Socially Sustainable Accessibility to Goods and Services in the Metropolitan Area of Concepción, Chile, Post-COVID-19
Abstract
1. Introduction
2. Literature Review
2.1. Accessibillity
2.2. Dimension of Accessibility in the Analysis of Sustainable Urban Forms
2.3. Accessible Neighborhoods
2.4. Use of Geomarketing to Conduct Spatial Accessibility Analysis
Spatial Analysis: Delimitation of Market Areas
2.5. Geographic Information Systems as a Tool during a Sanitary Crisis
3. Materials and Methods
3.1. Case Study: Description of the Experimental Area
3.2. Data Used: Alphanumeric and Geographic Data
3.3. Geospatial Analysis: GIS Analysis through Geo Processes
3.4. Processes and Indicator Collection
4. Results
4.1. Delimitation of Real Accessibility Based on the Preferences Declared by Citizens
4.1.1. Real Accessibility to Goods and Services Pre-Pandemic
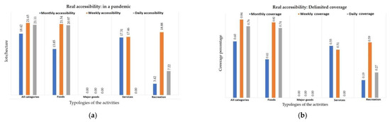
4.1.2. Real Accessibility to Goods and Services in the Pandemic
4.1.3. Comparative Synthesis between Both Periods
4.2. Delimitation of Areas of Spatial Satisfaction Declared by the Citizens
4.3. Comparative Synthesis between Periods
5. Discussion
5.1. Contributions to the Current Knowledge
5.2. Indicator of Real Accessibility
5.3. Indicator of Spatial Satisfaction
6. Conclusions
Author Contributions
Funding
Institutional Review Board Statement
Informed Consent Statement
Data Availability Statement
Acknowledgments
Conflicts of Interest
References
- Klarin, T. The Concept of Sustainable Development: From its Beginning to the Contemporary Issues. Zagreb Int. Rev. Econ. Bus. 2018, 21, 67–94. [Google Scholar] [CrossRef]
- Manioudis, M.; Meramveliotakis, G. Broad strokes towards a grand theory in the analysis of sustainable development: A return to the classical political economy. New Political Econ. 2022, 27, 866–878. [Google Scholar] [CrossRef]
- United Nations. World Urbanization Prospects: The 2018 Revision. Population Division of the United Nations Department of Economic and Social Affairs. UN DESA. 2018. Available online: https://www.un.org/development/desa/publications/2018-revision-of-world-urbanization-prospects.html (accessed on 20 November 2018).
- United Nations. World Population Prospects 2019: Highlights. 2019. Available online: https://population.un.org/wpp/ (accessed on 20 November 2018).
- Van Audenhove, F.J.; Korniichuk, O.; Dauby, L.; Pourbaix, J. The Future of Urban Mobility 2.0. Arthur D. Little UITP 2014. Available online: https://www.adlittle.com/en/insights/viewpoints/future-urban-mobility-20-%E2%80%93-full-study (accessed on 24 January 2021).
