The Optimal Combination between Recycling Channel and Logistics Service Outsourcing in a Closed-Loop Supply Chain Considering Consumers’ Environmental Awareness
Abstract
1. Introduction
- In different scenarios, what are the logistics-service quality, retail- and recycling-price, environmental-marketing effort, members’ profits, consumer surplus, environmental impact and social welfare?
- Which scenario would bring the highest members’ profits, consumer surplus, environmental impact and social welfare?
- How do consumers’ environmental awareness impact the decision-making, profits and supply-chain performance?
- Which case is optimal if considering the interaction between the recycling channel and logistics-service outsourcing?
2. Literature Review
2.1. Recycling in the Closed-Loop Supply Chain
2.2. Consumer Behavior
2.3. Service Outsourcing
3. Problem Description and Assumptions
3.1. Notations and Assumptions
3.1.1. Notations
- The following notations present key parameters and decision variables throughout the paper, and the detailed definitions are given in Table 2.
3.1.2. Model Assumptions
- The market in each period consists of consumers, and consumers can purchase one unit of product at most. In line with the research [40,52,53,54,55], consumers’ utility decreases with the retail price and increases with the environmental-marketing effort and consumers’ environmental awareness. The specific utility function is , where and refers to the retail price and the environmental-marketing effort, respectively. denotes consumers’ willingness to pay for the product, and conforms to the uniform distribution of 0 to . We consider that the fraction () of consumers are those who possess environmental awareness. The more robust consumers’ environmental awareness, the more likely they are to prefer products that can be effectively recycled, and to feel the environmental-marketing effort of businesses. Thus, similar to Shen, et al. [55] and Guo et al. [56], we assume they can obtain an additional value, . In practice, a consumer will purchase a product if, and only if, , namely, . Thus, the market-demand function is given by:
- In reality, consumers incur certain costs in returning used goods, including time and money. Therefore, it is necessary to consider consumers’ willingness to return the used products. Consumers will return the used products only when the profit is higher than their recycling willingness: denotes consumers’ willingness to recycle used products, and conforms to the uniform distribution of 0 to 1 [21].
- The recycling utility of consumers increases with the recycling price, , logistics-service quality, , and the environmental-marketing effort, ,. Similar to Wang, et al. [40], the consumers’ recycling-utility function is , where , and refer to the sensitivity of the recycling price, the logistics-service quality, and the environmental-marketing effort, respectively. Consumers are willing to recycle the used products when . Therefore, the recycling quantity is given by:
- In general, not all products can be recycled at the end of their life cycle, and therefore the market demand is greater than the recycling quantity. In accordance with the formula, we assume , namely . The profit of the supplier is under this constraint.
3.2. Model Description
3.3. Sequence of Events
4. Model Solving and Equilibrium Analysis
4.1. SS Scenario
4.2. ST Scenario
4.3. RR Scenario
4.4. RT Scenario
5. Numerical Analysis
5.1. Impact of Consumers’ Environmental Awareness on Members’ Profits
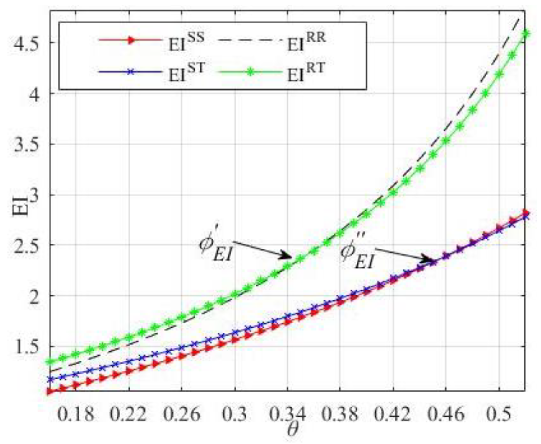
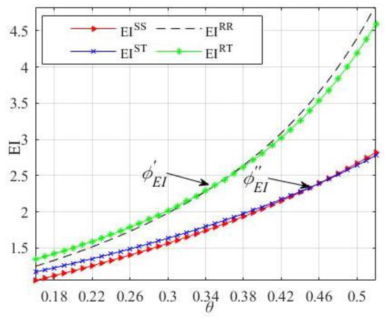
5.2. Impact of Consumers’ Environmental Awareness on CS, EI, and SW
6. Extension: Interactions between and
7. Conclusions
Author Contributions
Funding
Institutional Review Board Statement
Informed Consent Statement
Data Availability Statement
Conflicts of Interest
Appendix A
Appendix B
References
- China Daily. Remanufacturing to Play Key Role in Green Economy. 15 November 2013. Available online: http://www.chinadaily.com.cn/business/2013-11/15/content_17109323.html (accessed on 5 January 2022).
