A Surface Crack Damage Evaluation Method Based on Kernel Density Estimation for UAV Images
Abstract
1. Introduction
2. Materials and Methods
2.1. Data Source
2.2. Research Method
2.3. UAV Image Crack Extraction Method
2.4. Kernel Density Estimation Method
2.5. Surface Crack Grading Index Determination
3. Results
3.1. Evaluation of Surface Crack Extraction Results and Accuracy
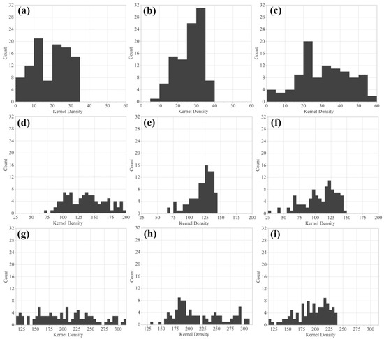
3.2. Nuclear Density of Surface Crack
3.3. Surface Crack Damage Grading Standard Determination
3.4. Evaluation Results of Surface Cracks from UAV Images
4. Discussion
5. Conclusions
Author Contributions
Funding
Institutional Review Board Statement
Informed Consent Statement
Data Availability Statement
Acknowledgments
Conflicts of Interest
References
- Zhang, F.; Hu, Z.; Yang, K.; Fu, Y.; Feng, Z.; Bai, M. The Surface Crack Extraction Method Based on Machine Learning of Image and Quantitative Feature Information Acquisition Method. Remote Sens. 2021, 13, 1534. [Google Scholar] [CrossRef]
- Chen, C.; Hu, Z.Q. Research advances in formation mechanism of ground fissure due to coal mining subsidence in China. J. China Coal Soc. 2018, 43, 810–823. [Google Scholar] [CrossRef]
- Xu, L.; Li, S.; Cao, X.; Somerville, I.; Suo, Y.; Liu, X.; Dai, L.; Zhao, S.; Guo, L.; Wang, P.; et al. Holocene intracontinental deformation of the northern North China Plain: Evidence of tectonic ground fissures. J. Asian Earth Sci. 2016, 119, 49–64. [Google Scholar] [CrossRef]
- Li, Y.; Yang, J.; Hu, X. Origin of ground fissures in the Shanxi Graben System, Northern China. Eng. Geol. 2000, 55, 267–275. [Google Scholar] [CrossRef]
- Wang, W.; Yang, Z.; Kong, J.; Cheng, N.; Duan, L.; Wang, Z. Ecological impacts induced by groundwater and their thresholds in the arid areas in northwest china. Environ. Eng. Manag. J. 2013, 12, 1497–1507. [Google Scholar] [CrossRef]
- Youssef, A.M.; Sabtan, A.A.; Maerz, N.H.; Zabramawi, Y.A. Earth Fissures in Wadi Najran, Kingdom of Saudi Arabia. Nat. Hazards 2013, 71, 2013–2027. [Google Scholar] [CrossRef]
- Zhang, H.-B. Effects of the Surface Cracks Caused by Coal Mining on Soil Characteristics and Wheat Growth in Huang-Huai-Hai Plain, China. Appl. Ecol. Environ. Res. 2017, 15, 1777–1790. [Google Scholar] [CrossRef]
- Stumpf, A.; Malet, J.-P.; Kerle, N.; Niethammer, U.; Rothmund, S. Image-based mapping of surface fissures for the investigation of landslide dynamics. Geomorphology 2013, 186, 12–27. [Google Scholar] [CrossRef]
- Jia, H.; Wei, B.; Liu, G.; Zhang, R.; Yu, B.; Wu, S. A Semi-Automatic Method for Extracting Small Ground Fissures from Loess Areas Using Unmanned Aerial Vehicle Images. Remote Sens. 2021, 13, 1784. [Google Scholar] [CrossRef]
- Nex, F.; Remondino, F. UAV for 3D mapping applications: A review. Appl. Geomat. 2014, 6, 1–15. [Google Scholar] [CrossRef]
- Maragos, P.; Sofou, A.; Stamou, G.B.; Tzouvaras, V.; Papatheodorou, E.; Stamou, G.P. Image Analysis of Soil Micromorphology: Feature Extraction, Segmentation, and Quality Inference. EURASIP J. Adv. Signal Process. 2004, 2004, 902–912. [Google Scholar] [CrossRef]
- Pádua, L.; Vanko, J.; Hruška, J.; Adão, T.; Sousa, J.J.; Peres, E.; Morais, R. UAS, sensors, and data processing in agroforestry: A review towards practical applications. Int. J. Remote. Sens. 2017, 38, 2349–2391. [Google Scholar] [CrossRef]
