An Investigation on the Potential of Cellulose for Soil Stabilization
Abstract
1. Introduction
2. Materials
2.1. Soil
2.2. NaCMC
3. Methods
4. Results and Discussion
4.1. Compaction Characteristics
4.2. Strength Characteristics
4.2.1. Failure Strain
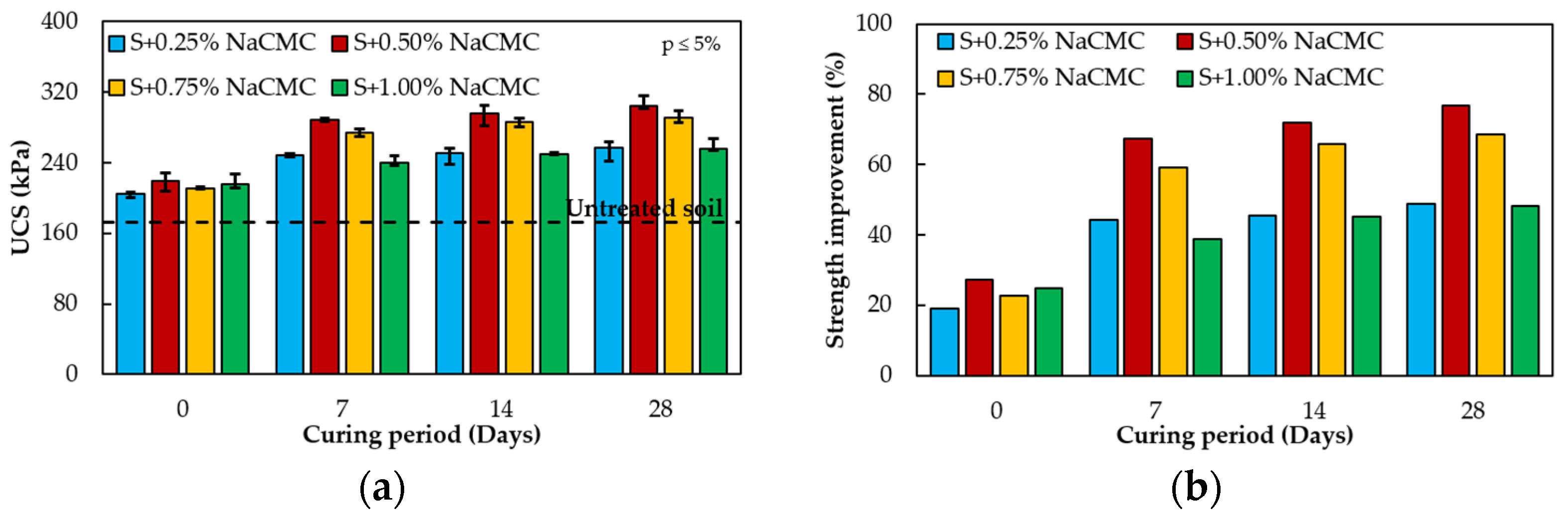
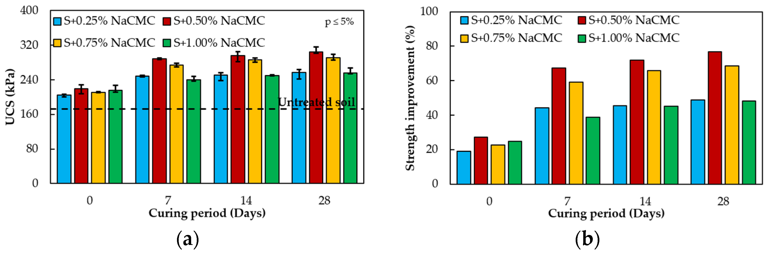
4.2.2. UCS
4.2.3. Failure Modulus
4.2.4. CBR
4.2.5. Strength Improvement Mechanism
4.3. HC
4.4. Compressibility Characteristics
4.5. Reaction in Extreme Environments
4.6. Practical Applications
5. Conclusions
Author Contributions
Funding
Institutional Review Board Statement
Informed Consent Statement
Data Availability Statement
Acknowledgments
Conflicts of Interest
References
- Liu, M.D.; Indraratna, B.; Horpibulsuk, S.; Suebsuk, J. Variations in Strength of Lime-Treated Soft Clays. Proc. Inst. Civ. Eng. Gr. Improv. 2012, 165, 217–223. [Google Scholar] [CrossRef]
- Nicholson, P.G. Geosynthetic Reinforced Soil. In Soil Improvement and Ground Modification Methods; Elsevier: Amsterdam, The Netherlands, 2015; pp. 343–369. [Google Scholar] [CrossRef]
- Jarernswan, V. The Use of Soil Cement as a Highway Material. Master’s Thesis, Utah State University, Logan, UT, USA, 1972. [Google Scholar]
- Mengue, E.; Mroueh, H.; Lancelot, L.; Medjo Eko, R. Physicochemical and Consolidation Properties of Compacted Lateritic Soil Treated with Cement. Soils Found. 2017, 57, 60–79. [Google Scholar] [CrossRef]
- Hills, T.P.; Sceats, M.; Rennie, D.; Fennell, P. LEILAC: Low Cost CO2 Capture for the Cement and Lime Industries. Energy Procedia 2017, 114, 6166–6170. [Google Scholar] [CrossRef]
- Rajak, T.K.; Yadu, L.; Pal, S.K. Analysis of Slope Stability of Fly Ash Stabilized Soil Slope. In Lecture Notes in Civil Engineering: Geotechnical Applications; Anirudhan, I.V., Maji, V.B., Eds.; Springer: Singapore, 2019; Volume 4, pp. 119–126. [Google Scholar]
- Sujatha, E.R.; Atchaya, P.; Darshan, S.; Subhashini, S. Mechanical Properties of Glass Fibre Reinforced Soil and Its Application as Subgrade Reinforcement. Road Mater. Pavement Des. 2022, 21, 2384–2395. [Google Scholar] [CrossRef]
- Brahmachary, T.K.; Rokonuzzaman, M. Investigation of Random Inclusion of Bamboo Fiber on Ordinary Soil and Its Effect CBR Value. Int. J. Geo-Eng. 2018, 9, 10. [Google Scholar] [CrossRef]
