Supply Chain Integration and Its Impact on Operating Performance: Evidence from Chinese Online Companies
Abstract
1. Introduction
2. Literature Review and Research Hypothesis
2.1. Traditional and Virtual Supply Chains
2.1.1. Traditional Supply Chain
2.1.2. Virtual Supply Chains
2.2. Virtual Supply Chain and Performance of Companies
3. Research Method
3.1. Sample Size
3.2. Reliability and Validity
4. Results
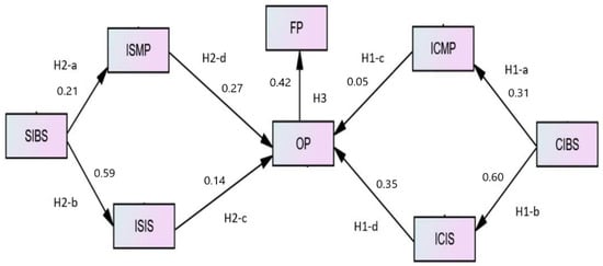
4.1. Hypothesis Testing
4.2. Discussion and Implication of Results
5. Conclusions, Implications and Future Recommendations
Author Contributions
Funding
Institutional Review Board Statement
Informed Consent Statement
Data Availability Statement
Conflicts of Interest
References
- Ardito, L.; Petruzzelli, A.M.; Panniello, U.; Garavelli, A.C. Towards Industry 4.0: Mapping digital technologies for supply chain management-marketing integration. Bus. Process Manag. J. 2019, 10, 10–25. [Google Scholar] [CrossRef]
- Armstrong, J.S.; Overton, T.S. Estimating nonresponse bias in mail surveys. J. Mark. Res. 1977, 14, 396–402. [Google Scholar] [CrossRef]
- Barney, J. Firm resources and sustained competitive advantage. J. Manag. 1991, 17, 99–120. [Google Scholar] [CrossRef]
- Barney, J.B. Organizational Culture: Can It Be a Source of Sustained Competitive Advantage? Acad. Manag. Rev. 1986, 11, 656–665. [Google Scholar] [CrossRef]
- Beamon, B.M. Designing the green supply chain. Logist. Inf. Manag. 1999, 12, 332–342. [Google Scholar] [CrossRef]
- Besterfield, D.H.; Besterfield-Michna, C.; Besterfield, G.H.; Besterfield-Sacre, M.; Urdhwareshe, H.; Urdhwareshe, R. Total Quality Management Revised Edition: For Anna University, 3/E; Pearson Education India: Bengaluru, India, 2014. [Google Scholar]
- Bharadwaj, A.S. A Resource-Based perspective on information technology capability and firm performance: An empirical investigation. MIS Q. 2000, 24, 169–196. [Google Scholar] [CrossRef]
- Bose, I.; Pal, R.; Ye, A. ERP and SCM systems integration. Case A Valve Manuf. China Inf. Manag. 2008, 45, 233–241. [Google Scholar]
- Chae, B.; Yen, H.R.; Sheu, C. Information technology and supply chain collaboration: Moderating effects of existing relationships between partners. IEEE Trans. Eng. Manag. 2005, 52, 440–448. [Google Scholar] [CrossRef]
- Chang, W.; Ellinger, A.E.; Kim, K.K.; Franke, G.R. Supply chain integration and firm financial performance: A meta-analysis of positional advantage mediation and moderating factors. Eur. Manag. J. 2016, 34, 282–295. [Google Scholar] [CrossRef]
- Chen, D.Q.; Preston, D.S.; Xia, W. Enhancing hospital supply chain performance: A relational view and empirical test. J. Oper. Manag. 2013, 31, 391–408. [Google Scholar] [CrossRef]
- Davis, J.M.; Mora-Monge, C.; Quesada, G.; Gonzalez, M. Cross-cultural influences on e-value creation in supply chains. Supply Chain Manag. Int. J. 2014, 19, 18–199. [Google Scholar] [CrossRef]
- Devaraj, S.; Krajewski, L.; Wei, J.C. Impact of eBusiness technologies on operational performance: The role of production information integration in the supply chain. J. Oper. Manag. 2007, 25, 1199–1216. [Google Scholar] [CrossRef]
- Evelyne, V.; Ann, V.; Steve, M. Leveraging the impact of supply chain integration through information technology. Int. J. Oper. Prod. Manag. 2017, 37, 510–530. [Google Scholar]
