Next Article in Journal
The Nonlinear Model of Intersectoral Linkages of Kazakhstan for Macroeconomic Decision-Making Processes in Sustainable Supply Chain Management
Previous Article in Journal
Innovative Ecological Transformations in the Management of Municipal Real Estate
 
 
Font Type:
Arial Georgia Verdana
Font Size:
Aa Aa Aa
Line Spacing:
Column Width:
Background:
Article

The Impact of Environmental Protection Requirements on the Development of Green Animal Husbandry: An Evolutionary Game between Local Governments and Breeding Companies

1
Peking University Institute of Advanced Agricultural Sciences, Shandong Laboratory of Advanced Agricultural Sciences at Weifang, Weifang 261000, China
2
Institute of Agricultural Economics and Development, Chinese Academy of Agricultural Sciences, Beijing 100081, China
Sustainability 2022, 14(21), 14374; https://doi.org/10.3390/su142114374
Submission received: 27 September 2022 / Revised: 26 October 2022 / Accepted: 1 November 2022 / Published: 2 November 2022
(This article belongs to the Topic Innovation and Solution for Sustainable Agriculture)

Abstract

The enhancement of green animal husbandry has a significant effect on carbon emissions, carbon neutrality, and ecological development. Promoting the production transformation of polluting enterprises has caught the attention of local governments, and breeding companies are faced with either maintaining current practices or green development. This study investigated the evolution of decision-making processes between local governments and breeding companies from the perspective of evolutionary game theory, offering an evolutionarily stable strategy (ESS) for both parties, based on replicator dynamics. Within the model, the static rewards and punishments were framed by conventional environmental protection requirements, and the dynamic rewards and punishments were based on stricter environmental standards. Numerical simulation and sensitivity analyses were then performed. We found that when environmental protection policy was not considered, no ESS emerged in the replicator dynamic system. When tightening of environmental protection policy was considered, the system spirally converged to a stable equilibrium point. Hence, more demanding environmental protection requirements facilitated the development of green animal husbandry. Reasonable reward and punishment mechanisms can achieve the goal of the green development of enterprises under the premise of reducing regulatory costs. This study provides guidance for optimizing government decision-making and promoting the green development of animal husbandry.

1. Introduction

Animal husbandry is an important source of animal protein for human nutritional needs and has a far-reaching significance for enriching agro-food systems and the agricultural economy. The rapidly expanding demand for consumable livestock products has correspondingly stimulated livestock production, which has led to a series of serious problems, such as resource shortages and environmental pollution. Such problems are particularly prominent in nations that use traditional farming methods, as well as those with limited animal husbandry resources and poor environmental endowments [1,2,3]. In recent decades, the rapid development of animal husbandry in China has solved the consumption shortage of animal proteins, such as meat, egg, and milk. However, the expansion of the breeding scale has also caused severe resource and environmental problems, and the unsustainable development of animal husbandry has gradually emerged. To eliminate the contradiction between environmental protection and the development needs of animal husbandry and resource supplies, the Chinese government has implemented a set of environmental protection policies, such as pollution discharge fees and environmental taxation, to impose restrictions on the production behaviors of breeding companies, as well as measures that encourage the green transformation of traditional husbandry, such as tax reductions and exemptions, assistance for the establishment of corresponding facilities, and financial incentives [4].
The presence of environmental policy and severity of regulation have a pronounced influence on the development of the social economy, as well as the related industrial sectors. Numerous scholars have paid attention to and studied this issue. In the examination of this impact, Wang et al. [5] utilized an extended slacks-based measure of a directional distance function model to empirically investigate the use of environmental regulations by the governments of the Organization for Economic Co-operation and Development member states and their effects on the growth of green productivity. Their findings supported the Porter hypothesis that environmental policies have a significant positive impact on green development. Teng et al. [6] applied system dynamics models to construct a green eco-environmental model and simulate policy adjustments, revealing that green development policy led to a larger economic improvement in urban environmental quality, than traditional development policy. Romano et al. [7] illustrated the effectiveness of green development policy, from the perspective of the development stage for both developing and developed countries. Their findings showed that different stages of economic development are better suited to different types of green development policies. Specifically, developing countries should strengthen their direct government intervention, while developed countries should pay more attention to social and public interventions. Fu et al. [8] developed a difference in differences (DID) model, based on the propensity score matching to investigate the impact of China’s sulfur dioxide emissions trading on green development, and suggested that market-oriented mechanisms played a key role in its promotion.
Existing research on environmental protection and green development policies can be divided into two categories. The first focuses on building multi-dimensional policy evaluation frameworks, such as studies on the relationships between energy policy and energy efficiency [9] and between environmental policy and sewage treatment [10]. The second uses econometric models to evaluate the effects of policy implementation, such as studies that use DID models to evaluate the environmental performance of relevant policies [11,12,13] and studies that assess the effectiveness of environmental policy by measuring productivity or constructing mathematical models [14,15,16,17,18]. Past research has emphasized the development of green animal husbandry while neglecting evaluation methods for policy effectiveness and interactions of decisions by local governments and breeding companies. To fill this research gap, we constructed an evolutionary game theory (EGT) model, using local governments and breeding companies as players to determine both the evolutionary decision-making process and the stable strategies used by both players in the game. Hence, two scenarios were considered and contrasted: a game set within the context of strict environmental protection policies and one set within relaxed policy conditions. It was believed that strict policies force local governments to pay more attention to the effectiveness of supervision and implement flexible reward and punishment systems, based on the development stages of the breeding companies, thereby transforming static reward and punishment measures into dynamic ones. This paper is arranged as follows. First, the background of China’s animal husbandry resources and environment policy is introduced; and then, the research methods and application process adopted in the study are described. Finally, the main findings of this study are discussed.

2. Policy Background

This study systematically sorted out the development process and policy evolution process of China’s livestock industry, and summarized the overall state of livestock industry development under different policy backgrounds. Through industrialization and urbanization, the traditional farming model of plant cultivation and livestock breeding has shifted toward intensive and large-scale modern animal husbandry. As modern animal husbandry has expanded at an increasingly rapid rate, the carrying capacity of resources and the environment have been downgraded in priority, posing a severe challenge to capacities in the regional resource supply, environmental absorption, and ecological restoration [19,20]. In response to these prominent resource and environmental issues, the Chinese government has bolstered governance of agricultural non-point source pollution and the utilization of livestock and poultry manure as a resource [21,22].
Based on the analysis of the policy documents, this study concludes that animal husbandry-related environmental policies in China have undergone three phases. The first phase, in which policy focused on the prevention and control of pollution from breeding, such as the “Discharge Standard of Pollutants for Livestock and Poultry Breeding (GB 18596-2001)” and “Administrative Measures on Livestock and Poultry Breeding Pollution Control,” which aimed to reduce environmental and human hazards from waste residue, sewage, and odors, occurred between 2001 and 2013. The second phase, during which policy shifted from pure pollution prevention and control to resource utilization and transformation, encouraging and supporting the on-site utilization of livestock and poultry manure as fertilizer and fuel, and providing a legal basis for the prevention and control of farming pollution, arose between 2014 and 2016. The third and current phase began in 2017 and marks an unprecedented degree of stringency. The target of the policies expanded from large-scale farms to all breeding companies. This supervision system placed a time limit on several breeding farms, forcing them to either close down or transform operations. The implementation of policies, such as the “Action Plan of Livestock & Poultry Manure Utilization (2017–2020)” and the “Work Plan for the Entire Nation to Promote the Utilization of Livestock and Poultry Manure (2018–2020)” aimed, to promote the green and circular development of animal husbandry. In 2018, the government promulgated the “Environmental Protection Tax Law,” which stipulates that the discharge of pollutants will be taxed, and outlined a set of conditions to force the re-internalization of pollution externalities by the generating companies [23,24]. The third policy has thus accelerated a dramatic shift in the operational models of breeding companies. Figure 1 shows the environmental status of China’s livestock industry and the evolution trend of environmental protection policies.