- Basha, E.A.; Hashim, R.; Mahmud, H.B.; Muntohar, A.S. Stabilization of Residual Soil with Rice Husk Ash and Cement. Constr. Build. Mater. 2005, 19, 448–453. [Google Scholar] [CrossRef]
- Sujatha, E.R.; Dharini, K.; Bharathi, V. Influence of Groundnut Shell Ash on Strength and Durability Properties of Clay. Geomech. Geoengin. 2016, 11, 20–27. [Google Scholar] [CrossRef]
- Pastor, J.L.; Tomás, R.; Cano, M.; Riquelme, A.; Gutiérrez, E. Evaluation of the Improvement Effect of Limestone Powder Waste in the Stabilization of Swelling Clayey Soil. Sustainability 2019, 11, 679. [Google Scholar] [CrossRef]
- Nikhil, P.S.; Ravichandran, P.T.; Krishnan, K.D. Stabilisation and Characterisation of Soil Using Wollastonite Powder. Mater. Today Proc. 2020, 40, S161–S166. [Google Scholar] [CrossRef]
- Tiwari, N.; Satyam, N.; Sharma, M. Micro-Mechanical Performance Evaluation of Expansive Soil Biotreated with Indigenous Bacteria Using MICP Method. Sci. Rep. 2021, 11, 10324. [Google Scholar] [CrossRef]
- Chang, I.; Lee, M.; Tran, A.T.P.; Lee, S.; Kwon, Y.M.; Im, J.; Cho, G.C. Review on Biopolymer-Based Soil Treatment (BPST) Technology in Geotechnical Engineering Practices. Transp. Geotech. 2020, 24, 100385. [Google Scholar] [CrossRef]
- Assadi-Langroudi, A.; O’Kelly, B.C.; Barreto, D.; Cotecchia, F.; Dicks, H.; Ekinci, A.; Garcia, F.E.; Harbottle, M.; Tagarelli, V.; Jefferson, I.; et al. Recent Advances in Nature-Inspired Solutions for Ground Engineering (NiSE). Int. J. Geosynth. Gr. Eng. 2022, 8, 3. [Google Scholar] [CrossRef]
- Armistead, S.J.; Smith, C.C.; Staniland, S.S. Sustainable Biopolymer Soil Stabilization in Saline Rich, Arid Conditions: A ’Micro to Macro’ Approach. Sci. Rep. 2022, 12, 2880. [Google Scholar] [CrossRef]
- Chang, I.; Im, J.; Prasidhi, A.K.; Cho, G.C. Effects of Xanthan Gum Biopolymer on Soil Strengthening. Constr. Build. Mater. 2015, 74, 65–72. [Google Scholar] [CrossRef]
- Sujatha, E.R.; Saisree, S. Geotechnical Behaviour of Guar Gum-Treated Soil. Soils Found. 2019, 59, 2155–2166. [Google Scholar] [CrossRef]
- Chang, I.; Im, J.; Cho, G.C. Geotechnical Engineering Behaviors of Gellan Gum Biopolymer Treated Sand. Can. Geotech. J. 2016, 53, 1658–1670. [Google Scholar] [CrossRef]
- Kannan, G.; Sujatha, E.R. Crustacean Polysaccharides for the Geotechnical Enhancement of Organic Silt: A Clean and Green Alternative. Carbohydr. Polym. 2023, 299, 120227. [Google Scholar] [CrossRef]