- Huang, S.-L.; Yeh, C.-T.; Chang, L.-F. The transition to an urbanizing world and the demand for natural resources. Curr. Opin. Environ. Sustain. 2010, 2, 136–143. [Google Scholar] [CrossRef]
- Rahman, M.T. Detection of Land Use/Land Cover Changes and Urban Sprawl in Al-Khobar, Saudi Arabia: An Analysis of Multi-Temporal Remote Sensing Data. ISPRS Int. J. Geo.-Inf. 2016, 5, 15. [Google Scholar] [CrossRef]
- Ewing, R.; Hamidi, S.; Grace, J.B. Urban sprawl as a risk factor in motor vehicle crashes. Urban Stud. 2016, 53, 247–266. [Google Scholar] [CrossRef]
- Koch, J.; Dorning, M.A.; Van Berkel, D.B.; Beck, S.M.; Sanchez, G.M.; Shashidharan, A.; Smart, L.S.; Zhang, Q.; Smith, J.W.; Meentemeyer, R.K. Modeling landowner interactions and development patterns at the urban fringe. Landsc. Urban Plan. 2019, 182, 101–113. [Google Scholar] [CrossRef]
- Nijkamp, P.; Kourtit, K. The “New Urban Europe”: Global Challenges and Local Responses in the Urban Century. Eur. Plan. Stud. 2013, 21, 291–315. [Google Scholar] [CrossRef]
- Hernandez, S. Introducción al urbanismo sustentable o Nuevo urbanismo. Espac. Públicos 2008, 23, 298–307. [Google Scholar]
- Zumelzu, A.; Doevendans, K. Modularity and sustainability: Eindenhoven as an example of pragmatic sustainable design. Urban Des. Int. 2016, 21, 93–110. [Google Scholar] [CrossRef]
- Mozos-Blanco, M.Á.; Pozo-Menéndez, E.; Arce, R.; Baucells-Aletà, N. The way to sustainable mobility. A comparative analysis of sustainable mobility plans in Spain. Transp. Policy 2018, 72, 45–54. [Google Scholar] [CrossRef]
- Nikitas, A.; Kougias, I.; Alyavina, E.; Tchouamou, E.N. How Can Autonomous and Connected Vehicles, Electromobility, BRT, Hyperloop, Shared Use Mobility and Mobility-As-A-Service Shape Transport Futures for the Context of Smart Cities? Urban Sci. 2017, 1, 36. [Google Scholar] [CrossRef]
- Shaheen, S.; Chan, N. Mobility and the Sharing Economy: Potential to Facilitate the First- and Last-Mile Public Transit Connections. Built Environ. 2016, 42, 573–588. [Google Scholar] [CrossRef]
- Standing, C.; Standing, S.; Biermann, S. The implications of the sharing economy for transport. Transp. Rev. 2018, 39, 226–242. [Google Scholar] [CrossRef]
- Sanz, A. Movilidad y Accesibilidad: Un Escollo Para la Sostenibilidad Urbana. La Construcción de la Ciudad Sostenible: Informe de Expertos Sobre Los Casos de Buenas Prácticas Españolas; Universidad Politécnica de Madrid: Madrid, Spain, 1997; Available online: http://habitat.aq.upm.es/cs/p3/a013.html (accessed on 20 December 2019).
- Samuelsson, K.; Barthel, S.; Colding, J.; Macassa, G.; Giusti, M. Urban nature as a source of resilience during social distancing amidst the coronavirus pandemic. OSF Preprints, 17 April 2020. Web. Available online: https://doi.org/10.31219/osf.io/3wx5a (accessed on 24 January 2021). [CrossRef]
- Zecca, C.; Gaglione, F.; Laing, R.; Gargiulo, C. Pedestrian routes and accessibility to urban services: An urban rhythmic analysis on people’s behaviour before and during the COVID-19. TeMA J. Land Use Mobil. Environ. 2020, 13, 241–256. [Google Scholar] [CrossRef]
- Astroza, S.; Tirachini, A.; Hurtubia, R.; Carrasco, J.A.; Guevara, A.; Munizaga, M.; Figueroa, M.; Torres, V. Mobility Changes, Teleworking, and Remote Communication during the COVID-19 Pandemic in Chile. Findings 2020, 13489. [Google Scholar] [CrossRef]
- Macioszek, E.; Kurek, A. Extracting Road Traffic Volume in the City before and during COVID-19 through Video Remote Sensing. Remote Sens. 2021, 13, 2329. [Google Scholar] [CrossRef]
- Tomtom Traffic Index. Available online: https://www.tomtom.com/en_gb/traffic-index/ranking/ (accessed on 31 January 2021).
- Rode, P.; Heeckt, C.; Da Cruz, N. National Transport Policy and Cities: Key Policy Interventions to Drive Compact and Connected Urban Growth; Coalition for Urban Transitions: London, UK; Washington, DC, USA, 2019. [Google Scholar]
- Talen, E. Sprawl Retrofit: Sustainable Urban Form in Unsustainable Places. Environ. Plan. B Plan. Des. 2011, 38, 952–978. [Google Scholar] [CrossRef]
- Zumelzu, A. Forma urbana y sostenibilidad: Pasado, presente y desafíos. Una revisión. AUS 2016, 20, 77–85. [Google Scholar] [CrossRef]
- Zumelzu, A.; Espinoza, D. Elaboración de Una Metodología Para Evaluar la Sostenibilidad en Barrios de Ciudades Intermedias. Revista 2019, 44, 80–94. Available online: http://www.revista180.cl/index.php/revista180/article/view/474/429 (accessed on 15 October 2020).
