Study on Influence of Confining Pressure on Strength Characteristics of Pressurised Frozen Sand
Abstract
1. Introduction
2. Experimental Section
2.1. Test Equipment
2.2. Test Preparation
- (1)
- After the sample is saturated and sealed, the pore water pressure is maintained 10 kPa, the axial displacement is kept unchanged, and it is loaded to the test confining pressure at a rate of 0.05 MPa/s until the volume deformation rate is less than 0.5 mm3/h.
- (2)
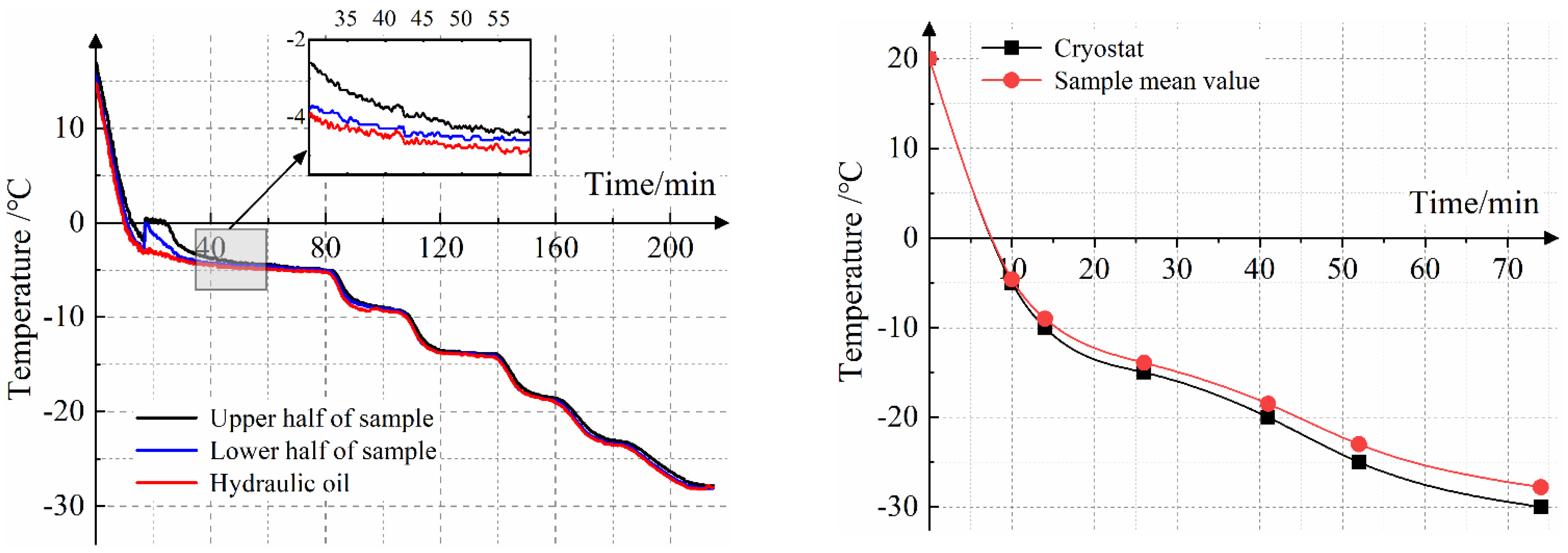
- The cold bath is carried out with a constant temperature of 10 °C for 30 min to reach the same initial temperature, and the pore water pressure is set to the experimental value; while keeping the confining pressure and axial displacement unchanged, the temperature of cold bath circulation box is decreased to −20 °C, and the sample is frozen and kept at a constant temperature for about 4 h to complete the pressure-freezing of the sample.
- (3)
- The confining pressure is loaded to the test value at a rate of 0.05 MPa/s; then, while keeping the confining pressure unchanged, the axial loading rod is loaded at a rate of 0.5 mm/min until the axial displacement reaches 20%, during which the stress and strain are recorded.
3. Analysis of Test Results
3.1. Stress-Strain Curves
3.2. Elastic Modulus
- (1)
- According to “Artificial frozen soil physics mechanics performance test” (MT/T 593.5-2011), in the triaxial shear test, the elastic modulus of the frozen soil is taken as the secant modulus corresponding to the axial strain at 0.5 times the frozen soil strength. Line modulus [25].