- Chang, I.; Cho, G.C. Geotechnical Behavior of a Beta-1,3/1,6-Glucan Biopolymer-Treated Residual Soil. Geomech. Eng. 2014, 7, 633–647. [Google Scholar] [CrossRef]
- Kumar, S.A.; Sujatha, E.R. An Appraisal of the Hydro-Mechanical Behaviour of Polysaccharides, Xanthan Gum, Guar Gum and β-Glucan Amended Soil. Carbohydr. Polym. 2021, 265, 118083. [Google Scholar] [CrossRef]
- Kögel-Knabner, I.; Amelung, W. Dynamics, Chemistry, and Preservation of Organic Matter in Soils. In Treatise on Geochemistry; Holland, H.D., Turekian, K.K., Eds.; Elsevier: Amsterdam, The Netherlands, 2013; Volume 12, pp. 157–215. [Google Scholar]
- Feng, Y.H.; Cheng, T.Y.; Yang, W.G.; Ma, P.T.; He, H.Z.; Yin, X.C.; Yu, X.X. Characteristics and Environmentally Friendly Extraction of Cellulose Nanofibrils from Sugarcane Bagasse. Ind. Crops Prod. 2018, 111, 285–291. [Google Scholar] [CrossRef]
- Chen, H. Lignocellulose Biorefinery Product Engineering—Principles and Applications, 1st ed.; Woodhead Publishing: Sawston, UK, 2015; ISBN 9780081001356. [Google Scholar]
- Lopez, C.G.; Rogers, S.E.; Colby, R.H.; Graham, P.; Cabral, J.T. Structure of Sodium Carboxymethyl Cellulose Aqueous Solutions: A SANS and Rheology Study. J. Polym. Sci. Part B Polym. Phys. 2015, 53, 492–501. [Google Scholar] [CrossRef] [PubMed]
- Guo, J.; Skinner, G.; Harcum, W.; Barnum, P. Pharmaceutical Applications of Naturally Occurring Water-Soluble Polymers. Pharm. Sci. Technol. Today 1998, 1, 254–261. [Google Scholar] [CrossRef]
- Zorba, M.; Ova, G. An Improved Method for the Quantitative Determination of Carboxymethyl Cellulose in Food Products. Food Hydrocoll. 1999, 13, 73–76. [Google Scholar] [CrossRef]
- Erceg, T.; Stupar, A.; Cvetinov, M.; Vasić, V.; Ristić, I. Investigation the Correlation between Chemical Structure and Swelling, Thermal and Flocculation Properties of Carboxymethylcellulose Hydrogels. J. Appl. Polym. Sci. 2021, 138, 50240. [Google Scholar] [CrossRef]
- Mishra, P.C.; Singh, V.K.; Narang, K.K.; Singh, N.K. Effect of Carboxymethyl-Cellulose on the Properties of Cement. Mater. Sci. Eng. A 2003, 357, 13–19. [Google Scholar] [CrossRef]
- Ma, H.; Ma, Q. Experimental Studies on the Mechanical Properties of Loess Stabilized with Sodium Carboxymethyl Cellulose. Adv. Mater. Sci. Eng. 2019, 2019, 9375685. [Google Scholar] [CrossRef]
