Stoichiometric Characteristics of Leaf, Litter and Soil during Vegetation Succession in Maolan National Nature Reserve, Guizhou, China
Abstract
1. Introduction
2. Materials and Methods
2.1. Overview of the Study Area
2.2. Sampling Site Setting
2.3. Sampling Site Survey
2.4. Sample Collection
2.5. Sample Processing and Measurement
2.6. Data Processing and Analysis
- 1.
- When acquiring the data for the nutrient contents in plant leaf, a weighted average of the importance value index of the dominant species at the different layers of each community (tree, shrub and herbaceous layers) was adopted as a weighting factor within each sampling site. The formula is as follows:where is C, N, P and K contents in leaf in Layer at the sampling sites (, corresponding to the tree, shrub and herb layers, respectively); represents the average value (g·kg−1) of C, N, P and K contents in Species j in Layer ( is the number of dominant species in each layer with ).
- 2.
- When acquiring the data for the nutrient contents in litter, a weighted average of the biomass density of the undecomposed and semi–decomposed layers of the litter in each sampling sites was adopted as a weighting factor. The formula is as follows:where means the average value (g·kg−1) of C, N, P and K contents in the litter at the sampling sites; is C, N, P and K contents in the litter in Layer (, representing the undecomposed and semi–decomposed layers, respectively) at the sampling sites; is the biomass density (g·m−2) of the litter in Layer .
- 3.
- The nutrient contents of the soil are the average value of the topsoil (0–10 cm) for each profile at the sampling sites.
- 4.
- The allometric relationship [67], estimated using Package SMATR in R4.1.2 for standardized major axis estimation (SMA), reflects the variations between two attributes (e.g., C, N, P, K contents) within the organism during plant growth [56]. The most commonly used formula is as follows:where and mean the biological properties, while and are constants. However, in practical studies, the equations are often presented in logarithmic form, as follows:where the allometric scaling exponent is the slope; is the intercept of a straight line.
- 5.
- The nutrient–use efficiency reflects how well the plant use the nutrients from the soil and the plant’s adaptability [68]. This study adopts Chapin’s unit to calculate . The formula is as follows:where refers to the nutrient–use efficiency; means the vegetation biomass; represents the plant’s nutrient restoration (kg·hm−2); and is N, P contents in the leaf of the layers of the main communities (HC, SC, SF and PF) at the sampling sites (g·kg−1).
- 6.
- The nutrient resorption efficiency is the efficiency with which nutrients are transferred from the senescing leaves to the new plant tissues or organs. Plant’s N, P resorption efficiency is calculated with the following equation [69]:where refers to nutrient resorption efficiency (%); is N, P contents in leaf of the layers of the main communities at the sampling sites (g·kg−1); and is the average N, P contents in litter at each sampling sites (g·kg−1).
- 7.
- Stoichiometric homeostasis refers to an organism’s ability [70] to maintain a given elemental composition in the body despite the variation in the elemental composition of its environment or diet. Homeostasis is expressed by the index . Sterner and Elser proposed a model of stoichiometric homeostasis based on their theoretical derivation and studies, and this model is as follows [8]:where is the content of the soil alkali–hydrolysable nitrogen or available P (mg·kg−1) in the topsoil at each sampling site, or N:P ratio; means the contents (g·kg−1) of the total nitrogen (TN), total phosphorus (TP) in the plant leaf of the layers of the main communities at the sampling sites, or N:P ratio; is the constant; and is the plant’s homeostasis index. The significance test for the linear regression analysis is a one–sided test with . It is defined as “absolute homeostasis” in p > 0.1; when p values are less than or equal to 0.1, the homeostasis is divided into four types, in accordance with the level of the homeostasis index , i.e., “homeostatic” , “weak homeostatic” , “weak sensitive” and “sensitive” [71].
- 8.
- In this study, the C, N, P and K contents in plant leaf, litter and soil are expressed as mass contents and the stoichiometric ratios between the elements are used as mass ratios. Excel 2013 and SPSS 22.0 were used for data processing and statistical analysis; Origin 2021 software was used for graphing. The data were tested for normality using the Kolmogorov–Smirnov test (K–S); the data were first log–transformed (i.e., ) in correlation analysis to be in line with the ANOVA assumption and normal distribution. The data were subjected to homogeneity of variance test when ANOVA test was performed, using the LSD method for normally distributed data with equal variances, or Tamhane’s T2 method for normally distributed data with unequal variances [72].
3. Results
3.1. C, N, P and K Contents in Leaf, Litter and Soil of Different Successional Communities
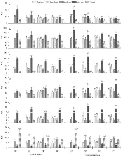
3.2. Stoichiometric Characteristics of C, N, P and K in Leaf, Litter and Soil of Successional Communities
3.3. Correlation of C, N, P and K Contents in Leaf, Litter and Soil and Their Stoichiometric Characteristics
3.4. N and P Use Efficiency and Nutrient Resorption Efficiency of Plants in Successional Communities