- Fawcett, S.E.; Wallin, C.; Allred, C.; Fawcett, A.M.; Magnan, G.M. Information technology as an enabler of supply chain collaboration: A Dynamic-Capabilities perspective. J. Supply Chain Manag. 2011, 47, 38–59. [Google Scholar] [CrossRef]
- Flynn, B.B.; Huo, B.; Zhao, X. The impact of supply chain integration on performance: A contingency and configuration approach. J. Oper. Manag. 2010, 28, 58–71. [Google Scholar] [CrossRef]
- Fornell, C.; Larcker, D.F. Evaluating structural equation models with unobservable variables and measurement error. J. Mark. Res. 1981, 18, 39–50. [Google Scholar] [CrossRef]
- Frohlich, M.T.; Westbrook, R. Arcs of integration: An international study of supply chain strategies. J. Oper. Manag. 2001, 19, 185–200. [Google Scholar] [CrossRef]
- Fujimoto, T. Key concepts for improving supply chain robustness. Discuss. Pap. Ser. 2019, 511, 1–20. [Google Scholar]
- Gang, Z.; Taiwen, F.; Dan, W. Is more supply chain integration always beneficial to financial performance? Ind. Mark. Manag. 2015, 45, 162–172. [Google Scholar] [CrossRef]
- Gunasekaran, A.; Ngai, E.W. Virtual supply-chain management. Prod. Plan. Control 2004, 15, 584–595. [Google Scholar] [CrossRef]
- Gunasekaran, A.; Subramanian, N.; Papadopoulos, T. Information technology for competitive advantage within logistics and supply chains: A review. Transp. Res. Part E Logist. Transp. Rev. 2017, 99, 14–33. [Google Scholar] [CrossRef]
- Han, J.H.; Wang, Y.; Naim, M. Reconceptualization of information technology flexibility forsupply chain management: An empirical study. Int. J. Prod. Econ. 2017, 187, 196–215. [Google Scholar] [CrossRef]
- Hill, C.A.; Scudder, G.D. The use of electronic data interchange for supply chain coordination in the food industry. J. Oper. Manag. 2002, 20, 375–387. [Google Scholar] [CrossRef]
- Huo, B. The impact of supply chain integration on company performance: An organizational capability perspective. Supply Chain Manag. Int. J. 2012, 17, 596–610. [Google Scholar] [CrossRef]
- Huo, B.; Han, Z.; Zhao, X.; Zhou, H.; Wood, C.H.; Zhai, X. The impact of institutional pressures on supplier integration and financial performance: Evidence from China. Int. J. Prod. Econ. 2013, 146, 82–94. [Google Scholar] [CrossRef]
- Huo, B.; Qi, Y.; Wang, Z.; Zhao, X. The impact of supply chain integration on firm performance. Supply Chain Manag. Int. J. 2014, 19, 369–384. [Google Scholar] [CrossRef]
- Huo, B.; Zhang, C.; Zhao, X. The effect of IT and relationship commitment on supply chain coordination: A contingency and configuration approach. Inf. Manag. 2015, 52, 728–740. [Google Scholar] [CrossRef]
- Jajja, M.S.S.; Chatha, K.A.; Farooq, S. Impact of supply chain risk on agility performance: Mediating role of supply chain integration. Int. J. Prod. Econ. 2018, 205, 118–138. [Google Scholar] [CrossRef]
- Jakhar, S.K. Performance evaluation and a flow allocation decision model for a sustainable supply chain of an apparel industry. J. Clean. Prod. 2015, 87, 391–413. [Google Scholar] [CrossRef]
- Jelassi, T.; Martínez-López, F.J. Strategies for E-Business: Concepts and Cases on Value Creation and Digital Business Transformation; Springer Nature: Berlin/Heidelberg, Germany, 2020. [Google Scholar]
