A Product Evolution Rules Based Method for Retired Mechanical Product Demand Acquisition
Abstract
1. Introduction
- The generalized growth and evolution mode of RMP is revealed. Based on the experience of technicians in the production process of making decisions on the remanufacturing method of RMP, the generalized growth evolution mode of RMP is analyzed, which is used as the basis for obtaining RMPD;
- The concept of RMPD is put forward. Different from the relevant research on product demand, the research on RMPD is based on the evolution law of product property, function, and performance under the generalized growth mode determined by the failure characteristics, rather than the transformation from customer and market demand;
- The traditional rule mining method is improved to obtain RMPD efficiently and accurately. Based on the traditional rule mining method, the advantages and applicability of the method are verified by a case study, which can provide effective support for the improvement and expansion of the enterprise’s remanufacturing service.
2. Related works
2.1. Product Demand
2.2. Product Evolution
3. RMPD Based on Generalized Growth
3.1. Generalized Growth Evolution Model Driven by Failure Characteristics
3.2. RMPD Based on Evolutionary Rule
4. RMPD Acquisition Method Based on Product Evolution Rules
4.1. Mining Evolution Rule of RMP
- (1)
- Data preprocessing
- (2)
- Determination of initial pheromone concentration based on Apriori algorithm
- (3)
- Mining frequent itemsets based on the ant colony algorithm
- (4)
- Obtain product evolution rules
| Algorithm 1: Pseudo codes of AP-ACO algorithm |
| Initialize: minsup, minconf, NC_max, m, , |
| F1 = find_frequent_1-itemsets(D) |
| f(itemi, itemj) = CheckSup(dataset, {i, j}), F1 |
| Creat frequent matrix named TSP, it consists of f(itemi, itemj) |
| Start: m = random(TSP)m < n |
| for(k = 0, k < m, k++){ |
| j = next_item(k); |
| add j to Tabu |
| if (fqset ⊂ path && j fqset) |
| add fqset to Fk |
| else add j to forbid} |
| if(i,j ⊂ Fbest) updata |
| if(reached NC_max) |
| goto Exit |
| else goto Start |
| Exit: for each LiLk |
| if(support(Fk)/support(Fi) ≥ minconf) |
| Print Fi→(Fk–Fi) |
4.2. RMPD Information Extraction


5. Case Study
5.1. Data Processing
5.2. Mining of Roll Growth Evolution Rules Driven by Failure Characteristics
5.3. Demand Acquisition of Retired Roll Products Based on Failure Characteristics
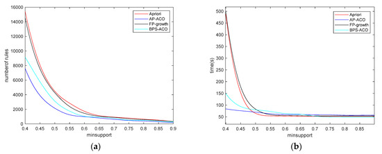
5.4. Analysis and Discussion
6. Conclusions and Future Work
Author Contributions
Funding
Institutional Review Board Statement
Informed Consent Statement
Data Availability Statement
Conflicts of Interest
References
- Wang, L.; Guo, Y.; Zhang, Z.; Xia, X.; Cao, J. Generalized growth decision based on cascaded failure information: Maximizing the value of retired mechanical products. J. Clean. Prod. 2020, 269, 122176. [Google Scholar] [CrossRef]