- Quackenbush, L.J. A review of techniques for extracting linear features from imagery. Photogramm. Eng. Remote Sens. 2004, 70, 1383–1392. [Google Scholar] [CrossRef]
- Papari, G.; Petkov, N. Edge and line oriented contour detection: State of the art. Image Vis. Comput. 2011, 29, 79–103. [Google Scholar] [CrossRef]
- Peng, J.; Qiao, J.; Leng, Y.; Wang, F.; Xue, S. Distribution and mechanism of the ground fissures in Wei River Basin, the origin of the Silk Road. Environ. Earth Sci. 2016, 75, 12. [Google Scholar] [CrossRef]
- Su, Y. Preliminary Study on Identification and Characterization of Rock Fracture Based on Digital Photogrammetry; China University of Mining and Technology: Beijing, China, 2017. [Google Scholar]
- Yin, X.T.; Dang, F.N.; Ding, W.H.; Chen, H.Q. Morphologic measurement of crack in CT images of rock and soil. Chin. J. Rock Mech. Eng. 2006, 25, 539–544. [Google Scholar] [CrossRef]
- Xie, Z.; Yan, J. Kernel Density Estimation of traffic accidents in a network space. Comput. Environ. Urban Syst. 2008, 32, 396–406. [Google Scholar] [CrossRef]
- Dayyani, L.; Pourtaheri, M.; Eftekhari, A.R.; Ahmadi, H. The identification and zoning of areas having rural deteriorated textures in the Tehran province by using KDE and GIS. Hum. Ecol. Risk Assess. Int. J. 2019, 25, 475–504. [Google Scholar] [CrossRef]
- Ji, Y.; Li, Y.; Yao, N.; Biswas, A.; Chen, X.; Li, L.; Pulatov, A.; Liu, F. Multivariate global agricultural drought frequency analysis using kernel density estimation. Ecol. Eng. 2022, 177, 22. [Google Scholar] [CrossRef]
- Nie, K.; Wang, Z.; Du, Q.; Ren, F.; Tian, Q. A Network-Constrained Integrated Method for Detecting Spatial Cluster and Risk Location of Traffic Crash: A Case Study from Wuhan, China. Sustainability 2015, 7, 2662–2677. [Google Scholar] [CrossRef]
- Zhang, F.; Hu, Z.; Fu, Y.; Yang, K.; Wu, Q.; Feng, Z. A New Identification Method for Surface Cracks from UAV Images Based on Machine Learning in Coal Mining Areas. Remote Sens. 2020, 12, 1571. [Google Scholar] [CrossRef]
- Mercer, J. XVI. Functions of positive and negative type, and their connection the theory of integral equations. Philos. Trans. R. Soc. 1909, 209, 415–446. [Google Scholar] [CrossRef]
- Zhang, L.; Zhang, B. Relationship between support vector set and kernel functions in svm. J. Comput. Sci. Technol. 2002, 17, 549–555. [Google Scholar] [CrossRef]
- Chan, T.-H.H.; Jiang, S.H.-C. Reducing curse of dimensionality: Improved ptas for tsp (with neighborhoods) in doubling metrics. ACM Trans. Algorithms 2018, 14, 1–18. [Google Scholar] [CrossRef]
- Hervé, A.; Williams, L.J. Principal component analysis. Wiley Interdiscip. Rev. Comput. Stat. 2018, 2, 433–459. [Google Scholar] [CrossRef]
- Hoang, N.-D.; Nguyen, Q.-L. A novel method for asphalt pavement crack classification based on image processing and machine learning. Eng. Comput. 2019, 35, 487–498. [Google Scholar] [CrossRef]
- Wang, X.-Y.; Niu, P.-P.; Yang, H.-Y.; Chen, L.-L. Affine invariant image watermarking using intensity probability density-based Harris Laplace detector. J. Vis. Commun. Image Represent. 2012, 23, 892–907. [Google Scholar] [CrossRef]