3.5. Allometric Relationships of Nutrient Contents in Plant Leaves during Vegetation Succession
3.6. Characteristics of Homeostasis of Leaf N and P Contents and N:P Ratio in Vegetation Succession
4. Discussions
4.1. Vegetation Succession Influence on C, N, P and K Contents in Leaf, Litter and Soil
4.2. Vegetation Succession Influence on Stoichiometric Characteristics of C, N, P and K in Leaf, Litter and Soil
4.3. Correlation of Leaf–Litter–Soil C, N, P and K Contents and Stoichiometric Ratios
4.4. Vegetation Succession Influence on Plant Leaf Homeostasis and Nutrient Use Strategies
5. Conclusions
Author Contributions
Funding
Institutional Review Board Statement
Informed Consent Statement
Data Availability Statement
Conflicts of Interest
References
- Hessen, D.O.; Elser, J.J.; Sterner, R.W.; Urabe, J. Ecological stoichiometry: An elementary approach using basic principles. Limnol. Oceanogr. 2013, 58, 2219–2236. [Google Scholar] [CrossRef]
- Wang, Y.Q.; Song, M.L.; Bao, G.S.; Ying, Y.L.; Wang, H.S. Variation of C, N and P stoichiometry in plant and soil after removal Stellera chamaejasme in Stellera chamaejasme patches. Acta Ecol. Sin. 2021, 41, 6280–6288. [Google Scholar] [CrossRef]
- Reich, P.B.; Tjoelker, M.G.; Machado, J.L.; Oleksyn, J. Universal scaling of respiratory metabolism, size and nitrogen in plants. Nature 2006, 439, 457–461. [Google Scholar] [CrossRef] [PubMed]
- Sun, C.L.; Wang, Y.W.; Wang, C.J.; Li, Q.J.; Wu, Z.H.; Yuan, D.S.; Zhang, J.L. Effects of land use conversion on soil extracellular enzyme activity and its stoichiometric characteristics in karst mountainous areas. Acta Ecol. Sin. 2021, 41, 4140–4149. [Google Scholar] [CrossRef]
- Wei, X.M.; Zhu, Z.K.; Liu, Y.; Luo, Y.; Deng, Y.W.; Xu, X.L.; Liu, S.L.; Richter, A.; Shibistova, O.; Guggenberger, G.; et al. C:N:P stoichiometry regulates soil organic carbon mineralization and concomitant shifts in microbial community composition in paddy soil. Biol. Fert. Soils 2020, 56, 1093–1107. [Google Scholar] [CrossRef]
- Liu, L.B.; Zhong, Q.L.; Ni, J. Ecosystem C: N: P stoichiometry and storages of a secondary plateau-surface karst forest in Guizhou Province, southwestern China. Acta Ecol. Sin. 2019, 39, 8606–8614. [Google Scholar] [CrossRef]
- He, J.S.; Han, X.G. Ecological stoichiometry: Searching for unifying principles from individuals to ecosystems. Chin. J. Plant Ecol. 2010, 34, 2–6. [Google Scholar] [CrossRef]
- Sterner, R.W.; Elser, J.J. Ecological Stoichiometry: The Biology of Elements from Molecules to the Biosphere; Princeton University Press: Princeton, NJ, USA, 2002; pp. 167–196. [Google Scholar]
- Li, M.J.; Yu, L.F.; Du, M.F.; Huang, Z.S.; Shi, J.H. C, N, and P stoichiometry and their interaction with plants, litter, and soil in a Cunninghamia lanceolata plantation with different ages. Acta Ecol. Sin. 2018, 38, 7772–7781. [Google Scholar] [CrossRef]
- Hu, X.Y.; Duan, A.G.; Zhang, J.G.; Du, H.L.; Zhang, X.Q.; Guo, W.F.; Sun, J.J. Stoichiometry of carbon, nitrogen, and phosphorus of Chinese fir plantations in Daqing Mountain, Guangxi. Acta Ecol. Sin. 2020, 40, 1207–1218. [Google Scholar] [CrossRef]
- Elser, J.J.; Bracken, M.E.S.; Cleland, E.E.; Gruner, D.S.; Harpole, W.S.; Hillebrand, H.; Ngai, J.T.; Seabloom, E.W.; Shurin, J.B.; Smith, J.E. Global analysis of nitrogen and phosphorus limitation of primary producers in freshwater, marine and terrestrial Ecosystems. Ecol. Lett. 2007, 10, 1135–1142. [Google Scholar] [CrossRef]
- Xiong, X.S.; Cai, H.Y.; Li, Y.Q.; Ma, W.H.; Niu, K.C.; Chen, D.M.; Liu, N.N.; Su, X.Y.; Jing, H.Y.; Feng, X.J.; et al. Seasonal dynamics of leaf C, N and P stoichiometry in plants of typical steppe in Nei Mongol, China. Chin. J. Plant Ecol. 2020, 44, 1138–1153. [Google Scholar] [CrossRef]
- Wang, Z.F.; Zheng, F.L. C, N, and P stoichiometric characteristics of Pinus tabulaeformis plantation in the Ziwuling Region of the Loess Plateau. Acta Ecol. Sin. 2018, 38, 6870–6880. [Google Scholar] [CrossRef]
- Hu, Q.J.; Sheng, M.Y.; Yin, J.; Bai, Y.X. Stoichiometric characteristics of fine roots and rhizosphere soil of Broussonetia papyrifera adapted to the karst rocky desertification environment in southwest China. Chin. J. Plant Ecol. 2020, 44, 962–972. [Google Scholar] [CrossRef]
- He, J.; Yang, W.Q.; Ni, X.Y.; Li, H.; Xu, L.Y.; Wu, F.Z. Effects of snow patch on the dynamics of potassium and sodium during litter decomposition in winter in a subalpine forest of western Sichuan. Chin. J. Plant Ecol. 2014, 38, 550–561. [Google Scholar] [CrossRef]
- Jing, H.X.; Sun, N.X.; Umair, M.; Liu, C.J.; Du, H.M. Stoichiometric characteristics of soils and dominant shrub leaves and their responses to water addition in different seasons in degraded karst areas in Southern Yunnan of China. Chin. J. Plant Ecol. 2020, 44, 56–69. [Google Scholar] [CrossRef]
- Maathuis, F.J.M. Physiological functions of mineral macronutrients. Curr. Opin. Plant Biol. 2009, 12, 250–258. [Google Scholar] [CrossRef] [PubMed]
- Hu, C.; Hu, G.; Zhang, Z.H.; Li, F. Stoichiometric characteristics of submerged macrophytes in the Chengjiang karst wetland, Guangxi, China. Acta Ecol. Sin. 2021, 41, 5300–5308. [Google Scholar] [CrossRef]
- Liu, Y.; Liu, Q.L.; Wang, T.L.; Fang, S.Z. Leaf nitrogen and phosphorus stoichiometry of Cyclocarya paliurus across China. Forests 2018, 9, 771. [Google Scholar] [CrossRef]
- Zhang, Y.J.; Wang, K.Q.; Song, Y.L.; Su, M.B.; Li, X.L.; Li, X.F. C, N and P stoichiometric characteristics of leaf, litter and soil for subalpine forests in central Yunnan, China. Acta Ecol. Sin. 2020, 40, 7648–7658. [Google Scholar] [CrossRef]