3. Model and Methods

In this section, the constructed EGT model between local governments and breeding companies is outlined, including the evolutionary decision-making processes and stable strategies for both players, under the constraints of conventional environmental policies. Conditions for the stability of the system are then proposed, based on the method applied by Friedman [25].

3.1. Evolutionary Game Model

EGT is widely used in economics to study the players’ decision-making and their payoffs equilibria, under the premise of bounded rationality and incomplete information. It has been widely applied in institutional research and behavioral decision-making research [26,27]. The application of EGT has increased significantly in recent years in environmental research. Chen and Hu [28] constructed a game between government and manufacturers, based on various scenarios of differing carbon taxes and subsidies and found that levying carbon tax was more conducive to the low-carbon development of manufacturing industries than subsidizing low-carbon technologies. Ji et al. [29] constructed a model between local governments and automakers and empirically tested the impact that canceling subsidies for new energy vehicles has on the development of the auto industry and government decision-making. Kang et al.’s [30] model for a low-carbon supply chain strategy suggested that the government should reduce carbon emissions by controlling carbon trading prices. EGT has become a powerful tool for exploring environmental strategies in an increasingly prominent global environmental context involving a range of stakeholders [31,32]. It has emerged as an analytical tool for reducing resource and environmental issues in animal husbandry, as well as for optimizing the players’ behavioral decisions when dealing with environmental issues, and particularly for modern China, which is at a critical point in its development of green policy optimization and environmental regulation. Local governments and companies that emit pollutants are involved in a game, which includes a diverse set of strategies with differentiated interests and preferences [33,34,35]. As the conflict intensifies between the need to develop animal husbandry and the limitations of resources and the environment, the decisions made by both governments and enterprises are vital.

3.2. Model Assumptions

Local governments are the primary bodies of environmental supervision within their scope of jurisdiction and those responsible for the regional environmental quality. According to the “Regulation on the Prevention and Control of Pollution from Large-scale Breeding of Livestock and Poultry” (Article 5), “the environmental protection departments of the People’s Government, at or above the county level shall be responsible for the unified supervision and administration of the prevention and control of pollution from livestock and poultry breeding.” Therefore, players were defined as the local government and breeding companies (including large-scale breeding entities, such as pastural and livestock companies). The model was constructed, based on the following assumptions:
a.
Players cannot accurately and completely obtain information regarding the other player’s decision-making mechanisms. Equally, the market cannot make accurate and timely judgments to maximize optimal benefits. That is, the players behave with bounded rationality, yet they can adjust decision-making by learning from past experiences and adapting to environmental changes.
b.
The local government faces two decisions: relaxing or strengthening its supervision policy. Breeding companies face two decisions: maintaining the current practices or pursuing green development transformations. The decision tree in Figure 2 clearly shows the strategic choices of the local governments and breeding companies.
c.
Pursuing green development increases companies’ breeding costs, while generating additional benefits and positive externalities. Strengthening supervision increases the costs for the government, while increasing income through fines and expenditure through subsidies.
d.
China’s environmental protection policies and supervision are becoming more and more stringent, and as national environmental policies tighten, local governments shift the static reward and punishment system to a dynamic one.
Figure 2. Game tree between the local government and breeding companies.
Figure 2. Game tree between the local government and breeding companies.
Sustainability 14 14374 g002

3.3. Model Description

Based on the above assumptions, a model was constructed, and the strategic space of the local government and breeding companies was defined as being either  S G = strengthen   supervision , relax   supervision  or  S A = green   development ,   current   practices , respectively.
To encourage green transformations, the local government provides subsidies S for companies to support the construction of manure treatment facilities and imposes fines F and environmental tax η Q on companies that refuse to make changes. Environmental tax is positively correlated with the equivalent pollutants Q emitted/discharged. The tax rate η was calculated, based on the Environmental Protection Tax Law. The implementation of green development is conducive to reducing the emissions/discharge of pollutants, such as carbon dioxide and chemical oxygen demand, leading to positive externalities (such as improvements in the environmental quality) for the local area. Maintaining current breeding practices deteriorates the local eco-environmental quality and causes negative externalities, such as limited resource depletion and environmental damage. The two strategies of the breeding companies correspond to varying production costs and profit before tax (PBT). Specifically, the use of clean energy, expanding pollution control coverage, and increasing environmental controls, led to an increase in costs for the business, while green transformations bring additional benefits, such as added product value and social recognition.
For the local government, the difference in costs between implementing relaxed and strict supervision policies differs substantially. Relaxed supervision increases time costs while lowering labor and other direct financial costs; strict supervision leads to higher direct investment costs in labor, materials, and financial resources but saves time. The effectiveness of environmental policy depends on the strategy adopted by the local government. Relaxed supervision results in fewer penalties and fines, while breeding companies receive neither subsidies nor penalties adopting green practices. Concurrently, the local government has fewer subsidy expenditures and lower income from fines. Regardless of the strategy implemented by the government, the positive and negative impacts of breeding companies’ production model on the regional environment remain.
The varying income and expenditures were then used to form a payoff matrix. The results are presented in Table 1, and the definitions of the symbols are listed in Table 2.

3.4. Evolutionary Game Strategy

3.4.1. Strategies of the Breeding Companies

When a breeding company adopts the green development strategy, its expected utility is expressed as
U B 1 = y R 2 + R 3 + S + 1 y R 2 + R 3
When a breeding company elects to maintain its current practice, its expected utility is expressed as
U B 2 = y R 1 η Q F + 1 y R 1 η Q
Thus, the average expected utility of the two strategies can be expressed as
U B = x U B 1 + 1 x U B 2 = x R 2 + R 3 + y S + 1 x R 1 η Q y F
Formula (4) outlines the replicator dynamics equation
F x = d x d t = x 1 x R 2 + R 3 + y S + η Q + y F R 1
The first derivative of F x is expressed as
F x = d F x d x = 1 2 x R 2 + R 3 + y S + η Q + y F R 1
Let F x = 0 ; then x = 0 , x = 1 , and y * = R 1 R 2 R 3 η Q / ( F + S ) . According to stability theory, when F x = 0 and F x 0 , x is the evolutionarily stable strategy (ESS). Therefore, if y * = R 1 R 2 R 3 η Q / ( F + S ) , regardless of the value of x , F x = 0 and F x = 0 . x is a stable state, and any production decision by the breeding company after this point, maintains the stable strategy. If, however, y * R 1 R 2 R 3 η Q / ( F + S ) , different scenarios involving R 1 R 2 R 3 η Q require further exploration, as outlined in the following paragraphs.
Scenario 1: If Δ A < 0 , Δ B < 0 , then y * > R 1 R 2 R 3 η Q / ( F + S ) . Here, F x x = 0 > 0 and F x x = 1 < 0 ; hence, x = 1 is the only ESS, and the company adopts the green development strategy. For a breeding company in Scenario 1, the income from green development always exceeds that of maintaining current practices, regardless of the strategy adopted by the government. Hence, the company chooses the green development strategy.
Scenario 2: If Δ A > 0 , Δ B < 0 , which means 0 < R 1 R 2 R 3 η Q < F + S . There are two possibilities. When y * > R 1 R 2 R 3 η Q / ( F + S ) , F x x = 0 > 0 , F x x = 1 < 0 , x = 1 is the only ESS. When y * < R 1 R 2 R 3 η Q / ( F + S ) , F x x = 0 < 0 , F x x = 1 > 0 , x = 0 is the only ESS. In Scenario 2, if the government reinforces supervision, the income generated by the transformation to green development exceeds that of maintaining current practices; however, if the government relaxes supervision, the income from maintaining current practices exceeds that of green development.
Scenario 3: if Δ A > 0 , Δ B > 0 , then y * < R 1 R 2 R 3 η Q / ( F + S ) . In this case, F x x = 0 < 0 , F x x = 1 > 0 , and x = 0 is the only ESS. For a breeding company in Scenario 3, the income generated by maintaining current practices always exceeds that of green development, regardless of the strategy preferred by the government. Hence, the company prefers to maintain current practices.

