Forest Aboveground Biomass Estimation and Response to Climate Change Based on Remote Sensing Data
Abstract
:1. Introduction
2. Study Area
3. Data
3.1. Forest Inventory Data
3.2. Remote Sensing Data
3.3. Land Cover Data
3.4. Climate Data
4. Methods
4.1. AGB Estimation Combined with Spatial Interpolation
- (1)
- AGB modeling and estimation. The XGBoost models based on forest type were established and the optimal predictor variables were selected based on variable importance. The AGB and AGB residuals were then calculated for the entire study area. XGBoost defines two measures for variable importance that can be used to rank variables: the first measure is calculated by the fractional contribution (Gain) of each feature to the model based on the total gain of this variable’s splits; the second measure is calculated by the relative number (Frequency) of times a feature be used in the trees [51]. More important predictor variables have higher Gain and Frequency percentages. The method of variable selection was derived from the study of Li et al. [34].
- (2)
- Spatial analysis and spatial interpolation of AGB residuals. First, the Global Moran’s Index was used to evaluate the spatial autocorrelation of AGB residuals. Then, if the spatial autocorrelation of AGB residuals was determined, the spatial interpolation of AGB residuals was performed by Kriging interpolation. The Global Moran’s Index can measure the spatial distribution pattern of AGB residuals, i.e., clustered, dispersed, or random [52]. This index and both the z-score and p-value can be used to evaluate the significance of that spatial distribution pattern. In general, the Global Moran’s Index value is bounded by −1.0 and 1.0, i.e., a positive correlation exists if the value is greater than zero, a negative correlation exists if the value is less than zero, and no correlation exists if the value equals zero. Kriging interpolation, which is a geostatistical method of interpolation, assumes that the distance or direction between sample points reflects a spatial correlation that can be used to explain variation in the surface; it fits a mathematical function to a specified number of measured points, or all measured points within a specified radius, to determine the value for each point [53,54]. Moreover, Kriging interpolation has the capacity to produce a prediction surface as well as some measure of the certainty or accuracy of the predictions [54]. Ordinary Kriging, which is the most common and extensively used Kriging method, was used to predict the AGB residual maps for different forest types in this study.
- (3)
- Correction and evaluation of the AGB map. The final AGB maps were obtained by correcting the original predicted AGB maps with the AGB residual interpolation maps, then evaluating the accuracy of the corrected maps.
4.2. Response of AGB to Climate Change
4.3. Evaluation Criteria
5. Results
5.1. Evaluation of AGB Estimation
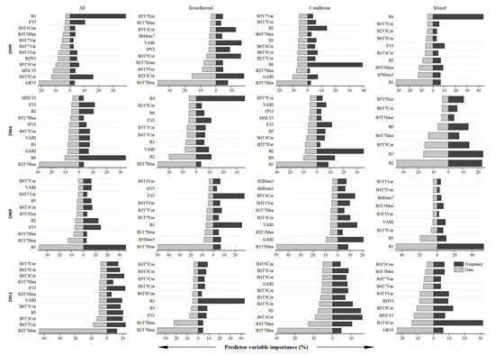
5.1.1. Variable Selection
5.1.2. Evaluation of XGBoost Models
5.1.3. Spatial Interpolation of AGB Residuals
5.2. AGB Mapping
5.3. Response of AGB to Climate Change
5.3.1. Model Construction
5.3.2. AGB Estimation under Climate Scenarios
6. Discussion
6.1. Methods of Improving AGB Estimation
6.2. Impact of Climate Change on Forests
7. Conclusions
Supplementary Materials
Author Contributions
Funding
Acknowledgments
Conflicts of Interest
Appendix A
| Tree Species/Groups | Wood Density (p) | Tree Species/Groups | Wood Density (p) |
|---|---|---|---|
| Abies | 0.3464 | Pinus massoniana | 0.4476 |
| Betula | 0.4848 | Pinus tabulaeformis | 0.4243 |
| Cinnamomum | 0.4600 | Pinus taiwanensis | 0.4510 |
| Cryptomeria | 0.3493 | Pinus yunnanensis | 0.3499 |
| Cunninghamia lanceolata | 0.3098 | Populus | 0.4177 |
| Cupressus | 0.5970 | Quercus | 0.5762 |
| Eucalyptus | 0.5820 | Robinia pseudoacacia | 0.6740 |
| Fraxinus mandshurica | 0.4640 | Salix | 0.4410 |
| Larix | 0.4059 | Schima superba | 0.5563 |
| Liquidambar formosana | 0.5035 | Tilia | 0.3200 |
| Paulownia | 0.2370 | Ulmus | 0.4580 |
| Picea | 0.3730 | Other conifers | 0.3940 |
| Pinus armandii | 0.3930 | Other pines | 0.4500 |
| Pinus densata | 0.4720 | Other hardwood broadleaves | 0.6250 |
| Pinus elliottii | 0.4118 | Other softwood broadleaves | 0.4430 |
| Year | Forest Type | Min | Max | Mean | Standard Deviation | RMSE | RMSE% | ||||||
|---|---|---|---|---|---|---|---|---|---|---|---|---|---|
| AGB Ranges (Mg/ha) | |||||||||||||
| <30 | 30–60 | 60–100 | >100 | <30 | 30–60 | 60–100 | >100 | ||||||
| 1999 | All | 1.95 | 121.25 | 39.25 | 13.61 | 20.16 | 12.21 | 26.88 | 64.85 | 113.38 | 29.02 | 35.97 | 46.79 |
| Broadleaved | 3.75 | 143.74 | 36.34 | 22.62 | 22.77 | 17.92 | 25.69 | 59.81 | 189.66 | 41.86 | 33.67 | 40.59 | |
| Coniferous | 17.05 | 72.31 | 36.92 | 7.15 | 12.03 | 8.07 | 25.59 | 47.48 | 51.75 | 19.45 | 35.24 | 42.41 | |
| Mixed | 16.90 | 84.16 | 45.38 | 12.43 | 20.37 | 11.56 | 21.25 | 38.36 | 95.42 | 26.88 | 28.05 | 33.69 | |
| Combined | 3.75 | 143.74 | 37.74 | 16.09 | 18.55 | 11.69 | 24.68 | 55.92 | 104.29 | 27.79 | 33.02 | 40.34 | |
| 2004 | All | 11.26 | 131.11 | 43.42 | 14.91 | 15.81 | 12.10 | 22.72 | 64.69 | 83.07 | 29.20 | 30.50 | 46.11 |
| Broadleaved | 4.60 | 140.01 | 40.93 | 23.43 | 23.39 | 15.37 | 21.75 | 59.05 | 163.31 | 36.34 | 28.89 | 40.55 | |
| Coniferous | 15.40 | 100.00 | 41.82 | 10.50 | 15.48 | 9.62 | 21.70 | 50.67 | 65.69 | 23.46 | 29.19 | 40.34 | |
