain, M.K.; Strezov, V.; Chan, K.Y.; Ziolkowski, A.; Nelson, P.F. Influence of pyrolysis temperature on production and nutrient properties of wastewater sludge biochar. J. Environ. Manag. 2011, 92, 223–228. [Google Scholar] [CrossRef] [PubMed]
- Sousa, A.A.T.C.; Figueiredo, C. Sewage sludge biochar: Effects on soil fertility and growth of radish. Biol. Agric. Hortic. 2016, 32, 127–138. [Google Scholar] [CrossRef]
- Vasilyeva, G.; Butusov, M. Biochar from Municipal Sewage Sludge as Soil Conditioner for Recultivation of urban and industrial areas. Abstract. In Proceedings of the EGU General Assembly Conference, Vienna, Austria, 4–13 April 2018; Volume 20, p. 2547. [Google Scholar]
- Deenik, J.L.; Cooney, M. The potential benefits and limitations of corn cob and sewage sludge biochars in an infertile Oxisol. Sustainability 2016, 8, 131. [Google Scholar] [CrossRef]
- Song, X.D.; Xue, X.Y.; Chen, D.Z.; He, P.J.; Dai, X.H. Application of biochar from sewage sludge to plant cultivation: Influence of pyrolysis temperature and biochar-to-soil ration on yield and heavy metal accumulation. Chemosphere 2014, 109, 213–220. [Google Scholar] [CrossRef]
- Yue, Y.; Cui, L.; Lin, Q.; Li, G.; Zhao, X. Efficiency of sewage sludge biochar in improving urban soil properties and promoting grass growth. Chemosphere 2017, 173, 551–556. [Google Scholar] [CrossRef]
- Faria, W.M.; de Figueiredo, C.C.; Coser, T.R.; Vale, A.T.; Schneider, B.G. Is sewage sludge biochar capable of replacing inorganic fertilizers for corn production? Evidence from a two-year field experiment. Agron. Soil Sci. 2017, 64, 505–519. [Google Scholar] [CrossRef]
- Lichtenthaler, H.K.; Buschmann, C. Chlorophylls and carotenoids: Measurement and characterization by UV-VIS spectroscopy. Curr. Protoc. Food Anal. Chem. 2001, 1, F4.3.1–F4.3.8. [Google Scholar] [CrossRef]
- Dobermann, A. Nutrient use efficiency—Measurement and management. In Proceedings of the International Fertilizer Industry Association, Brussels, Belgium, 7–9 March 2007; pp. 1–22. [Google Scholar]
- Bremner, J.M. Nitrogen—Total. In Methods of Soil Analysis; Part 3, Chemical Methods; Sparks, D.L., Page, A.L., Helmke, P.A., Loeppert, R.H., Soltanpour, P.N., Tabatabai, M.A., Johnston, C.T., Sumner, M.E., Eds.; SSSA Inc.: Madison, WI, USA; ASA Inc.: Bridgman, MI, USA, 1996; pp. 1085–1122. [Google Scholar]
- Mertens, D. AOAC official method 922.02: Plant preparation of laboratory sample. In Official Methods of Analysis, 18th ed.; Chapter 3; Horwitz, W., Latimer, G.W., Eds.; AOAC: Gaitherburg, MD, USA, 2005; pp. 1–2. [Google Scholar]
- Mertens, D. AOAC official method 975.03. Metal in plants and pet foods. In Official Methods of Analysis, 18th ed.; Chapter 3; Horwitz, W., Latimer, G.W., Eds.; AOAC Intl.: Gaitherburg, MA, USA, 2005; pp. 3–4. [Google Scholar]
- Bremner, J.M.; Mulvaney, C.S. Salicylic Acid-thiosulfate Modification of Kjeldahl Method to Include Nitrate and Nitrite. In Methods of Soil Analysis. Part 2, Chemical and Microbiological Properties, 2nd ed.; Page, A.L., Ed.; Academic Press: New York, NY, USA, 1982; pp. 621–622. [Google Scholar]
- Rhoades, J.D. Salinity: Electrical Conductivity and Total Dissolved Solids. In Methods of Soil Analysis; Part 3, Chemical Methods; Sparks, D.L., Page, A.L., Helmke, P.A., Loeppert, R.H., Soltanpour, P.N., Tabatabai, M.A., Johnston, C.T., Sumner, M.E., Eds.; SSSA Inc.: Madison, WI, USA; ASA Inc.: Bridgman, MI, USA, 1996; pp. 417–435. [Google Scholar] [CrossRef]
- McLean, E.O. Soil pH and lime requirement. In Methods of Soil Analysis. Part 2. Chemical and Microbiological Properties, 2nd ed.; Monograph No. 9; Page, A.L., Miller, R.H., Keeney, D.R., Eds.; ASA-SSSA: Madison, WI, USA, 1982; pp. 199–224. [Google Scholar] [CrossRef]
- Nelson, D.W.; Sommers, L.E. Total carbon, organic carbon, and organic matter. In Methods of Soil Analysis, Part 2, 2nd ed.; Page, A.L., Ed.; John Wiley & Sons: Madison, WI, USA, 1996; Volume 14, pp. 961–1010. [Google Scholar] [CrossRef]
- Mengel, K. Available nitrogen in soils and its determination by the ‘Nmin-method and by electroultrafiltration (EUF). Fertil. Res. 1991, 28, 251–262. [Google Scholar] [CrossRef]
- Mordoğan, N.; Ceylan, Ş.; Çakıcı, H.; Yoldaş, F. The effects of nitrogen fertilization on nitrogen accumulation of lettuce plants. J. Ege Univ. Fac. Agric. 2001, 38, 85–92. Available online: https://dergipark.org.tr/tr/pub/zfdergi/issue/5070/69202 (accessed on 13 October 2022).