3.4.2. Strategies by the Local Government

When the local government chooses an enhanced supervision, its expected utility is
U G 1 = x R 4 S C 2 + 1 x η Q + F C 2 C 3
When the local government adopts a relaxed supervision, its expected utility can be expressed as
U G 2 = x R 4 C 1 + 1 x η Q C 1 C 3
Thus, the average expected utility of the local government is
U G = y U G 1 + 1 y U G 2 = y x R 4 + C 3 η Q S F + η Q + F C 2 C 3 + 1 y x R 4 + C 3 η Q + η Q C 1 C 3
Formula (9) is the relevant replicator dynamics equation:
F y = d y d t = y 1 y C 1 + F C 2 x F x S
The first derivative of F y is represented in
F y = d F y d y = 1 2 y C 1 + F C 2 x F x S
Let F y = 0 , then y = 0 , y = 1 , and x * = C 1   +   F     C 2 F   +   S . According to stability theory, when F y = 0 and F y 0 , y is the ESS. Referring to the aforementioned studies, the following hypotheses were proposed:
If x * = C 1 + F C 2 / ( F + S ) , regardless of the value of y , F y = 0 and F y = 0 . y is a stable state, and any supervision strategy adopted following this point is a stable strategy. If x * C 1 + F C 2 / ( F + S ) , different scenarios of C 1 + F C 2 emerge, as outlined below.
Scenario 4: If Δ C < 0 nad Δ D < 0 , then x * > C 1 + F C 2 / ( F + S ) . F y y = 0 < 0 , and F y y = 1 > 0 , and y = 0 is the only ESS, indicating that the local government adopts a relaxed supervision strategy. For the government in Scenario 4, the income generated by the relaxed supervision always exceeds that generated by the stricter supervision, regardless of the strategy adopted by the breeding companies, and the government prefers a relaxed supervision strategy.
Scenario 5: If Δ C > 0 , Δ D < 0 , which means 0 < C 1 + F C 2 < F + S . There are two possibilities. When x * > C 1 + F C 2 / ( F + S ) , F y y = 0 < 0 , F y y = 1 > 0 , and y = 0 is the only ESS. When x * < C 1 + F C 2 / ( P + S ) , F y y = 0 > 0 , F y y = 1 < 0 , and y = 1 is the only ESS. For the government in Scenario 5, the income earned from a relaxed supervision exceeds that earned from a strict supervision if the breeding companies adopt the green development strategy; however, if they maintain their current practices, the income generated by strengthening the supervision exceeds that generated by the relaxed position. At this point, the cost of environmental regulations under a relaxed supervision would be lower than the sum of the environmental regulation costs and subsidy expenditures under the strict supervision strategy.
Scenario 6: If Δ C > 0 , Δ D > 0 , then x * < C 1 + F C 2 / ( F + S ) . In this scenario, F y y = 0 > 0 , F y y = 1 < 0 , and y = 1 is the only ESS, indicating that the local government prefers a strict supervision. For the government in Scenario 6, the income from strengthening supervision always exceeds that from relaxing supervision, regardless of the strategy adopted by the breeding companies. Hence, the government adopts a stricter supervision strategy. In such a case, the costs of environmental regulation under a relaxed supervision are higher than the sum of the costs of environmental regulations and subsidy expenditures under a strict supervision.
Figure 3 outlines the evolutionary phase positions of both players in Scenarios 2 and 5.

3.5. Stability Analysis

The above analysis shows that the two-player game involving local governments and breeding companies correspond to three stable strategies. From the perspective of research rigor, this study considers and presents the whole situation when local governments and aquaculture enterprises make different decisions. Based on China’s current animal husbandry development and policy supervision, complete adoption of either strategy by either party is neither in line with reality nor conforms to the underlying premise of this study (tightening the regulatory system). Therefore, the analyses of Scenarios 1, 3, 4, and 6 were omitted, and focus was cast on the dynamic evolution of the system in Scenarios 2 and 5. Solving Formulas (4) and (9) simultaneously, generates a two-dimensional replicator dynamic system (I), expressed as
F x = x U G 1 U G = x 1 x R 2 + R 3 + y S + η Q + y F R 1 F y = y U B 1 U B = y 1 y C 1 + F C 2 x F x S
Let F x = 0 and F y = 0 ; the equilibrium points (0, 0), (0, 1), (1, 0), (1, 1), and ( x 1 * , y 1 * ) can then be obtained, and x 1 * = C 1 + F C 2 / ( F + S ) , y 1 * = R 1 R 2 R 3 η Q / ( F + S ) .
Proposition 1.
The equilibrium points (0, 0), (0, 1), (1, 0), and (1, 1) are saddle points, and ( x 1 * , y 1 * ) is the center point of system (I) but not the asymptotic ESS.
Proof. 
Using the local stability analysis of a Jacobian matrix to investigate the two-dimensional nonlinear dynamic system, the Jacobian matrix of System (I) can be expressed as.
J = F x x F x y F y x F y y
where
F x x = 1 2 x R 2 + R 3 + y S + η Q + y F R 1
F x y = x 1 x F + S
F y x = y 1 y F S
F y y = 1 2 y C 1 + F C 2 x F x S
According to the embedded assumptions, any initial or evolved points need to be in a two-dimensional space x , y 0 x 1 , 0 y 1 ; that is, 0 C 1 + F C 2 / ( F + S ) 1 and 0 R 1 R 2 R 3 η Q / ( F + S ) 1 , which can be interpreted as the equilibrium condition for the replicator dynamic system. Table 3 presents the numerical expressions and ESS of the equilibrium points. The matrix determinants of the equilibrium points (0, 0), (0, 1), (1, 0), and (1, 1) are negative; hence, these four points are saddle points.
Table 3 also exhibits the center point ( x 1 * , y 1 * ) of System (I). Its Jacobian matrix is
J * = 0 ξ 1 ξ 2 0
where
ξ 1 = C 1 + F C 2 S C 1 + C 2 / F + S > 0
ξ 2 = ( R 2 + R 3 + η Q R 1 ) ( R 2 + R 3 + η Q + F + S R 1 ) / F + S < 0
The eigenvalue of matrix J * can be represented using Formula (20):
λ 1 , 2 = ± i ξ 1 ξ 2 = ± i C 1 + F C 2 C 1 C 2 S ( R 2 + R 3 + η Q R 1 ) ( R 1 R 2 R 3 η Q F S ) F + S
The eigenvalues ξ 1 and ξ 2 of the equilibrium point ( x 1 * , y 1 * ) in the above formula are imaginary roots. According to the studies of Taylor and Jonker [36] and Morin and Samson [37], ( x 1 * , y 1 * ) is the central point (stable equilibrium point) of the two-dimensional nonlinear dynamic system; however, it is not the asymptotic ESS. This concludes the proof. □
Referring to Liu et al. [38], the periodic fluctuation of System (I) can be interpreted, and the motion trajectory of the replicator dynamics equation at the center point ( x 1 * , y 1 * ) is
x 1 = x 1 * + A cos ω t + ϕ
y 1 = y 1 * + A sin ω t + ϕ
where ω = ξ 1 ξ 2 , A = x 0 x 1 * 2 + y 0 y 1 * 2 , and
ϕ = a r c tan y 0 y 1 * / ( x 0 x 1 * )   i f y 0 y 1 * / ( x 0 x 1 * ) > 0 π + a r c tan y 0 y 1 * / ( x 0 x 1 * )   i f y 0 y 1 * / ( x 0 x 1 * ) 0
The hybrid strategy trajectory of the replicator dynamic system is a closed loop curve centered on point ( x 1 * , y 1 * ). The economic implications are, thus, as follows: if the government relaxes supervision, the breeding companies maintain current practices; if the government strengthens supervision, the breeding companies pursue green development. Similarly, if the breeding companies maintain current practices, the government strengthens supervision; if the breeding companies adopt the green development strategy, the government relaxes supervision. Therefore, no ESS is possible under a static reward and punishment system.