- Raszka, B.; Dziezyc, H.; Heldak, M. Assessment of the Development Potential of Post-Industrial Areas in Terms of Social, Economic and Environmental Aspects: The Case of Walbrzych Region (Poland). Energies 2021, 14, 17. [Google Scholar] [CrossRef]
- Yan, D.; Liu, H.D.; Yao, P.B. Assessing Energy Efficiency for Economic and Sustainable Development in the Region of European Union Countries. Front. Environ. Sci. 2021, 9, 12. [Google Scholar] [CrossRef]
- Gong, Y.D.; Chen, M.Z.; Zhuang, Y.L. Decision-Making and Performance Analysis of Closed-Loop Supply Chain under Different Recycling Modes and Channel Power Structures. Sustainability 2019, 11, 26. [Google Scholar] [CrossRef]
- Huang, Y.T.; Wang, Z.J. Dual-Recycling Channel Decision in a Closed-Loop Supply Chain with Cost Disruptions. Sustainability 2017, 9, 28. [Google Scholar] [CrossRef]
- Wang, X.; Ma, D.Q.; Hu, J.S. Recycling Model Selection for Electronic Products Considering Platform Power and Blockchain Empowerment. Sustainability 2022, 14, 44. [Google Scholar] [CrossRef]
- Li, F.; Fan, Z.P.; Cao, B.B.; Li, X. Logistics Service Mode Selection for Last Mile Delivery: An Analysis Method Considering Customer Utility and Delivery Service Cost. Sustainability 2021, 13, 22. [Google Scholar] [CrossRef]
- Li, F.; Fan, Z.P.; Cao, B.B.; Lv, H.M. The Logistics Service Mode Selection for Last Mile Delivery Considering Delivery Service Cost and Capability. Sustainability 2020, 12, 17. [Google Scholar] [CrossRef]
- Lu, F.Q.; Wang, L.Y.; Bi, H.L.; Du, Z.C.; Wang, S.X. An Improved Revenue Distribution Model for Logistics Service Supply Chain Considering Fairness Preference. Sustainability 2021, 13, 30. [Google Scholar] [CrossRef]
- Qin, X.L.; Liu, Z.X.; Tian, L. The optimal combination between selling mode and logistics service strategy in an e-commerce market. Eur. J. Oper. Res. 2021, 289, 639–651. [Google Scholar] [CrossRef]
- Wang, S.N.; Hu, Z.H. Green Logistics Service Supply Chain Games Considering Risk Preference in Fuzzy Environments. Sustainability 2021, 13, 32. [Google Scholar] [CrossRef]
- Yu, Y.L.; Xiao, T.J. Pricing and cold-chain service level decisions in a fresh agri-products supply chain with logistics outsourcing. Comput. Ind. Eng. 2017, 111, 56–66. [Google Scholar] [CrossRef]
- Liu, K.; Li, C.F.; Gu, R.D. Pricing and Logistics Service Decisions in Platform-Led Electronic Closed-Loop Supply Chain with Remanufacturing. Sustainability 2021, 13, 28. [Google Scholar] [CrossRef]
- Feng, L.P.; Govindan, K.; Li, C.F. Strategic planning: Design and coordination for dual-recycling channel reverse supply chain considering consumer behavior. Eur. J. Oper. Res. 2017, 260, 601–612. [Google Scholar] [CrossRef]
- Zhang, L.H.; Wang, J.G.; You, J.X. Consumer environmental awareness and channel coordination with two substitutable products. Eur. J. Oper. Res. 2015, 241, 63–73. [Google Scholar] [CrossRef]
- Bazaraa, M.S.; Sherali, H.D.; Shetty, C.M. Nonlinear Programming: Theory and Algorithms; John Wiley & Sons: Hoboken, NJ, USA, 2013. [Google Scholar]