- Yin, D.; Ming, X.; Liu, Z.; Zhang, X. A Fuzzy ANP-QFD Methodology for Determining Stakeholders in Product-Service Systems Development from Ecosystem Perspective. Sustainability 2020, 12, 3329. [Google Scholar] [CrossRef]
- Lam, J.S.L.; Lai, K.-H. Developing environmental sustainability by ANP-QFD approach: The case of shipping operations. J. Clean. Prod. 2015, 105, 275–284. [Google Scholar] [CrossRef]
- Cho, H.S.; Sosa, M.E.; Hasija, S. Reading Between the Stars: Understanding the Effects of Online Customer Reviews on Product Demand. Manuf. Serv. Oper. Manag. 2021, 24, 1887–2386. [Google Scholar]
- Afrin, K.; Nepal, B.; Monplaisir, L. A data-driven framework to new product demand prediction: Integrating product differentiation and transfer learning approach. Expert Syst. Appl. 2018, 108, 246–257. [Google Scholar] [CrossRef]
- Chen, I.; Lu, C. Demand Forecasting for Multichannel Fashion Retailers by Integrating Clustering and Machine Learning Algorithms. Processes 2021, 9, 1578. [Google Scholar] [CrossRef]
- Wang, L.; Zhao, H.; Liu, X.; Zhang, Z.; Xia, X.; Evans, S. Optimal Remanufacturing Service Resource Allocation for Generalized Growth of Retired Mechanical Products: Maximizing Matching Efficiency. IEEE Access 2021, 9, 89655–89674. [Google Scholar]
- Bravo, A.; Vieira, D.; Rebello, T.A. The Origins, Evolution, Current State, and Future of Green Products and Consumer Research: A Bibliometric Analysis. Sustainability 2022, 14, 11022. [Google Scholar] [CrossRef]
- Zhao, S.; Zhang, Q.; Peng, Z.; Fan, Y. Integrating customer requirements into customized product configuration design based on Kano’s model. J. Intell. Manuf. 2019, 31, 597–613. [Google Scholar] [CrossRef]
- Liu, A.; Lu, S. Functional design framework for innovative design thinking in product development. CIRP J. Manuf. Sci. Technol. 2020, 30, 105–117. [Google Scholar] [CrossRef]
- He, B.; Niu, Y.; Hou, S.; Li, F. Sustainable design from functional domain to physical domain. J. Clean. Prod. 2018, 197, 1296–1306. [Google Scholar] [CrossRef]
- Jeong, H.; Kang, C.; Kim, B. Requirements development process for manufacturing information systems based on quality function deployment. Int. J. Comput. Integr. Manuf. 2018, 31, 164–174. [Google Scholar] [CrossRef]
- Kuo, Y.-H.; Kusiak, A. From data to big data in production research: The past and future trends. Int. J. Prod. Res. 2018, 57, 4828–4853. [Google Scholar] [CrossRef]
- Schöggl, J.-P.; Baumgartner, R.J.; Hofer, D. Improving sustainability performance in early phases of product design: A checklist for sustainable product development tested in the automotive industry. J. Clean. Prod. 2017, 140, 1602–1617. [Google Scholar] [CrossRef]
- Lai, X.; Zhang, Q.; Chen, Q.; Huang, Y.; Mao, N.; Liu, J. The analytics of product-design requirements using dynamic internet data: Application to Chinese smartphone market. Int. J. Prod. Res. 2018, 57, 5660–5684. [Google Scholar] [CrossRef]
- Majd, K.; Vicky, W.; Tugba, F. A data-driven forecasting approach for newly launched seasonal products by leveraging machine-learning approaches. Ann. Oper. Res. 2021, 303, 159–174. [Google Scholar]