- Bargmann, I.; Rillig, M.C.; Kruse, A.; Greef, J.M.; Kücke, M. Effects of hydrochar application on the dynamics of soluble nitrogen in soils and on plant availability. J. Plant Nutr. Soil Sci. 2014, 177, 48–58. [Google Scholar] [CrossRef]
- Schimmelpfennig, S.; Kammann, C.; Moser, G.; Grünhage, L.; Müller, C. Changes in macro-and micronutrient contents of grasses and forbs following M iscanthus x giganteus feedstock, hydrochar and biochar application to temperate grassland. Grass Forage Sci. 2015, 70, 582–599. [Google Scholar] [CrossRef]
- Singh, S.; Kumar, V.; Dhanjal, D.S.; Datta, S.; Bhatia, D.; Dhiman, J.; Datta, S.; Bhatia, D.; Dhiman, J.; Samuel, J.; et al. A sustainable paradigm of sewage sludge biochar: Valorization, opportunities, challenges and future prospects. J. Clean. Prod. 2020, 269, 122259. [Google Scholar] [CrossRef]
- Chu, Q.; Xue, L.; Singh, B.P.; Yu, S.; Müller, K.; Wang, H.; Feng, Y.; Pan, G.; Zheng, X.; Yang, L. Sewage sludge-derived hydrochar that inhibits ammonia volatilization, improves soil nitrogen retention and rice nitrogen utilization. Chemosphere 2020, 245, 125558. [Google Scholar] [CrossRef]
- Melo, T.M.; Bottlinger, M.; Schulz, E.; Leandro, W.M.; de Aguiar Filho, A.M.; Wang, H.; Ok, Y.S.; Rinklebe, J. Plant and soil responses to hydrothermally converted sewage sludge (sewchar). Chemosphere 2018, 206, 338–348. [Google Scholar] [CrossRef]
- Bargmann, I.; Rillig, M.C.; Buss, W.; Kruse, A.; Kuecke, M. Hydrochar and biochar effects on germination of spring barley. J. Agron. Crop Sci. 2013, 199, 360–373. [Google Scholar] [CrossRef]
- Miceli, A.; Miceli, C. Effect of nitrogen fertilization on the quality of swiss chard at harvest and during storage as minimally processed produce. J. Food Qual. 2014, 37, 125–134. [Google Scholar] [CrossRef]
- Inne, A.; Kul, R.; Ekinci, M.; Turan, M.; Yıldrım, E. Nitrogen Fertilization Affects Growth, Yield, Nitrate and Mineral Content of Garden Cress (Lepidium sativum L.). YYU J. Agric. Sci. 2021, 31, 89–97. [Google Scholar] [CrossRef]
- Mozafar, A. Nitrogen fertilizers and the amount of vitamins in plants: A review. J. Plant Nutr. 1993, 16, 2479–2506. [Google Scholar] [CrossRef]
- Lee, S.K.; Kader, A.A. Preharvest and postharvest factors influencing vitamin C content of horticultural crops. Postharvest Biol. Technol. 2000, 20, 207–220. [Google Scholar] [CrossRef]
- Yildirim, E.; Guvenc, I.; Turan, M.; Karatas, A. Effect of foliar urea application on quality, growth, mineral uptake and yield of broccoli (Brassica oleracea L., var. Italica). Plant Soil Environ. 2007, 53, 120. [Google Scholar] [CrossRef]
- Yildirim, E.; Cil, B.; Ekinci, M.; Turan, M.; Dursun, A.; Gunes, A.; Kul, R.; Kitir, N. Effects of the intercropping system and nitrogen fertilization on land equivalent ratio, yield and mineral content of broccoli. Acta Sci. Pol. Hortorum Cultus 2020, 19, 101–109. [Google Scholar] [CrossRef]
- Zhan, L.J.; Fontana, E.; Tibaldi, G.; Nicola, S. Qualitative and physiological response of minimally processed garden cress (Lepidium sativum L.) to harvest handling and storage conditions. J. Agric. Environ. Food Sci. 2009, 7, 43–50. Available online: http://hdl.handle.net/2318/75849 (accessed on 13 October 2022).