- Wang, B.R.; Zeng, Q.C.; An, S.S.; Zhang, H.X.; Bai, X.J. C:N:P stoichiometry characteristics of plants-litter-soils in two kind types of natural secondary forest on the Ziwuling region of the Loess Plateau. Acta Ecol. Sin. 2017, 37, 5461–5473. [Google Scholar] [CrossRef]
- Yang, J.J.; Zhang, X.R.; Ma, L.S.; Chen, Y.N.; Dang, T.H.; An, S.S. Ecological stoichiometric relationships between components of Robinia pseudoacacia forest in loess plateau. Acta Pedol. Sin. 2014, 51, 133–142. [Google Scholar] [CrossRef]
- Zhang, P.; Zhang, G.Q.; Zhao, Y.P.; Peng, S.Z.; Chen, Y.M.; Cao, Y. Ecological stoichiometry characteristics of leaf-litter-soil interactions in different forest types in the Loess hilly-gully region of China. Acta Ecol. Sin. 2018, 38, 5087–5098. [Google Scholar] [CrossRef]
- Jiang, P.P.; Chen, Y.M.; Gao, Y. C:N:P stoichiometry and carbon storage in a naturally-regenerated secondary Quercus variabilis forest age sequence in the Qinling mountains, China. Forests 2017, 8, 281. [Google Scholar] [CrossRef]
- Rong, Q.Q.; Liu, J.T.; Cai, T.P.; Lu, Z.H.; Zhao, Z.Z.; Yue, W.C.; Xia, J.B. Leaf carbon, nitrogen and phosphorus stoichiometry of Tamarix chinensis Lour. in the Laizhou Bay coastal wetland, China. Ecol. Eng. 2015, 76, 57–65. [Google Scholar] [CrossRef]
- Aerts, R.; Chapin, F.S., III. The mineral nutrition of wild plants revisited: A re-evaluation of processes and patterns. Adv. Ecol. Res. 1999, 30, 1–67. [Google Scholar] [CrossRef]
- Güsewell, S. N:P ratios in terrestrial plants: Variation and functional significance: Tansley review. New Phytol. 2004, 164, 243–266. [Google Scholar] [CrossRef]
- Tessier, J.T.; Raynal, D.J. Use of nitrogen to phosphorus ratios in plant tissue as an indicator of nutrient limitation and nitrogen saturation. J. Appl. Ecol. 2003, 40, 523–534. [Google Scholar] [CrossRef]
- Wang, S.Q.; Yu, G.R. Ecological stoichiometry characteristics of ecosystem carbon, nitrogen and phosphorus elements. Acta Ecol. Sin. 2008, 28, 3937–3947. [Google Scholar]
- Zeng, Z.X.; Wang, K.L.; Liu, X.L.; Zeng, F.P.; Song, T.Q.; Peng, W.X.; Zhang, H.; Du, H. Stoichiometric characteristics of plants, litter and soils in karst plant communities of northwest Guangxi. Chin. J. Plant Ecol. 2015, 39, 682–693. [Google Scholar] [CrossRef]
- Wang, W.Q.; Xu, L.L.; Zeng, C.S.; Tong, C.; Zhang, L.H. Carbon, nitrogen and phosphorus ecological stoichiometric ratios among live plant-litter-soil systems in estuarine wetland. Acta Ecol. Sin. 2011, 31, 134–139. [Google Scholar]
- Wang, L.J.; Wang, P.; Sheng, M.Y.; Tian, J. Ecological stoichiometry and environmental influencing factors of soil nutrients in the karst rocky desertification ecosystem, southwest China. Glob. Ecol. Conserv. 2018, 16, e449. [Google Scholar] [CrossRef]
- Liu, L.B.; Ni, J.; Zhong, Q.L.; Hu, G.; Zhang, Z.H. High Mortality and Low Net Change in LiveWoody Biomass of Karst Evergreen and Deciduous Broad-Leaved Mixed Forest in Southwestern China. Forests 2018, 9, 263. [Google Scholar] [CrossRef]
- Jiang, Z.; Lian, Y.; Qin, X. Rocky desertification in Southwest China: Impacts, causes, and restoration. Earth-Sci. Rev. 2014, 132, 1–12. [Google Scholar] [CrossRef]
- Zhang, Y.; Zhou, C.; Lv, W.; Dai, L.; Tang, J.; Zhou, S.; Huang, L.; Li, A.; Zhang, J. Comparative study of the stoichiometric characteristics of karst and non-karst forests in Guizhou, China. J. For. Res. 2019, 30, 8. [Google Scholar] [CrossRef]
- Chazdon, R.L. Tropical forest recovery: Legacies of human impact and natural disturbances. Perspect. Plant Ecol. Evol. Syst. 2003, 6, 51–71. [Google Scholar] [CrossRef]
- Kafy, A.A.; Rahman, M.M.; Faisal, A.A.; Hasan, M.M.; Islam, M. Modelling future land use land cover changes and their impacts on land surface temperatures in Rajshahi, Bangladesh. Remote Sens. Appl. Soc. Environ. 2020, 18, 100314. [Google Scholar] [CrossRef]
- Kafy, A.A.; Rakib, A.A.; Akter, K.S.; Rahaman, Z.A.; Faisal, A.A.; Mallik, S.; Nasher, N.M.R.; Hossain, M.I.; Ali, M.Y. Monitoring the effects of vegetation cover losses on land surface temperature dynamics using geospatial approach in Rajshahi City, Bangladesh. Environ. Chall. 2021, 4, 100187. [Google Scholar] [CrossRef]
- Kafy, A.A.; Faisal, A.A.; Rahman, M.S.; Islam, M.; Rakib, A.A.; Islam, M.A.; Khan, M.H.H.; Sikdar, M.S.; Sarker, M.H.S.; Mawa, J.; et al. Prediction of seasonal urban thermal field variance index using machine learning algorithms in Cumilla, Bangladesh. Sustain. Cities Soc. 2020, 64, 102542. [Google Scholar] [CrossRef]
- An, M.T. Studies on Maintenance Mechanism of Plant Species Diversity and Soil Moisture and Nutrient Pattern in Karst Forest. Ph.D. Thesis, Guizhou University, Guiyang, China, 2019. [Google Scholar]
- Faisal, A.A.; Kafy, A.A.; Rakib, A.A.; Akter, K.S.; Jahir, D.M.A.; Sikdar, M.S.; Ashrafi, T.J.; Mallik, S.; Rahman, M.M. Assessing and predicting land use/land cover, land surface temperature and urban thermal field variance index using Landsat imagery for Dhaka Metropolitan area. Environ. Chall. 2021, 4, 100192. [Google Scholar] [CrossRef]
- Wang, Z.F.; Zheng, F.L. Ecological stoichiometry of plant leaves, litter and soils in a secondary forest on China′s Loess Plateau. PeerJ 2020, 8, e10084. [Google Scholar] [CrossRef] [PubMed]
- Bienes, R.; Marques, M.J.; Sastre, B.; García-Díaz, A.; Ruiz-Colmenero, M. Eleven years after shrub revegetation in semiarid eroded soils. Influence in soil properties. Geoderma 2016, 273, 106–114. [Google Scholar] [CrossRef]