- Koppenhagen, F.; Held, T. The implications of product modularisation on the development process, supplier integration and supply chain design in collaborative product development. Adv. Prod. Eng. Manag. 2021, 16, 82–98. [Google Scholar] [CrossRef]
- Koufteros, X.; Vickery, S.K.; Dr€oge, C. The effects of strategic supplier selection on buyer competitive performance in matched domains: Does supplier integration mediate the relationships? J. Supply Chain Manag. 2012, 48, 93–115. [Google Scholar] [CrossRef]
- Koufteros, X.A.; Edwin Cheng, T.C.; Lai, K. ‘Black-box’ and ‘gray-box’ supplier integration in product development: Antecedents, consequences and the moderating role of firm size. J. Oper. Manag. 2007, 25, 847–870. [Google Scholar] [CrossRef]
- Lancioni, R.A.; Smith, M.F.; Oliva, T.A. The role of the Internet in supply chain management. Ind. Mark. Manag. 2000, 29, 45–56. [Google Scholar] [CrossRef]
- Li, B.; Li, R.Y.M.; Wareewanich, T. Factors Influencing Large Real Estate Companies’ Competitiveness: A Sustainable Development Perspective. Land 2021, 10, 1239. [Google Scholar] [CrossRef]
- Li, G.; Yang, H.; Sun, L.; Sohal, A.S. The impact of IT implementation on supply chain integration and performance. Int. J. Prod. Econ. 2009, 120, 125–138. [Google Scholar] [CrossRef]
- Li, R.Y.M. Generation X and Y’s demand for homeownership in Hong Kong. Pac. Rim Prop. Res. J. 2015, 21, 15–36. [Google Scholar] [CrossRef]
- Li, R.Y.M.; Chau, K.W.; Ho, D.C.W. Current State of Art in Artificial Intelligence and Ubiquitous Cities; Springer: Singapore, 2022. [Google Scholar]
- Lii, P.; Kuo, F. Innovation-oriented supply chain integration for combined competitiveness and firm performance. Int. J. Prod. Econ. 2016, 174, 142–155. [Google Scholar] [CrossRef]
- Mahlamäki, T.; Storbacka, K.; Pylkkönen, S.; Ojala, M. Adoption of digital sales force automation tools in supply chain: Customers’ acceptance of sales configurators. Ind. Mark. Manag. 2020, 91, 162–173. [Google Scholar] [CrossRef]
- Matsuda, M.; Nishi, T.; Hasegawa, M.; Terunuma, T. Construction of a virtual supply chain using enterprise e-catalogues. Procedia CIRP 2020, 93, 688–693. [Google Scholar] [CrossRef]
- Paulraj, A.; Chen, I.J. Strategic buyer-supplier relationships, information technology and external logistics integration. J. Supply Chain Manag. 2007, 43, 2–14. [Google Scholar] [CrossRef]
- Petersen, K.J.; Handfield, R.B.; Ragatz, G.L. Supplier integration into new product development: Coordinating product, process and supply chain design. J. Oper. Manag. 2005, 23, 371–388. [Google Scholar] [CrossRef]
- Piprani, A.Z.; Mohezar, S.; Jaafar, N.I. Supply chain integration and supply chain performance: The mediating role of supply chain resilience. Int. J. Supply Chain Manag. 2020, 9, 58–73. [Google Scholar]
- Prajapati, D.; Chan, F.T.; Chelladurai, H.; Lakshay, L.; Pratap, S. An Internet of Things Embedded Sustainable Supply Chain Management of B2B E-Commerce. Sustainability 2022, 14, 5066. [Google Scholar] [CrossRef]
- Prajogo, D.; Olhager, J. Supply chain integration and performance: The effects of long-term relationships, information technology and sharing, and logistics integration. Int. J. Prod. Econ. 2012, 135, 514–522. [Google Scholar] [CrossRef]
