Enhancement of Wheat Growth by UV-Mutagenesis of Potential Chromium Tolerant Bacillus sp. Strain SR-2-1/1
Abstract
1. Introduction
2. Materials and Methods
2.1. Source of Bacterial Strain
2.2. Ultraviolet (UV) Mutagenesis
2.3. Screening of Mutants for Chromium Tolerance
2.4. Phosphate Solubilization
2.5. Ammonia Production
2.6. ACC Deaminase Activity
2.7. Molecular Identification of Bacterial Strains
2.8. Pot Experiment
2.9. Statistical Analysis
3. Results
3.1. Bacterial Survival Rate
3.2. Minimum Inhibitory Concentration with Chromium (MIC)
3.3. Comparative Study of Plant-Beneficial Traits
3.4. Molecular Identification of Bacterial Strains
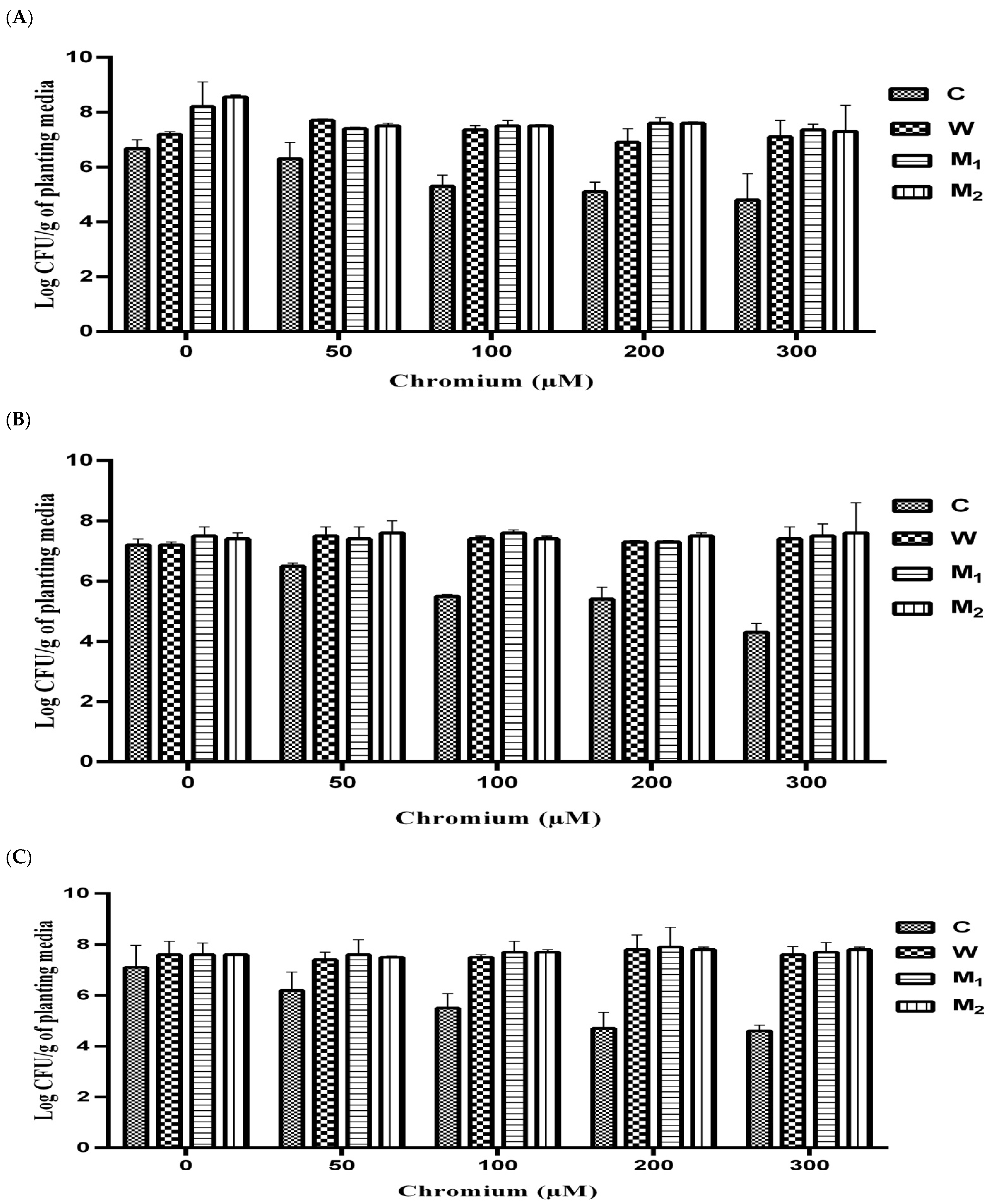
3.5. Bacterial Survival in the Rhizosphere
3.6. Growth Measurement
4. Discussion
5. Conclusions
Author Contributions
Funding
Institutional Review Board Statement
Informed Consent Statement
Data Availability Statement
Acknowledgments
Conflicts of Interest
References
- Kumari, S.; Mishra, A. Heavy Metal Contamination. In Soil Contamination; IntechOpen: London, UK, 2021. [Google Scholar]
- Hassan, M.U.; Chattha, M.U.; Khan, I.; Chattha, M.B.; Aamer, M.; Nawaz, M.; Ali, A.; Khan, M.A.U.; Khan, T.A. Nickel toxicity in plants: Reasons, toxic effects, tolerance mechanisms, and remediation possibilities—A review. Environ. Sci. Pollut. Res. 2019, 26, 12673–12688. [Google Scholar] [CrossRef] [PubMed]
- Khan, M.S.; Zaidi, A.; Wani, P.A.; Oves, M. Role of plant growth promoting rhizobacteria in the remediation of metal contaminated soils. Environ. Chem. Lett. 2008, 7, 1–19. [Google Scholar] [CrossRef]
- Sahoo, T.R.; Prelot, B. Adsorption Processes for the Removal of Contaminants from Wastewater: The Perspective Role of Nanomaterials and Nanotechnology. In Nanomaterials for the Detection and Removal of Wastewater Pollutants; Elsevier: Amsterdam, The Netherlands, 2020; pp. 161–222. [Google Scholar]
- Pandotra, P.; Raina, M.; Salgotra, R.K.; Ali, S.; Mir, Z.A.; Bhat, J.A.; Tyagi, A.; Upadhahy, D. Plant-Bacterial Partnership: A Major Pollutants Remediation Approach. In Modern Age Environmental Problems and Their Remediation; Springer: Cham, Switzerland, 2018; pp. 169–200. [Google Scholar]
- Abdu, N.; Abdullahi, A.A.; Abdulkadir, A. Heavy metals and soil microbes. Environ. Chem. Lett. 2017, 15, 65–84. [Google Scholar] [CrossRef]
- Dhaliwal, S.S.; Singh, J.; Taneja, P.K.; Mandal, A. Remediation techniques for removal of heavy metals from the soil contaminated through different sources: A review. Environ. Sci. Pollut. Res. 2020, 27, 1319–1333. [Google Scholar] [CrossRef]
- Oh, Y.J.; Song, H.; Shin, W.S.; Choi, S.J.; Kim, Y.-H. Effect of amorphous silica and silica sand on removal of chromium(VI) by zero-valent iron. Chemosphere 2007, 66, 858–865. [Google Scholar] [CrossRef]