| Mixed | 20.19 | 97.20 | 45.63 | 14.09 | 17.62 | 12.09 | 19.39 | 63.06 | 76.06 | 28.94 | 26.47 | 43.70 | |
| Combined | 4.60 | 140.01 | 41.94 | 17.34 | 14.63 | 11.71 | 21.83 | 57.31 | 76.87 | 28.26 | 29.30 | 40.85 | |
| 2009 | All | 10.84 | 130.81 | 45.99 | 16.67 | 23.55 | 13.87 | 22.02 | 55.46 | 125.27 | 32.42 | 29.46 | 41.08 |
| Broadleaved | 4.45 | 138.98 | 42.74 | 25.15 | 24.91 | 17.79 | 20.13 | 55.95 | 183.94 | 41.51 | 25.89 | 39.31 | |
| Coniferous | 20.90 | 98.45 | 44.96 | 12.98 | 17.26 | 11.02 | 15.34 | 40.00 | 72.45 | 25.99 | 21.18 | 34.12 | |
| Mixed | 17.09 | 103.07 | 50.02 | 14.59 | 20.83 | 13.45 | 20.38 | 53.32 | 89.69 | 30.61 | 26.80 | 40.34 | |
| Combined | 4.45 | 138.98 | 44.70 | 19.15 | 21.67 | 13.58 | 17.92 | 52.22 | 115.28 | 31.74 | 23.97 | 38.68 | |
| 2014 | All | 5.52 | 128.22 | 55.48 | 18.20 | 28.33 | 18.49 | 18.06 | 55.22 | 140.98 | 42.73 | 23.85 | 41.47 |
| Broadleaved | 6.02 | 152.87 | 53.94 | 25.29 | 30.17 | 19.59 | 22.36 | 52.48 | 184.91 | 45.73 | 28.81 | 37.46 | |
| Coniferous | 18.80 | 107.13 | 53.59 | 13.20 | 23.01 | 14.05 | 14.63 | 40.46 | 94.26 | 32.64 | 19.66 | 33.37 | |
| Mixed | 26.38 | 120.38 | 59.82 | 15.37 | 25.15 | 16.86 | 17.75 | 49.30 | 103.51 | 37.34 | 23.38 | 38.18 | |
| Combined | 6.02 | 152.87 | 54.51 | 19.35 | 27.21 | 16.20 | 18.06 | 48.75 | 135.42 | 37.43 | 23.86 | 36.61 | |
| Year | Forest Type | Min | Max | Mean | Standard Deviation | RMSE | RMSE% | ||||||
|---|---|---|---|---|---|---|---|---|---|---|---|---|---|
| AGB Ranges (Mg/ha) | |||||||||||||
| <30 | 30–60 | 60–100 | >100 | <30 | 30–60 | 60–100 | >100 | ||||||
| 1999 | All | 1.86 | 137.86 | 44.54 | 15.70 | 21.87 | 13.27 | 16.67 | 54.69 | 123.01 | 31.55 | 22.31 | 39.46 |
| Broadleaved | 1.68 | 207.30 | 43.84 | 30.36 | 23.46 | 20.68 | 15.53 | 23.21 | 195.42 | 48.31 | 20.36 | 15.75 | |
| Coniferous | 16.32 | 81.68 | 39.63 | 9.31 | 12.89 | 6.80 | 16.03 | 33.58 | 55.43 | 16.38 | 22.07 | 29.99 | |
| Mixed | 18.38 | 95.39 | 50.20 | 14.92 | 20.84 | 13.47 | 12.46 | 29.77 | 97.57 | 31.32 | 16.45 | 26.15 | |
| Combined | 1.68 | 207.30 | 42.65 | 21.29 | 19.24 | 12.60 | 15.07 | 25.56 | 108.18 | 29.95 | 20.17 | 18.44 | |
| 2004 | All | 10.28 | 158.91 | 47.53 | 18.85 | 22.45 | 12.76 | 14.04 | 45.34 | 117.97 | 30.80 | 18.85 | 32.32 |
| Broadleaved | 2.70 | 215.55 | 47.77 | 31.53 | 23.90 | 19.43 | 16.59 | 24.12 | 166.88 | 45.95 | 22.04 | 16.56 | |
| Coniferous | 15.17 | 129.46 | 47.23 | 13.83 | 17.78 | 10.74 | 11.38 | 33.87 | 75.45 | 26.20 | 15.31 | 26.97 | |
| Mixed | 19.66 | 117.78 | 49.22 | 16.95 | 18.59 | 12.38 | 11.57 | 44.16 | 80.29 | 29.62 | 15.79 | 30.60 | |
| Combined | 2.70 | 215.55 | 47.70 | 22.98 | 21.05 | 13.66 | 13.47 | 28.89 | 110.58 | 32.96 | 18.08 | 20.60 | |
| 2009 | All | 10.25 | 164.54 | 51.48 | 20.51 | 25.10 | 15.48 | 13.62 | 37.78 | 133.52 | 36.18 | 18.22 | 27.99 |
| Broadleaved | 4.19 | 209.61 | 52.38 | 34.30 | 26.97 | 21.97 | 19.65 | 18.32 | 199.17 | 51.26 | 25.28 | 12.87 | |
| Coniferous | 19.85 | 113.56 | 48.33 | 15.68 | 16.88 | 11.90 | 10.53 | 24.83 | 70.84 | 28.06 | 14.54 | 21.18 | |
| Mixed | 17.87 | 127.99 | 54.91 | 16.91 | 23.81 | 14.87 | 12.98 | 37.05 | 102.51 | 33.84 | 17.06 | 28.03 | |
| Combined | 4.19 | 209.61 | 50.79 | 25.16 | 22.89 | 15.74 | 14.37 | 23.20 | 121.78 | 36.79 | 19.23 | 17.18 | |
| 2014 | All | 5.13 | 150.91 | 58.09 | 18.84 | 28.89 | 17.47 | 14.26 | 44.47 | 143.78 | 40.38 | 18.82 | 33.40 |
| Broadleaved | 5.84 | 194.44 | 63.75 | 30.91 | 33.28 | 21.94 | 19.30 | 29.12 | 203.93 | 51.22 | 24.86 | 20.79 | |
| Coniferous | 14.62 | 131.37 | 58.75 | 15.78 | 24.41 | 16.03 | 8.57 | 25.60 | 100.00 | 37.23 | 11.52 | 21.11 | |
| Mixed | 22.25 | 138.87 | 60.10 | 16.95 | 26.24 | 15.47 | 14.67 | 33.73 | 107.98 | 34.26 | 19.33 | 26.13 | |
| Combined | 5.84 | 194.44 | 60.94 | 23.35 | 29.59 | 17.85 | 14.11 | 28.64 | 147.26 | 41.26 | 18.62 | 21.51 | |
References
- IPCC. Climate Change 2013 The Physical Science Basis, Working Group I Contribution to the Fifth Assessment Report of the Intergovernmental Panel on Climate Change; Cambridge University Press: Cambridge, UK, 2013; ISBN 978-1-107-05799-1. [Google Scholar]
- IPCC. Climate Change 2022 Mitigation of Climate Change, Working Group III Contribution to the Sixth Assessment Report of the Intergovernmental Panel on Climate Change; Cambridge University Press: Cambridge, UK, 2022; p. 1454. [Google Scholar]
- Allen, C.D.; Macalady, A.K.; Chenchouni, H.; Bachelet, D.; McDowell, N.; Vennetier, M.; Kitzberger, T.; Rigling, A.; Breshears, D.D.; Hogg, E.H.; et al. A Global Overview of Drought and Heat-induced Tree Mortality Reveals Emerging Climate Change Risks for Forests. For. Ecol. Manag. 2010, 259, 660–684. [Google Scholar] [CrossRef] [Green Version]
- Buchmann, N. Plant Ecophysiology and Forest Response to Global Change. Tree Physiol. 2002, 22, 1177–1184. [Google Scholar] [CrossRef] [PubMed] [Green Version]
- Simpson, N.P.; Mach, K.J.; Constable, A.; Hess, J.; Hogarth, R.; Howden, M.; Lawrence, J.; Lempert, R.J.; Muccione, V.; Mackey, B.; et al. A framework for complex climate change risk assessment. One Earth 2021, 4, 489–501. [Google Scholar] [CrossRef]
- Fang, J.; Chen, A.; Peng, C.; Zhao, S.; Ci, L. Changes in Forest Biomass Carbon Storage in China Between 1949 and 1998. Science 2001, 292, 2320–2322. [Google Scholar] [CrossRef] [PubMed]
- Costanza, R.; D’Arge, R.; de Groot, R.; Farber, S.; Grasso, M.; Hannon, B.; Limburg, K.; Naeem, S.; O’Neill, R.V.; Paruelo, J.; et al. The Value of the World’s Ecosystem Services and Natural Capital. Nature 1997, 387, 253–260. [Google Scholar] [CrossRef]