- Wang, H.F.; Lencinas, M.V.; Friedman, C.R.; Wang, X.K.; Qiu, J.X. Understory plant diversity assessment of Eucalyptus plantations over three vegetation types in Yunnan, China. New Forest. 2011, 42, 101–116. [Google Scholar] [CrossRef]
- Zhao, F.Z.; Zhang, L.; Sun, J.; Ren, C.J.; Han, X.H.; Yang, G.H.; Pang, G.W.; Bai, H.Y.; Wang, J. Effect of soil C,N and P stoichiometry on soil organic C fractions after afforestation. Pedosphere 2017, 27, 705–713. [Google Scholar] [CrossRef]
- Wu, P.; Cui, Y.C.; Zhao, W.J.; Hou, Y.J.; Zhu, J.; Ding, F.J.; Yang, W.B. Leaf stoichiometric characteristics of 68 typical plant species in Maolan National Nature Reserve, Guizhou, China. Acta Ecol. Sin. 2020, 40, 5063–5080. [Google Scholar] [CrossRef]
- Luo, X.Q.; Zhang, G.L.; Du, X.L.; Wang, S.J.; Yang, H.Y.; Huang, T.Z. Characteristics of element contents and ecological stoichiometry in leaves of common calcicole species in Maolan karst forest. Ecol. Environ. Sci. 2014, 23, 1121–1129. [Google Scholar]
- Pang, F.J.; Zhang, W.; Wang, K.L.; He, X.Y.; Liang, S.C.; Wei, G.F. Litter C:N:P ecological stoichiometry character of plant communities in typical Karst Peak-Cluster Depression. Acta Ecol. Sin. 2011, 31, 335–343. [Google Scholar]
- Zhao, Y.J.; Zhang, J.; Song, H.Y.; Li, Z.; Li, S.H.; Tao, J.P.; Liu, J.C. Effects of different soil thickness, water and planting patterns on the litter mass loss and stoichiometry characteristics of two herbs in the karst regions. Acta Ecol. Sin. 2018, 38, 6549–6558. [Google Scholar] [CrossRef]
- Zheng, L.; Long, C.L. Eco-stoichiometric characteristics of soil in different topographical sites of Maolan karst forest. J. South. Agric. 2020, 51, 545–551. [Google Scholar] [CrossRef]
- Wu, P.; Cui, Y.C.; Zhao, W.J.; Shu, D.Y.; Hou, Y.J.; Ding, F.J.; Yang, W.B. Characteristics of soil stoichiometric in natural restoration process of Maolan karst forest vegetation, southwestern China. J. Beijing For. Univ. 2019, 41, 80–92. [Google Scholar] [CrossRef]
- Zeng, Z.X.; Wang, K.L.; Liu, X.L.; Zeng, F.P.; Song, T.Q.; Peng, W.X.; Zhang, H.; Du, H. Stoichiometric characteristics of live fresh leaves and leaf litter from typical plant communities in a karst region of northwestern Guangxi, China. Acta Ecol. Sin. 2016, 36, 1907–1914. [Google Scholar] [CrossRef]
- Yu, Y.F.; Peng, W.X.; Song, T.Q.; Zeng, F.P.; Wang, K.L.; Wen, L.; Fan, F.J. Stoichiometric characteristics of plant and soil C, N and P in different forest types in depressions between karst hills, southwest China. Chin. J. Appl. Ecol. 2014, 25, 947–954. [Google Scholar]
- Xiao, X.F.; Chen, J.Z.; Liao, X.F.; Liu, J.M.; Wang, D.; Li, J.; Yan, Q.X. Ecological stoichiometry of Cinnamomum migao leaf litter and soil nutrients under nitrogen deposition in a karst region. Ecosphere 2021, 12, e3738. [Google Scholar] [CrossRef]
- Guo, Y.L.; Li, D.X.; Wang, B.; Bai, K.D.; Xiang, W.S.; Li, X.K. C, N and P stoichiometric characteristics of soil and litter fall for six common tree species in a northern tropical karst seasonal rainforest in Nonggang, Guangxi, southern China. Biodivers. Sci. 2017, 25, 1085–1094. [Google Scholar] [CrossRef]
- Chen, C.; Zhang, S.J.; Li, L.D.; Liu, Z.D.; Chen, J.L.; Gu, X.; Wang, L.F.; Fang, X. Carbon, nitrogen and phosphorus stoichiometry in leaf, litter and soil at different vegetation restoration stages in the mid-subtropical region of China. Chin. J. Plant Ecol. 2019, 43, 658–671. [Google Scholar] [CrossRef]
- Nalaka, G.; Uromi, M.G.; Kunfang, C.; Kaoru, K. Plant ecology of tropical and subtropical karst ecosystems. Biotropica 2019, 51, 626–640. [Google Scholar] [CrossRef]
- Campo, J. Shift from ecosystem P to N limitation at precipitation gradient in tropical dry forests at Yucatan, Mexico. Environ. Res. Lett. 2016, 11, 95006. [Google Scholar] [CrossRef]
- Medina, E.; Cuevas, E.; Lugo, A.E. Substrate Chemistry and Rainfall Regime Regulate Elemental Composition of Tree Leaves in Karst Forests. Forests 2017, 8, 182. [Google Scholar] [CrossRef]
- Hofmeister, J.; Mihaljevič, M.; Hošek, J.; Sádlo, J. Eutrophication of deciduous forests in the Bohemian Karst (Czech Republic): The role of nitrogen and phosphorus. For. Ecol. Manag. 2002, 169, 213–230. [Google Scholar] [CrossRef]
- Lu, M.Z.; Du, H.L.; Song, T.Q.; Peng, W.X.; Su, L.; Zhang, H.; Zeng, Z.X.; Wang, K.L.; Zeng, F.P. Effects of density dependence in an evergreen-deciduous broadleaf karst forest in southwest China. For. Ecol. Manag. 2021, 490, 119142. [Google Scholar] [CrossRef]
- Zhu, S.Q. Ecological research on karst forest (II); Guizhou Science and Technology Press: Guiyang, China, 1997; pp. 9–47, 55–107, 128–159. [Google Scholar]
- Peng, S.L. Studies on Succession of Plant Community Ⅱ. methods for dynamics research. Ecol. Sci. 1994, 2, 117–119. [Google Scholar]
- Yu, L.F.; Zhu, S.Q.; Wei, L.M.; Chen, Z.R.; Xiong, Z.B. Study on the natural restoration process of degraded karst communities-successional sere. J. Mt. Agric. Biol. 1998, 17, 71–77, 86. [Google Scholar]
- Wu, P.; Zhou, H.; Cui, Y.C.; Zhao, W.J.; Hou, Y.J.; Zhu, J.; Ding, F.J. Stoichiometric characteristics of leaf nutrients in karst plant species during natural restoration in Maolan National Nature Reserve, Guizhou, China. J. Sustain. For. 2021, 1948868. [Google Scholar] [CrossRef]
- LY/T 1210-1275-1999; Forest Soil Analysis Method. Standards Press of China: Beijing, China, 1999.