- Lyu, R.X.; Zhang, C.H.; Li, Z.T.; Li, Y.T. Manufacturers’ integrated strategies for emission reduction and recycling: The role of government regulations. Comput. Ind. Eng. 2022, 163, 33. [Google Scholar] [CrossRef]
- Jiang, W.; Yuan, M. Coordination of Prefabricated Construction Supply Chain under Cap-and-Trade Policy Considering Consumer Environmental Awareness. Sustainability 2022, 14, 22. [Google Scholar] [CrossRef]
- Wang, N.M.; He, Q.D.; Jiang, B. Hybrid closed-loop supply chains with competition in recycling and product markets. Int. J. Prod. Econ. 2019, 217, 246–258. [Google Scholar] [CrossRef]
- Wu, J.J.; Wang, H.Y.; Shang, J. Multi-sourcing and information sharing under competition and supply uncertainty. Eur. J. Oper. Res. 2019, 278, 658–671. [Google Scholar] [CrossRef]
- Wang, Q.F.; Hong, X.P.; Gong, Y.M.; Chen, W.Y. Collusion or Not: The optimal choice of competing retailers in a closed-loop supply chain. Int. J. Prod. Econ. 2020, 225, 15. [Google Scholar] [CrossRef]
- Savaskan, R.C.; Bhattacharya, S.; Van Wassenhove, L.N. Closed-loop supply chain models with product remanufacturing. Manag. Sci. 2004, 50, 239–252. [Google Scholar] [CrossRef]
- De Giovanni, P.; Reddy, P.V.; Zaccour, G. Incentive strategies for an optimal recovery program in a closed-loop supply chain. Eur. J. Oper. Res. 2016, 249, 605–617. [Google Scholar] [CrossRef]
- Zhao, J.J.; Wang, C.X.; Xu, L. Decision for pricing, service, and recycling of closed-loop supply chains considering different remanufacturing roles and technology authorizations. Comput. Ind. Eng. 2019, 132, 59–73. [Google Scholar] [CrossRef]
- Liu, Y.H.; Li, Y.C.; Huang, D. A Multiobjective Optimization Model for Continuous Allocation of Emergency Rescue Materials. Math. Probl. Eng. 2020, 2020, 5693182. [Google Scholar] [CrossRef]
- Menezes, M.B.C.; Ruiz-Hernandez, D.; Verter, V. A rough-cut approach for evaluating location-routing decisions via approximation algorithms. Transp. Res. Part B-Methodol. 2016, 87, 89–106. [Google Scholar] [CrossRef]
- Tao, Z.M. Two-Stage Supply-Chain Optimization Considering Consumer Low-Carbon Awareness under Cap-and-Trade Regulation. Sustainability 2019, 11, 5727. [Google Scholar] [CrossRef]
- Su, C.; Liu, X.J.; Du, W.Y. Green Supply Chain Decisions Considering Consumers’ Low-Carbon Awareness under Different Government Subsidies. Sustainability 2020, 12, 12. [Google Scholar] [CrossRef]
- Kaur, B.; Gangwar, V.P.; Dash, G. Green Marketing Strategies, Environmental Attitude, and Green Buying Intention: A Multi-Group Analysis in an Emerging Economy Context. Sustainability 2022, 14, 16. [Google Scholar] [CrossRef]
- Li, C.; Guo, S.W.; Zhang, H. Coordinating a Green Agri-Food Supply Chain with Revenue-Sharing Contracts Considering Retailers’ Green Marketing Efforts. Sustainability 2020, 12, 16. [Google Scholar]
- Chakraborty, T.; Chauhan, S.S.; Ouhimmou, M. Cost-sharing mechanism for product quality improvement in a supply chain under competition. Int. J. Prod. Econ. 2019, 208, 566–587. [Google Scholar] [CrossRef]
- Fan, J.C.; Ni, D.B.; Fang, X. Liability cost sharing, product quality choice, and coordination in two-echelon supply chains. Eur. J. Oper. Res. 2020, 284, 514–537. [Google Scholar] [CrossRef]