- Sun, W.; Liu, X. Review on carbon storage estimation of forest ecosystem and applications in China. For. Ecosyst. 2020, 7, 4. [Google Scholar] [CrossRef] [Green Version]
- Acharya, R.P.; Maraseni, T.; Cockfield, G. Global trend of forest ecosystem services valuation—An analysis of publications. Ecosyst. Serv. 2019, 39, 100979. [Google Scholar] [CrossRef]
- Brown, S. Measuring Carbon in Forests: Current Status and Future Challenges. Environ. Pollut. 2002, 116, 363–372. [Google Scholar] [CrossRef]
- Gower, S.T. Patterns and Mechanisms of The Forest Carbon Cycl. Annu. Rev. Environ. Resour. 2003, 28, 169–204. [Google Scholar] [CrossRef]
- Kauppi, P.E.; Mielikainen, K.; Kuusela, K. Biomass and Carbon Budget of European Forests, 1971 to 1990. Science 1992, 256, 70–74. [Google Scholar] [CrossRef]
- Pan, Y.; Birdsey, R.A.; Fang, J.; Houghton, R.; Kauppi, P.E.; Kurz, W.A.; Phillips, O.L.; Shvidenko, A.; Lewis, S.L.; Canadell, J.G.; et al. A Large and Persistent Carbon Sink in the World’s Forests. Science 2011, 333, 988–993. [Google Scholar] [CrossRef] [PubMed] [Green Version]
- Morgan, M.R. Climate Change 2001; Cambridge University Press: Cambridge, UK, 2004; Volume 59, ISBN 978-0-521-88009-1. [Google Scholar]
- Bonan, G.B. Forests and Climate Change: Forcings, Feedbacks, and the Climate Benefits of Forests. Science 2008, 320, 1444–1449. [Google Scholar] [CrossRef] [PubMed] [Green Version]
- Myneni, R.B.; Dong, J.; Tucker, C.J.; Kaufmann, R.K.; Kauppi, P.E.; Liski, J.; Zhou, L.; Alexeyev, V.; Hughes, M.K. A Large Carbon Sink in the Woody Biomass of Northern Forests. Proc. Natl. Acad. Sci. USA 2001, 98, 14784–14789. [Google Scholar] [CrossRef] [PubMed] [Green Version]
- Dixon, R.K.; Solomon, A.M.; Brown, S.; Houghton, R.A.; Trexier, M.C.; Wisniewski, J. Carbon Pools and Flux of Global Forest Ecosystems. Science 1994, 263, 185–190. [Google Scholar] [CrossRef] [PubMed]
- Fang, J.; Brown, S.; Tang, Y.; Nabuurs, G.-J.; Wang, X.; Shen, H. Overestimated Biomass Carbon Pools of the Northern mid- and High Latitude Forests. Clim. Change 2006, 74, 355–368. [Google Scholar] [CrossRef]
- Houghton, R.A. Balancing the Global Carbon Budget. Annu. Rev. Earth Planet. Sci. 2007, 35, 313–347. [Google Scholar] [CrossRef] [Green Version]
- Brown, S.; Sathaye, J.; Cannell, M.; Kauppi, P.E. Mitigation of Carbon Emissions to the Atmosphere by Forest Management. Commonw. For. Rev. 1996, 75, 80–91, 109, 111–112. [Google Scholar]
- Lu, D.; Chen, Q.; Wang, G.; Liu, L.; Li, G.; Moran, E. A survey of remote sensing-based aboveground biomass estimation methods in forest ecosystems. Int. J. Digit. Earth 2016, 9, 63–105. [Google Scholar] [CrossRef]
- Li, C.; Li, Y.; Li, M. Improving Forest Aboveground Biomass (AGB) Estimation by Incorporating Crown Density and Using Landsat 8 OLI Images of a Subtropical Forest in Western Hunan in Central China. Forests 2019, 10, 104. [Google Scholar] [CrossRef] [Green Version]
- West, P.W. Tree and Forest Measurement, 3rd ed.; Springer: Berlin, Germany, 2015; ISBN 978-3-319-14707-9. [Google Scholar]
- Crosby, M.K.; Matney, T.G.; Schultz, E.B.; Evans, D.L.; Grebner, D.L.; Londo, H.A.; Rodgers, J.C.; Collins, C.A. Consequences of Landsat Image Strata Classification Errors on Bias and Variance of Inventory Estimates: A Forest Inventory Case Study. IEEE J. Sel. Top. Appl. Earth Obs. Remote Sens. 2017, 10, 243–251. [Google Scholar] [CrossRef]
- Li, D.; Hu, Y.; Liu, S. General Review on Remote Sensing-based Biomass Estimation. Geomat. Inf. Sci. Wuhan Univ. 2012, 37, 631–635. [Google Scholar]
- Galidaki, G.; Zianis, D.; Gitas, I.; Radoglou, K.; Karathanassi, V.; Tsakiri–Strati, M.; Woodhouse, I.; Mallinis, G. Vegetation Biomass Estimation with Remote Sensing: Focus on Forest and Other Wooded Land Over the Mediterranean Ecosystem. Int. J. Remote Sens. 2017, 38, 1940–1966. [Google Scholar] [CrossRef]
- Lu, D. The Potential and Challenge of Remote Sensing-based Biomass Estimation. Int. J. Remote Sens. 2006, 27, 1297–1328. [Google Scholar] [CrossRef]
- Ali, I.; Greifeneder, F.; Stamenkovic, J.; Neumann, M.; Notarnicola, C. Review of Machine Learning Approaches for Biomass and Soil Moisture Retrievals from Remote Sensing Data. Remote Sens. 2015, 7, 16398–16421. [Google Scholar] [CrossRef] [Green Version]
- Cao, L.; Coops, N.C.; Innes, J.L.; Sheppard, S.R.J.; Fu, L.; Ruan, H.; She, G. Estimation of Forest Biomass Dynamics in Subtropical Forests Using Multi-temporal Airborne LiDAR Data. Remote Sens. Environ. 2016, 178, 158–171. [Google Scholar] [CrossRef]
- Deng, S.; Katoh, M.; Guan, Q.; Yin, N.; Li, M. Estimating Forest Aboveground Biomass by Combining ALOS PALSAR and WorldView-2 Data: A Case Study at Purple Mountain National Park, Nanjing, China. Remote Sens. 2014, 6, 7878–7910. [Google Scholar] [CrossRef] [Green Version]
- Li, Y.; Li, M.; Li, C.; Liu, Z. Forest Aboveground Biomass Estimation Using Landsat 8 and Sentinel-1A Data with Machine Learning Algorithms. Sci. Rep. 2020, 10, 9952. [Google Scholar] [CrossRef]
- Qi, W.; Saarela, S.; Armston, J.; Ståhl, G.; Dubayah, R. Forest biomass estimation over three distinct forest types using TanDEM-X InSAR data and simulated GEDI lidar data. Remote Sens. Environ. 2019, 232, 111283. [Google Scholar] [CrossRef]
- Xu, D.; Wang, H.; Xu, W.; Luan, Z.; Xu, X. LiDAR applications to estimate forest biomass at individual tree scale: Opportunities, challenges and future perspectives. Forests 2021, 12, 550. [Google Scholar] [CrossRef]