- Zumelzu, A.; Barría, T.; Barrientos-Trinanes, M. Efectos De La Forma Urbana Sobre La Accesibilidad Peatonal En Barrios Del Sur De Chile. Arquitetura Rev. 2019, 16, 1–22. [Google Scholar] [CrossRef]
- Zumelzu, A.; Herrmann-Lunecke, M. Mental Well-Being and the Influence of Place: Conceptual Approaches for the Built Environment for Planning Healthy and Walkable Cities. Sustainability 2021, 13, 6395. [Google Scholar] [CrossRef]
- Troncoso, J.C.; Duarte, C.M. De la accesibilidad a la funcionalidad del territorio: Una nueva dimensión para entender la estructura urbano-residencial de las áreas metropolitanas de Santiago (Chile) y Barcelona (España). Rev. Geogr. Norte Gd. 2010, 46, 5–27. [Google Scholar] [CrossRef][Green Version]
- Jirón, P.; Mansilla, P. Atravesando la espesura de la ciudad: Vida cotidiana y barreras de accesibilidad de los habitantes de la periferia urbana de Santiago de Chile. Rev. Geogr. Norte Gd. 2013, 56, 53–74. [Google Scholar] [CrossRef]
- Lucas, K. Transport and social exclusion: Where are we now? Transp. Policy 2012, 20, 105–113. [Google Scholar] [CrossRef]
- Núñez, F.; Albornoz, E.; León, J.; Zumelzu, A. Socially sustainable mobility: Strategic analysis to identify accessibility barriers. Sustain. Cities Soc. 2021, 76, 103420. [Google Scholar] [CrossRef]
- Ramírez, B. La Geografía Regional: Tradiciones y Perspectivas Contemporáneas. Investig. Geográficas 2007, 64, 11–133. Available online: http://www.scielo.org.mx/scielo.php?script=sci_arttext&pid=S0188-46112007000300008 (accessed on 20 September 2016).
- Moya-Gómez, B.; Salas-Olmedo, M.H.; García-Palomares, J.C.; Gutiérrez, J. Dynamic Accessibility using Big Data: The Role of the Changing Conditions of Network Congestion and Destination Attractiveness. Netw. Spat. Econ. 2017, 18, 273–290. [Google Scholar] [CrossRef]
- Hansen, W. How accessibility shapes land use. J. Am. Inst. Plan. 1959, 25, 73–76. [Google Scholar] [CrossRef]
- Handy, S.L.; Niemeier, D.A. Measuring Accessibility: An Exploration of Issues and Alternatives. Environ. Plan. A Econ. Space 1997, 29, 1175–1194. [Google Scholar] [CrossRef]
- Geurs, K.; Van Eck, R. Accessibility Measures: Review and Applications; RIVM Report 408505 006; National Institute of Public Health and the Environment: Bilthoven, The Netherlands, 2001. [Google Scholar]
- Geurs, K.T.; van Wee, B. Accessibility evaluation of land-use and transport strategies: Review and research directions. J. Transp. Geogr. 2003, 12, 127–140. [Google Scholar] [CrossRef]
- Páez, A.; Scott, D.M.; Morency, C. Measuring accessibility: Positive and normative implementations of various accessibility indicators. J. Transp. Geogr. 2012, 25, 141–153. [Google Scholar] [CrossRef]
- Van Wee, B. Accessible accessibility research challenges. J. Transp. Geogr. 2016, 51, 9–16. [Google Scholar] [CrossRef]
- Geurs, K.T.; Östh, J. Advances in the measurement of transport impedance in accessibility modelling. Eur. J. Transp. Infrastruct. Res. 2016, 16, 294–299. [Google Scholar] [CrossRef]
- No. 15-848. 10 2015; Grengs, J. Advancing Social Equity Analysis in Transportation with the Concept of Accessibility. PSC Research Report. University of Michigan: Ann Arbor, MI, USA, 2015. [Google Scholar]
- Lucas, K.; van Wee, B.; Maat, K. A method to evaluate equitable accessibility: Combining ethical theories and accessibility-based approaches. Transportation 2015, 43, 473–490. [Google Scholar] [CrossRef]