- (2)
- The secant stiffness in the initial stage of sample deformation is taken as the elastic modulus of frozen soil, and the strain less than 0.5%~1% is generally regarded as the elastic stage [26].
- (3)
- Referring to the calculation methods of the elastic modulus of non-frozen soil, the sample is subjected to a four-stage cyclic loading and unloading test until the sample is destroyed, and the straight slope at the endpoint of the hysteretic loop is taken as the elastic modulus of the frozen soil.
- (1)
- 0 ≦ ≦ 20 MPa. At this stage, due to consolidation and compaction, the initial elastic modulus of the frozen sand increases with the increase of the freezing pressure; when the freezing pressure is equal to 20 MPa, discreteness of the secant modulus increases significantly, reason for this may be that, the soil skeleton is damaged due to a freezing pressure of 20 MPa, and during the large deformation stage, development of the damage leads to an increase of the discreteness of the sample, resulting in a large difference in the elastic modulus.
- (2)
- 20 < ≦ 30 MPa. The elastic modulus obtained by the two calculation methods both decreased to varying degrees, and the initial elastic modulus showed greater discreteness than the secant modulus. That above illustrated that the damage of the soil skeleton under a freezing pressure of 30 MPa is more serious than that under the freezing pressure of 20 MPa, so that the strengthening effect of the confining pressure on deformation capacity is greatly weakened, thus showing a greater discreteness.
- (3)
- 30 < ≦ 40 MPa. At this stage, with the increase of freezing pressure, sand fracturing and fragmentation increase, and the rearrangement of the structure intensifies, showing better structural properties, and therefore the elastic modulus continues to increase.
3.3. Internal Friction Angle and Cohesion
4. Improved Hyperbolic Principal Structure Model
5. Conclusions
- (1)
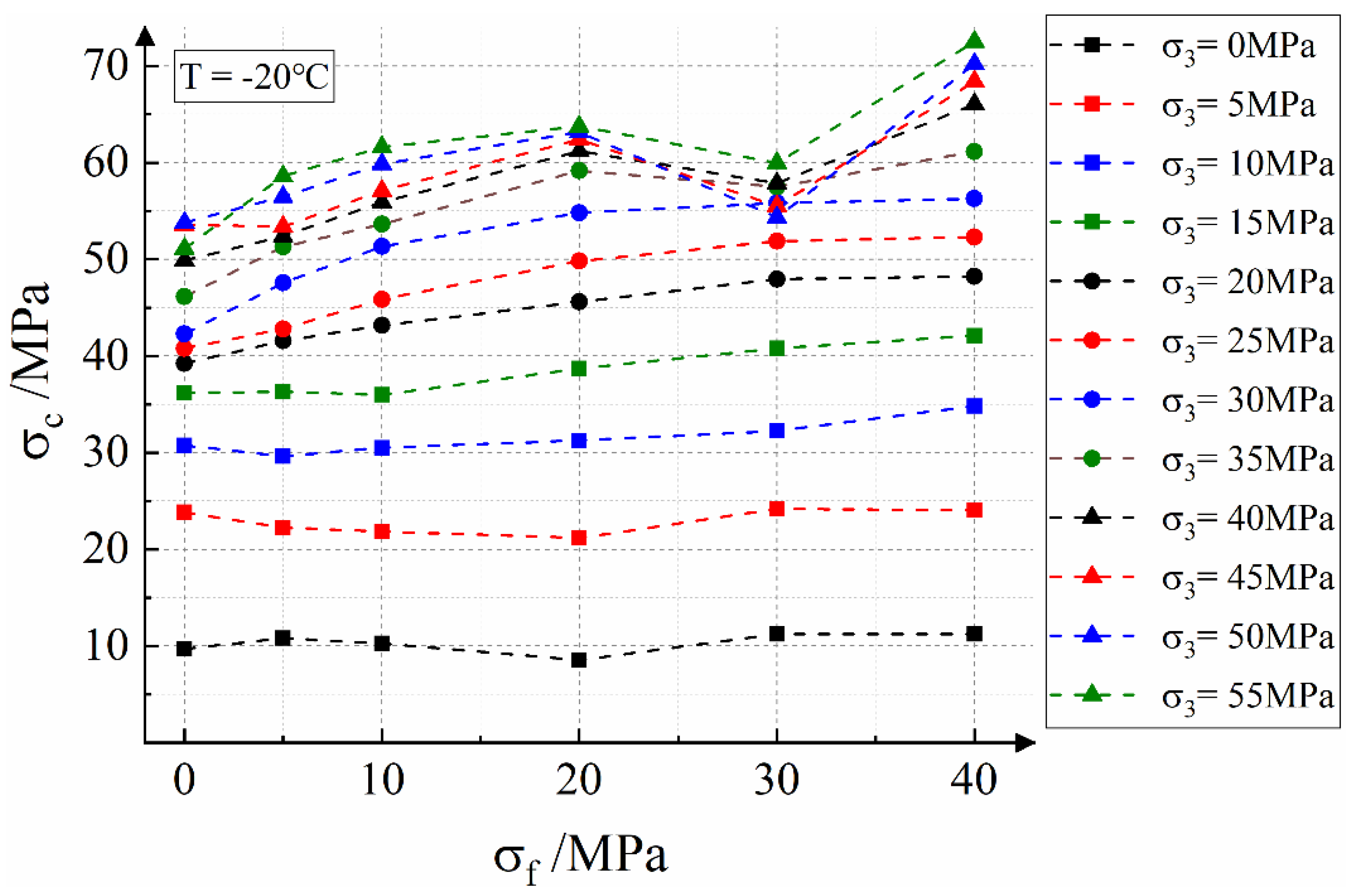