4. Evolutionary Game and Numerical Simulation under Strict Policies

The central government has incorporated the ecological construction into the performance assessments of local governments, serving as a political binding force for local governments to choose stricter supervision policies [39]. However, over the long term, relying on government supervision to maintain green development is unsustainable, as it increases the financial stress of the local government and leads to policy dependence. Once future policy is relaxed, the willingness of enterprises to maintain transformations reduces, correspondingly. Hence, the high-cost regulatory strategy should be replaced with an effective and flexible punishment system. In this section, the stability of the replicator dynamic system under stricter yet dynamic reward and punishment policies is examined. The empirical analysis and numerical simulation were performed, based on survey and statistical data.

4.1. System Stability under Strict Environmental Policies

Assuming that the government policies become stricter as environmental pollution worsens, breeding companies that adopt green development are provided with more subsidies, and breeding companies that maintain current practices have more fines imposed. Thus, the subsidy amount is positively correlated with the probability of adopting the green development strategy, and the amount of fines is positively correlated with the probability of maintaining current practices. The original fixed values F and S are adjusted separately, as a function of breeding companies’ production decisions, M x = 1 x K , N x = x V , where K is the lower fine limits and V is the upper subsidy limits. Thus, a two-dimensional replicator dynamic System (II) can be obtained
F x = d x d t = x 1 x R 2 + R 3 + η Q + y M x + y N x R 1 F y = d y d t = y 1 y C 1 + M x C 2 x M x x N x
Let F x = 0 and F y = 0 ; the equilibrium points (0, 0), (0, 1), (1, 0), (1, 1), and ( x 2 * , y 2 * ) can then be obtained, and x 2 * = ( C 1 + M x C 2 / M x + N x , y 2 * = R 1 R 2 R 3 η Q / M x + N x .
Proposition 2.
Equilibrium points (0, 0), (0, 1), and (1, 1) are the saddle points, (1, 0) is the point of instability, and ( x 2 * , y 2 * ) is the asymptotic ESS of the system.
Proof. 
Based on the above simultaneous equations, the Jacobian matrix of System (II) can be expressed as
J 2 = F x x F x y F y x F y y
where
F x x = 1 2 x R 2 + R 3 + η Q + y M x + y N x R 1 + x 1 x y M x + x 1 x y N x
F x y = x 1 x M x + N x
F y x = y 1 y M x M x x M x N x x N x
F y y = 1 2 y C 1 + M x C 2 x M x x N x
Any initial and evolved point needs to be in two-dimensional space x , y 0 x 1 , 0 y 1 , where 0 ( C 1 + M x C 2 / M x + N x 1 and 0 R 1 R 2 R 3 η Q / M x + N x 1 , which can be interpreted as the equilibrium condition for the replicator dynamic system. By calculating the matrix determinant and trace corresponding to the equilibrium points, equilibrium points (0, 0), (0, 1), and (1, 1) are indeed the saddle point, and (1, 0) is an unstable point. Substituting the central point ( x 2 * , y 2 * ) into the Jacobian matrix shows that the characteristic roots of the matrix ( ξ 1 and ξ 2 ) are a pair of characteristic complex roots with negative real components. Thus, System (II) has asymptotic stability, and the evolutionary trajectory approximates a stable equilibrium point ( x 2 * , y 2 * ). This concludes the proof. □

4.2. Empirical Analysis and Simulation

Affected by factors, such as the variance in the development of the local economy and in the animal husbandry industry, local governments’ attitude toward and reinforcement of governance of animal husbandry resources and environmental issues, differs substantially [40,41] In general, more developed eastern coastal regions take the lead in promoting the transformation and in transforming animal husbandry practices. Such regions are thus pioneering the implementation of new environmental policies, while the central and western regions have less strict government supervision, owing to limited financial resources and more conservative development attitudes [42]. For that reason, this study combined statistical [43,44] and survey data to conduct a series of numerical simulations, with the aim of providing a reliable empirical example of the above theoretical analysis.

4.2.1. Data Analysis

The simulation parameter values were assigned, based on the assumption that Scenarios 2 and 5 are satisfied. The specific contexts of China were also considered. Specifically, the China Environment Statistical Yearbook and the China Statistical Yearbook were used to collect the corresponding data. Zhejiang and Shaanxi Provinces, which were similar in scale, in regard to animal husbandry production, and are located in the eastern coastal and western inland regions, respectively, were selected. The environmental regulation costs, during strict and relaxed supervision policies were estimated, based on the difference in investments in environmental governance between the two provinces. It was estimated that C 1 and C 2 were 10 and 16, respectively. To determine the differences in PBT for the breeding companies when adopting different strategies, a survey was conducted among the breeding companies in Jilin, Shanxi, and Shandong Provinces. The results showed that during the initial stage of the transformation, replacing traditional energy with clean energy increased costs by approximately 10%, and the construction and operation of environmental protection facilities increased the costs by 30%. In addition, a comprehensive calculation revealed that the average PBT of companies that adopted the green development strategy, was 33% lower than that of companies that maintained current practices. Hence, R 1 and R 2 were assigned the values of 300 and 200, respectively. The results also showed that green development was conducive to increasing the value added of products, reducing production risks, and enhancing the goodwill value of corporate reputation. Hence, compared to maintaining current practices, companies could obtain 20–30% increases in additional benefits. It is assumed that the local government imposes fines on companies that maintain current practices and issues subsidies for those that elect a green development strategy. Thus, the revenue for companies that pursue change increases, while the net income of companies that resist change reduces. Based on common practice, the value for the rewards and fines were defined as 10% of the PBT.

4.2.2. Simulation Results

The dynamic evolutionary processes for Systems (I) and (II) are shown in Figure 4 and Figure 5.
Figure 4a shows that in the absence of stricter environmental protection requirements, the evolutionary trajectory is a closed loop surrounding the central point; therefore, the system does not have asymptotic stability. This finding supports Proposition 1. Figure 4b shows the evolutionary paths of the local government and breeding enterprises over time. The trajectories under a static reward and punishment system vary evenly. Figure 5 illustrates the evolutionary paths of both parties under stricter environmental protection requirements. Figure 5a demonstrates that stricter policies facilitate spiral convergence of the evolutionary trajectory, and a Nash equilibrium exists, which supports Proposition 2. Figure 5b shows that the proportion of local governments that elect to strengthen supervision and that of breeding companies that adopt green development strategies no longer fluctuate infinitely but, rather, stabilize accordingly.
Thus, a rigid reward and punishment system does not promote green development, and adopting a static system is likely to cause continuous fluctuations in the decisions of both players. However, applying the dynamic reward and punishment system may lead to stabilized decisions. In China, green transformations in animal husbandry face multiple risks, such as policy changes, market shocks, and animal diseases. Therefore, the green development process requires stability amidst fluctuations if it is to be adopted. A flexible reward and punishment system is thus important to promoting stability in decision-making. In addition, the findings also indicate that relying solely on environmental tax and fixed rewards and penalties does not promote the transition to sustainable green development. Local governments must adjust the reward and punishment system in a timely manner in conjunction with the production outputs of breeding enterprises and build a dynamic reward and punishment system, if such a system is to be effective.

5. Sensitivity Analysis and Discussions

The adjustment of key parameters was expected to have a significant impact on the decisions of local governments and breeding enterprises. This section focuses on the impact of parameter changes on players’ decisions, as well as the ways in which the parameters can be optimized to promote green development.