- Arya, A.; Mittendorf, B. Supply Chain Consequences of Subsidies for Corporate Social Responsibility. Prod. Oper. Manag. 2015, 24, 1346–1357. [Google Scholar] [CrossRef]
- Duan, C.Q.; Yao, F.M.; Xiu, G.Y.; Zhang, Y.H.; Zhang, X.L. Multi-Period Closed-Loop Supply Chain Network Equilibrium: Perspective of Marketing and Corporate Social Responsibility. IEEE Access 2021, 9, 1495–1511. [Google Scholar] [CrossRef]
- Zhang, C.H.; Xing, P.; Li, J. Optimal Strategy of Social Responsibility and Quality Effort in Service Supply Chain with Quality Preference. Asia Pac. J. Oper. Res. 2018, 35, 43. [Google Scholar] [CrossRef]
- Liu, Y.Z.; Xiao, T.J. Pricing and Collection Rate Decisions and Reverse Channel Choice in a Socially Responsible Supply Chain With Green Consumers. IEEE Trans. Eng. Manag. 2020, 67, 483–495. [Google Scholar] [CrossRef]
- Li, X.; Cui, X.Q.; Li, Y.J.; Xu, D.Q.; Xu, F.C. Optimisation of reverse supply chain with used-product collection effort under collector’s fairness concerns. Int. J. Prod. Res. 2021, 59, 652–663. [Google Scholar] [CrossRef]
- Ma, P.; Li, K.W.; Wang, Z.J. Pricing decisions in closed-loop supply chains with marketing effort and fairness concerns. Int. J. Prod. Res. 2017, 55, 6710–6731. [Google Scholar] [CrossRef]
- Wang, Y.Y.; Fan, R.J.; Shen, L.; Jin, M.Z. Decisions and coordination of green e-commerce supply chain considering green manufacturer’s fairness concerns. Int. J. Prod. Res. 2020, 58, 7471–7489. [Google Scholar] [CrossRef]
- Wang, N.M.; Song, Y.F.; He, Q.D.; Jia, T. Competitive dual-collecting regarding consumer behavior and coordination in closed-loop supply chain. Comput. Ind. Eng. 2020, 144, 15. [Google Scholar] [CrossRef]
- He, Q.D.; Wang, N.M.; Yang, Z.; He, Z.W.; Jiang, B. Competitive collection under channel inconvenience in closed-loop supply chain. Eur. J. Oper. Res. 2019, 275, 155–166. [Google Scholar] [CrossRef]
- Chen, J.X.; Liang, L.; Yao, D.Q. Factory encroachment and channel selection in an outsourced supply chain. Int. J. Prod. Econ. 2019, 215, 73–83. [Google Scholar] [CrossRef]
- Yao, X.; Huang, R.T.; Song, M.L.; Mishra, N. Pre-positioning inventory and service outsourcing of relief material supply chain. Int. J. Prod. Res. 2018, 56, 6859–6871. [Google Scholar] [CrossRef]
- Zhang, S.G.; Dan, B.; Zhou, M.S. After-sale service deployment and information sharing in a supply chain under demand uncertainty. Eur. J. Oper. Res. 2019, 279, 351–363. [Google Scholar] [CrossRef]
- Ding, H.P.; Chen, X.B.; Lin, K.H.; Wei, Y.B. Collaborative mechanism of project profit allotment in petroleum engineering service chain with customized integration. Int. J. Prod. Econ. 2019, 214, 163–174. [Google Scholar] [CrossRef]
- He, P.; Wen, J.Y.; Ye, S.; Li, Z.Q. Logistics service sharing and competition in a dual-channel e-commerce supply chain. Comput. Ind. Eng. 2020, 149, 14. [Google Scholar] [CrossRef]
- Lou, Y.Q.; Feng, L.P.; He, S.G.; He, Z.; Zhao, X.K. Logistics service outsourcing choices in a retailer-led supply chain. Transp. Res. Part E-Logist. Transp. Rev. 2020, 141, 18. [Google Scholar] [CrossRef]