- Ahamad, M.I.; Song, J.; Sun, H.; Wang, X.; Mehmood, M.S.; Sajid, M.; Su, P.; Khan, A.J. Contamination Level, Ecological Risk, and Source Identification of Heavy Metals in the Hyporheic Zone of the Weihe River, China. Int. J. Environ. Res. Public Health 2020, 17, 1070. [Google Scholar] [CrossRef]
- Sharma, A.; Kapoor, D.; Wang, J.; Shahzad, B.; Kumar, V.; Bali, A.S.; Jasrotia, S.; Zheng, B.; Yuan, H.; Yan, D. Chromium Bioaccumulation and Its Impacts on Plants: An Overview. Plants 2020, 9, 100. [Google Scholar] [CrossRef]
- Gupta, P.; Rani, R.; Chandra, A.; Varjani, S.J.; Kumar, V. Effectiveness of Plant Growth-Promoting Rhizobacteria in Phytoremediation of Chromium Stressed Soils. In Waste Bioremediation; Springer: Singapore, 2018; pp. 301–312. [Google Scholar]
- Dahiya, A.; Chahar, K.; Sindhu, S.S. The rhizosphere microbiome and biological control of weeds: A review. Span. J. Agric. Res. 2020, 17, e10R01. [Google Scholar] [CrossRef]
- Calvo, P.; Zebelo, S.; McNear, D.; Kloepper, J.; Fadamiro, H. Plant growth-promoting rhizobacteria induce changes in Arabidopsis thaliana gene expression of nitrate and ammonium uptake genes. J. Plant Interact. 2019, 14, 224–231. [Google Scholar] [CrossRef]
- Gouda, S.; Kerry, R.G.; Das, G.; Paramithiotis, S.; Shin, H.-S.; Patra, J.K. Revitalization of plant growth promoting rhizobacteria for sustainable development in agriculture. Microbiol. Res. 2018, 206, 131–140. [Google Scholar] [CrossRef]
- Korver, R.A.; Koevoets, I.T.; Testerink, C. Out of Shape During Stress: A Key Role for Auxin. Trends Plant Sci. 2018, 23, 783–793. [Google Scholar] [CrossRef]
- Fatima, H.-E.; Ahmed, A. How Chromium-Resistant Bacteria Can Improve Corn Growth in Chromium-Contaminated Growing Medium. Pol. J. Environ. Stud. 2016, 25, 2357–2365. [Google Scholar] [CrossRef]
- Hussain, S.; Maqbool, Z.; Shahid, M.; Shahzad, T.; Muzammil, S.; Zubair, M.; Iqbal, M.; Ahmad, I.; Imran, M.; Ibrahim, M.; et al. Simultaneous removal of reactive dyes and hexavalent chromium by a metal tolerant Pseudomonas sp. WS-D/183 harboring plant growth promoting traits. Int. J. Agric. Biol. 2020, 23, 241–252. [Google Scholar] [CrossRef]
- Gorovtsov, A.; Rajput, V.; Pulikova, E.; Gerasimenko, A.; Ivanov, F.; Vasilchenko, N.; Demidov, A.; Jatav, H.; Minkina, T. Soil Microbial Communities in Urban Environment. In Advances in Environmental Research; Nova Science Publisher: Hauppauge, NY, USA, 2020. [Google Scholar]
- Alkahtani, M.D.F.; Fouda, A.; Attia, K.A.; Al-Otaibi, F.; Eid, A.M.; Ewais, E.E.-D.; Hijri, M.; St-Arnaud, M.; Hassan, S.E.-D.; Khan, N.; et al. Isolation and Characterization of Plant Growth Promoting Endophytic Bacteria from Desert Plants and Their Application as Bioinoculants for Sustainable Agriculture. Agronomy 2020, 10, 1325. [Google Scholar] [CrossRef]