5.1. Sensitivity Analysis

This study proposed that tax rates, additional benefits, lower fine limits, and upper reward limits were important factors that affect players’ strategic choices. Hence, the effects of these parameters were further explored from multiple levels.

5.1.1. Environmental Tax Rate

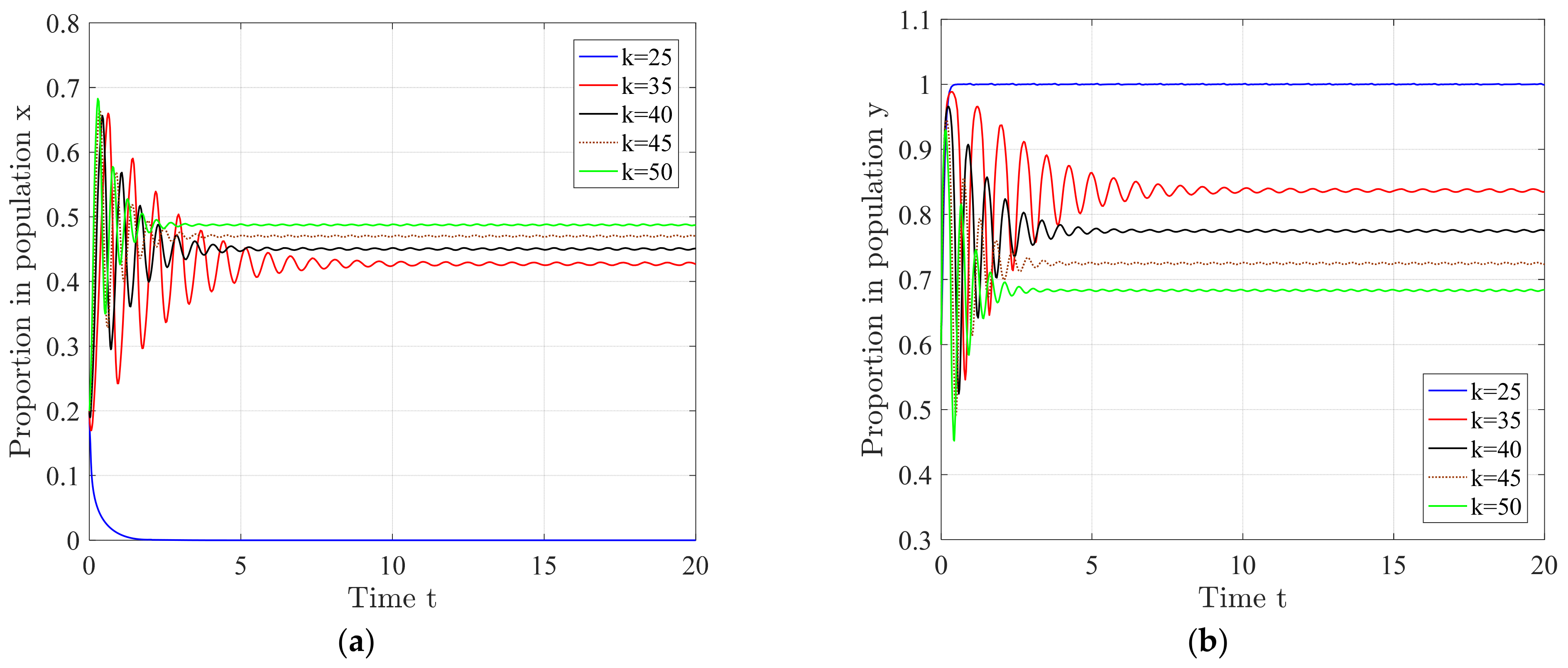
According to the survey, affected by recent factors, such as the African swine fever epidemic, most regions had yet to levy environmental tax on large-scale breeding companies. However, it was expected that environmental tax will become a crucial method to promoting green development. Hence, five tax rates were introduced to simulate changes in players’ decisions under different rates. Based on Figure 6a, when the tax rate is low ( η = 0.8, thereby exceeding the expected ranges outlined in Scenarios 2 and 5), x   can only converge to 0.2, and the probability of adopting a green development strategy is low. However, as the tax rate increases, x swiftly rises to 0.45; when the tax rate exceeds 1, the probability no longer varies significantly, and the increase in the tax rate notably inhibits the convergence speed of x . In addition, an excessively high tax rate ( η = 3.5, which also exceeds the assumption range of Scenarios 2 and 5) leads to a rapid increase in x , which eventually converges to 1. Figure 6b demonstrates that an increase in the tax rate leads to a decline in the probability of adopting bolstered supervision. An excessively low tax rate leads to the convergence of   y   to 1, while a higher tax rate leads to the convergence of y to 0. It can be concluded that when other conditions remain unchanged, a small increase in the environmental tax rate promotes green development. However, when the tax rate increases beyond a certain limit, this effect disappears; instead, the companies’ decisions fluctuate drastically, and the speed of convergence is inhibited. Thus, the incentive effect of excessive taxation diminishes marginally. Moreover, increasing taxation was found to substitute the role of government supervision and lead to an increase in the probability of adopting a relaxed supervision policy. The appropriate optimization of tax rates is conducive to the green development, under relaxed supervision.
In summary, when the system reaches a stable equilibrium, regardless of the tax rate, companies’ decisions remain unchanged, while the probability of the government adopting a relaxed supervision increases alongside the tax rate.

5.1.2. Additional Benefits

Additional benefits, such as reduced foraging costs, increased income as a by-product, increased product value added, and social recognition, are important motivators for companies to adopt a green development strategy. Five levels of additional benefits R 3 were introduced to explore changes in players’ choices of strategies. Figure 7a shows that when the additional benefits are excessively low ( R 3 = 37, exceeding the assumption range of Scenarios 2 and 5), companies’ tendency to adopt green development is suppressed completely. As additional benefits rise, the probability increases significantly, gradually converging to an equilibrium point, whereby further increasing additional benefits leads to a decline in the rate of convergence. Figure 7b shows that when additional benefits are at the three lower levels ( R 3 = 37, R 3 = 40, and R 3 = 41), the government maintains a strict supervision. As additional benefits increase further, the probability of strengthening supervision drops significantly, indicating that R 3 has a threshold effect on the strategic choices of the government. It can be concluded that an appropriate increase in additional benefits is conducive to increasing the probability of green development adoption; however, excessively high additional benefits lead to a growth bottleneck of   x   and a slow rate of convergence.
When the system reaches a stable equilibrium, irrelevant to resulting additional benefits, companies’ decisions remain unchanged, while the probability of the government adopting a relaxed supervision increases correspondingly to the additional benefits.

5.1.3. Lower Fine Limits

Establishing a flexible and clear reward and punishment system is an inevitable requirement for reinforcing regulations under stricter environmental protection requirements. Different minimum fines were introduced to explore the impact of raising the lower fine limits K on the decisions of the players. Figure 8a shows that when the lower fine limits are excessively low ( K = 25, exceeding the range outlined in Scenarios 2 and 5), there is little effect on the breeding companies’ decisions. Following this point, x eventually converges to 0 if companies maintain their current strategy. Increasing the lower fine limits promotes a steady increase in the probability of adopting a green development strategy, and the rate of convergence of x accelerates significantly. Figure 8b shows that when the lower fine limits are excessively low, y converges to 1, indicating that the government tends to implement strict supervision policies from this point forward. However, as the lower fine limits rise, the probability of strict government supervision decreases significantly, and the rate of convergence of y accelerates considerably. Hence, raising the lower fine limits promotes green development while reducing the pressure on government supervision.