- Warton, D.I.; Duursma, R.A.; Falster, D.S.; Taskinen, S. Smatr 3-an R package for estimation and inference about allometric lines. Methods Ecol. Evol. 2012, 3, 257–259. [Google Scholar] [CrossRef]
- Chapin, I.F.S. The mineral nutrition of wild plants. Annu. Rev. Ecol. Syst. 1980, 11, 233–260. [Google Scholar] [CrossRef]
- Milla, R.; Castro-Díez, P.; Maestro-Martínez, M.; Montserrat-Martí, G. Does the gradualness of leaf shedding govern nutrient resorption from senescing leaves in Mediterranean woody plants? Plant Soil 2005, 278, 303–313. [Google Scholar] [CrossRef]
- Kooijman, S.A.L.M. The stoichiometry of animal energetics. J. Theor. Biol. 1995, 177, 139–149. [Google Scholar] [CrossRef]
- Persson, J.; Fink, P.; Goto, A.; Hood, J.M.; Jonas, J.; Kato, S. To be or not to be what you eat: Regulation of stoichiometric homeostasis among autotrophs and heterotrophs. Oikos 2010, 119, 741–751. [Google Scholar] [CrossRef]
- Zhang, K.; He, M.Z.; Li, X.R.; Tan, H.J.; Gao, Y.H.; Li, G.; Han, G.J.; Wu, Y.Y. Foliar carbon, nitrogen and phosphorus stoichiometry of typical desert plants across the Alashan Desert. Acta Ecol. Sin. 2014, 34, 6538–6547. [Google Scholar] [CrossRef]
- Pang, Y.; Tian, J.; Zhao, X.; Chao, Z.; Wang, Y.C.; Zhang, X.P.; Wang, D.X. The linkages of plant, litter and soil C:N:P stoichiometry and nutrient stock in different secondary mixed forest types in the Qinling mountains, China. PeerJ 2020, 8, e9274. [Google Scholar] [CrossRef]
- Luo, M.W.; Mao, L.; Li, Q.Q.; Zhao, X.; Xiao, Y.; Jia, T.T.; Guo, Z.G. C, N, and P stoichiometry of plant and soil in the restorable plant communities distributed on the Land Used for Qinghai-Tibet Highway Construction in the Qinghai-Tibetan Plateau, China. Acta Ecol. Sin. 2015, 35, 7832–7841. [Google Scholar] [CrossRef]
- He, Y.J.; Qin, L.; Li, Z.Y.; Liang, X.Y.; Shao, M.X.; Tan, L. Carbon storage capacity of monoculture and mixed-species plantations in subtropical China. For. Ecol. Manag. 2013, 295, 193–198. [Google Scholar] [CrossRef]
- Hu, Y.S.; Yao, X.Y.; Liu, Y.H. N and P stoichiometric traits of plant and soil in different forest succession stages in Changbai mountains. Chin. J. Appl. Ecol. 2014, 25, 632–638. [Google Scholar] [CrossRef]
- Reich, P.B.; Oleksyn, J. Global patterns of plant leaf N and P in relation to temperature and latitude. Proc. Natl. Acad. Sci. USA 2004, 101, 11001–11006. [Google Scholar] [CrossRef] [PubMed]
- Liu, X.Z.; Zhou, G.Y.; Zhang, D.Q.; Liu, S.Z.; Chu, G.W.; Yan, J.H. N and P stoichiometry of plant and soil in lower subtropical forest successional series in southern China. Chin. J. Plant Ecol. 2010, 34, 64–71. [Google Scholar] [CrossRef]
- Su, Y.; He, R.; Yin, H.F.; Guo, M.J.; Li, X.W.; Fan, C.; Liu, S.Z. Effects of Cinnamomum septentrionale in hilly area of central sichuan basin on ecological stoichiometry characteristics of Cupressus funebris forest. Acta Ecol. Sin. 2019, 39, 590–598. [Google Scholar] [CrossRef]
- Yu, Y.F.; He, T.G.; Zeng, C.C.; Song, T.Q.; Peng, W.X.; Wei, C.H.; Su, L.R.; Zhang, Y.; Fan, S. Carbon, nitrogen and phosphorus stoichiometry in plants, litter, soil, and microbes in degraded vegetation communities in a karst area of southwest China. Acta Ecol. Sin. 2022, 42, 935–946. [Google Scholar] [CrossRef]
- Zhao, W.J.; Liu, X.D.; Jin, M.; Zhang, X.L.; Che, Z.X.; Jing, W.M.; Wang, S.L.; Niu, Y.; Qi, P.; Li, W.J. Ecological stoichiometric characteristics of carbon, nitrogen and phosphorus in leaf-litter-soil system of Picea crassifolia forest in the Qilian mountains. Acta Pedol. Sin. 2016, 53, 477–489. [Google Scholar] [CrossRef]
- Takashima, T.; Hikosaka, K.; Hirose, T. Photosynthesis or persistence: Nitrogen allocation in leaves of evergreen and deciduous Quercus species. Plant Cell Environ. 2004, 27, 1047–1054. [Google Scholar] [CrossRef]
- Liu, L.; Ge, J.L.; Shu, H.W.; Zhao, C.M.; Xu, W.T.; Shen, G.Z.; Xie, Z.Q. C, N and P stoichiometric ratios in mixed evergreen and deciduous broadleaved forests in Shennongjia, China. Chin. J. Plant Ecol. 2019, 43, 482–489. [Google Scholar] [CrossRef]
- Elser, J.J.; Acharya, K.; Kyle, M.; Cotner, J.; Makino, W.; Markow, T.; Watts, T.; Hobbie, S.; Fagan, W.; Schade, J.; et al. Growth rate-stoichiometry couplings in diverse biota. Ecol. Lett. 2003, 6, 936–943. [Google Scholar] [CrossRef]
- Bowman, W.D. Accumulation and use of nitrogen and phosphorus following fertilization in two alpine tundra communities. Oikos 1994, 70, 261–270. [Google Scholar] [CrossRef]