- Pavlova, A.S.; Leontieva, M.R.; Smirnova, T.A.; Kolomeitseva, G.L.; Netrusov, A.I.; Tsavkelova, E.A. Colonization strategy of the endophytic plant growth-promoting strains of Pseudomonas fluorescens and Klebsiella oxytoca on the seeds, seedlings and roots of the epiphytic orchid, Dendrobium nobile Lindl. J. Appl. Microbiol. 2017, 123, 217–232. [Google Scholar] [CrossRef]
- Tirry, N.; Kouchou, A.; El Omari, B.; Ferioun, M.; El Ghachtouli, N. Improved chromium tolerance of Medicago sativa by plant growth-promoting rhizobacteria (PGPR). J. Genet. Eng. Biotechnol. 2021, 19, 149. [Google Scholar] [CrossRef]
- Maqbool, Z.; Shahid, M.; Azeem, F.; Shahzad, T.; Mahmood, F.; Rehman, M.; Ahmed, T.; Imran, M.; Hussain, S. Application of a Dye-Decolorizing Pseudomonas aeruginosa Strain ZM130 for Remediation of Textile Wastewaters in Aerobic/Anaerobic Sequential Batch Bioreactor and Soil Columns. Water Air Soil Pollut. 2020, 231, 386. [Google Scholar] [CrossRef]
- Snyder, R.D.; Sunkara, P.S. Effect of Polyamine Depletion on DNA Damage and Repair Following UV Irradiation of HeLa Cells. Photochem. Photobiol. 1990, 52, 525–532. [Google Scholar] [CrossRef]
- Saegeman, V.S.; Ectors, N.L.; Lismont, D.; Verduyckt, B.; Verhaegen, J. Short- and long-term bacterial inhibiting effect of high concentrations of glycerol used in the preservation of skin allografts. Burns 2008, 34, 205–211. [Google Scholar] [CrossRef]
- Mahmood, F.; Shahid, M.; Hussain, S.; Shahzad, T.; Tahir, M.; Ijaz, M.; Hussain, A.; Mahmood, K.; Imran, M.; Babar, S.A.K. Potential plant growth-promoting strain Bacillus sp. SR-2-1/1 decolorized azo dyes through NADH-ubiquinone: Oxidoreductase activity. Bioresour. Technol. 2017, 235, 176–184. [Google Scholar] [CrossRef]
- Penrose, D.M.; Glick, B.R. Methods for isolating and characterizing ACC deaminase-containing plant growth-promoting rhizobacteria. Physiol. Plant. 2003, 118, 10–15. [Google Scholar] [CrossRef] [PubMed]
- Abbas, S.; Muhammad, T.J.; Muhammad, S.; Iqbal, H.; Muhammad, Z.H.; Hassan, J.C.; Kashif, T.; Awais, M. Acinetobacter sp. SG-5 inoculation alleviates cadmium toxicity in differentially Cd tolerant maize cultivars as deciphered by improved physio-biochemical attributes, antioxidants and nutrient physiology. Plant Physiol. Biochem. 2020, 155, 815–827. [Google Scholar] [CrossRef] [PubMed]
- Pullerits, K.; Ahlinder, J.; Holmer, L.; Salomonsson, E.; Öhrman, C.; Jacobsson, K.; Dryselius, R.; Forsman, M.; Paul, C.J.; Rådström, P. 2 Impact of UV irradiation at full scale on bacterial communities in drinking water. NPJ Clean Water 2020, 3, 11. [Google Scholar] [CrossRef]