- Li, Y.; Li, C.; Li, M.; Liu, Z. Influence of Variable Selection and Forest Type on Forest Aboveground Biomass Estimation Using Machine Learning Algorithms. Forests 2019, 10, 1073. [Google Scholar] [CrossRef] [Green Version]
- Loveland, T.R.; Irons, J.R. Landsat 8: The plans, the reality, and the legacy. Remote Sens. Environ. 2016, 185, 1–6. [Google Scholar] [CrossRef] [Green Version]
- Roy, D.P.; Wulder, M.A.; Loveland, T.R.; Woodcock, C.E.; Allen, R.G.; Anderson, M.C.; Helder, D.; Irons, J.R.; Johnson, D.M.; Kennedy, R.; et al. Landsat-8: Science and product vision for terrestrial global change research. Remote Sens. Environ. 2014, 145, 154–172. [Google Scholar] [CrossRef]
- Zhang, X.; Ni-meister, W. Remote Sensing of Forest Biomass. In Biophysical Applications of Satellite Remote Sensing; Springer: Berlin, Germany, 2014; pp. 63–98. ISBN 9783642250477. [Google Scholar]
- Yao, Y.; Piao, S.; Wang, T. Future biomass carbon sequestration capacity of Chinese forests. Sci. Bull. 2018, 63, 1108–1117. [Google Scholar] [CrossRef] [Green Version]
- Zhang, Y.; Liang, S.; Yang, L. A Review of Regional and Global Gridded Forest Biomass Datasets. Remote Sens. 2019, 11, 2744. [Google Scholar] [CrossRef] [Green Version]
- Wang, G.; Zhang, M.; Gertner, G.Z.; Oyana, T.; McRoberts, R.E.; Ge, H. Uncertainties of mapping aboveground forest carbon due to plot locations using national forest inventory plot and remotely sensed data. Scand. J. For. Res. 2011, 26, 360–373. [Google Scholar] [CrossRef]
- Zhu, J.; Huang, Z.; Sun, H.; Wang, G. Mapping Forest Ecosystem Biomass Density for Xiangjiang River Basin by Combining Plot and Remote Sensing Data and Comparing Spatial Extrapolation Methods. Remote Sens. 2017, 9, 241. [Google Scholar] [CrossRef] [Green Version]
- Lei, X.D.; Tang, M.P.; Lu, Y.C.; Hong, L.X.; Tian, D.L. Forest Inventory in China: Status and Challenges. Int. For. Rev. 2009, 11, 52–63. [Google Scholar] [CrossRef]
- Xie, X.; Wang, Q.; Dai, L.; Su, D.; Wang, X.; Qi, G.; Ye, Y. Application of China’s National Forest Continuous Inventory Database. Environ. Manage. 2011, 48, 1095–1106. [Google Scholar] [CrossRef]
- Zeng, W. Developing One-variable Individual Tree Biomass Models based on Wood Density for 34 Tree Species in China. For. Res. Open Access 2018, 7, 1–5. [Google Scholar]
- Li, C.; Li, M.; Liu, J.; Li, Y.; Dai, Q. Comparative Analysis of Seasonal Landsat 8 Images for Forest Aboveground Biomass Estimation in a Subtropical Forest. Forests 2019, 11, 45. [Google Scholar] [CrossRef] [Green Version]
- Lu, D.; Batistella, M. Exploring TM image texture and its relationships with biomass estimation in Rondônia, Brazilian Amazon. Acta Amaz. 2005, 35, 249–257. [Google Scholar] [CrossRef]
- ESA Land Cover CCI Product User Guide. Available online: http://maps.elie.ucl.ac.be/CCI/viewer/download/ESACCI-LC-Ph2-PUGv2_2.0.pdf (accessed on 10 April 2017).
- Li, Y.; Li, M.; Li, C.; Liu, Z. Optimized Maxent Model Predictions of Climate Change Impacts on the Suitable Distribution of Cunninghamia Lanceolata in China. Forests 2020, 11, 302. [Google Scholar] [CrossRef] [Green Version]
- Gao, X.; Wang, M.; Giorgi, F. Climate Change over China in the 21st Century as Simulated by BCC_CSM1.1-RegCM4.0. Atmos. Ocean. Sci. Lett. 2013, 6, 381–386. [Google Scholar]
- Chen, T.; Guestrin, C. XGBoost: A Scalable Tree Boosting System. In Proceedings of the 22nd ACM SIGKDD International Conference on Knowledge Discovery and Data Mining, San Francisco, CA, USA, 13–17 August 2016; ACM: New York, NY, USA, 2016; pp. 785–794. [Google Scholar]
- Chen, T.; He, T.; Benesty, M. Xgboost: eXtreme Gradient Boosting; R Package Version 0.4-2; R Foundation For Statistical Computing: Vienna, Austria, 2015; pp. 1–4. [Google Scholar]
- ESRI ArcGIS Help 10.2: Spatial Autocorrelation (Global Moran’s I) (Spatial Statistics). Available online: https://resources.arcgis.com/en/help/main/10.1/index.html#/na/005p0000000n000000/ (accessed on 18 April 2013).
- Oliver, M.A.; Webster, R. Kriging: A Method of Interpolation for Geographical Information Systems. Int. J. Geogr. Inf. Syst. 1990, 4, 313–332. [Google Scholar] [CrossRef]
- Burrough, P.A. Principles of Geographical Information Systems for Land Ressources Assessment; Oxford University Press: Oxford, UK, 1986. [Google Scholar]
- Bolón-Canedo, V.; Sánchez-Maroño, N.; Alonso-Betanzos, A. Feature Selection for High-dimensional Data. Prog. Artif. Intell. 2016, 5, 65–75. [Google Scholar] [CrossRef]
- Kelsey, K.; Neff, J. Estimates of Aboveground Biomass from Texture Analysis of Landsat Imagery. Remote Sens. 2014, 6, 6407–6422. [Google Scholar] [CrossRef] [Green Version]
- Suganuma, H.; Abe, Y.; Taniguchi, M.; Tanouchi, H.; Utsugi, H.; Kojima, T.; Yamada, K. Stand Biomass Estimation Method by Canopy Coverage for Application to Remote Sensing in an Arid Area of Western Australia. For. Ecol. Manag. 2006, 222, 75–87. [Google Scholar] [CrossRef]
- He, H.; Zhang, W.; Zhang, S. A Novel Ensemble Method for Credit Scoring: Adaption of Different Imbalance Ratios. Expert Syst. Appl. 2018, 98, 105–117. [Google Scholar] [CrossRef]
- McBratney, A.B.; Webster, R. Choosing Functions for Semi-variograms of Soil Properties and Fitting Them to Sampling Estimates. J. Soil Sci. 1986, 37, 617–639. [Google Scholar] [CrossRef]
- ESRI ArcGIS Help 10.2: What Is Geostatistics? Available online: https://resources.arcgis.com/en/help/main/10.2/index.html#/na/003100000001000000/ (accessed on 7 March 2014).