- Xu, Y.X.; Wang, Z.C.; Zhang, L.L.; Zhu, W.K.; Du, A.P. The stoichiometric characteristics of C, N and P in leaf-litter-soil of different aged Eucalyptus urophylla × E. grandis Plantations. For. Res. 2018, 31, 168–174. [Google Scholar] [CrossRef]
- Huang, Y.R.; Gao, W.; Huang, S.D.; Lin, J.; Tan, F.L.; You, H.M.; Yang, L. Ecostoichiometric characteristics of carbon, nitrogen and phosphorus in Fujian evergreen broad-leaved forest. Acta Ecol. Sin. 2021, 41, 1991–2000. [Google Scholar] [CrossRef]
- Pang, W.X.; Song, T.Q.; Zeng, F.P.; Wang, K.L.; Fu, W.; Liu, L.; Du, H.; Lu, S.Y.; Ying, Q.C. The coupling relationships between vegetation, soil, and topography factors in karst mixed evergreen and deciduous broadleaf forest. Acta Ecol. Sin. 2010, 30, 3472–3481. [Google Scholar]
- Huang, J.Y.; Lai, R.S.; Yu, H.L.; Chen, W.M. Responses of plant and soil C:N:P stoichiometry to N addition in a desert steppe of Ningxia, northwest China. Chin. J. Ecol. 2013, 32, 2850–2856. [Google Scholar]
- Mcgroddy, M.E.; Daufresne, T.; Hedin, L.O. Scaling of C:N:P stoichiometry in forests worldwide: Implications of terrestrial redfield-type ratios. Ecology 2004, 85, 2390–2401. [Google Scholar] [CrossRef]
- Yu, Y.H.; Zhong, X.P.; Li, H. Ecological stoichiometry of Zanthoxylum planispinum var. dintanensis plantation at different altitudes in rocky desertification area of central Guizhou. Acta Ecol. Sin. 2019, 39, 5536–5545. [Google Scholar] [CrossRef]
- Chen, L.L.; Deng, Q.; Yuan, Z.Y.; Mu, X.M.; Kallenbach, R.L. Age-related C:N:P stoichiometry in two plantation forests in the Loess Plateau of China. Ecol. Eng. 2018, 120, 14–22. [Google Scholar] [CrossRef]
- Yu, Q.; Chen, Q.S.; Elser, J.J.; He, N.P.; Wu, H.H.; Zhang, G.M.; Wu, J.G.; Bai, Y.F.; Han, X.G. Linking stoichiometric homoeostasis with ecosystem structure, functioning and stability. Ecol. Lett. 2010, 13, 1390–1399. [Google Scholar] [CrossRef]
- Chen, Y.H.; Han, W.X.; Tang, L.Y.; Tang, Z.Y.; Fang, J.Y. Leaf nitrogen and phosphorus concentrations of woody plants differ in responses to climate, soil and plant growth form. Ecography 2013, 36, 178–184. [Google Scholar] [CrossRef]
- Han, W.X.; Fang, J.Y.; Reich, P.B.; Ian Woodward, F.; Wang, Z.H. Biogeography and variability of eleven mineral elements in plant leaves across gradients of climate, soil and plant functional type in China. Ecol. Lett. 2011, 14, 788–796. [Google Scholar] [CrossRef] [PubMed]
- Tian, D.; Yan, Z.B.; Fang, J.Y. Review on characteristics and main hypotheses of plant ecological stoichiometry. Chin. J. Plant Ecol. 2021, 45, 682–713. [Google Scholar] [CrossRef]
- Koerselman, W.; Meuleman, A.F.M. The vegetation N:P ratio: A new tool to detect the nature of nutrient limitation. J. Appl. Ecol. 1996, 33, 1441–1450. [Google Scholar] [CrossRef]
- Schreeg, L.A.; Santiago, L.S.; Wright, S.J.; Turner, B.L. Stem, root, and older leaf N:P ratios are more responsive indicators of soil nutrient availability than new foliage. Ecology 2014, 95, 2062–2068. [Google Scholar] [CrossRef] [PubMed]
- Aerts, R. Nutrient resorption from senescing leaves of perennials: Are there general patterns? J. Ecol. 1996, 84, 597–608. [Google Scholar] [CrossRef]
- Han, W.X.; Tang, L.Y.; Chen, Y.H.; Fang, J.Y. Relationship between the relative limitation and resorption efficiency of nitrogen vs. phosphorus in woody plants. PLoS ONE 2013, 8, e83366. [Google Scholar] [CrossRef]
- Tang, L.Y.; Han, W.X.; Chen, Y.H.; Fang, J.Y. Resorption proficiency and efficiency of leaf nutrients in woody plants in eastern China. J. Plant Ecol. 2013, 6, 408–417. [Google Scholar] [CrossRef]
- Yan, E.R.; Wang, X.H.; Guo, M.; Zhong, Q.; Zhou, W. C:N:P stoichiometry across evergreen broad-leaved forests, evergreen coniferous forests and deciduous broad-leaved forests in the Tiantong region, Zhejiang province, eastern China. Chin. J. Plant Ecol. 2010, 34, 48–57. [Google Scholar] [CrossRef]
- Killingbeck, K.T. Nutrients in senesced leaves: Keys to the search for potential resorption and resorption proficiency. Ecology 1996, 77, 1716–1727. [Google Scholar] [CrossRef]
- Bridgham, S.D.; Pastor, J.; McClaugherty, C.A.; Richardson, C.J. Nutrient-use efficiency: A litterfall index, a model, and a test along a nutrient-availability gradient in north Carolina peatlands. Am. Nat. 1995, 145, 1–21. [Google Scholar] [CrossRef]