- Liu, J.-F.; Cao, X.-L.; Xu, J.; Yao, Q.-L.; Ni, H.-Y. A new method for threshold determination of gray image. Géoméch. Geophys. Geo-Energy Geo-Resour. 2020, 6, 1–13. [Google Scholar] [CrossRef]
- Nasios, A.B.N. Kernel Bandwidth Estimation for Nonparametric Modeling. IEEE Trans. Syst. Man Cybern. Part B 2009, 39, 1543–1555. [Google Scholar] [CrossRef]
- Hesamian, G.; Akbari, M.G. Nonparametric Kernel Estimation Based on Fuzzy Random Variables. IEEE Trans. Fuzzy Syst. 2017, 25, 84–99. [Google Scholar] [CrossRef]
- Silverman, B. Density Estimation for Statistics and Data Analysis; Chapman and Hall: London, UK, 1986. [Google Scholar]
- Tinghua, Y.W.A. The Visualization and Analysis of POI Features under Network Space Supported by Kernel Density Estimation. Acta Geod. Et Cartogr. Sin. 2015, 44, 82–90. [Google Scholar] [CrossRef]
- Bi, Y.; Zhang, J.; Song, Z.; Wang, Z.; Qiu, L.; Hu, J.; Gong, Y. Arbuscular mycorrhizal fungi alleviate root damage stress induced by simulated coal mining subsidence ground fissures. Sci. Total Environ. 2019, 652, 398–405. [Google Scholar] [CrossRef]
- Guo, J.; Zhang, Y.; Huang, H.; Yang, F. Deciphering soil bacterial community structure in subsidence area caused by underground coal mining in arid and semiarid area. Appl. Soil Ecol. 2021, 163, 103916. [Google Scholar] [CrossRef]
- Jing, Z.; Wang, J.; Zhu, Y.; Feng, Y. Effects of land subsidence resulted from coal mining on soil nutrient distributions in a loess area of China. J. Clean. Prod. 2018, 177, 350–361. [Google Scholar] [CrossRef]
- Ma, Y.; Huang, Y.; Wang, H.; Dang, X.; Wang, J.; Gao, Y. Effects of collapse fissures caused by coal mining on soil moisture in slope lands after rain. Acta Pedol. Sin. 2014, 51, 497–504. [Google Scholar] [CrossRef]
- Han, Z.Y. Study on the Effect of Coal Mining Collapse Crack on Soil Physical and Water Characteristics in Sandy Area; Henan University of Technology: Zhengzhou, China, 2017. [Google Scholar]
- Xu, C.; Ma, S.; Zhang, H.; Wang, R.; Guan, Z. Effect of cracks on soil characteristics and crop growth in subsided coal mining areas. Chin. J. Eco-Agric. 2015, 23, 597–604. [Google Scholar] [CrossRef]
- Wang, Q.; Dong, S.; Wang, H.; Yang, J.; Wang, X.; Zhao, C.; Zhang, X. Influence of mining subsidence on soil water movement law and its reg-ulation in blown-sand area of Western China. J. China Coal Soc. 2021, 46, 1532–1540. [Google Scholar] [CrossRef]
- Li, Y. Research on Risk Zoning of Ground Fissures in Big Xi’an Area; Chang’an University: Xian, China, 2015. [Google Scholar]
- Xu, D.; Zhao, Y.; Jiang, Y.; Zhang, C.; Sun, B.; He, X. Using Improved Edge Detection Method to Detect Mining-Induced Ground Fissures Identified by Unmanned Aerial Vehicle Remote Sensing. Remote Sens. 2021, 13, 3652. [Google Scholar] [CrossRef]
- Zhang, F.; Hu, Z.; Liang, Y.; Fu, Y.; Yang, K. An optimal approach for crack extraction from UAV sub-images after cutting. Int. J. Remote Sens. 2022, 43, 2638–2659. [Google Scholar] [CrossRef]
- Zhao, Y.; Sun, B.; Liu, S.; Zhang, C.; He, X.; Xu, D.; Tang, W. Identification of mining induced ground fissures using UAV and infrared thermal imager: Temperature variation and fissure evolution. ISPRS J. Photogramm. Remote Sens. 2021, 180, 45–64. [Google Scholar] [CrossRef]