- Ning, S.; Jumai, H.; Wang, Q.; Zhou, B.; Su, L.; Shan, Y.; Zhang, J. Comparison of the Effects of Polyacrylamide and Sodium Carboxymethylcellulose Application on Soil Water Infiltration in Sandy Loam Soils. Adv. Polym. Technol. 2019, 2019, 6869454. [Google Scholar] [CrossRef]
- Abd, T.A.; Fattah, M.Y.; Aswad, M.F. Strengthening of Soft Soil Using Caboxymethyl Cellelouse Biopolymer. IOP Conf. Ser. Earth Environ. Sci. 2022, 961, 012030. [Google Scholar] [CrossRef]
- Owji, R.; Habibagahi, G.; Nikooee, E.; Afzali, S.F. Wind Erosion Control Using Carboxymethyl Cellulose: From Sand Bombardment Performance to Microfabric Analysis. Aeolian Res. 2021, 50, 100696. [Google Scholar] [CrossRef]
- ASTM D4318; Standard Test Methods for Liquid Limit, Plastic Limit, and Plasticity Index of Soils. ASTM: West Conshohocken, PA, USA, 2017.
- ASTM D854; Standard Test Methods for Specific Gravity of Soil Solids by Water Pycnometer. ASTM: West Conshohocken, PA, USA, 2014.
- IS 2720-40; Determination of Free Swell Index of Soils. Bureau of Indian Standards: New Delhi, India, 1977.
- ASTM D2974; Standard Test Methods for Determining the Water (Moisture) Content, Ash Content, and Organic Material of Peat and Other Organic Soils. ASTM: West Conshohocken, PA, USA, 2014.
- Sodium Carboxymethyl Cellulose|C8H15NaO8–PubChem. Available online: https://pubchem.ncbi.nlm.nih.gov/compound/Sodium-carboxymethyl-cellulose#:~:text=Sodiumcarboxymethylcellulose%7CC8H15NaO8-PubChem (accessed on 28 October 2022).
- ASTM D698; Standard Test Methods for Laboratory Compaction Characteristics of Soil Using Standard Effort (12,400 ft-lbf/ft3 (600 kN-m/m3)). ASTM: West Conshohocken, PA, USA, 2012.
- ASTM D2166; Standard Test Method for Unconfined Compressive Strength of Cohesive Soil. ASTM: West Conshohocken, PA, USA, 2006.
- ASTM D1883; Standard Test Method for California Bearing Ratio (CBR) of Laboratory-Compacted Soils. ASTM: West Conshohocken, PA, USA, 2021.
- ASTM D5856; Standard Test Method for Measurement of Hydraulic Conductivity of Porous Material Using a Rigid-Wall, Compaction-Mold Permeameter. ASTM: West Conshohocken, PA, USA, 2015.
- ASTM D2435; Standard Test Methods for One-Dimensional Consolidation Properties of Soils Using Incremental Loading. ASTM: West Conshohocken, PA, USA, 2004.
- Queensland Government–Soil pH. Available online: https://www.qld.gov.au/environment/land/management/soil/soil-properties/ph-levels (accessed on 28 October 2022).