- Wang, W.; Wei, T.; Zhang, Y.; Wang, Y. A method of intelligent product design cue construction based on customer touchpoint correlation analysis and positive creativity theory. Adv. Mech. Eng. 2019, 11, 1687814018819347. [Google Scholar] [CrossRef]
- Ma, B.; Ma, H.; Li, Y.; Chu, X.; Liu, Q. Design improvement supporting method based on product performance analysis. Int. J. Comput. Integr. Manuf. 2019, 32, 1009–1022. [Google Scholar] [CrossRef]
- Ke, C.; Jiang, Z.; Zhu, S.; Wang, Y. An integrated design method for remanufacturing process based on performance demand. Int. J. Adv. Manuf. Technol. 2021, 118, 849–863. [Google Scholar] [CrossRef]
- van Steenbergen, R.; Mes, M. Forecasting demand profiles of new products. Decis. Support Syst. 2020, 139, 113401. [Google Scholar] [CrossRef]
- Noh, J.; Park, H.-J.; Kim, J.S.; Hwang, S.-J. Gated Recurrent Unit with Genetic Algorithm for Product Demand Forecasting in Supply Chain Management. Mathematics 2020, 8, 565. [Google Scholar] [CrossRef]
- Chaudhuri, K.D.; Alkan, B. A hybrid extreme learning machine model with harris hawks optimisation algorithm: An optimised model for product demand forecasting applications. Appl. Intell. 2022, 52, 11489–11505. [Google Scholar] [CrossRef]
- Domingo, R.; Aguado, S. Overall Environmental Equipment Effectiveness as a Metric of a Lean and Green Manufacturing System. Sustainability 2015, 7, 9031–9047. [Google Scholar] [CrossRef]
- Kivi, A.; Smura, T.; Töyli, J. Technology product evolution and the diffusion of new product features. Technol. Forecast. Soc. Chang. 2012, 79, 107–126. [Google Scholar] [CrossRef]
- Zhang, L.; Zheng, C.; Zheng, Y.; Huang, H.; Ke, Q. Product evolutionary design driven by environmental performance. Concurr. Eng. 2018, 27, 40–56. [Google Scholar] [CrossRef]
- Li, Y.; Ni, Y.; Zhang, N.; Liu, Q.; Cao, J. Towards the evolution characteristics of product structural properties based on the time-dependent network. J. Eng. Des. 2022, 33, 207–233. [Google Scholar] [CrossRef]
- Park, K.; Kremer, G.E.O. Topological Characterization of an Evolving Product Structure Network: A Case Study of Generational Smartphone Products. J. Mech. Des. 2019, 141, 1–38. [Google Scholar] [CrossRef]
- Liu, Z.; Zhang, M.; Li, Y.; Chu, X. Research on the module configuration of complex products considering the evolution of the product family. J. Intell. Fuzzy Syst. 2020, 39, 4577–4595. [Google Scholar] [CrossRef]
- Ma, H.; Chu, X.; Xue, D.; Chen, D. Identification of to-be-improved components for redesign of complex products and systems based on fuzzy QFD and FMEA. J. Intell. Manuf. 2016, 30, 623–639. [Google Scholar] [CrossRef]
- Oh, S.; Choi, J.; Ko, N.; Yoon, J. Predicting product development directions for new product planning using patent classification-based link prediction. Scientometrics 2020, 125, 1833–1876. [Google Scholar] [CrossRef]