- Prajogo, D.; Toy, J.; Bhattacharya, A.; Oke, A.; Cheng, T.C.E. The relationships between information management, process management and operational performance: Internal and external contexts. Int. J. Prod. Econ. 2018, 199, 95–103. [Google Scholar] [CrossRef]
- Qin, H.; Luo, M.; Gao, X.; Lim, A. The freight allocation problem with all-units quantity-based discount: A heuristic algorithm. Omega 2012, 40, 415–423. [Google Scholar] [CrossRef]
- Rai, A.; Patnayakuni, R.; Seth, N. Firm performance impacts of digitally enabled supply chain integration capabilities. MIS Q. 2006, 30, 225–246. [Google Scholar] [CrossRef]
- Remko, V.H. Research opportunities for a more resilient post-COVID-19 supply chain–closing the gap between research findings and industry practice. Int. J. Oper. Prod. Manag. 2020, 40, 341–355. [Google Scholar] [CrossRef]
- Ruzo-Sanmartín, E.; Abousamra, A.A.; Otero-Neira, C.; Svensson, G. The impact of the relationship commitment and customer integration on supply chain performance. J. Bus. Ind. Mark. 2022. ahead-of-print. [Google Scholar] [CrossRef]
- Rymarczyk, J. Transformation of Transnational Corporations’ Supply Chains as a Result of the Fourth Industrial Revolution and the COVID-19 Pandemic. Sustainability 2022, 14, 5518. [Google Scholar] [CrossRef]
- Salvini, G.; Hofstede, G.; Verdouw, C.; Rijswijk, K.; Klerkx, L. Enhancing digital transformation towards virtual supply chains: A simulation game for Dutch floriculture. Prod. Plan. Control 2020, 33, 1–18. [Google Scholar] [CrossRef]
- Sanders, N.R. An empirical study of the impact of e-business technologies on organizational collaboration and performance. J. Oper. Manag. 2007, 25, 1332–1347. [Google Scholar] [CrossRef]
- Sanders, N.R.; Premus, R. Modeling the relationship between firm IT capability, collaboration, and performance. J. Bus. Logist. 2005, 26, 1–23. [Google Scholar] [CrossRef]
- Schreyeogg, G.; Kliesch-Eberl, M. How dynamic can organizational capabilities be? Towards a dual-process model of capability dynamization. Strateg. Manag. J. 2007, 28, 913–933. [Google Scholar] [CrossRef]
- Scott, A.H.; Mula, J.M. Contextual factors associated with information systems in a virtual supply chain. In International Conference on Cooperation and Promotion of Information Resources in Science and Technology; IEEE: Piscataway, NJ, USA, 2009. [Google Scholar]
- Seggie, S.H.; Kim, D.; Cavusgil, S.T. Do supply chain IT alignment and supply chain interfirm system integration impact upon brand equity and firm performance? J. Bus. Res. 2014, 59, 887–895. [Google Scholar] [CrossRef]
- Stank, T.P.; Keller, S.B.; Closs, D.J. Performance benefits of supply chain logistical integration. Transp. J. 2001, 41, 32–46. [Google Scholar]
- Subramani, M. How do suppliers benefit from information technology use in supply chain relationships? MIS Q. 2004, 28, 45–73. [Google Scholar] [CrossRef]
- Swierczek, A.; Kisperska-Moron, D. The role and attributes of manufacturing companies in virtual supply chains. Int. J. Logist. Manag. 2016, 27, 511–532. [Google Scholar] [CrossRef]
- Swink, M.; Narasimhan, R.; Wang, C. Managing beyond the factory walls: Effects of four types of strategic integration on manufacturing plant performance. J. Oper. Manag. 2007, 25, 148–164. [Google Scholar] [CrossRef]