5.1.4. Upper Reward Limits

During the early stages of transformation, providing subsidies stimulates companies’ enthusiasm for adopting green development practices; however, empirical observations show that the amount of subsidies should be “moderate”, as excessively high subsidies inhibit or even counteract the original intentions of the policy. Five upper reward limits were thus introduced to explore how the changes impact players’ decisions. Figure 9a shows that a moderate increase in the upper reward limits leads to a significant increase in the probability of adopting a green development strategy; however, once the rewards exceed this threshold, x declines. Figure 9b shows that government decisions have a threshold effect on the upper reward limits, whereby, once rewards exceed the threshold, y drops rapidly. These findings showed that different levels of financial incentives have varied impacts on players’ decisions. Appropriate financial incentives are conducive to green development; however, excessively high incentives could lead to the opposite effect.

5.2. Discussion

The above analysis simulated the impact of changes in the key parameters on players’ decisions. The results showed that when the system reaches a stable equilibrium, fluctuations in environmental tax rates and additional benefits do not affect companies’ decisions; however, they have a significant impact on the government’s decisions. Raising the lower fine limits facilitates the adoption of green development and the relaxing of government supervision, respectively, while promoting the rate of convergence. An appropriate upper reward limit increases the probability of adoption of green development; however, excessive increases lead to a decline in the probability of green development. Increasing key parameters had an inhibiting effect on the adoption of strengthened government supervision, while a certain range of parameters had a positive effect. In particular, within certain ranges, an increasing environmental tax rate, additional benefits, and upper reward limits facilitated the adoption of green development. Consequently, local governments are advised to optimize the parameter design and promote key parameters to reach this optimal state and satisfy the equilibrium conditions of the System (II). According to the numerical simulation results, the parameters can be adjusted to appropriate values, such that the system approximates the optimal state, such as increasing the additional benefits, lowering the upper reward limits, and raising the lower fine limits (because the initial tax rate is close to the optimal state, no adjustment was needed); that is, let R 3 = 60, V = 15, and K = 30. Figure 10 shows that, compared to the initial stage, the improved replicator dynamic system converges to a stable equilibrium point at an accelerated rate, and the probability of adopting green development increases significantly, while the probability of adopting strict supervision decreases greatly. These findings indicate that optimizing the parameters improves the efficiency of the system and promotes the probability of green development among breeding companies while maintaining relaxed government supervision. Therefore, for local governments, optimizing key parameters through measures, such as establishing dynamic reward and punishment systems stimulates the spontaneous green development of companies and corresponding green transformations in the animal husbandry industry.

6. Conclusions and Practical Implications

Based on an evolutionary game model, this study explored the behavioral decision-making of local governments and breeding companies, under the premise of bounded rationality. An evolutionary game with a dynamic reward and punishment system under strict environmental protection requirements was constructed, and statistical and survey data were used for the numerical simulation and sensitivity analysis. The conclusions are as follows.
First, without considering the strict environmental protection requirements, the incentives and penalties introduced by the local government had no direct correlation with companies’ emission reduction practices. When the reward and punishment system was static, gameplayers’ behaviors presented a closed loop surrounding a center point, and no ESS existed in the system. When stricter requirements were considered, assuming that the government’s incentives and penalties were determined by emissions reductions for the companies, a dynamic reward and punishment system was formed. At this point, regardless of the initial state of the government or companies, the system spirals toward a stable equilibrium point. Second, the sensitivity analysis showed that a moderate increase in the environmental tax rate, additional benefits, lower fine limits, and upper reward limits increased the probability of adopting green development. However, subject to the constraints of the internal and external environment in the early stage of green development, excessively increasing the tax rate, additional benefits, and upper reward limits beyond the threshold did not have a significant impact on companies’ final decisions and might even play a negative role. Moreover, continuously raising the lower fine limits led to a noticeable diminishment in marginal utility. In addition, increasing the four parameter values prompted the local government to shift from a strict to a relaxed supervision policy. Finally, a comparison between the initial evolutionary trajectory of the system and that following improvement showed that the improved system converges toward equilibrium more swiftly than it otherwise would, suggesting that optimized parameters improved system efficiency and increased the probability of companies independently adopting green development in the context of a relaxed government supervision. Thus, determining the optimal key parameters within a reasonable range is key to ensuring stable and efficient green transformations.
The main contributions of the study are as follows: (1) an EGT model was constructed to model gameplay between local governments and breeding companies. (2) The impact of stricter policies on the development of green animal husbandry was revealed through static and dynamic reward and punishment systems. (3) The impact of key parameters, such as environmental tax rates, additional benefits gained, lower fine limits, and upper reward limits, was analyzed for both players, based on the simulation results. An optimization direction was proposed for the development of green animal husbandry.
Based on strictly implementing the requirements of environmental protection policies formulated by the central government, local governments should speed the construction of a dynamic reward and punishment system and continue to optimize key parameters, such as environmental tax rates and rewards, and punishments, based on local production conditions to steadily form a sustainable green development system that is independent of government supervision. Breeding companies could pay close attention to government decisions, actively seek financial support, steadily adapt to the direction of industry development with respect to the actual contextual conditions, and expand additional benefits through green business models, such as combining crop farming and animal husbandry.
Despite several achievements, there are a number of limitations to this study. First, in order to simplify the research, this research abstract concept of time. Adjusting production decisions of breeding companies, and decision-making process of local governments was considered a long-term process. Consequently, any adjustments will have a long-term impact on future development. Since this study focuses on the game process, formed by the two parties, due to different interests, the concept of time, long-term nature, and lag of effect is not fully considered. Second, the evolutionary game only included the local government and breeding companies and did not consider social preferences or the market environment. Future research is recommended to include other stakeholders into the model. Second, the model considered the optimization direction of the initial state but did not provide the optimal parameters. Future studies are suggested to conduct more extensive investigations to explore the model parameters suitable for a range of situations. Third, the model constructed in this study restricted players’ choices, allowing only one strategy to be chosen, which is generally not aligned with reality as decision makers tend to think in a more diversified and less linear manner.

Funding

This research was funded by the National Natural Science Foundation of China (Grant No. 72033009).

Institutional Review Board Statement

Not applicable.

Informed Consent Statement

Not applicable.

Data Availability Statement

Not applicable.

Conflicts of Interest

The authors declare no competing interest.