- Biswas, S.; Ali, I.; Chakrabortty, R.K.; Turan, H.H.; Elsawah, S.; Ryan, M.J. Dynamic modeling for product family evolution combined with artificial neural network based forecasting model: A study of iPhone evolution. Technol. Forecast. Soc. Chang. 2022, 178, 121549. [Google Scholar] [CrossRef]
- Li, S.; Wu, Y.; Xu, Y.; Hu, J.; Hu, J. A Bayesian Network Based Adaptability Design of Product Structures for Function Evolution. Appl. Sci. 2018, 8, 493. [Google Scholar] [CrossRef]
- Song, W.; Yuan, S.; Yang, Y.; He, C. A Study of Community Group Purchasing Vehicle Routing Problems Considering Service Time Windows. Sustainability 2022, 14, 6968. [Google Scholar] [CrossRef]
- Gorbatyuk, S.M.; Kochanov, A.V. Metod and equipment for mechanically strengthening the surface of rolling mill rolls. Metallurgist 2012, 56, 279–283. [Google Scholar] [CrossRef]
- Cheng, K.-C.; Huang, M.-J.; Fu, C.-K.; Wang, K.-H.; Wang, H.-M.; Lin, L.-H. Establishing a Multiple-Criteria Decision-Making Model for Stock Investment Decisions Using Data Mining Techniques. Sustainability 2021, 13, 3100. [Google Scholar] [CrossRef]
- Feng, W.; Zhu, Q.; Zhuang, J.; Yu, S. An expert recommendation algorithm based on Pearson correlation coefficient and FP-growth. Clust. Comput. 2018, 22, 7401–7412. [Google Scholar] [CrossRef]
- Zhou, W.; Xia, X.; Zhang, Z.; Wang, L. Association rules mining between service demands and remanufacturing services. Artif. Intell. Eng. Des. Anal. Manuf. 2020, 35, 240–250. [Google Scholar] [CrossRef]






| No. | Model | Roll System | Material | Min_Roll Diameter (mm) | Max_ Roll Diameter (mm) | Roll Length (mm) | Surface Hardness (HRC) |
|---|---|---|---|---|---|---|---|
| 1 | 20-high rolling mill | WR | 9Cr2Mo | 58 | 73.5 | 1450 | 62–64 |
| 2 | MR(#1) | 9Cr2Mo | 96 | 105 | 1450 | 58–62 | |
| 3 | MR(#2) | 9Cr2Mo | 170 | 173 | 1450 | 58–62 | |
| 4 | SR | 9Cr2Mo | 297 | 300 | 1450 | 68–74 | |
| 5 | finishing mill | WR | 9Cr2Mo | 215 | 240 | 1050 | 95–100 |
| 6 | MR | 9Cr2Mo | 300 | 330 | 1200 | 95–100 | |
| 7 | SR | forged steel | 800 | 850 | 1000 | 68–74 | |
| 8 | 18-high rolling mill | WR | 12%Cr | 120 | 150 | 1250 | 60–62 |
| 9 | MR | 5H12/MC5 | 330 | 355 | 1200 | 60–62 | |
| 10 | SR | forged steel | 1110 | 1200 | 1000 | 68–74 | |
| 11 | 1580 hot rolled | VR(#1) | 9Cr2Mo | 900 | 1000 | 430 | 75–80 |
| 12 | WR(#1) | 9Cr2Mo | 1230 | 1350 | 1580 | 42–48 | |
| 13 | WR(#2) | 9Cr2Mo | 1060 | 1160 | 1580 | 75–80 | |
| 14 | SR(#1) | forged steel | 1330 | 1480 | 1560 | 42–48 | |
| 15 | SR(#2) | forged steel | 1450 | 1600 | 1560 | 69–75 | |
| 16 | 1880 hot rolled | WR(#1) | 9Cr2Mo | 1200 | 1350 | 1880 | 75–80 |
| 17 | VR(#1) | 9Cr2Mo | 1100 | 1200 | 440 | 42–48 | |
| 18 | WR(#2) | 9Cr2Mo | 1100 | 1250 | 1880 | 75–80 | |
| 19 | VR(#2) | 9Cr2Mo | 570 | 630 | 350 | 42–48 | |
| 20 | SR | forged steel | 1450 | 1600 | 1860 | 65–71 | |
| ⋮ | ⋮ | ⋮ | ⋮ | ⋮ | ⋮ | ⋮ | ⋮ |
| Failure Form | Failure Level | ||||
|---|---|---|---|---|---|
| 1 | 2 | 3 | 4 | 5 | |
| Cracking | no | ≤1 mm | 1~3 mm | 3~5 mm | ≥5 mm |