- Hoffimann, J.; Zortea, M.; de Carvalho, B.; Zadrozny, B. Geostatistical Learning: Challenges and Opportunities. Front. Appl. Math. Stat. 2021, 7, 689393. [Google Scholar] [CrossRef]
- Zakeri, F.; Mariethoz, G. A review of geostatistical simulation models applied to satellite remote sensing: Methods and applications. Remote Sens. Environ. 2021, 259, 112381. [Google Scholar] [CrossRef]
- ESRI ArcGIS Help 10.1: How Kriging Works. Available online: http://resources.arcgis.com/EN/HELP/MAIN/10.1/index.html#//009z00000076000000 (accessed on 10 April 2014).
- He, X. Multivariate Statistical Analysis, 5th ed.; China Renmin University Press: Beijing, China, 2019; ISBN 9787300268583. [Google Scholar]
- Chen, J.; Li, K. Theory and Application of Nonparametric Spatial Econometric Models; Economic Science Press: Beijing, China, 2018; ISBN 9787514188134. [Google Scholar]
- Stelmaszczuk-Górska, M.; Rodriguez-Veiga, P.; Ackermann, N.; Thiel, C.; Balzter, H.; Schmullius, C. Non-Parametric Retrieval of Aboveground Biomass in Siberian Boreal Forests with ALOS PALSAR Interferometric Coherence and Backscatter Intensity. J. Imaging 2015, 2, 1. [Google Scholar] [CrossRef] [Green Version]
- Mutanga, O.; Skidmore, A.K. Narrow Band Vegetation Indices Overcome the Saturation Problem in Biomass Estimation. Int. J. Remote Sens. 2004, 25, 3999–4014. [Google Scholar] [CrossRef]
- Steininger, M.K. Satellite Estimation of Tropical Secondary Forest Above-ground Biomass: Data from Brazil and Bolivia. Int. J. Remote Sens. 2000, 21, 1139–1157. [Google Scholar] [CrossRef]
- Banskota, A.; Kayastha, N.; Falkowski, M.J.; Wulder, M.A.; Froese, R.E.; White, J.C. Forest Monitoring Using Landsat Time Series Data: A Review. Can. J. Remote Sens. 2014, 40, 362–384. [Google Scholar] [CrossRef]
- Moghaddam, M.; Dungan, J.L.; Acker, S. Forest Variable Estimation from Fusion of SAR and Multispectral Optical Data. IEEE Trans. Geosci. Remote Sens. 2002, 40, 2176–2187. [Google Scholar] [CrossRef]
- Shen, W.; Li, M.; Huang, C.; Tao, X.; Wei, A. Annual forest aboveground biomass changes mapped using ICESat/GLAS measurements, historical inventory data, and time-series optical and radar imagery for Guangdong province, China. Agric. For. Meteorol. 2018, 259, 23–38. [Google Scholar] [CrossRef] [Green Version]
- Parmesan, C.; Yohe, G. A Globally Coherent Fingerprint of Climate Change Impacts Across Natural Systems. Nature 2003, 421, 37–42. [Google Scholar] [CrossRef]
- Thomas, C.D.; Cameron, A.; Green, R.E.; Bakkenes, M.; Beaumont, L.J.; Collingham, Y.C.; Erasmus, B.F.N.; de Siqueira, M.F.; Grainger, A.; Hannah, L.; et al. Extinction Risk from Climate Change. Nature 2004, 427, 145–148. [Google Scholar] [CrossRef] [Green Version]
- Lenoir, J.; Gegout, J.C.; Marquet, P.A.; de Ruffray, P.; Brisse, H. A Significant Upward Shift in Plant Species Optimum Elevation During the 20th Century. Science 2008, 320, 1768–1771. [Google Scholar] [CrossRef]
- Boisvenue, C.; Running, S.W. Impacts of Climate Change on Natural Forest Productivity—Evidence Since the Middle of the 20th Century. Glob. Chang. Biol. 2006, 12, 862–882. [Google Scholar] [CrossRef]
- Dai, E.; Wu, Z.; Ge, Q.; Xi, W.; Wang, X. Predicting the responses of forest distribution and aboveground biomass to climate change under RCP scenarios in southern China. Glob. Chang. Biol. 2016, 22, 3642–3661. [Google Scholar] [CrossRef] [PubMed]
- Fearnside, P.M. Global Warming and Tropical Land-use Change: Greenhouse Gas Emissions from Biomass Burning, Decomposition and Soils in Forest Conversion, Shifting Cultivation and Secondary Vegetation. Clim. Chang. 2000, 46, 115–159. [Google Scholar] [CrossRef]
- Nunes, L.J.R.; Meireles, C.I.R.; Gomes, C.J.P.; Ribeiro, N.M.C.A. Forest contribution to climate change mitigation: Management oriented to carbon capture and storage. Climate 2020, 8, 21. [Google Scholar] [CrossRef]
- Richardson, A.D.; Keenan, T.F.; Migliavacca, M.; Ryu, Y.; Sonnentag, O.; Toomey, M. Climate Change, Phenology, and Phenological Control of Vegetation Feedbacks to the Climate System. Agric. For. Meteorol. 2013, 169, 156–173. [Google Scholar] [CrossRef]
- Thom, D.; Rammer, W.; Dirnböck, T.; Müller, J.; Kobler, J.; Katzensteiner, K.; Helm, N.; Seidl, R. The Impacts of Climate Change and Disturbance on Spatio-temporal Trajectories of Biodiversity in a Temperate Forest Landscape. J. Appl. Ecol. 2017, 54, 28–38. [Google Scholar] [CrossRef] [Green Version]
- Ye, G.; You, L.; Lu, C.; Lin, W.; Luo, M.; Tan, F. Global Climate Change and Adaptive Management of Forest Ecosystem. World For. Res. 2015, 28, 1–6. [Google Scholar]
- Mitchard, E.T.A. The tropical forest carbon cycle and climate change. Nature 2018, 559, 527–534. [Google Scholar] [CrossRef] [Green Version]
- Medlyn, B.E.; Duursma, R.A.; Zeppel, M.J.B. Forest Productivity Under Climate Change: A Checklist for Evaluating Model Studies. WIREs Clim. Chang. 2011, 2, 332–355. [Google Scholar] [CrossRef]
- Alig, R.J.; Adams, D.M.; McCarl, B.A. Projecting Impacts of Global Climate Change on the US Forest and Agriculture Sectors and Carbon Budgets. For. Ecol. Manag. 2002, 169, 3–14. [Google Scholar] [CrossRef]
- Zhu, J.; Hou, Z.; Zhang, Z.; Luo, Y.; Zhang, X. Climate Change and Forest Ecosystem: Impacts, Vulnerability and Adaptation. Sci. Silvae Sin. 2007, 43, 138–144. [Google Scholar]
- Nunes, L.J.R.; Meireles, C.I.R.; Pinto Gomes, C.J.; Almeida Ribeiro, N.M.C. Forest Management and Climate Change Mitigation: A Review on Carbon Cycle Flow Models for the Sustainability of Resources. Sustainability 2019, 11, 5276. [Google Scholar] [CrossRef] [Green Version]
- Kimball, B.A.; Mauney, J.R.; Nakayama, F.S.; Idso, S.B. Effects of Increasing Atmospheric CO2 on Vegetation. Vegetatio 1993, 104–105, 65–75. [Google Scholar] [CrossRef]