- Dehghan, H.; Tabarsa, A.; Latifi, N.; Bagheri, Y. Use of Xanthan and Guar Gums in Soil Strengthening. Clean Technol. Environ. Policy 2019, 21, 155–165. [Google Scholar] [CrossRef]
- Kumar, S.A.; Sujatha, E.R. Compaction and Permeability Characteristics of Biopolymer-Treated Soil. In Lecture Notes in Civil Engineering: Sustainable Practices and Innovations in Civil Engineering; Ramanagopal, S., Gali, M., Venkataraman, K., Eds.; Springer: Singapore, 2021; Volume 79, pp. 107–117. [Google Scholar]
- Singh, S.P.; Das, R. Geo-Engineering Properties of Expansive Soil Treated with Xanthan Gum Biopolymer. Geomech. Geoengin. 2020, 15, 107–122. [Google Scholar] [CrossRef]
- Wu, Y.; Yu, M.; Li, Y.; Wu, Y.; Shao, Z.; Liu, Y. Film Properties, Water Retention, and Growth Promotion of Derivative Carboxymethyl Cellulose Materials from Cotton Straw. Adv. Polym. Technol. 2021, 2021, 5582912. [Google Scholar] [CrossRef]
- Jiang, T.; Zhao, J.; Zhang, J. Splitting Tensile Strength and Microstructure of Xanthan Gum-Treated Loess. Sci. Rep. 2022, 12, 9921. [Google Scholar] [CrossRef] [PubMed]
- Chen, C.; Wei, K.; Gu, J.; Huang, X.; Dai, X.; Liu, Q. Combined Effect of Biopolymer and Fiber Inclusions on Unconfined Compressive Strength of Soft Soil. Polymers 2022, 14, 787. [Google Scholar] [CrossRef] [PubMed]
- Subramani, A.K.; Ramani, S.E.; Selvasembian, R. Understanding the Microstructure, Mineralogical and Adsorption Characteristics of Guar Gum Blended Soil as a Liner Material. Environ. Monit. Assess. 2021, 193, 855. [Google Scholar] [CrossRef] [PubMed]
- Tinti, A.; Tugnoli, V.; Bonora, S.; Francioso, O. Recent Applications of Vibrational Mid-Infrared (IR) Spectroscopy for Studying Soil Components: A Review. J. Cent. Eur. Agric. 2015, 16, 1–22. [Google Scholar] [CrossRef]
- Kannan, G.; Sujatha, E.R. Geotechnical Behaviour of Nano—Silica Stabilized Organic Soil. Geomech. Eng. 2022, 28, 239–253. [Google Scholar] [CrossRef]
- Senvaitiene, J.; Smirnova, J.; Beganskiene, A.; Kareiva, A. XRD and FTIR Characterisation of Lead Oxide-Based Pigments and Glazes. Acta Chim. Slov. 2007, 54, 185–193. [Google Scholar]
- Nóbrega, K.C.; Silva, S.S.S.; Amorim, L.V.; Lira, H.L.; Costa, W.R.P. Influence of the Chemical Structure of Different Carboxymethylcelluloses on the Performance of Clay Dispersions. Ceramica 2019, 65, 28–34. [Google Scholar] [CrossRef]
- Carvalho, M.C.S.; Van Raij, B. Calcium Sulphate, Phosphogypsum and Calcium Carbonate in the Amelioration of Acid Subsoils for Root Growth. Plant Soil 1997, 192, 37–48. [Google Scholar] [CrossRef]
- Lee, S.S.; Chang, S.X.; Chang, Y.Y.; Ok, Y.S. Commercial versus Synthesized Polymers for Soil Erosion Control and Growth of Chinese Cabbage. Springerplus 2013, 2, 534. [Google Scholar] [CrossRef] [PubMed]
- Zhang, J.; Wang, Q.; Shan, Y.; Guo, Y.; Mu, W.; Wei, K.; Sun, Y. Effect of Sodium Carboxymethyl Cellulose on Water and Salt Transport Characteristics of Saline–Alkali Soil in Xinjiang, China. Polymers 2022, 14, 2884. [Google Scholar] [CrossRef] [PubMed]
- Paul, A.; Hussain, M. Cement Stabilization of Indian Peat: An Experimental Investigation. J. Mater. Civ. Eng. 2020, 32, 1–16. [Google Scholar] [CrossRef]
- IndiaMART—India Exporter Manufacturer. Available online: https://www.indiamart.com/ (accessed on 28 October 2022).