| Peeling | ≤1 cm2 | 1~5 cm2 | 5~10 cm2 | ≥10 cm2 | … |
| Pitting | ≤1 mm | 1~3 mm | 3~5 mm | ≥5 mm | … |
| Sticking | ≤1 cm2 | 1~5 cm2 | 5~10 cm2 | ≥10 cm2 | … |
| Tightening | ≤1 mm | 1~3 mm | 3~5 mm | ≥5 mm | … |
| Breaking | no | slight | obvious | … | … |
| Retired Product | Failure Characteristic | Recycled Product | |||||
|---|---|---|---|---|---|---|---|
| Retired roll | Cracking | Peeling | Pitting | Sticking | Tightening | Breaking | Recycled roll |
| No. | Rule | Support | Confidence | ||
|---|---|---|---|---|---|
| 1 | → | 0.83 | 0.97 | ||
| 2 | , | → | 0.81 | 0.97 | |
| 3 | , | → | 0.80 | 0.97 | |
| 4 | , | → | 0.80 | 0.97 | |
| 5 | , | → | 0.78 | 0.97 | |
| 6 | ,, | → | 0.75 | 0.97 | |
| 7 | , | → | 0.72 | 0.83 | |
| 8 | , | → | 0.72 | 0.80 | |
| 9 | ,, | → | 0.70 | 0.80 | |
| ⋮ | ⋮ | ⋮ | ⋮ | ||
| No. | Rule | |
|---|---|---|
| 1 | {9Cr2Mo;Ø1200/1350–1880;HRC:75–80} | → {9Cr2Mo;Ø1060/1160–1580;HRC:75–80} |
| 2 | {9Cr2Mo;Ø800/850–1000;HRC:68–74} | → {9Cr2Mo;Ø1060/1160–1580;HRC:75–80} |
| 3 | {forged steel;Ø1110/1200–1000;HRC:68–74} | → {9Cr2Mo;Ø215/240–1050;HRC:95–100} |
| 4 | {forged steel;Ø1110/1200–1000;HRC:68–74} | → {9Cr2Mo;Ø800/850–1000;HRC:68–74} |
| 5 | {forged steel;Ø1450/1600–1560;HRC:69–75} | → {forged steel;Ø1330/1480–1560;HRC:42–48} |
| 6 | {9Cr2Mo;Ø1060/1160–1580;HRC:75–80} | → {9Cr2Mo;Ø215/225–1450;HRC:58–62} |
| 7 | {9Cr2Mo;Ø900/1000–430;HRC:75–80} | → {9Cr2Mo;Ø570/630–350;HRC:42–48} |
| 8 | {9Cr2Mo;Ø1100/1200–440;HRC:42–48} | → {9Cr2Mo;Ø900/1000–430;HRC:75–80} |
| 9 | {5H12/MC5;Ø330/355–1200;HRC:60–62} | → {9Cr2Mo;Ø300/330–1200;HRC:95–100} |
| ⋮ | ⋮ | |
| Sample | 5 | 10 | 15 | 20 | 25 | 30 | 35 |
| Hit rate | 1.00 | 1.00 | 0.80 | 0.90 | 1.00 | 1.00 | 0.90 |
Publisher’s Note: MDPI stays neutral with regard to jurisdictional claims in published maps and institutional affiliations. |
© 2022 by the authors. Licensee MDPI, Basel, Switzerland. This article is an open access article distributed under the terms and conditions of the Creative Commons Attribution (CC BY) license (https://creativecommons.org/licenses/by/4.0/).
Share and Cite
Zhou, W.; Xia, X.; Wang, L.; Zhang, Z.; Chen, B. A Product Evolution Rules Based Method for Retired Mechanical Product Demand Acquisition. Sustainability 2022, 14, 15701. https://doi.org/10.3390/su142315701
Zhou W, Xia X, Wang L, Zhang Z, Chen B. A Product Evolution Rules Based Method for Retired Mechanical Product Demand Acquisition. Sustainability. 2022; 14(23):15701. https://doi.org/10.3390/su142315701
Chicago/Turabian StyleZhou, Wenbin, Xuhui Xia, Lei Wang, Zelin Zhang, and Baotong Chen. 2022. "A Product Evolution Rules Based Method for Retired Mechanical Product Demand Acquisition" Sustainability 14, no. 23: 15701. https://doi.org/10.3390/su142315701
APA StyleZhou, W., Xia, X., Wang, L., Zhang, Z., & Chen, B. (2022). A Product Evolution Rules Based Method for Retired Mechanical Product Demand Acquisition. Sustainability, 14(23), 15701. https://doi.org/10.3390/su142315701