- The freezing pressure will not change the stress–strain curve of frozen sand. With the increase of the freezing pressure, the yield strain of the sample increases gradually. The effect of freezing pressure on the strength of frozen soil has two aspects of strengthening and weakening. The compaction of particles caused by low freezing pressure increases the strength of the frozen soil; after freezing pressure exceeds 20 MPa, initial damage of sand particles will occur, and the damage will be exacerbated by a higher confining pressure, showing a decrease in strength. In a freezing pressure range of 40 MPa, the maximum increase in strength can reach 43%.
- (2)
- The strength o frozen sand increases roughly parabolically with the confining pressure, and the growth rate is affected by the freezing pressure. The limit confining pressure value in this paper was about 45 MPa; a phenomenon of strength weakening of frozen sand under different freezing pressures was observed under a high confining pressure, but the strength of the frozen sand under pressure did not decrease.
- (3)
- Both the initial elastic modulus and the secant elastic modulus at 0.5 times the strength of frozen sand under pressure show a fluctuating growth trend with the increase of the freezing pressure; when the freezing pressure is greater than 20 MPa, the secant elastic modulus is more stable than the initial elastic modulus. It is more appropriate to select the initial elastic mould within the depth range of 1500 m commonly used in engineering calculations.
- (4)
- The internal friction angle of the frozen sand is greatly affected by the freezing pressure, and the cohesion changes little with the freezing pressure; when the freezing pressure increases from 0 MPa to 20 MPa, the internal friction angle increases by 26.4%; when the freezing pressure is greater than 20 MPa, the internal friction angle remains basically unchanged at 25°.
- (5)
- The established constitutive equation considering the effect of freezing pressure can better describe the stress–strain relationship of frozen sand under pressure when the confining pressure increases from 0 MPa to 55 MPa.