- Avellaneda, P. Movilidad, Pobreza y Exclusión Social. Un Estudio de Caso en la Ciudad de Lima. Ph.D. Thesis, Departamento de Geografía, Universitat Autónoma de Barcelona, Bellaterra, Spain, 2007. [Google Scholar]
- Kaufman, V.; Widmer, E. Motility and family dynamics: Current issues and research agendas. Z. Für Fam. 2006, 18, 111–129. [Google Scholar] [CrossRef]
- Handy, S. Methodologies for exploring the link between urban form and travel behavior. Transp. Res. 1996, 1, 151–165. [Google Scholar] [CrossRef]
- Barton, H.; Grant, M.; Guise, R. Shaping Neighborhoods: For Local Health and Global Sustainability, 2nd ed.; Routledge: London, UK, 2010. [Google Scholar]
- Farr, D. Sustainable Urbanism: Urban Design with Nature; Wiley & Sons Inc.: Hoboken, NJ, USA, 2008. [Google Scholar]
- Moudon, A.V.; Lee, C. Walking and bicycling: An evaluation of environmental audit instruments. Am. J. Health Promot. 2003, 18, 21–37. [Google Scholar] [CrossRef]
- Frey, H.; Bagaeen, S. Adapting the City. In Dimensions of the Sustainable City; Jenks, M., Jones, C., Eds.; Spinger: Dordrecht, The Netherland, 2010; pp. 163–184. [Google Scholar]
- Singh, R. Factors Affecting Walkability of Neighborhoods. Procedia Soc. Behav. Sci. 2016, 216, 643–654. [Google Scholar] [CrossRef]
- Herrmann-Lunecke, M.G.; Mora, R.; Véjares, P. Identificación de elementos del paisaje urbano que fomentan la caminata en Santiago. Rev. Urban. 2020, 43, 4–25. [Google Scholar] [CrossRef]
- Talen, E. Pedestrian Access as a Measure of Urban Quality. Plan. Pr. Res. 2002, 17, 257–278. [Google Scholar] [CrossRef]
- Beaumont, J. An Introduction to Market Analysis; School of Management, University of Bath: Bath, UK, 1991. [Google Scholar]
- Santesmases, M. Aplicación de la Investigación de Mercados al Análisis de Problemas de Marketing. Icade. Rev. Fac. Derecho 2012, 83–84, 339–359. Available online: https://revistas.comillas.edu/index.php/revistaicade/article/view/152 (accessed on 10 September 2018).
- Chasco, C. Geomarketing and commercial distribution. Res. Mark. 2003, 79, 6–13, 166. [Google Scholar]
- Latour, P.; Le Floc’h, J. Géomarketing, Príncipes, Méthodes et Applications; Éditions d’Organisation: Paris, France, 2001. [Google Scholar]
- Escobar-Moreno, N.; Jácome, J.; Garcia, G. Geomarketing as a tool for market decision making in the organization: A preliminary characterization of its usefulness. Espacios 2015, 36, 8. [Google Scholar]
- Pérez, L. Marketing Social: Teoría y Práctica; Prentice Hall: Coyoacán, México, 2006. [Google Scholar]
- Albornoz, E.; Núñez, F.; Mena, C. Geomarketing: From a commercial vision to a social application, in metropolitan contexts. Rev. Geogr. Norte Grande 2020, 76, 143–167. [Google Scholar] [CrossRef]
- Biere, R.Y.; Garcia-Almirall, P. GIS oriented to real estate Geomarketing in Barcelona: 2do. Cong. Int. Cd. Terr. Virt. 2005, 1, 135–141. [Google Scholar]
- Roşu, L.; Blăgeanu, A.; Ionuţ-Ciprian, I. Geomarketing—A new approach in decision marketing: Case study—Shopping centres in IASI. Lucrările Seminarului Geografic. Dimitrie Cantemir 2013, 36, 2013. [Google Scholar]
- Vega, R.; Acuña, J.; Díaz, M. Spatial analysis of consumer behavior in a food products market. Theor. Empir. Res. Urban Manag. 2015, 10, 25–42. Available online: https://ideas.repec.org/a/rom/terumm/v10y2015i1p25-42.html (accessed on 20 January 2021).