- Su, B.; Han, X.G.; Huang, J.H.; Qu, C.M. The nutrient use efficiency (NUE) of plants and it′s implications on the strategy of plant adaptation to nutrient-stressed environments. Acta Ecol. Sin. 2000, 20, 335–343. [Google Scholar]






| Successional Community | Sample Area | Altitude /(m) | Slope /(°) | Location | Bedrock Outcrop Rate | Community Characteristics | Dominant Species |
|---|---|---|---|---|---|---|---|
| Herbaceous communities | 10 m × 10 m | 620–710 | 20–30 | Middle slope | 55–75% | Only one layer of herb layer with a height of 1.0–1.5 m and coverage of more than 80%. Very few pioneer tree species with a height of generally 2.0–3.0 m in specific plots. Litter abundant. | Digitaria sanguinalis Imperata cylindrica Pteridium aquilinum Miscanthus floridulus |
| Shrub communities | 20 m × 20 m | 770–790 | 20–30 | Middle slope | 80–85% | The dominant species are mostly shrubs with a height of 3.0–5.0 m and a coverage of >80% and the vertical structure is relatively simple, with few trees. Interlayer plants are common spiny vines. Litter layer 2.0–4.0 cm. | Alangium platanifolium Pyracantha fortuneana Nandina domestica Lindera communis Tirpitzia sinensis |
| Secondary forest | 30 m × 30 m | 760–800 | 20–25 | Lower–middle slope | 70–80% | The hierarchical structure showed obvious differentiation, with relatively developed trees and shrubs. Average height of tree layer 8.0–12.0 m. Shrub height 3.0–5.0 m with a coverage of 10–20%. The forest floor was covered by a small amount of lianas, thorny vines, ferns, lichen, and moss. Litter layer 2.0–3.0 cm. | Pittosporum lenticellatum Platycarya longipes Machilus litseifolia Cornus wilsoniana Lindera communis Daphniphyllum calycinum |
| Primary forest | 30 m × 30 m | 740–780 | 15–35 | Lower–middle slope | 75–85% | The community level differentiation is clear and the structure is complete. It is mainly composed of tall trees with a height of 12–20 m and a coverage of more than 80%. Average height of shrubs 3–8 m with a coverage of 5–10%. Litter layer 2.0–3.0 cm. | Cyclobalanopsis multinervis Carpinus pubescens Phoebe crassipedicella Cornus wilsoniana Castanopsis fargesii Acer wangchii |
| Content | Components | Successional Communities | |||||||
|---|---|---|---|---|---|---|---|---|---|
| Herbaceous Communities | Shrub Communities | Secondary Forest | Primary Forest | ||||||
| Growth Phase | Senescence Phase | Growth Phase | Senescence Phase | Growth Phase | Senescence Phase | Growth Phase | Senescence Phase | ||
| C /(g/kg) | Tree layer | / | / | / | / | 459.02 ± 7.69 aB | 424.00 ± 9.83 aA | 458.05 ± 11.92 aB | 432.54 ± 8.05 aA |
| Shrub layer | / | / | 448.33 ± 26.38 a | 458.07 ± 28.12 a | 472.21 ± 17.07 a | 449.72 ± 9.25 a | 461.03 ± 5.03 a | 432.42 ± 21.50 a | |
| Herb layer | 467.94 ± 5.17 a | 471.31 ± 5.4 aA | 429.62 ± 47.16 a | 423.92 ± 33.91 aAB | 410.76 ± 28.75 a | 388.66 ± 23.26 abAB | 417.47 ± 10.21 aB | 380.92 ± 4.58 bBA | |
| Litter layers | 375.91 ± 7.80 bA | 368.02 ± 20.68 aA | 451.42 ± 7.29 aBB | 344.62 ± 22.22 bABA | 404.44 ± 23.68 aAB | 316.32 ± 11.48 bBA | 380.44 ± 19.45 aAB | 317.78 ± 17.15 cBA | |
| Topsoil | 50.39 ± 4.26 cA | 50.39 ± 4.26 bA | 62.25 ± 5.35 bB | 62.25 ± 5.35 cB | 68.46 ± 9.83 bBC | 68.46 ± 9.83 cBC | 77.36 ± 6.31 bC | 77.36 ± 6.31 dC | |
| N /(g/kg) | Tree layer | / | / | / | / | 17.28 ± 2.74 ac | 15.79 ± 0.58 a | 16.26 ± 1.31 ab | 16.03 ± 1.24 ab |
| Shrub layer | / | / | 18.80 ± 1.43 a | 19.14 ± 3.16 a | 19.99 ± 0.85 a | 20.52 ± 0.83 b | 21.85 ± 1.46 a | 20.76 ± 0.61 a | |
| Herb layer | 16.25 ± 0.71 a | 14.75 ± 0.72 aA | 19.68 ± 5.49 a | 17.49 ± 2.84 aAB | 26.02 ± 3.62 b | 23.64 ± 2.27 cB | 24.27 ± 4.82 ab | 22.37 ± 0.69 aB | |
| Litter layers | 6.32 ± 1.38 bA | 6.58 ± 1.71 bA | 13.18 ± 3.86 aB | 11.38 ± 2.76 bB | 14.32 ± 2.01 cB | 13.42 ± 1.08 dB | 14.19 ± 0.96 bB | 13.45 ± 0.90 bcB | |
| Topsoil | 3.85 ± 0.24 cA | 3.85 ± 0.24 cA | 4.66 ± 0.36 bA | 4.66 ± 0.36 cA | 6.64 ± 0.70 dB | 6.64 ± 0.70 eB | 6.69 ± 0.99 cB | 6.69 ± 0.99 cB | |
| P /(g/kg) | Tree layer | / | / | / | / | 1.48 ± 0.22 aB | 1.00 ± 0.04 aA | 1.50 ± 0.25 aB | 1.02 ± 0.16 adA |
| Shrub layer | / | / | 1.97 ± 1.03 | 1.70 ± 0.84 | 1.57± 0.09 aB | 1.18± 0.13 abA | 1.55± 0.18 a | 1.24± 0.12 a | |
| Herb layer | 1.72 ± 0.23 a | 1.55 ± 0.24 a | 2.69 ± 1.79 | 2.41 ± 1.54 | 1.85 ± 0.44 a | 1.70 ± 0.43 ab | 2.02 ± 0.28 b | 1.70 ± 0.26 b | |
| Litter layers | 0.49 ± 0.07 b | 0.37 ± 0.08 b | 0.95 ± 0.47 | 0.63 ± 0.27 | 0.73 ± 0.02 bB | 0.47 ± 0.01 bA | 0.66 ± 0.06 c | 0.49 ± 0.09 c | |