- Wang, Z.; Wang, G.; Wang, C.; Wang, X.; Li, M.; Ren, T. Effect of Environmental Factors on Soil Nutrient Loss under Conditions of Mining Disturbance in a Coalfield. Forests 2021, 12, 1370. [Google Scholar] [CrossRef]
- Wang, X.J.; Hu, Z.Q.; Hu, Q.F.; Chen, C. Evolution and self-healing characteristic of land ecological environment due to super-large coalface mining in windy and sandy region. J. China Coal Soc. 2015, 40, 2166–2172. [Google Scholar] [CrossRef]
- Fu, Y.; Shang, J.; Hu, Z.; Li, P.; Yang, K.; Chen, C.; Guo, J.; Yuan, D. Ground Fracture Development and Surface Fracture Evolution in N00 Method Shallowly Buried Thick Coal Seam Mining in an Arid Windy and Sandy Area: A Case Study of the Ningtiaota Mine (China). Energie 2021, 14, 7712. [Google Scholar] [CrossRef]
- Liu, H.; Deng, K.; Zhu, X.; Jiang, C. Effects of mining speed on the developmental features of mining-induced ground fissures. Bull. Eng. Geol. Environ. 2019, 78, 6297–6309. [Google Scholar] [CrossRef]
- Wang, X.J. Monitoring, Evolution and Self-Healing Characteristic of Land Damage due to High Tension Coal Mining in Windy and Sandy Area; China University of Mining and Technology Beijing: Beijing, China, 2014. [Google Scholar]
- Chen, C. Dynamic Deformation Characteristics and Its Self-Healing of Surface and Overburden due to Super-Large Working Face in Windy and Sandy Region; China University of Mining and Technology Beijing: Beijing, China, 2018. [Google Scholar]











| Parameters | Value |
|---|---|
| Data types | Visible image |
| Flight date | 7 May 2020 |
| Flight altitude | 50 m |
| Overlap | 80% (front), 60% (side) |
| Camera type | Zenmuse X5S |
| Focal length | 15 mm |
| Ground sampling distance (GSD) | 0.011 m |
| Crack | No Crack | |
|---|---|---|
| All pixels | 1000 | 1000 |
| Correct pixels | 942 | 838 |
| No Damage | Light Damage | Moderate Damage | Severe Damage | |
|---|---|---|---|---|
| Crack kernel density | 0 | 0–60 | 60–150 | >150 |
Publisher’s Note: MDPI stays neutral with regard to jurisdictional claims in published maps and institutional affiliations. |
© 2022 by the authors. Licensee MDPI, Basel, Switzerland. This article is an open access article distributed under the terms and conditions of the Creative Commons Attribution (CC BY) license (https://creativecommons.org/licenses/by/4.0/).
Share and Cite
Liang, Y.; Zhang, F.; Yang, K.; Hu, Z. A Surface Crack Damage Evaluation Method Based on Kernel Density Estimation for UAV Images. Sustainability 2022, 14, 16238. https://doi.org/10.3390/su142316238
Liang Y, Zhang F, Yang K, Hu Z. A Surface Crack Damage Evaluation Method Based on Kernel Density Estimation for UAV Images. Sustainability. 2022; 14(23):16238. https://doi.org/10.3390/su142316238
Chicago/Turabian StyleLiang, Yusheng, Fan Zhang, Kun Yang, and Zhenqi Hu. 2022. "A Surface Crack Damage Evaluation Method Based on Kernel Density Estimation for UAV Images" Sustainability 14, no. 23: 16238. https://doi.org/10.3390/su142316238
APA StyleLiang, Y., Zhang, F., Yang, K., & Hu, Z. (2022). A Surface Crack Damage Evaluation Method Based on Kernel Density Estimation for UAV Images. Sustainability, 14(23), 16238. https://doi.org/10.3390/su142316238