- Baviera-Puig, A.; Buitrago-Vera, J.; Escriba-Perez, C. Geomarketing Models in Supermarket Location Strategies. J. Bus. Econ. Manag. 2016, 17, 1205–1221. [Google Scholar] [CrossRef]
- Miller, H. Modelling Accessibility Using Space-Time Prism Concepts within Geographical Information Systems. Int. J. Geogr. Inf. Syst. 1991, 5, 287–301. [Google Scholar] [CrossRef]
- Ashiru, O. Development of an activity based space-time accessibility measure for individual activity schedules. In Proceedings of the 35th Annual UTSG Conference, San Diego, CA, USA, 6–8 January 2003; Loughborough University: Loughborough, UK, 2003. [Google Scholar]
- Pérez, R. Geomarketing health services offer for locating medical value. Case: A research project to locate a new hospital bid. Salud Uninorte. 2008, 24, 319–340. [Google Scholar]
- Moreno-Jiménez, A. Delimitación y Predicción del área de Mercado para Establecimientos de Servicios a los Consumidores con Sistemas de Información Geográfica. Estud. Geográficos 2002, LXIII, 247. Available online: http://hdl.handle.net/10486/666296 (accessed on 11 July 2016). [CrossRef][Green Version]
- Mena, C. Geomática Para la Ordenación del Territorio; Serie de Textos Docentes; Universidad de Talca: Maule, Chile, 2005. [Google Scholar]
- Sheth, J.; Mital, B. Costumer Behavior: A Managerial Perspective, 2nd ed.; Thomson Learning: Boston, MA, USA, 2003. [Google Scholar]
- Peter, J.; Olson, J. Cosumer Behavior and Marketing Strategy, 6th ed.; McGraw-Hill Higher Education: New York, NY, USA, 2002. [Google Scholar]
- Rivera, J.; Arellano, R.; Molero, V.Y. Conducta del Consumidor: Estrategias y Tácticas Aplicadas al Marketing; ESIC Editorial: Madrid, Spain, 2000. [Google Scholar]
- Berenguer, G.; Vallet, T.; Gómez, M. Thematic Analysis of Consumer Behavior Research: 1968–2000. Estud. Sobre Consumo 2002, 16, 9–21. [Google Scholar]
- Odizola, J.; Bondar, C.; Cardozo, O. Geomarketing: Una Propuesta de Localización Óptima. XXIII Educa-AL. 2008. Available online: https://revistanortegrande.uc.cl/index.php/RGNG/article/view/22041 (accessed on 20 July 2016).