References

  1. Campagnolo, E.R.; Johnson, K.R.; Karpati, A.; Rubin, C.S.; Kolpin, D.W.; Meyer, M.T.; Esteban, J.E.; Currier, R.W.; Smith, K.; Thu, K.M.; et al. Antimicrobial residues in animal waste and water resources proximal to large-scale swine and poultry feeding operations. Sci. Total Environ. 2002, 299, 89–95. [Google Scholar] [CrossRef]
  2. Han, Z.; Han, C.; Yang, C. Spatial econometric analysis of environmental total factor productivity of ranimal husbandry and its influencing factors in China during 2001–2017. Sci. Total Environ. 2020, 723, 137726. [Google Scholar] [CrossRef] [PubMed]
  3. Seiler, C.; Berendonk, T.U. Heavy metal driven co-selection of antibiotic resistance in soil and water bodies impacted by agriculture and aquaculture. Front. Microbiol. 2012, 3, 399. [Google Scholar] [CrossRef]
  4. Meng, X.H.; Zhang, J.B.; Li, P.; Chen, X.K. Summary of livestock environmental pollution and environmental management policies. J. Ecol. Rural Environ. 2014, 30, 1–8. [Google Scholar]
  5. Wang, Y.; Sun, X.; Guo, X. Environmental regulation and green productivity growth: Empirical evidence on the Porter Hypothesis from OECD industrial sectors. Energy Policy 2019, 132, 611–619. [Google Scholar] [CrossRef]
  6. Teng, J.; Wang, P.; Wu, X.; Xu, C. Decision-making tools for evaluation the impact on the eco-footprint and eco-environmental quality of green building development policy. Sustain. Cities Soc. 2016, 23, 50–58. [Google Scholar] [CrossRef]
  7. Romano, A.A.; Scandurra, G.; Carfora, A.; Fodor, M. Renewable investments: The impact of green policies in developing and developed countries. Renew. Sustain. Energy Rev. 2017, 68, 738–747. [Google Scholar] [CrossRef]
  8. Fu, J.; Si, X.; Cao, X. Research on the influence of emission trading mechanism on green development. China Popul. Resour. Environ. 2018, 28, 12–21. [Google Scholar]
  9. Mundaca, L.; Neij, L. A multi-criteria evaluation framework for tradable white certificate schemes. Energy Policy 2009, 37, 4557–4573. [Google Scholar] [CrossRef]
  10. Mickwitz, P. A framework for evaluating environmental policy instruments context and key concepts. Evaluation 2003, 9, 415–436. [Google Scholar] [CrossRef]
  11. Chen, L.; Zhou, R.; Chang, Y.; Zhou, Y. Does green industrial policy promote the sustainable growth of polluting firms? Evidences from China. Sci. Total Environ. 2021, 764, 142927. [Google Scholar] [CrossRef]
  12. Zhou, G.; Liu, C.; Luo, S. Resource allocation effect of green credit policy: Based on did model. Mathematics 2021, 9, 159. [Google Scholar] [CrossRef]
  13. Ling, S.; Han, G.; An, D.; Hunter, W.C.; Li, H. The impact of green credit policy on technological innovation of firms in pollution-intensive industries: Evidence from China. Sustainability 2020, 12, 4493. [Google Scholar] [CrossRef]
  14. Lu, J.; Yan, Y.; Wang, T. The microeconomic effects of green credit policy—From the perspective of technological innovation and resource reallocation. China Ind. Econ. 2021, 1, 174–192. [Google Scholar] [CrossRef]
  15. Li, Y.; Hu, Z.; He, B. Research on the mechanism and effect of environmental regulations on green economic development. China Soft Sci. 2020, 9, 26–38. [Google Scholar]
  16. Winfield, M.; Dolter, B. Energy, economic and environmental discourses and their policy impact: The case of Ontario’s Green Energy and Green Economy Act. Energy Policy 2014, 68, 423–435. [Google Scholar] [CrossRef]
  17. Midilli, A.; Dincer, I.; Ay, M. Green energy strategies for sustainable development. Energy Policy 2006, 34, 3623–3633. [Google Scholar] [CrossRef]
  18. Wüstenhagen, R.; Bilharz, M. Green energy market development in Germany: Effective public policy and emerging customer demand. Energy Policy 2006, 34, 1681–1696. [Google Scholar] [CrossRef]
  19. Xiong, X.; Yang, C.; Yu, L. Quantitative analysis of environmental constraints in China’s animal husbandry industry based on land environmental carrying capacity and ecological footprint. J. Agro-Environ. Sci. 2021, 40, 1799–1807. [Google Scholar] [CrossRef]
  20. Chen, W.; Guan, L.; Huang, R.; Zhang, M.; Liu, H.; Hu, Y.; Yin, Y. Sustainable development of animal husbandry in China. Bull. Chin. Acad. Sci. 2019, 34, 135–144. [Google Scholar] [CrossRef]
  21. Li, Q.; Wagan, S.A.; Wang, Y. An analysis on determinants of farmers’ willingness for resource utilization of livestock manure. Waste Manag. 2021, 120, 708–715. [Google Scholar] [CrossRef] [PubMed]
  22. Wu, S.; Liu, H.; Huang, H.; Lei, Q.; Wang, H.; Zhai, L.; Liu, S.; Zhang, Y.; Hu, Y. Analysis on the amount and utilization of manure in livestock and poultry breeding in China. Chin. J. Eng. Sci. 2018, 20, 103–111. [Google Scholar] [CrossRef]
  23. Hu, B.; Dong, H.; Jiang, P.; Zhu, J. Analysis of the applicable rate of environmental tax through different tax rate scenarios in China. Sustainability 2020, 12, 4233. [Google Scholar] [CrossRef]
  24. Ye, J.; An, H. Can environmental taxes effectively control air pollution. China Ind. Econ. 2017, 5, 54–74. [Google Scholar]
  25. Friedman, D. Evolutionary games in economics. Econometrica 1991, 59, 637–666. [Google Scholar] [CrossRef]
  26. Amaral, M.A.; de Oliveira, M.M.; Javarone, M.A. An epidemiological model with voluntary quarantine strategies governed by evolutionary game dynamics. Chaos Solitons Fractals 2021, 143, 110616. [Google Scholar] [CrossRef]
  27. Chica, M.; Hernandez, J.M.; Manrique-De-Lara-Penate, C.; Chiong, R. An evolutionary game model for understanding fraud in consumption taxes [research frontier]. IEEE Comput. Intell. Mag. 2021, 16, 62–76. [Google Scholar] [CrossRef]
  28. Chen, W.; Hu, Z.H. Using evolutionary game theory to study governments and manufacturers’ behavioral strategies under various carbon taxes and subsidies. J. Clean. Prod. 2018, 201, 123–141. [Google Scholar] [CrossRef]
  29. Ji, S.; Zhao, D.; Luo, R. Evolutionary game analysis on local governments and manufacturers’ behavioral strategies: Impact of phasing out subsidies for new energy vehicles. Energy 2019, 189, 116064. [Google Scholar] [CrossRef]
  30. Kang, K.; Zhao, Y.; Zhang, J.; Qiang, C. Evolutionary game theoretic analysis on low-carbon strategy for supply chain enterprises. J. Clean. Prod. 2019, 230, 981–994. [Google Scholar] [CrossRef]
  31. Gao, X.; Shen, J.; He, W.; Sun, F.; Zhang, Z.; Guo, W.; Zhang, X.; Kong, Y. An evolutionary game analysis of governments’ decision-making behaviors and factors influencing watershed ecological compensation in China. J. Environ. Manag. 2019, 251, 109592. [Google Scholar] [CrossRef] [PubMed]
  32. Jiang, K.; You, D.; Merrill, R.; Li, Z. Implementation of a multi-agent environmental regulation strategy under Chinese fiscal decentralization: An evolutionary game theoretical approach. J. Clean. Prod. 2019, 214, 902–915. [Google Scholar] [CrossRef]
  33. Luo, H.; Qu, X.; Hu, Y. The Impact of Government Regulation on Enterprise’s Emission Reduction Behavior under Environmental Protection Tax System—Analysis based on Evolutionary Game. J. Beijing Inst. Technol. Sci. Ed. 2020, 22, 1–12. [Google Scholar]
  34. Jiao, J.; Chen, J.; Li, L.; Li, F. A study of local Governmentsand EnterprisesActions in the carbon emission mechanism of subsidy or PunishmentBased on the evolutionary game. Chin. J. Manag. Sci. 2017, 25, 140–150. [Google Scholar]
  35. Pan, F.; Xi, B.; Wang, L. Analysis on environmental regulation strategy of local government based on evolutionary game theory. Syst. Eng. Pract. 2015, 35, 1393–1404. [Google Scholar]
  36. Taylor, P.D.; Jonker, L.B. Evolutionary stable strategies and game dynamics. Math. Biosci. 1978, 40, 145–156. [Google Scholar] [CrossRef]
  37. Morin, P.; Samson, C. Control of nonlinear chained systems: From the Routh-Hurwitz stability criterion to time-varying exponential stabilizers. IEEE Trans. Autom. Control 2000, 45, 141–146. [Google Scholar] [CrossRef]
  38. Liu, D.; Xiao, X.; Li, H.; Wang, W. Historical evolution and benefit–cost explanation of periodical fluctuation in coal mine safety supervision: An evolutionary game analysis framework. Eur. J. Oper. Res. 2015, 243, 974–984. [Google Scholar] [CrossRef]
  39. Wang, L. Environmental cost and GDP effectiveness. Account. Res. 2015, 3, 3–11. [Google Scholar]