- Thun, J. Angles of integration: An empirical analysis of the alignment of Internet-Based information technology and global supply chain integration. J. Supply Chain Manag. 2010, 46, 30–44. [Google Scholar] [CrossRef]
- Vickery, S.K.; Jayaram, J.; Droge, C.; Calantone, R. The effects of an integrative supply chain strategy on customer service and financial performance: An analysis of direct versus indirect relationships. J. Oper. Manag. 2003, 21, 523–539. [Google Scholar] [CrossRef]
- Wang, E.T.G.; Chou, F.K.Y.; Lee, N.C.A.; Lai, S.Z. Can intrafirm IT skills benefit interfirm integration and performance? Inf. Manag. 2014, 51, 924–938. [Google Scholar] [CrossRef]
- Watts, C.A.; Kim, K.Y.; Hahn, C.K. Linking purchasing to corporate competitive strategy. Int. J. Purch. Mater. Manag. 1992, 28, 2–8. [Google Scholar] [CrossRef]
- Xu, D.; Huo, B.; Sun, L. Relationships between intra-organizational resources, supply chain integration and business performance: An extended resource-based view. Ind. Manag. Data Syst. 2014, 114, 1186–1206. [Google Scholar] [CrossRef]
- Yu, W. The effect of IT-enabled supply chain integration on performance. Prod. Plan. Control 2015, 26, 945–957. [Google Scholar] [CrossRef]
- Zeng, L.; Li, R.Y.M.; Huang, X. Sustainable Mountain-Based Health and Wellness Tourist Destinations: The Interrelationships between Tourists & rsquo; Satisfaction, Behavioral Intentions, and Competitiveness. Sustainability 2021, 13, 13314. [Google Scholar]
- Zeng, L.; Li, Y.M.R. Tourist Satisfaction, Willingness to Revisit and Recommend, and Mountain Kangyang Tourism Spots Sustainability: A Structural Equation Modelling Approach. Sustainability 2021, 13, 10620. [Google Scholar] [CrossRef]


| Hypothesis | Literature |
|---|---|
| H1a. The use and synchronization of IT-based system by customers positively impacts the integration of customer manufacturing/supply processes. | Jelassi et al., (2020) [30] |
| H1b. Use and synchronization of IT-based systems positively impact the integration of customer ordering and inventory systems. | Rymarczyk (2022) [10] Ruzo-Sanmartín (2022) [58] |
| H1c. Integration of customer manufacturing/supply is positively related to operating performance. | Ruzo-Sanmartín et al., (2022) [58] |
| H1d. Integration of customer I.T. systems is positively related to operating performance. | Ruzo-Sanmartín et al., (2022) [58] |
| H2a. The use and synchronization of IT-based systems by suppliers positively impact the integration with suppliers’ manufacturing process. | Piprani et al., (2020) [59,60] Ruzo-Sanmartín (2022) [58] |
| H2b. Suppliers’ use and synchronization of IT-based systems positively impact the integration with suppliers’ I.T. systems. | Piprani et al. (2020) [59,60] Jajja et al., (2018) [61] |
| H2c. Integration of suppliers manufacturing processes is positively related to operating performance. | Fujimoto (2019) [29] Koppenhagen & Held, (2021) [60] |
| H2d. Integration of suppliers’ I.T. systems is positively related to operating performance. | Koppenhagen & Held, (2021) [60] |
| H3. Operating performance has a positive impact on the financial performance of the sample companies. | Xu et al., (2014) [46] Han et al., (2017) [55] Gang et al., (2015) [62] |
| Industry Type | Percentage of Sample |
|---|---|
| Clothing | 20% |
| Fashion accessories | 20% |
| Footwear | 20% |
| Household appliances | 20% |