- Tuncay, Ö.; Eşiyok, D.; Yağmur, B.; Okur, B. Yield and quality of garden cress affected by different nitrogen sources and growing period. Afr. J. Agric. Res. 2011, 6, 608–617. [Google Scholar] [CrossRef]
- Chapman, S.C.; Barreto, H.J. Using a chlorophyll meter to estimate specific leaf nitrogen of tropical maize during vegetative growth. Agron. J. 1997, 89, 557–562. [Google Scholar] [CrossRef]
- Shaahan, M.M.; El-Sayed, A.A.; Abou El-Nour, E.A.A. Predicting nitrogen, magnesium, and iron nutritional status in some perennial crops using a portable chlorophyll meter. Sci. Hortic. 1999, 82, 339–348. [Google Scholar] [CrossRef]
- Sandoval-Villa, M.; Guertal, E.A.; Wood, C.W. Tomato leaf chlorophyll meter readings as affected by variety, nitrogen form, and nighttime nutrient solution strength. J. Plant Nutr. 2002, 25, 2129–2142. [Google Scholar] [CrossRef]
- Westerveld, S.M.; McKeown, A.W.; McDonald, M.R.; Scott-Dupree, C.D. Assessment of chlorophyll and nitrate meters as field tissue nitrogen tests for cabbage, onions, and carrots. HortTechnology 2004, 14, 179–188. [Google Scholar] [CrossRef]
- Liu, Y.J.; Tong, Y.P.; Zhu, Y.G.; Ding, H.; Smith, F.A. Leaf chlorophyll readings as an indicator for spinach yield and nutritional quality with different nitrogen fertilizer applications. J. Plant Nutr. 2006, 29, 1207–1217. [Google Scholar] [CrossRef]
- Celletti, S.; Lanz, M.; Bergamo, A.; Benedetti, V.; Basso, D.; Baratieri, M.; Basso, D.; Baratieri, M.; Cesco, S.; Mimmo, T. Evaluating the aqueous phase from hydrothermal carbonization of cow manure digestate as possible fertilizer solution for plant growth. Front. Plant Sci. 2021, 12, 1317. [Google Scholar] [CrossRef] [PubMed]
- Leiva-Suárez, B.; Paneque, M.; De la Rosa, J.M.; González-Pérez, J.A.; Leiva, M.J.; Knicker, H. Soil amendment with sewage sludge-derived chars increases C-sequestration potential and provides N and P for plant growth during a second cropping period with Lolium perenne. Eur. J. Soil Sci. 2021, 72, 1256–1269. [Google Scholar] [CrossRef]
- Smatanova, M.; Richter, R.; Hulisek, J. Spinach and pepper response to nitrogen and sulphur fertilization. Plant Soil Environ. 2004, 50, 303–308. [Google Scholar] [CrossRef]
- Liu, C.W.; Sung, Y.; Chen, B.C.; Lai, H.Y. Effects of nitrogen fertilizers on the growth and nitrate content of lettuce (Lactuca sativa L.). Int. J. Environ. Res. Public Health 2014, 11, 4427–4440. [Google Scholar] [CrossRef]
- Marin-Batista, J.D.; Villamil, J.A.; Qaramaleki, S.V.; Coronella, C.J.; Mohedano, A.F.; de La Rubia, M.A. Energy valorization of cow manure by hydrothermal carbonization and anaerobic digestion. Renew. Energy 2020, 160, 623–632. [Google Scholar] [CrossRef]
- Zhang, X.; Zhang, L.; Li, A. Hydrothermal co-carbonization of sewage sludge and pinewood sawdust for nutrient-rich hydrochar production: Synergistic effects and products characterization. J. Environ. Manag. 2017, 201, 52–62. [Google Scholar] [CrossRef]
- Wang, L.; Chang, Y.; Liu, Q. Fate and distribution of nutrients and heavy metals during hydrothermal carbonization of sewage sludge with implication to land application. J. Clean. Prod. 2019, 225, 972–983. [Google Scholar] [CrossRef]
- Callegari, A.; Capodaglio, A.G. Properties and beneficial uses of (bio) chars, with special attention to products from sewage sludge pyrolysis. Resources 2018, 7, 20. [Google Scholar] [CrossRef]
Publisher’s Note: MDPI stays neutral with regard to jurisdictional claims in published maps and institutional affiliations. |
© 2022 by the authors. Licensee MDPI, Basel, Switzerland. This article is an open access article distributed under the terms and conditions of the Creative Commons Attribution (CC BY) license (https://creativecommons.org/licenses/by/4.0/).