Author Contributions
Funding
Institutional Review Board Statement
Informed Consent Statement
Data Availability Statement
Conflicts of Interest
References
- Wang, B.; Rong, C.; Cheng, H.; Yao, Z.; Cai, H. Research and Application of the Local Differential Freezing Technology in Deep Alluvium. Adv. Civ. Eng. 2020, 2020, 9381468. [Google Scholar] [CrossRef]
- Yu, Y.; Ling, X.; Tang, L.; Han, X.; Geng, L.; Wei, S. Analytical solution for the soil-lining interaction in cold region deep tunnel consid-ering the delayed installation of the lining. Cold Reg. Sci. Technol. 2021, 189, 103329. [Google Scholar] [CrossRef]
- Lai, Y.; Xu, X.; Yu, W.; Qi, J. An experimental investigation of the mechanical behavior and a hyperplastic constitu-tive model of frozen loess. Int. J. Eng. Sci. 2014, 84, 29–53. [Google Scholar] [CrossRef]
- Huang, T.; Xue, S.; Li, X.; Luo, F. A distributed data processing platform over meteorological big data using MapRe-duce. Int. J. Intell. Internet Things Comput. 2019, 1, 74–85. [Google Scholar] [CrossRef]
- Lai, Y.; Li, J.; Li, Q. Study on damage statistical constitutive model and stochastic simulation for warm ice-rich fro-zen silt. Cold Reg. Sci. Technol. 2012, 71, 102–110. [Google Scholar] [CrossRef]
- Xu, X.; Wang, Y.; Yin, Z.; Zhang, H. Effect of temperature and strain rate on mechanical characteristics and constitutive model of frozen Helin loess. Cold Reg. Sci. Technol. 2017, 136, 44–51. [Google Scholar] [CrossRef]
- Yang, Y.; Lai, Y.; Chang, X. Laboratory and theoretical investigations on the deformation and strength behaviors of artificial frozen soil. Cold Reg. Sci. Technol. 2010, 64, 39–45. [Google Scholar] [CrossRef]
- Zhang, D.; Liu, E.; Liu, X.; Zhang, G.; Yin, X.; Song, B. Investigation on the Nonlinear Strength Properties and Damage Statistical Constitu-tive Model for Frozen Sandy Soils. Adv. Mater. Sci. Eng. 2018, 2018, 4620101. [Google Scholar]
- Yao, X.; Wang, W.; Zhang, M.; Wang, S.; Wang, L. Strain localization of a frozen sand under different test conditions. Cold Reg. Sci. Technol. 2021, 183, 103226. [Google Scholar] [CrossRef]
- Liang, J.; Shen, W.; Lu, D.; Qi, J. A three-stage strength criterion for frozen soils. Cold Reg. Sci. Technol. 2022, 201, 103597. [Google Scholar] [CrossRef]
- Li, D.; Yang, X.; Chen, J. A study of Triaxial creep test and yield criterion of artificial frozen soil under unloading stress paths. Cold Reg. Sci. Technol. 2017, 141, 163–170. [Google Scholar] [CrossRef]
- Liu, X.; Liu, E.; Zhang, D.; Zhang, G.; Song, B. Study on strength criterion for frozen soil. Cold Reg. Sci. Technol. 2019, 161, 1–20. [Google Scholar] [CrossRef]
- Wang, D.-Y.; Ma, W.; Wen, Z.; Chang, X.-X. Study on strength of artificially frozen soils in deep alluvium. Tunn. Undergr. Space Technol. 2008, 23, 381–388. [Google Scholar] [CrossRef]
- Zhao, X.; Zhou, G.; Chen, G. Triaxial compression strength for artificial frozen clay with thermal gradient. J. Cent. South Univ. 2013, 20, 218–225. [Google Scholar] [CrossRef]
- Ma, W.; Wu, Z.; Zhang, L.; Chang, X. Analyses of process on the strength decrease in frozen soils under high confining pressures. Cold Reg. Sci. Technol. 1999, 29, 1–7. [Google Scholar] [CrossRef]