- Morison, J.; Gifford, R. Plant Growth and Water Use with Limited Water Supply in High CO2 Concentrations. I. Leaf Area, Water Use and Transpiration. Funct. Plant Biol. 1984, 11, 361. [Google Scholar] [CrossRef]
- Surano, K.A.; Daley, P.F.; Houpis, J.L.J.; Shinn, J.H.; Helms, J.A.; Palassou, R.J.; Costella, M.P. Growth and Physiological Responses of Pinus Ponderosa Dougl ex P. Laws. to Long-term Elevated CO2 Concentrations. Tree Physiol. 1986, 2, 243–259. [Google Scholar] [CrossRef]
- Lincoln, T.; Eduardo, Z. Plant Physiology, 5th ed.; Science Press: Beijing, China, 2010; ISBN 9787030440402. [Google Scholar]
- Díaz, S.; Grime, J.P.; Harris, J.; McPherson, E. Evidence of a Feedback Mechanism Limiting Plant Response to Elevated Carbon Dioxide. Nature 1993, 364, 616–617. [Google Scholar] [CrossRef]
- Rogers, H.H.; Runion, G.B.; Krupa, S.V. Plant Responses to Atmospheric CO2 Enrichment with Emphasis on Roots and the Rhizosphere. Environ. Pollut. 1994, 83, 155–189. [Google Scholar] [CrossRef]
- Zhang, K.; Yao, L.; Meng, J.; Tao, J. Maxent Modeling for Predicting the Potential Geographical Distribution of Two Peony Species Under Climate Change. Sci. Total Environ. 2018, 634, 1326–1334. [Google Scholar] [CrossRef]
- Wilsey, B.J. Plant Responses to Elevated Atmospheric CO2 among Terrestrial Biomes. Oikos 1996, 76, 201. [Google Scholar] [CrossRef]
- Vaganov, E.A.; Hughes, M.K.; Kirdyanov, A.V.; Schweingruber, F.H.; Silkin, P.P. Influence of Snowfall and Melt Timing on Tree Growth in Subarctic Eurasia. Nature 1999, 400, 149–151. [Google Scholar] [CrossRef]
- Bell, G.; Collins, S. Adaptation, Extinction and Global Change. Evol. Appl. 2008, 1, 3–16. [Google Scholar] [CrossRef] [PubMed]
- Visser, M.E. Keeping Up with a Warming World; Assessing the Rate of Adaptation to Climate Change. Proc. R. Soc. B Biol. Sci. 2008, 275, 649–659. [Google Scholar] [CrossRef] [PubMed] [Green Version]
- Harsch, M.A.; HilleRisLambers, J. Climate Warming and Seasonal Precipitation Change Interact to Limit Species Distribution Shifts across Western North America. PLoS ONE 2016, 11, e0159184. [Google Scholar] [CrossRef] [PubMed] [Green Version]
- Lemmens, C.M.H.M.; Boeck, H.J.D.; Gielen, B.; Bossuyt, H.; Malchair, S.; Carnol, M.; Merckx, R.; Nijs, I.; Ceulemans, R. End-of-season Effects of Elevated Temperature on Ecophysiological Processes of Grassland Species at Different Species Richness Levels. Environ. Exp. Bot. 2006, 56, 245–254. [Google Scholar] [CrossRef]
- Luo, Y.; Chen, H.Y.H. Observations from old forests underestimate climate change effects on tree mortality. Nat. Commun. 2013, 4, 1655. [Google Scholar] [CrossRef] [Green Version]
- Zhu, K.; Zhang, J.; Niu, S.; Chu, C.; Luo, Y. Limits to growth of forest biomass carbon sink under climate change. Nat. Commun. 2018, 9, 2709. [Google Scholar] [CrossRef]
- Wang, W.J.; He, H.S.; Thompson, F.R.; Fraser, J.S.; Dijak, W.D. Changes in forest biomass and tree species distribution under climate change in the northeastern United States. Landsc. Ecol. 2017, 32, 1399–1413. [Google Scholar] [CrossRef]
- Chaste, E.; Girardin, M.P.; Kaplan, J.O.; Bergeron, Y.; Hély, C. Increases in heat-induced tree mortality could drive reductions of biomass resources in Canada’s managed boreal forest. Landsc. Ecol. 2019, 34, 403–426. [Google Scholar] [CrossRef]
- Payette, S.; Filion, L.; Delwaide, A.; Bégin, C. Reconstruction of Tree-line Vegetation Response to Long-term Climate Change. Nature 1989, 341, 429–432. [Google Scholar] [CrossRef]
- Pacifici, M.; Foden, W.B.; Visconti, P.; Watson, J.E.M.; Butchart, S.H.M.; Kovacs, K.M.; Scheffers, B.R.; Hole, D.G.; Martin, T.G.; Akçakaya, H.R.; et al. Assessing Species Vulnerability to Climate Change. Nat. Clim. Chang. 2015, 5, 215–224. [Google Scholar] [CrossRef]
- Rudel, T.K.; Coomes, O.T.; Moran, E.; Achard, F.; Angelsen, A.; Xu, J.; Lambin, E. Forest Transitions: Towards a Global Understanding of Land Use Change. Glob. Environ. Chang. 2005, 15, 23–31. [Google Scholar] [CrossRef]
- Titeux, N.; Henle, K.; Mihoub, J.-B.; Regos, A.; Geijzendorffer, I.R.; Cramer, W.; Verburg, P.H.; Brotons, L. Biodiversity Scenarios Neglect Future Land-use Changes. Glob. Chang. Biol. 2016, 22, 2505–2515. [Google Scholar] [CrossRef] [PubMed] [Green Version]
- Wang, X.; Chen, F.; Dong, Z. The Relative Role of Climatic and Human Factors in Desertification in Semiarid China. Glob. Environ. Chang. 2006, 16, 48–57. [Google Scholar] [CrossRef]
- Karl, T.R.; Trenberth, K.E. Modern Global Climate Change. Science 2003, 302, 1719–1723. [Google Scholar] [CrossRef] [PubMed] [Green Version]
- Kaufman, Y.J.; Tanre, D. Atmospherically resistant vegetation index (ARVI) for EOS-MODIS. IEEE Trans. Geosci. Remote Sens. 1992, 30, 261–270. [Google Scholar] [CrossRef]
- Tucker, C.J. Red and photographic infrared linear combinations for monitoring vegetation. Remote Sens. Environ. 1979, 8, 127–150. [Google Scholar] [CrossRef]
- Huete, A.; Didan, K.; Miura, T.; Rodriguez, E.; Gao, X.; Ferreira, L. Overview of the radiometric and biophysical performance of the MODIS vegetation indices. Remote Sens. Environ. 2002, 83, 195–213. [Google Scholar] [CrossRef]
- Gitelson, A.A.; Kaufman, Y.J.; Merzlyak, M.N. Use of a green channel in remote sensing of global vegetation from EOS-MODIS. Remote Sens. Environ. 1996, 58, 289–298. [Google Scholar] [CrossRef]
- Sripada, R.P.; Heiniger, R.W.; White, J.G.; Meijer, A.D. Aerial Color Infrared Photography for Determining Early In-Season Nitrogen Requirements in Corn. Agron. J. 2006, 98, 968. [Google Scholar] [CrossRef]
- Gitelson, A.A.; Merzlyak, M.N. Remote sensing of chlorophyll concentration in higher plant leaves. Adv. Sp. Res. 1998, 22, 689–692. [Google Scholar] [CrossRef]
- Kauth, R.J.; Thomas, G.S. The Tasselled Cap—A Graphic Description of the Spectral-Temporal Development of Agricultural Crops as Seen by LANDSAT. 1976, pp. 41–51. Available online: https://docs.lib.purdue.edu/lars_symp/159/ (accessed on 15 September 2022).