  40. Hawkins, C.V.; Kwon, S.; Bae, J. Balance between local economic development and environmental sustainability: A multi-level governance perspective. Int. J. Public Adm. 2016, 39, 803–811. [Google Scholar] [CrossRef]
  41. Zhao, X.; Wang, R.; Wang, X.; Liu, J. Spatiotemporal distribution and influencing factors of environmental pollution incidents based on multi-scales in China. Sci. Geogr. Sin. 2019, 39, 1361–1370. [Google Scholar] [CrossRef]
  42. Mao, H.; Guo, P.; Yang, Z. Emission reduction effect of environmental governance investment: Regional differences and structural characteristics. Macroeconomics 2014, 5, 75–82. [Google Scholar] [CrossRef]
  43. National Bureau of Statistics. China Statistical Yearbook; China Statistics Press: Beijing, China, 2021. [Google Scholar]
  44. National Bureau of Statistics. China Statistical Yearbook on Environmental; China Statistics Press: Beijing, China, 2021. [Google Scholar]
Figure 1. Animal husbandry and the evolution of environmental policy in China.
Figure 1. Animal husbandry and the evolution of environmental policy in China.
Sustainability 14 14374 g001
Figure 3. Evolutionary phase positions of the players in Scenario 2 and 5.
Figure 3. Evolutionary phase positions of the players in Scenario 2 and 5.
Sustainability 14 14374 g003
Figure 4. Replicator dynamics without stricter requirements.
Figure 4. Replicator dynamics without stricter requirements.
Sustainability 14 14374 g004
Figure 5. Replicator dynamics with stricter requirements.
Figure 5. Replicator dynamics with stricter requirements.
Sustainability 14 14374 g005
Figure 6. Impact of the environmental tax rates on players’ strategies. (a) The impact of environmental tax rates on the strategies of breeding companies. (b) The impact of environmental tax rates on the strategies of the government.
Figure 6. Impact of the environmental tax rates on players’ strategies. (a) The impact of environmental tax rates on the strategies of breeding companies. (b) The impact of environmental tax rates on the strategies of the government.
Sustainability 14 14374 g006
Figure 7. Impact of the additional benefits on players’ strategies. (a) The impact of additional benefits on the strategies of breeding companies. (b) The impact of additional benefits on the strategies of the government.
Figure 7. Impact of the additional benefits on players’ strategies. (a) The impact of additional benefits on the strategies of breeding companies. (b) The impact of additional benefits on the strategies of the government.
Sustainability 14 14374 g007
Figure 8. Impact of the lower fine limits on players’ strategies. (a) The impact of lower limit of fines on the strategies of breeding companies. (b) The impact of lower limit of fines on the strategies of the government.
Figure 8. Impact of the lower fine limits on players’ strategies. (a) The impact of lower limit of fines on the strategies of breeding companies. (b) The impact of lower limit of fines on the strategies of the government.
Sustainability 14 14374 g008
Figure 9. Impact of the upper reward limits on players’ strategies. (a) The impact of upper limit of rewards on the strategies of breeding companies. (b) The impact of upper limit of rewards on the strategies of the government.
Figure 9. Impact of the upper reward limits on players’ strategies. (a) The impact of upper limit of rewards on the strategies of breeding companies. (b) The impact of upper limit of rewards on the strategies of the government.
Sustainability 14 14374 g009
Figure 10. Simulation results at the initial stage and that following improvement. (a) Evolution trajectory of System (II) at the initial stage and following the improvement. (b) Evolution trajectory of both players following the improvement.
Figure 10. Simulation results at the initial stage and that following improvement. (a) Evolution trajectory of System (II) at the initial stage and following the improvement. (b) Evolution trajectory of both players following the improvement.
Sustainability 14 14374 g010
Table 1. Income and expenditure matrix for the players.
Table 1. Income and expenditure matrix for the players.
ItemBreeding Companies
Green DevelopmentCurrent Practices
Local governmentsStrengthen supervision R 4 S C 2 η Q + F C 2 C 3
R 2 + R 3 + S R 1 η Q F
Relax supervision R 4 C 1 η Q C 1 C 3
R 2 + R 3 R 1 η Q
Table 2. Explanation of the main symbols.
Table 2. Explanation of the main symbols.
SymbolsExplanation
C 1 Environmental regulation costs of deregulation by local governments (covering time costs of aquaculture transition)
C 2 Environmental regulation cost when local governments strengthen supervision (mainly human cost of supervision)
C 3 Negative externalities of breeding companies with current practices strategy
R 1 PBT of breeding companies with current practices strategy
R 2 PBT of breeding companies with green development strategy
R 3 Additional benefits of breeding companies from green development strategy
R 4 Positive externalities of breeding companies with green development strategy
S Subsidies for green development companies from local governments
F Fines for current practices by companies from local governments
Q Equivalent pollutants
η Environmental tax rate
x Probability of breeding companies with green development strategy
y Probability of local governments with strengthened supervision strategy
K Lower fine limits
V Upper reward limits
E S S Evolutionarily stable strategy
Δ A Revenue gap between current practices strategy and green development strategy for breeding companies when governments have a relaxed supervision strategy
Δ B Revenue gap between current practices strategy and green development strategy for breeding companies when governments have a strengthened supervision strategy
Δ C Revenue gap between a strengthened supervision strategy and a relaxed supervision strategy for breeding companies when companies have current practices strategy
Δ D Revenue gap between a strengthened supervision strategy and a relaxed supervision strategy for breeding companies when companies have a green development strategy
Table 3. ESS analysis of the replication dynamic system.
Table 3. ESS analysis of the replication dynamic system.
PointType of EquationArithmetic ExpressionSignResult
(0.0)Det J ( R 2 + R 3 + η Q R 1 ) C 1 + F C 2 saddle point
Tr J ( R 2 + R 3 + η Q R 1 ) + C 1 + F C 2 Uncertain
(0.1)Det J ( R 2 + R 3 + η Q + F + S R 1 ) C 2 C 1 F saddle point
Tr J ( R 2 + R 3 + η Q + F + S R 1 ) + C 2 C 1 F Uncertain
(1.0)Det J ( R 1 R 2 R 3 η Q ) C 1 S C 2 saddle point
Tr J ( R 1 R 2 R 3 η Q ) + C 1 S C 2 Uncertain
(1.1)Det J ( R 1 R 2 R 3 η Q F S ) S C 1 + C 2 saddle point
Tr J ( R 1 R 2 R 3 η Q F S ) + S C 1 + C 2 Uncertain
( x 1 * ,   y 1 * )Det J C 2 C 1 F S C 1 + C 2 ( R 2 + R 3 + η Q R 1 ) ( R 2 + R 3 + η Q + F + S R 1 ) / F + S 2 + central point
Tr J0/
Publisher’s Note: MDPI stays neutral with regard to jurisdictional claims in published maps and institutional affiliations.

Share and Cite

MDPI and ACS Style

Xiong, X. The Impact of Environmental Protection Requirements on the Development of Green Animal Husbandry: An Evolutionary Game between Local Governments and Breeding Companies. Sustainability 2022, 14, 14374. https://doi.org/10.3390/su142114374

AMA Style

Xiong X. The Impact of Environmental Protection Requirements on the Development of Green Animal Husbandry: An Evolutionary Game between Local Governments and Breeding Companies. Sustainability. 2022; 14(21):14374. https://doi.org/10.3390/su142114374

Chicago/Turabian Style

Xiong, Xuezhen. 2022. "The Impact of Environmental Protection Requirements on the Development of Green Animal Husbandry: An Evolutionary Game between Local Governments and Breeding Companies" Sustainability 14, no. 21: 14374. https://doi.org/10.3390/su142114374

APA Style

Xiong, X. (2022). The Impact of Environmental Protection Requirements on the Development of Green Animal Husbandry: An Evolutionary Game between Local Governments and Breeding Companies. Sustainability, 14(21), 14374. https://doi.org/10.3390/su142114374

Note that from the first issue of 2016, this journal uses article numbers instead of page numbers. See further details here.

Article Metrics

Back to TopTop