- Zhao, X.; Wu, Y.; Lai, Z.; Zhou, G. A field condition-based test method for artificially frozen soils. Géotechnique Lett. 2019, 9, 1–7. [Google Scholar] [CrossRef]
- Jia, J.; Wang, Y.; Leng, Y. Unloading Creep Characteristics of Frozen Clay Subjected to Long-Term High-Pressure K 0 Consolidation before Freezing. Adv. Civ. Eng. 2019, 2019, 7192845. [Google Scholar] [CrossRef]
- Bragg, R.A.; Andersland, O.B. Strain rate, temperature, and sample size effects on compression and tensile properties of frozen sand. Eng. Geol. 1981, 18, 35–46. [Google Scholar] [CrossRef]
- Islam, M.N.; Siddika, A.; Hossain, M.B.; Rahman, A.; Asad, M.A. Effect of Particle Size on the Shear Strength Behavior of Sands. arXiv 2019, arXiv:1902.09079. [Google Scholar]
- Nimbkar, T. Micromechanical Modelling of Granular Materials: Effect of Particle Size and Gradation. Geotech. Geol. Eng. 2000, 18, 91–117. [Google Scholar]
- Wang, X.; Wang, X.; Shen, J.; Zhu, C. Particle size and confining-pressure effects of shear characteristics of coral sand: An experimental study. Bull. Eng. Geol. Environ. 2022, 81, 97. [Google Scholar] [CrossRef]
- Skuodis, Š.; Dirgėlienė, N.; Lekstutytė, I. Change of soil mechanical properties due to triaxial sample size. In Proceedings of the 13th International Conference Modern Building Materials, Structures and Techniques, Vilnius, Lithuania, 16–17 May 2019; pp. 470–474. [Google Scholar]
- Chen, X.; Shen, J.; Wang, X.; Yao, T.; Xu, D. Effect of Saturation on Shear Behavior and Particle Breakage of Coral Sand. J. Mar. Sci. Eng. 2022, 10, 1280. [Google Scholar] [CrossRef]
- ASTM D4767-11; Standard Test Method for Laboratory Determination of Creep Properties of Frozen Soil Samples by Uniaxial Compression. ASTM International: West Conshohocken, PA, USA, 2020.
- MT/T 593.1-2011; China State Administration of Work Safety Artificial Permafrost Physical and Mechanical Properties Tests. State Administration of Work Safety: Beijing, China, 2011.
- ASTM Committee D-18 on Soil and Rock. Standard Test Method for Consolidated Undrained Triaxial Compression Test for Cohesive Soils; ASTM International: West Conshohocken, PA, USA, 2011. [Google Scholar]
- Yuanming, L.; Yugui, Y.; Xiaoxiao, C.; Shuangyang, L. Strength criterion and elastoplastic constitutive model of frozen silt in generalized plastic mechanics. Int. J. Plast. 2010, 26, 1461–1484. [Google Scholar] [CrossRef]
- Wang, B.; Yang, W.; Sun, P.; Huang, X.; Zhang, Y.; Chen, F. Experimental Study on the Influence of Freezing Pressure on the Uniaxial Me-chanical Properties of Ice. Adv. Civ. Eng. 2021, 2021, 8651467. [Google Scholar]















| Parameter | GS | ω/% | Sr/% | e0 |
|---|---|---|---|---|
| Value | 2.71 | 24.5 | 100 | 0.687 |
| Confining Pressure/MPa | Frozen Pressure/MPa | |||||||||||
|---|---|---|---|---|---|---|---|---|---|---|---|---|
| 0 | 5 | 10 | 20 | 30 | 40 | 0 | 5 | 10 | 20 | 30 | 40 | |
| Initial Elastic Modulus/MPa | ||||||||||||
| 0 | 651 | 625 | 602 | 533 | 566 | 1013 | 769 | 909 | 909 | 613 | 556 | 1754 |
| 5 | 572 | 1187 | 1344 | 1029 | 884 | 1233 | 1515 | 1176 | 1316 | 1333 | 980 | 1316 |