- Joshi, S.M.; Inamdar, S.A.; Jadhav, J.P.; Govindwar, S.P. Random UV Mutagenesis Approach for Enhanced Biodegradation of Sulfonated Azo Dye, Green HE4B. Appl. Biochem. Biotechnol. 2013, 169, 1467–1481. [Google Scholar] [CrossRef] [PubMed]
- Achal, V.; Savant, V.; Reddy, M.S. Phosphate solubilization by a wild type strain and UV-induced mutants of Aspergillus tubingensis. Soil Biol. Biochem. 2007, 39, 695–699. [Google Scholar] [CrossRef]
- Akram, M.S.; Shahid, M.; Tariq, M.; Azeem, M.; Javed, M.T.; Saleem, S.; Riaz, S. Deciphering Staphylococcus sciuri SAT-17 Mediated Anti-oxidative Defense Mechanisms and Growth Modulations in Salt Stressed Maize (Zea mays L.). Front. Microbiol. 2016, 7, 867. [Google Scholar] [CrossRef] [PubMed]
- Shahid, M.; Javed, M.T.; Masood, S.; Akram, M.S.; Azeem, M.; Ali, Q.; Gilani, R.; Basit, F.; Abid, A.; Lindberg, S. Serratia sp. CP-13 augments the growth of cadmium (Cd)-stressed Linum usitatissimum L. by limited Cd uptake, enhanced nutrient acquisition and antioxidative potential. J. Appl. Microbiol. 2019, 126, 1708–1721. [Google Scholar] [CrossRef]
- Wu, A.-X.; Hu, K.-J.; Wang, H.-J.; Zhang, A.-Q.; Yang, Y. Effect of ultraviolet mutagenesis on heterotrophic strain mutation and bioleaching of low grade copper ore. J. Central South Univ. 2017, 24, 2245–2252. [Google Scholar] [CrossRef]
- Lindquist, M.R.; López-Núñez, J.C.; Jones, M.A.; Cox, E.J.; Pinkelman, R.J.; Bang, S.S.; Moser, B.R.; Jackson, M.A.; Iten, L.B.; Kurtzman, C.P.; et al. Irradiation of Yarrowia lipolytica NRRL YB-567 creating novel strains with enhanced ammonia and oil production on protein and carbohydrate substrates. Appl. Microbiol. Biotechnol. 2015, 99, 9723–9743. [Google Scholar] [CrossRef][Green Version]
- Ghosh, P.K.; De, T.K.; Maiti, T.K. Role of ACC deaminase as a stress ameliorating enzyme of plant growth-promoting rhizobacteria useful in stress agriculture: A review. In Role of Rhizospheric Microbes in Soil; Springer: Singapore, 2018; pp. 57–106. [Google Scholar]
- Singh, R.P.; Shelke, G.M.; Kumar, A.; Jha, P.N. Biochemistry and genetics of ACC deaminase: A weapon to “stress ethylene” produced in plants. Front. Microbiol. 2015, 6, 937. [Google Scholar] [CrossRef]
- Manikandan, A.; Johnson, I.; Jaivel, N.; Krishnamoorthy, R.; SenthilKumar, M.; Raghu, R.; Gopal, N.O.; Mukherjee, P.K.; Anandham, R. Gamma-induced mutants of Bacillus and Streptomyces display enhanced antagonistic activities and suppression of the root rot and wilt diseases in pulses. Biomol. Concepts 2022, 13, 103–118. [Google Scholar] [CrossRef] [PubMed]
- Shahid, M.; Hameed, S.; Imran, A.; Ali, S.; van Elsas, J.D. Root colonization and growth promotion of sunflower (Helianthus annuus L.) by phosphate solubilizing Enterobacter sp. Fs-11. World J. Microbiol. Biotechnol. 2012, 28, 2749–2758. [Google Scholar] [CrossRef] [PubMed]