- Ma, Z.J.; Zhang, N.A.; Dai, Y.; Hu, S. Managing channel profits of different cooperative models in closed-loop supply chains. Omega-Int. J. Manag. Sci. 2016, 59, 251–262. [Google Scholar]
- Liu, W.H.; Wang, D.; Shen, X.R.; Yan, X.Y.; Wei, W.Y. The impacts of distributional and peer-induced fairness concerns on the decision-making of order allocation in logistics service supply chain. Transp. Res. Part E-Logist. Transp. Rev. 2018, 116, 102–122. [Google Scholar] [CrossRef]
- Yang, L.; Hu, Y.J.; Huang, L.J. Collecting mode selection in a remanufacturing supply chain under cap-and-trade regulation. Eur. J. Oper. Res. 2020, 287, 480–496. [Google Scholar] [CrossRef]
- Feng, T.J.; Ren, Z.J.; Zhang, F.Q. Service Outsourcing: Capacity, Quality and Correlated Costs. Prod. Oper. Manag. 2019, 28, 682–699. [Google Scholar] [CrossRef]
- Chen, D.Q.; Ignatius, J.; Sun, D.Z.; Zhan, S.L.; Zhou, C.Y.; Marra, M.; Demirbag, M. Reverse logistics pricing strategy for a green supply chain: A view of customers’ environmental awareness. Int. J. Prod. Econ. 2019, 217, 197–210. [Google Scholar] [CrossRef]
- Guo, L.; Zhang, J.J. Consumer Deliberation and Product Line Design. Mark. Sci. 2012, 31, 995–1007. [Google Scholar] [CrossRef]
- Wu, C.H. OEM product design in a price competition with remanufactured product. Omega-Int. J. Manag. Sci. 2013, 41, 287–298. [Google Scholar] [CrossRef]
- Shen, B.; Cao, Y.F.; Xu, X.Y. Product line design and quality differentiation for green and non-green products in a supply chain. Int. J. Prod. Res. 2020, 58, 148–164. [Google Scholar] [CrossRef]
- Guo, R.X.; Lee, H.L.; Swinney, R. Responsible Sourcing in Supply Chains. Manag. Sci. 2016, 62, 2722–2744. [Google Scholar] [CrossRef]
- He, P.; He, Y.; Xu, H. Channel structure and pricing in a dual-channel closed-loop supply chain with government subsidy. Int. J. Prod. Econ. 2019, 213, 108–123. [Google Scholar] [CrossRef]
- Krass, D.; Nedorezov, T.; Ovchinnikov, A. Environmental Taxes and the Choice of Green Technology. Prod. Oper. Manag. 2013, 22, 1035–1055. [Google Scholar] [CrossRef]
- Zhang, Z.; Wang, Y.T.; Meng, Q.C.; Luan, X.Y. Impacts of Green Production Decision on Social Welfare. Sustainability 2019, 11, 16. [Google Scholar] [CrossRef]
- Hong, X.P.; Govindan, K.; Xu, L.; Du, P. Quantity and collection decisions in a closed-loop supply chain with technology licensing. Eur. J. Oper. Res. 2017, 256, 820–829. [Google Scholar] [CrossRef]
- Xiang, Z.H.; Xu, M.L. Dynamic game strategies of a two-stage closed-loop supply chain considering Big Data marketing, technological innovation and overconfidence. Comput. Ind. Remanuf. Eng. 2020, 145, 15. [Google Scholar] [CrossRef]
- Liu, L.; Parlar, M.; Zhu, S.X. Pricing and lead time decisions in decentralized supply chains. Manag. Sci. 2007, 53, 713–725. [Google Scholar] [CrossRef]
- Xiao, L.; Xu, M.H.; Zheng, J.J.; Huang, S. Inducing manufacturer’s quality enhancement via retailer’s acquisition strategy. Omega-Int. J. Manag. Sci. 2020, 93, 14. [Google Scholar] [CrossRef]













| Articles | SC Structure | Service Outsourcing | Cost Saving | Environmental Awareness | Research Question |