| 10 | 1397 | 1253 | 1407 | 1533 | 689 | 2126 | 1471 | 1340 | 1852 | 1786 | 1142 | 1695 |
| 15 | 1375 | 1135 | 1797 | 1417 | 1058 | 1124 | 1111 | 1449 | 1887 | 1389 | 1266 | 1163 |
| 20 | 741 | 1921 | 1821 | 1367 | 1304 | 1050 | 1042 | 1603 | 1754 | 2119 | 1613 | 1631 |
| 25 | 907 | 764 | 2432 | 1313 | 1259 | 1196 | 1832 | 1786 | 1852 | 1923 | 1250 | 1282 |
| 30 | 934 | 990 | 970 | 1366 | 1033 | 933 | 1408 | 1351 | 1429 | 1389 | 1724 | 1527 |
| 35 | 1165 | 1044 | 1137 | 1467 | 1498 | 1187 | 1042 | 1698 | 1587 | 1818 | 1852 | 2128 |
| 40 | 1646 | 1537 | 955 | 1664 | 1269 | 1377 | 1215 | 1250 | 1124 | 2041 | 1639 | 2041 |
| 45 | 1065 | 939 | 1022 | 1471 | 1105 | 1300 | 1678 | 1862 | 1923 | 1887 | 1389 | 2128 |
| 50 | 1141 | 1089 | 993 | 1362 | 1415 | 1441 | 1756 | 1887 | 1709 | 1961 | 1887 | 1667 |
| 55 | 857 | 1567 | 1897 | 2044 | 1202 | 1373 | 1852 | 1961 | 1961 | 2174 | 1961 | 1786 |
| Frozen Pressure/MPa | Confining Pressure/MPa | |||||
|---|---|---|---|---|---|---|
| 0~55 MPa | 0~30 MPa | |||||
| 0 | 0.262 | 15.17 | 7.65 | 0.35 | 20.24 | 5.19 |
| 5 | 0.29 | 16.62 | 7.40 | 0.37 | 21.96 | 5.02 |
| 10 | 0.30 | 17.88 | 7.13 | 0.39 | 23.52 | 4.81 |
| 20 | 0.33 | 19.39 | 6.98 | 0.43 | 25.59 | 4.75 |
| 30 | 0.31 | 17.88 | 7.54 | 0.43 | 25.21 | 4.89 |
| 40 | 0.35 | 20.37 | 7.41 | 0.43 | 25.34 | 5.05 |
| Lai’ Model | Shan’ Model | Model Calculation | |||||||||
|---|---|---|---|---|---|---|---|---|---|---|---|
| m | n | l | a | b | c | d | a1/a2 | b1/b2 | c1/c2 | d1/d2 | |
| I | 0.00048 | 0.088 | 0.166 | 621.5 | −3.31 | 0.044 | 5181 | 9.663/221.9 | −0.102/0.08 | 0.002/−0.01 | 43.7/1929 |
| II | 0.00069 | 0.013 | 0.008 | 0.951 | 0.043 | 0.0009 | 59.18 | −2.03/6.36 | 0.043/21.64 | 0.0003/961 | 32.08/4029 |
| III | 0.00061 | 0.069 | 0.180 | 18.62 | −0.082 | 0.002 | 174.3 | 5.13/578.5 | −0.30/1.33 | 0.0015/−0.11 | 33.96/1540 |
| IV | 0.00072 | 0.009 | 0.0248 | 0.41 | 0.012 | 0.001 | 23.8 | 0.41/131.6 | 0.004/0.91 | 0.0006/0.109 | 37.4/8090 |
Publisher’s Note: MDPI stays neutral with regard to jurisdictional claims in published maps and institutional affiliations. |
© 2022 by the authors. Licensee MDPI, Basel, Switzerland. This article is an open access article distributed under the terms and conditions of the Creative Commons Attribution (CC BY) license (https://creativecommons.org/licenses/by/4.0/).
Share and Cite
Song, F.; Yang, W. Study on Influence of Confining Pressure on Strength Characteristics of Pressurised Frozen Sand. Sustainability 2022, 14, 14467. https://doi.org/10.3390/su142114467
Song F, Yang W. Study on Influence of Confining Pressure on Strength Characteristics of Pressurised Frozen Sand. Sustainability. 2022; 14(21):14467. https://doi.org/10.3390/su142114467
Chicago/Turabian StyleSong, Fangnian, and Weihao Yang. 2022. "Study on Influence of Confining Pressure on Strength Characteristics of Pressurised Frozen Sand" Sustainability 14, no. 21: 14467. https://doi.org/10.3390/su142114467
APA StyleSong, F., & Yang, W. (2022). Study on Influence of Confining Pressure on Strength Characteristics of Pressurised Frozen Sand. Sustainability, 14(21), 14467. https://doi.org/10.3390/su142114467