| Auto parts | 20% |
| Position | Percentage of Sample | Respondents |
|---|---|---|
| Senior manager | 20% | 68 |
| Operational manager | 41% | 141 |
| Management professionals | 21% | 71 |
| Others | 18% | 62 |
| Total | 100% | 342 |
| FP | OP | CIBS | ISIS | ISMP | ICIS | ICMP | SIBS | |
|---|---|---|---|---|---|---|---|---|
| CIBS1 | 0.122 | 0.095 | 0.115 | 0.094 | 0.019 | 0.046 | 0.032 | 0.797 |
| CIBS2 | 0.106 | 0.044 | 0.114 | 0.031 | 0.209 | 0.097 | 0.131 | 0.719 |
| CIBS3 | 0.122 | 0.161 | 0.101 | 0.085 | 0.055 | 0.141 | 0.148 | 0.716 |
| ISMP1 | 0.093 | 0.053 | 0.797 | 0.081 | 0.081 | 0.116 | 0.124 | 0.162 |
| ISMP2 | 0.096 | 0.053 | 0.748 | 0.176 | 0.104 | 0.084 | 0.145 | 0.096 |
| ISMP3 | 0.044 | 0.044 | 0.704 | 0.196 | 0.091 | 0.121 | 0.095 | 0.097 |
| ISIS1 | 0.051 | 0.076 | 0.122 | 0.186 | 0.096 | 0.781 | 0.109 | 0.085 |
| ISIS2 | 0.053 | 0.108 | 0.042 | 0.197 | 0.072 | 0.777 | 0.121 | 0.168 |
| ISIS3 | 0.063 | 0.074 | 0.158 | 0.143 | 0.123 | 0.785 | 0.063 | 0.048 |
| SIBS1 | 0.007 | 0.034 | 0.078 | 0.805 | 0.057 | 0.186 | 0.082 | 0.077 |
| SIBS2 | 0.042 | 0.109 | 0.106 | 0.772 | 0.001 | 0.151 | 0.051 | 0.099 |
| SIBS3 | 0.031 | 0.073 | 0.141 | 0.752 | 0.093 | 0.123 | 0.066 | 0.029 |
| ICIS1 | 0.153 | 0.146 | 0.051 | 0.079 | 0.796 | 0.052 | 0.114 | 0.046 |
| ICIS2 | 0.12 | 0.063 | 0.128 | 0.013 | 0.809 | 0.129 | 0.124 | 0.089 |
| ICIS3 | 0.163 | 0.106 | 0.093 | 0.106 | 0.779 | 0.102 | 0.073 | 0.033 |
| ICMP1 | 0.063 | 0.085 | 0.141 | 0.111 | 0.063 | 0.055 | 0.778 | 0.094 |
| ICMP2 | 0.114 | 0.007 | 0.065 | 0.062 | 0.137 | 0.095 | 0.799 | 0.109 |
| ICMP3 | 0.159 | 0.105 | 0.151 | 0.043 | 0.107 | 0.132 | 0.747 | 0.099 |
| OP1 | 0.197 | 0.758 | 0.145 | 0.044 | 0.191 | 0.103 | 0.036 | 0.104 |
| OP2 | 0.033 | 0.789 | 0.034 | −0.019 | 0.302 | 0.137 | 0.007 | 0.077 |
| OP3 | 0.088 | 0.794 | 0.022 | 0.062 | 0.065 | −0.02 | 0.025 | −0.048 |
| OP4 | 0.025 | 0.723 | −0.052 | 0.111 | 0.088 | 0.007 | 0.109 | 0.215 |
| FP1 | 0.769 | 0.107 | 0.114 | 0.014 | 0.119 | −0.014 | −0.006 | 0.112 |
| FP2 | 0.761 | 0.101 | 0.027 | 0.006 | 0.068 | 0.018 | 0.093 | 0.027 |
| FP3 | 0.786 | 0.046 | 0.036 | −0.022 | 0.118 | 0.099 | 0.124 | 0.055 |
| FP4 | 0.777 | 0.052 | −0.107 | 0.043 | 0.054 | 0.002 | 0.134 | 0.124 |
| FP5 | 0.778 | 0.075 | 0.117 | 0.044 | 0.066 | 0.053 | −0.011 | 0.037 |
| Eigenvalues | 7.546 | 2.341 | 1.841 | 1.566 | 1.851 | 1.964 | 1.928 | 1.512 |
| Cumulative variance % | 36.017 | 40.015 | 61.279 | 55.146 | 56.355 | 74.234 | 73.510 | 80.040 |
| Factor Load | ||||||||
|---|---|---|---|---|---|---|---|---|
| Item | CIBS | ISIS | ISMP | FP | OP | ICIS | ICMP | SIBS |
| CIBS1 | 0.813 | |||||||
| CIBS2 | 0.809 | |||||||
| CIBS3 | 0.881 | |||||||
| ISIS1 | 0.856 | |||||||
| ISIS2 | 0.793 | |||||||
| ISIS3 | 0.862 | |||||||
| ISMP1 | 0.906 | |||||||
| ISMP2 | 0.758 | |||||||
| ISMP3 | 0.821 | |||||||
| FP1 | 0.841 | |||||||
| FP2 | 0.812 | |||||||
| FP3 | 0.772 | |||||||
| FP4 | 0.870 | |||||||
| OP1 | 0.808 | |||||||
| OP2 | 0.762 | |||||||
| OP3 | 0.841 | |||||||
| OP4 | 0.771 | |||||||
| OP5 | 0.863 | |||||||
| ICIS1 | 0.824 | |||||||
| ICIS2 | 0.819 | |||||||
| ICIS3 | 0.809 | |||||||
| ICMP1 | 0.856 | |||||||
| ICMP2 | 0.782 | |||||||
| ICMP3 | 0.830 | |||||||
| SIBS1 | 0.875 | |||||||
| SIBS2 | 0.837 | |||||||
| SIBS3 | 0.817 | |||||||