- Crippen, R. Calculating the vegetation index faster. Remote Sens. Environ. 1990, 34, 71–73. [Google Scholar] [CrossRef]
- Boegh, E.; Soegaard, H.; Broge, N.; Hasager, C.B.; Jensen, N.O.; Schelde, K.; Thomsen, A. Airborne multispectral data for quantifying leaf area index, nitrogen concentration, and photosynthetic efficiency in agriculture. Remote Sens. Environ. 2002, 81, 179–193. [Google Scholar] [CrossRef]
- Yang, Z.; Willis, P.; Mueller, R. Impact of Band-Ratio Enhanced AWIFS Image to Crop Classification Accuracy. J. Am. Chem. Soc. 2014, 136, 16132–16135. [Google Scholar]
- Chen, J.M. Evaluation of Vegetation Indices and a Modified Simple Ratio for Boreal Applications. Can. J. Remote Sens. 1996, 22, 229–242. [Google Scholar] [CrossRef]
- Goel, N.S.; Qin, W. Influences of canopy architecture on relationships between various vegetation indices and LAI and FPAR: A computer simulation. Remote Sens. Rev. 1994, 10, 309–347. [Google Scholar] [CrossRef]
- Rouse, W.; Haas, H.; Deering, W. Monitoring Vegetation Systems in the Great Plains with ERTS. In Third Earth Resources Technology Satellite-1 Symposium; NASA: Washington, DC, USA, 1973; pp. 309–317. [Google Scholar]
- Rondeaux, G.; Steven, M.; Baret, F. Optimization of soil-adjusted vegetation indices. Remote Sens. Environ. 1996, 55, 95–107. [Google Scholar] [CrossRef]
- Birth, G.S.; McVey, G.R. Measuring the Color of Growing Turf with a Reflectance Spectrophotometer1. Agron. J. 1968, 60, 640. [Google Scholar] [CrossRef]
- Huete, A. A soil-adjusted vegetation index (SAVI). Remote Sens. Environ. 1988, 25, 295–309. [Google Scholar] [CrossRef]
- Bannari, A.; Asalhi, H.; Teillet, P.M. Transformed difference vegetation index (TDVI) for vegetation cover mapping. In Proceedings of the IEEE International Geoscience and Remote Sensing Symposium, Toronto, ON, Canada, 24–28 June 2002; Volume 5, pp. 3053–3055. [Google Scholar]
- Gitelson, A.A.; Stark, R.; Grits, U.; Rundquist, D.; Kaufman, Y.; Derry, D. Vegetation and soil lines in visible spectral space: A concept and technique for remote estimation of vegetation fraction. Int. J. Remote Sens. 2002, 23, 2537–2562. [Google Scholar] [CrossRef]
- Robertson, G.P. GS+: GeoStatistics for the Environmental Sciences; Gamma Design Software: Plainwell, MI, USA, 2008. [Google Scholar]
- ESRI. ArcGIS Help 10.2: Cross Validation (Geostatisical Analyst) [EB/OL]. Available online: http://resources.arcgis.com/en/help/main/10.2/#/na/00300000000z000000/ (accessed on 7 March 2014).














| Forest Type | Standard of Division |
|---|---|
| Broadleaved | Pure broadleaved forest (single broad-leaved species stand volume ≥ 65%), Broadleaved mixed forest (broad-leaved species total stand volume ≥ 65%) |
| Coniferous | Pure coniferous forest (single coniferous species stand volume ≥ 65%), |
| Coniferous mixed forest (coniferous species total stand volume ≥ 65%) | |
| Mixed | Broadleaved-coniferous mixed forest (total stand volume of coniferous or broadleaved species accounting for 35–65%) |
| Year | Forest Type | Count | Minimum | Maximum | Mean | Standard Deviation | Percentage of Different AGB Ranges (%) | |||
|---|---|---|---|---|---|---|---|---|---|---|
| <30 | 30–60 | 60–100 | >100 | |||||||
| 1999 | All | 1685 | 0.420 | 246.188 | 33.196 | 27.760 | 60.276 | 28.011 | 8.674 | 3.039 |
| Broadleaved | 682 | 0.420 | 246.188 | 29.644 | 36.934 | 70.355 | 16.120 | 7.923 | 5.601 | |
| Coniferous | 793 | 7.397 | 123.115 | 33.897 | 16.569 | 56.808 | 35.211 | 7.277 | 0.704 | |
| Mixed | 210 | 18.466 | 135.054 | 42.060 | 24.441 | 40.708 | 39.381 | 16.372 | 3.540 | |
| 2004 | All | 1685 | 0.550 | 248.447 | 37.034 | 29.465 | 54.088 | 29.724 | 12.597 | 3.591 |
| Broadleaved | 683 | 0.550 | 248.447 | 33.781 | 37.055 | 65.027 | 18.169 | 10.929 | 5.874 | |
| Coniferous | 793 | 7.893 | 166.310 | 38.553 | 21.989 | 48.357 | 36.737 | 12.911 | 1.995 | |
| Mixed | 209 | 19.035 | 165.184 | 41.849 | 24.834 | 40.265 | 40.708 | 16.814 | 2.212 | |
| 2009 | All | 1685 | 0.607 | 265.575 | 39.112 | 31.238 | 51.547 | 30.829 | 12.541 | 5.083 |
| Broadleaved | 683 | 0.607 | 265.575 | 36.010 | 39.712 | 61.612 | 20.902 | 9.563 | 7.923 | |
| Coniferous | 794 | 7.561 | 164.652 | 39.711 | 21.709 | 46.714 | 37.207 | 13.498 | 2.582 | |
| Mixed | 208 | 18.917 | 208.682 | 46.898 | 28.943 | 37.168 | 38.938 | 18.584 | 5.310 | |
| 2014 | All | 1685 | 0.682 | 273.073 | 48.026 | 34.140 | 35.801 | 37.680 | 18.785 | 7.735 |
| Broadleaved | 685 | 0.682 | 273.073 | 46.459 | 42.713 | 47.131 | 26.639 | 15.027 | 11.202 | |
| Coniferous | 795 | 7.676 | 185.178 | 47.415 | 25.642 | 29.577 | 46.479 | 18.897 | 5.047 | |
| Mixed | 205 | 19.833 | 221.553 | 55.402 | 29.718 | 22.566 | 40.265 | 30.531 | 6.637 | |
| Variable Type | Variable Number | Variable Code | Description |
|---|---|---|---|
| Band Image | 6 | B1, B2, B3, B4, B5, B6 | Landsat Surface Reflectance Bands: B1, Blue band; B2, Green band; B3, Red band; B4, NIR band; B5, SWIR1 band; B6, SWIR2 band |