| Material | Property | Value | Code Standard | References |
|---|---|---|---|---|
| Soil | Liquid limit (%) | 48.8 | ASTM D4318 | [35] |
| Plastic limit (%) | 25.9 | ASTM D4318 | [35] | |
| Plasticity index (%) | 22.9 | ASTM D4318 | [35] | |
| Specific gravity | 2.33 | ASTM D854 | [36] | |
| Differential free swell index (%) | 35 | IS 2720-40 | [37] | |
| Organic material (%) | 13.6 | ASTM D2974 | [38] | |
| NaCMC | Average particle size (µm) | 398 | - | - |
| Bulk density (kg/m3) | 700 | - | - | |
| pH of 1% solution | 6 | - | - | |
| Viscosity of 1% solution (cP) | 222 | - | - | |
| Colour | White | - | - | |
| Chemical formula | C8H15NaO8 | - | [39] | |
| Molecular weight (g/mol) | 262.19 | - | [39] |
| Curing Period | 0 Day | 7 Days | 14 Days | 28 Days |
|---|---|---|---|---|
| S | 4.61% | - | - | - |
| S + 0.25% NaCMC | 6.25% | 5.26% | 4.93% | 4.93% |
| S + 0.50% NaCMC | 5.59% | 4.93% | 4.93% | 3.95% |
| S + 0.75% NaCMC | 4.93% | 4.93% | 4.61% | 3.95% |
| S + 1.00% NaCMC | 4.61% | 4.61% | 4.28% | 3.95% |
| Curing Period | 0 Days | 7 Days | 14 Days | 28 Days |
|---|---|---|---|---|
| S | 3743.54 | - | - | - |
| S + 0.25% NaCMC | 3281.92 | 4173.73 | 4284.37 | 4358.55 |
| S + 0.50% NaCMC | 4445.02 | 5848.76 | 5559.75 | 6064.55 |
| S + 0.75% NaCMC | 5080.85 | 6004.00 | 6208.11 | 6340.17 |
| S + 1.00% NaCMC | 5568.63 | 6616.34 | 6793.23 | 6476.97 |
| Dosage | S | S + 0.25% NaCMC | S + 0.50% NaCMC | S + 0.75% NaCMC |
|---|---|---|---|---|
| cv (m2/year) | 0.12 | 0.08 | 0.06 | 0.06 |
| cc (no units) | 0.97 | 0.88 | 0.87 | 0.84 |
| cs (no units) | 0.05 | 0.08 | 0.08 | 0.08 |
Publisher’s Note: MDPI stays neutral with regard to jurisdictional claims in published maps and institutional affiliations. |
© 2022 by the authors. Licensee MDPI, Basel, Switzerland. This article is an open access article distributed under the terms and conditions of the Creative Commons Attribution (CC BY) license (https://creativecommons.org/licenses/by/4.0/).
Share and Cite
Sujatha, E.R.; Kannan, G. An Investigation on the Potential of Cellulose for Soil Stabilization. Sustainability 2022, 14, 16277. https://doi.org/10.3390/su142316277
Sujatha ER, Kannan G. An Investigation on the Potential of Cellulose for Soil Stabilization. Sustainability. 2022; 14(23):16277. https://doi.org/10.3390/su142316277
Chicago/Turabian StyleSujatha, Evangelin Ramani, and Govindarajan Kannan. 2022. "An Investigation on the Potential of Cellulose for Soil Stabilization" Sustainability 14, no. 23: 16277. https://doi.org/10.3390/su142316277
APA StyleSujatha, E. R., & Kannan, G. (2022). An Investigation on the Potential of Cellulose for Soil Stabilization. Sustainability, 14(23), 16277. https://doi.org/10.3390/su142316277