| Isolates | Cr mg/L | ||||||
|---|---|---|---|---|---|---|---|
| 0 | 10 | 20 | 50 | 100 | 200 | 500 | |
| W | + | + | + | + | + | + | + |
| M1 | + | + | + | + | + | + | − |
| M2 | + | + | + | + | + | + | + |
| M3 | + | + | − | − | − | − | − |
| M4 | + | + | − | − | − | − | − |
| M5 | + | + | − | − | − | − | − |
| M6 | + | + | − | − | − | − | − |
| M7 | + | + | + | − | − | − | − |
| M8 | + | + | − | − | − | − | − |
| Isolates | Colony Diameter (cm) | Zone Diameter (cm) | Solubilization Index |
|---|---|---|---|
| Cr 0 mg/L | |||
| W | 1 ± 0.008 | 1.4 ± 0.03 | 2.4 ± 0.2 |
| M1 | 0.6 ± 0.005 | 1.2 ± 0.01 | 3 ± 0.3 |
| M2 | 0.5 ± 0.004 | 2 ± 0.06 | 5 ± 0.4 |
| Cr 100 mg/L | |||
| W | 1.2 ± 0.01 | 1 ± 0.008 | 1.8 ± 0.05 |
| M1 | 0.7 ± 0.006 | 1.1 ± 0.009 | 2.5 ± 0.2 |
| M2 | 0.4 ± 0.003 | 1.2 ± 0.01 | 4 ± 0.4 |
| Cr 200 mg/L | |||
| W | 1.5 ± 0.03 | 0.2 ± 0.002 | 1.1 ± 0.009 |
| M1 | 1.3 ± 0.01 | 0.4 ± 0.003 | 1.3 ± 0.01 |
| M2 | 0.7 ± 0.006 | 0.6 ± 0.005 | 1.8 ± 0.05 |
| Cr 300 mg/L | |||
| W | 1.7 ± 0.02 | 0.1 ± 0.001 | 0.9 ± 0.012 |
| M1 | 1.2 ± 0.02 | 0.3 ± 0.002 | 1.1 ± 0.003 |
| M2 | 0.9 ± 0.02 | 0.4 ± 0.004 | 1.3 ± 0.001 |
Publisher’s Note: MDPI stays neutral with regard to jurisdictional claims in published maps and institutional affiliations. |
© 2022 by the authors. Licensee MDPI, Basel, Switzerland. This article is an open access article distributed under the terms and conditions of the Creative Commons Attribution (CC BY) license (https://creativecommons.org/licenses/by/4.0/).
Share and Cite
Shahid, M.; Usman, M.; Shahzad, T.; Ali, I.; Hassan, M.U.; Mahmood, F.; Qari, S.H. Enhancement of Wheat Growth by UV-Mutagenesis of Potential Chromium Tolerant Bacillus sp. Strain SR-2-1/1. Sustainability 2022, 14, 15341. https://doi.org/10.3390/su142215341
Shahid M, Usman M, Shahzad T, Ali I, Hassan MU, Mahmood F, Qari SH. Enhancement of Wheat Growth by UV-Mutagenesis of Potential Chromium Tolerant Bacillus sp. Strain SR-2-1/1. Sustainability. 2022; 14(22):15341. https://doi.org/10.3390/su142215341
Chicago/Turabian StyleShahid, Muhammad, Muhammad Usman, Tanvir Shahzad, Iftikhar Ali, Muhammad Umair Hassan, Faisal Mahmood, and Sameer H. Qari. 2022. "Enhancement of Wheat Growth by UV-Mutagenesis of Potential Chromium Tolerant Bacillus sp. Strain SR-2-1/1" Sustainability 14, no. 22: 15341. https://doi.org/10.3390/su142215341
APA StyleShahid, M., Usman, M., Shahzad, T., Ali, I., Hassan, M. U., Mahmood, F., & Qari, S. H. (2022). Enhancement of Wheat Growth by UV-Mutagenesis of Potential Chromium Tolerant Bacillus sp. Strain SR-2-1/1. Sustainability, 14(22), 15341. https://doi.org/10.3390/su142215341