|---|---|---|---|---|---|
| Wang, et al. [18] | closed-loop | √ | Recycling-channel selection | ||
| Ma et al. [47] | closed-loop | √ | Supply-chain cooperative strategies | ||
| Liu et al. [48] | forward | one-echelon | Decision-making in logistics service supply-chain | ||
| Yang et al. [49] | closed-loop | √ | √ | Recycling-channel selection | |
| Feng et al. [50] | forward | one-echelon | √ | The optimal service outsourcing-contracts designed | |
| Chen et al. [51] | forward | one-echelon | √ | Green supply-chain’s reverse logistics pricing-strategies. | |
| Qin, et al. [9] | forward | one-echelon | The logistics-service strategies in an e-commerce market | ||
| Our article | closed-loop | multi-echelon | √ | √ | The optimal combination of the recycling channel and logistics-service outsourcing |
| Symbol | Descriptions |
|---|---|
| . | |
| . | |
| . | |
| . | |
| . | |
| Market-potential demand. | |
| Consumers’ willingness to pay for the product. | |
| Consumers’ willingness to recycle the used product. | |
| The recycling cost-saving | |
| Transfer price from supplier to retailer. | |
| . | |
| Incentive factor of logistics-service quality. | |
| Environmental-marketing-effort cost factor, . | |
| Logistics-service cost factor, . | |
| The unit cost of a new product. | |
| The unit cost of a remanufactured product. | |
| Fixed cost of establishing an Internet recycling-platform. | |
| Fixed cost of conducting the logistics-service system. | |
| , scenarios which are the combinations of two recycling-channels and two logistics-service strategies. |
| SS | ST | RR | RT | |
|---|---|---|---|---|
| — | — | |||
Publisher’s Note: MDPI stays neutral with regard to jurisdictional claims in published maps and institutional affiliations. |
© 2022 by the authors. Licensee MDPI, Basel, Switzerland. This article is an open access article distributed under the terms and conditions of the Creative Commons Attribution (CC BY) license (https://creativecommons.org/licenses/by/4.0/).
Share and Cite
Xing, P.; Zhao, X.; Wang, M. The Optimal Combination between Recycling Channel and Logistics Service Outsourcing in a Closed-Loop Supply Chain Considering Consumers’ Environmental Awareness. Sustainability 2022, 14, 16385. https://doi.org/10.3390/su142416385
Xing P, Zhao X, Wang M. The Optimal Combination between Recycling Channel and Logistics Service Outsourcing in a Closed-Loop Supply Chain Considering Consumers’ Environmental Awareness. Sustainability. 2022; 14(24):16385. https://doi.org/10.3390/su142416385
Chicago/Turabian StyleXing, Peng, Xiangru Zhao, and Mingxing Wang. 2022. "The Optimal Combination between Recycling Channel and Logistics Service Outsourcing in a Closed-Loop Supply Chain Considering Consumers’ Environmental Awareness" Sustainability 14, no. 24: 16385. https://doi.org/10.3390/su142416385
APA StyleXing, P., Zhao, X., & Wang, M. (2022). The Optimal Combination between Recycling Channel and Logistics Service Outsourcing in a Closed-Loop Supply Chain Considering Consumers’ Environmental Awareness. Sustainability, 14(24), 16385. https://doi.org/10.3390/su142416385