| Topsoil | 0.45 ± 0.05 bA | 0.45 ± 0.05 bA | 0.72 ± 0.04 B | 0.72 ± 0.04 B | 0.94 ± 0.07 bC | 0.94 ± 0.07 abC | 0.97 ± 0.09 dC | 0.97 ± 0.09 dC | |
| K /(g/kg) | Tree layer | / | / | / | / | 9.61 ± 1.96 a | 7.51 ± 1.90 a | 9.67 ± 1.24 a | 7.67 ± 0.88 a |
| Shrub layer | / | / | 10.66 ± 3.25 a | 8.09 ± 2.87 a | 11.07 ± 1.02 a | 8.51 ± 1.26 ab | 13.18 ± 1.97 b | 10.49 ± 1.60 b | |
| Herb layer | 14.75 ± 1.19 aA | 11.80 ± 1.83 aA | 18.63 ± 3.46 bAB | 16.83 ± 2.32 bB | 21.16 ± 3.36 bB | 20.72 ± 4.10 cB | 22.93 ± 1.57 cB | 21.90 ± 2.74 cB | |
| Litter layers | 1.18 ± 0.06 bA | 0.95 ± 0.14 bAC | 1.37 ± 0.33 cAB | 0.90 ± 0.28 cA | 2.64 ± 0.42 cABB | 1.81 ± 0.16 dBA | 1.69 ± 0.11 dB | 1.44 ± 0.37 dBC | |
| Topsoil | 7.35 ± 1.57 a | 7.35 ± 1.57 c | 8.04 ± 0.71 a | 8.04 ± 0.71 a | 10.22 ± 0.73 a | 10.22 ± 0.73 b | 8.30 ± 0.72 a | 8.30 ± 0.72 ab | |
| log y vs. log x | Growth Stage | n | Slope b [95% Confidence Interval] | Elevation a [95% Confidence Interval] | Determination Coefficient (R2) | p | Common Slope b [95% Confidence Interval] | Slope Heterogeneity (p) |
|---|---|---|---|---|---|---|---|---|
| log C vs. log N | Growth phase | 12 | −0.321 [−0.619, −0.167] | 3.057 [2.778, 3.336] | 0.000 | 0.958 | 0.371 [0.235, 0.585] | 0.528 |
| Senescence phase | 12 | 0.425 [0.224, 0.807] | 2.134 [1.780, 2.488] | 0.052 | 0.475 | |||
| log C vs. log P | Growth phase | 12 | 0.132 [0.069, 0.254] | 2.634 [2.610, 2.657] | 0.004 | 0.853 | 0.155 [0.103, 0.230] | 0.527 |
| Senescence phase | 12 | 0.170 [0.101, 0.284] | 2.633 [2.617, 2.648] | 0.415 | 0.024 * | |||
| log C vs. log K | Growth phase | 12 | 0.131 [0.068, 0.251] | 2.525 [2.430, 2.621] | 0.022 | 0.646 | 0.161 [0.104, 0.247] | 0.405 |
| Senescence phase | 12 | 0.188 [0.105, 0.337] | 2.475 [2.366, 2.583] | 0.237 | 0.108 | |||
| log N vs. log P | Growth phase | 12 | 0.411 [0.241, 0.703] | 1.147 [1.092, 1.201] | 0.365 | 0.037 * | 0.406 [0.279, 0.590] | 0.930 |
| Senescence phase | 12 | 0.400 [0.229, 0.696] | 1.173 [1.133, 1.213] | 0.313 | 0.058 | |||
| log N vs. log K | Growth phase | 12 | 0.408 [0.214, 0.777] | 0.810 [0.516, 1.103] | 0.041 | 0.526 | 0.425 [0.270, 0.669] | 0.849 |
| Senescence phase | 12 | 0.443 [0.230, 0.855] | 0.801 [0.508, 1.095] | 0.000 | 0.952 | |||
| log P vs. log K | Growth phase | 12 | 0.992 [0.588, 1.674] | −0.820 [−1.385, −0.254] | 0.397 | 0.028 * | 1.052 [0.739, 1.497] | 0.743 |
| Senescence phase | 12 | 1.110 [0.673, 1.830] | −0.931 [−1.472, −0.390] | 0.452 | 0.017 * |
| Successional Community | Soil–Available Nitrogen/(mg/kg) | Soil–Available Phosphorus/(mg/kg) | AN:AP |
|---|---|---|---|
| Herbaceous communities | 280.68 ± 25.40 A | 2.98 ± 0.87 | 100.86 ± 34.41 |
| Shrub communities | 409.00 ± 124.67 AB | 2.46 ± 0.46 | 176.22 ± 88.96 |
| Secondary forest | 472.96 ± 92.30 B | 2.45 ± 0.54 | 193.96 ± 16.64 |
| Primary forest | 544.24 ± 12.36 B | 2.33 ± 0.16 | 234.36 ± 17.84 |
Publisher’s Note: MDPI stays neutral with regard to jurisdictional claims in published maps and institutional affiliations. |
© 2022 by the authors. Licensee MDPI, Basel, Switzerland. This article is an open access article distributed under the terms and conditions of the Creative Commons Attribution (CC BY) license (https://creativecommons.org/licenses/by/4.0/).
Share and Cite
Wu, P.; Zhou, H.; Cui, Y.; Zhao, W.; Hou, Y.; Tan, C.; Yang, G.; Ding, F. Stoichiometric Characteristics of Leaf, Litter and Soil during Vegetation Succession in Maolan National Nature Reserve, Guizhou, China. Sustainability 2022, 14, 16517. https://doi.org/10.3390/su142416517
Wu P, Zhou H, Cui Y, Zhao W, Hou Y, Tan C, Yang G, Ding F. Stoichiometric Characteristics of Leaf, Litter and Soil during Vegetation Succession in Maolan National Nature Reserve, Guizhou, China. Sustainability. 2022; 14(24):16517. https://doi.org/10.3390/su142416517
Chicago/Turabian StyleWu, Peng, Hua Zhou, Yingchun Cui, Wenjun Zhao, Yiju Hou, Chengjiang Tan, Guangneng Yang, and Fangjun Ding. 2022. "Stoichiometric Characteristics of Leaf, Litter and Soil during Vegetation Succession in Maolan National Nature Reserve, Guizhou, China" Sustainability 14, no. 24: 16517. https://doi.org/10.3390/su142416517
APA StyleWu, P., Zhou, H., Cui, Y., Zhao, W., Hou, Y., Tan, C., Yang, G., & Ding, F. (2022). Stoichiometric Characteristics of Leaf, Litter and Soil during Vegetation Succession in Maolan National Nature Reserve, Guizhou, China. Sustainability, 14(24), 16517. https://doi.org/10.3390/su142416517