| Vegetation Index | 20 | ARVI DVI EVI GARI GDVI GNDVI GRVI GVI IPVI LAI MNLVI MSRVI NDVI NLVI OSAVI RDVI RVI SAVI TDVI VARI | Atmospherically Resistant Vegetation Index Difference Vegetation Index Enhanced Vegetation Index Green Atmospherically Resistant Index Green Difference Vegetation Index Green Normalized Difference Vegetation Index Green Ratio Vegetation Index Green Vegetation Index Infrared Percentage Vegetation Index Leaf Area Index Modified Non-Linear Vegetation Index Modified Simple Ratio Vegetation Index Normalized Difference Vegetation Index Non-Linear Vegetation Index Optimized Soil Adjusted Vegetation Index Renormalized Difference Vegetation Index Ratio Vegetation Index Soil Adjusted Vegetation Index Transformed Difference Vegetation Index Visible Atmospherically Resistant Index |
| Texture Image | 144 | BiTjCon, BiTjDis, BiTjMea, BiTjHom, BiTjSeM, BiTjEnt, BiTjVar, BiTjCor | Landsat bands texture measurement using gray-level co-occurrence matrix |
| Variable Code | Description | Unit |
|---|---|---|
| Bio01 | Annual Mean Temperature | °C |
| Bio02 | Mean Diurnal Range (Mean of monthly [max. temperature—min temperature]) | °C |
| Bio03 | Isothermality (Bio02/Bio07) (×100) | – |
| Bio04 | Temperature Seasonality (standard deviation × 100) | °C |
| Bio05 | Max Temperature of Warmest Month | °C |
| Bio06 | Min Temperature of Coldest Month | °C |
| Bio07 | Temperature Annual Range (Bio5–Bio6) | °C |
| Bio08 | Mean Temperature of Wettest Quarter | °C |
| Bio09 | Mean Temperature of Driest Quarter | °C |
| Bio10 | Mean Temperature of Warmest Quarter | °C |
| Bio11 | Mean Temperature of Coldest Quarter | °C |
| Bio12 | Annual Precipitation | mm |
| Bio13 | Precipitation of Wettest Month | mm |
| Bio14 | Precipitation of Driest Month | mm |
| Bio15 | Precipitation Seasonality (Coefficient of variation) | – |
| Bio16 | Precipitation of Wettest Quarter | mm |
| Bio17 | Precipitation of Driest Quarter | mm |
| Bio18 | Precipitation of Warmest Quarter | mm |
| Bio19 | Precipitation of Coldest Quarter | mm |
| Year | Forest Type | Moran’s Index | z-Score | p-Value | Year | Moran’s Index | z-Score | p-Value |
|---|---|---|---|---|---|---|---|---|
| 1999 | All | 0.422 | 2.001 | 0.043 | 2004 | 0.318 | 3.276 | 0.002 |
| Broadleaved | 0.126 | 2.179 | 0.028 | 0.166 | 2.095 | 0.034 | ||
| Coniferous | 0.159 | 3.284 | 0.002 | 0.145 | 2.512 | 0.012 | ||
| Mixed | 0.115 | 2.682 | 0.008 | 0.141 | 1.914 | 0.053 | ||
| 2009 | All | 0.401 | 2.951 | 0.004 | 2014 | 0.365 | 3.154 | 0.002 |
| Broadleaved | 0.173 | 2.105 | 0.033 | 0.133 | 2.049 | 0.038 | ||
| Coniferous | 0.142 | 3.340 | 0.002 | 0.167 | 4.709 | 0.000 | ||
| Mixed | 0.109 | 2.184 | 0.027 | 0.115 | 2.702 | 0.007 |
| Evaluation Criteria | AGB Ranges (Mg/ha) | |||
|---|---|---|---|---|
| <30 | 30–60 | 60–100 | >100 | |
| RMSE | 32.16 | 21.24 | 12.22 | 12.33 |
| RMSE% | 141.97 | 40.05 | 15.06 | 11.04 |
| Year | RCPs | Minimum | Maximum | Mean | Standard Deviation | Percentage of Different AGB Ranges (%) | |||||
|---|---|---|---|---|---|---|---|---|---|---|---|
| <140 | 140–160 | 160–180 | 180–200 | 200–220 | >220 | ||||||
| 2050s | 2.6 | 7.68 | 331.08 | 207.15 | 31.69 | 1.80 | 2.35 | 10.03 | 26.06 | 28.77 | 30.98 |
| 4.5 | 6.38 | 323.02 | 192.30 | 33.35 | 3.54 | 7.19 | 25.14 | 29.30 | 20.58 | 14.26 | |
| 6.0 | 5.42 | 325.46 | 180.24 | 31.51 | 2.34 | 14.46 | 29.09 | 25.47 | 16.45 | 12.19 | |
| 8.5 | 4.91 | 317.10 | 176.26 | 27.04 | 7.58 | 29.90 | 31.72 | 18.07 | 8.21 | 4.51 | |
| 2070s | 2.6 | 7.15 | 322.26 | 196.55 | 26.72 | 1.79 | 4.31 | 20.86 | 30.93 | 24.60 | 17.51 |
| 4.5 | 6.74 | 327.94 | 191.80 | 28.27 | 2.26 | 9.29 | 21.57 | 28.21 | 20.57 | 18.10 | |
| 6.0 | 5.08 | 310.34 | 175.08 | 33.82 | 4.97 | 15.06 | 26.17 | 26.57 | 16.44 | 10.80 | |
| 8.5 | 4.62 | 304.43 | 170.58 | 37.16 | 12.93 | 32.06 | 29.53 | 15.42 | 6.26 | 3.80 | |
Publisher’s Note: MDPI stays neutral with regard to jurisdictional claims in published maps and institutional affiliations. |
© 2022 by the authors. Licensee MDPI, Basel, Switzerland. This article is an open access article distributed under the terms and conditions of the Creative Commons Attribution (CC BY) license (https://creativecommons.org/licenses/by/4.0/).
Share and Cite
Li, Y.; Li, M.; Wang, Y. Forest Aboveground Biomass Estimation and Response to Climate Change Based on Remote Sensing Data. Sustainability 2022, 14, 14222. https://doi.org/10.3390/su142114222
Li Y, Li M, Wang Y. Forest Aboveground Biomass Estimation and Response to Climate Change Based on Remote Sensing Data. Sustainability. 2022; 14(21):14222. https://doi.org/10.3390/su142114222
Chicago/Turabian StyleLi, Yingchang, Mingyang Li, and Yuehui Wang. 2022. "Forest Aboveground Biomass Estimation and Response to Climate Change Based on Remote Sensing Data" Sustainability 14, no. 21: 14222. https://doi.org/10.3390/su142114222
APA StyleLi, Y., Li, M., & Wang, Y. (2022). Forest Aboveground Biomass Estimation and Response to Climate Change Based on Remote Sensing Data. Sustainability, 14(21), 14222. https://doi.org/10.3390/su142114222