| Eigen Values | 7.356 | 5.287 | 2.138 | 1.789 | 1.624 | 1.551 | 1.328 | 1.127 |
| Cumulative Variance Explained | 37.269 | 41.984 | 48.529 | 52.342 | 58.291 | 64.237 | 71.522 | 80.544 |
| Item | CIBS | ISIS | ISMP | FP | OP | ICIS | ICMP | SIBS | Cronbach’s Alpha | Composite Reliability | Average Variance |
|---|---|---|---|---|---|---|---|---|---|---|---|
| CIBS | 1 | 0.769 | 0.80 | 0.62 | |||||||
| ISIS | 0.56 ** | 1 | 0.782 | 0.93 | 0.79 | ||||||
| ISMP | 0.38 ** | 0.46 *** | 1 | 0.760 | 0.82 | 0.71 | |||||
| FP | 0.28 ** | 0.35 ** | 0.40 *** | 1 | 0.790 | 0.88 | 0.67 | ||||
| OP1 | 0.42 ** | 0.41 ** | 0.23 ** | 0.28 *** | 1 | 0.815 | 0.84 | 0.59 | |||
| ICIS | 0.34 *** | 0.22 ** | 0.44 ** | 0.27 *** | 0.26 ** | 1 | 0.783 | 0.81 | 0.75 | ||
| ICMP | 0.27 ** | 0.26 ** | 0.51 *** | 0.33 ** | 0.34 ** | 0.27 ** | 1 | 0.749 | 0.87 | 0.66 | |
| SIBS | 0.45 *** | 0.39 *** | 0.29 ** | 0.36 ** | 0.40 *** | 0.22 ** | 0.36 *** | 1 | 0.820 | 0.80 | 0.55 |
| Mean | 4.25 | 4.60 | 3.90 | 4.30 | 3.60 | 3.80 | 3.70 | 3.90 | |||
| Std. deviation | 1.09 | 1.28 | 0.967 | 1.06 | 0.927 | 1.15 | 1.10 | 1.18 |
| Path | Estimate | S.E. | C.R. | p | ||
|---|---|---|---|---|---|---|
| ISMP | <--- | SIBS | 0.209 | 0.048 | 3.946 | *** |
| ISIS | <--- | SIBS | 0.585 | 0.040 | 13.354 | *** |
| ICIS | <--- | CIBS | 0.306 | 0.056 | 5.944 | *** |
| ICMP | <--- | CIBS | 0.602 | 0.061 | 13.933 | *** |
| O.P. | <--- | ISMP | 0.273 | 0.043 | 5.728 | *** |
| O.P. | <--- | ICIS | 0.047 | 0.054 | 0.973 | 0.350 |
| OP | <--- | ICMP | 0.351 | 0.041 | 7.304 | *** |
| O.P. | <--- | ISIS | 0.145 | 0.042 | 3.044 | 0.002 |
| FP | <--- | OP | 0.420 | 0.051 | 8.549 | *** |
| Hypothesis | Results |
|---|---|
| H1a | Accept |
| H1b | Accept |
| H1c | Accept |
| H1d | Reject |
| H2a | Accept |
| H2b | Accept |
| H2c | Accept |
| H2d | Accept |
| H3 | Accept |
Publisher’s Note: MDPI stays neutral with regard to jurisdictional claims in published maps and institutional affiliations. |
© 2022 by the authors. Licensee MDPI, Basel, Switzerland. This article is an open access article distributed under the terms and conditions of the Creative Commons Attribution (CC BY) license (https://creativecommons.org/licenses/by/4.0/).
Share and Cite
Zhang, X.; Li, R.Y.M.; Sun, Z.; Li, X.; Samad, S.; Comite, U.; Matac, L.M. Supply Chain Integration and Its Impact on Operating Performance: Evidence from Chinese Online Companies. Sustainability 2022, 14, 14330. https://doi.org/10.3390/su142114330
Zhang X, Li RYM, Sun Z, Li X, Samad S, Comite U, Matac LM. Supply Chain Integration and Its Impact on Operating Performance: Evidence from Chinese Online Companies. Sustainability. 2022; 14(21):14330. https://doi.org/10.3390/su142114330
Chicago/Turabian StyleZhang, Xiaoyan, Rita Yi Man Li, Zhizhong Sun, Xin Li, Sarminah Samad, Ubaldo Comite, and Liviu Marian Matac. 2022. "Supply Chain Integration and Its Impact on Operating Performance: Evidence from Chinese Online Companies" Sustainability 14, no. 21: 14330. https://doi.org/10.3390/su142114330
APA StyleZhang, X., Li, R. Y. M., Sun, Z., Li, X., Samad, S., Comite, U., & Matac, L. M. (2022). Supply Chain Integration and Its Impact on Operating Performance: Evidence from Chinese Online Companies. Sustainability, 14(21), 14330. https://doi.org/10.3390/su142114330