- Zhou, C.; Su, F.; Pei, T.; Zhang, A.; Du, Y.; Luo, B.; Cao, Z.; Wang, J.; Yuan, W.; Zhu, Y.; et al. COVID-19: Challenges to GIS with Big Data. Geogr. Sustain. 2020, 1, 77–87. [Google Scholar] [CrossRef]
- Solá, D.E.; Wang, L.; Vázquez, M.; Méndez-Lázaro, P.A. Weathering the pandemic: How the Caribbean Basin can use viral and environmental patterns to predict, prepare, and respond to COVID-19. J. Med. Virol. 2020, 92, 1460–1468. [Google Scholar] [CrossRef]
- Orea, L.; Álvarez, I.C. How effective has the Spanish lockdown been to battle COVID-19? A spatial analysis of the coronavirus propagation across provinces. Health Econ. 2021, 31, 154–173. [Google Scholar] [CrossRef]
- Chen, Z.-L.; Zhang, Q.; Lu, Y.; Guo, Z.-M.; Zhang, X.; Zhang, W.-J.; Guo, C.; Liao, C.-H.; Li, Q.-L.; Han, X.-H.; et al. Distribution of the COVID-19 epidemic and correlation with population emigration from Wuhan, China. Chin. Med. J. 2020, 133, 1044–1050. [Google Scholar] [CrossRef]
- Sajadi, M.M.; Habibzadeh, P.; Vintzileos, A.; Shokouhi, S.; Miralles-Wilhelm, F.; Amoroso, A. Temperature, Humidity, and Latitude Analysis to Estimate Potential Spread and Seasonality of Coronavirus Disease 2019 (COVID-19). JAMA Netw. Open 2020, 3, e2011834. [Google Scholar] [CrossRef]
- Tosepu, R.; Gunawan, J.; Effendy, D.S.; Lestari, H.; Bahar, H.; Asfian, P. Correlation between weather and COVID-19 pandemic in Jakarta, Indonesia. Sci. Total Environ. 2020, 725, 138436. [Google Scholar] [CrossRef]
- Gao, S.; Rao, J.; Kang, Y.; Liang, Y.; Kruse, J. Mapping county-level mobility pattern changes in the United States in response to COVID-19. Sigspatial Spéc. 2020, 12, 16–26. [Google Scholar] [CrossRef]
- Rossman, H.; Keshet, A.; Shilo, S.; Gavrieli, A.; Bauman, T.; Cohen, O.; Shelly, E.; Balicer, R.; Geiger, B.; Dor, Y.; et al. A framework for identifying regional outbreak and spread of COVID-19 from one-minute population-wide surveys. Nat. Med. 2020, 26, 634–638. [Google Scholar] [CrossRef]
- Dong, E.; Du, H.; Gardner, L. An interactive web-based dashboard to track COVID-19 in real time. Lancet Infect. Dis. 2020, 20, 533–534. [Google Scholar] [CrossRef]
- Lakhani, A. Which Melbourne Metropolitan Areas Are Vulnerable to COVID-19 Based on Age, Disability, and Access to Health Services? Using Spatial Analysis to Identify Service Gaps and Inform Delivery. J. Pain Symptom Manag. 2020, 60, e41–e44. [Google Scholar] [CrossRef] [PubMed]
- Lakhani, A. Introducing the Percent, Number, Availability, and Capacity [PNAC] Spatial Approach to Identify Priority Rural Areas Requiring Targeted Health Support in Light of COVID-19: A Commentary and Application. J. Rural. Health 2020, 37, 149–152. [Google Scholar] [CrossRef] [PubMed]
- Allam, Z.; Jones, D.S. Pandemic stricken cities on lockdown. Where are our planning and design professionals [now, then and into the future]? Land Use Policy 2020, 97, 104805. [Google Scholar] [CrossRef] [PubMed]
- Honey-Rosés, J.; Anguelovski, I.; Chireh, V.K.; Daher, C.; van den Bosch, C.K.; Litt, J.S.; Mawani, V.; McCall, M.K.; Orellana, A.; Oscilowicz, E.; et al. The impact of COVID-19 on public space: An early review of the emerging questions–design, perceptions and inequities. Cities Health 2020, 5, S263–S279. [Google Scholar] [CrossRef]
- Coutinho-Rodrigues, J.; Simão, A.; Antunes, C.H. A GIS-based multicriteria spatial decision support system for planning urban infrastructures. Decis. Support Syst. 2011, 51, 720–726. [Google Scholar] [CrossRef]
- Ki, J. Developing a geospatial web-GIS system for landscape and urban planning. Int. J. Digit. Earth 2013, 6, 580–588. [Google Scholar] [CrossRef]
- Selamat, M.H.; Selamat, A.; Othman, M.S.; Shamsuddin, N.H.B.M.; Zukepli, N.I.B.M. A review on geographical in-formation system (GIS) in town planning: Malaysia experience. Geoinformatica Int. J. 2012, 2, 27–38. [Google Scholar]
- Instituto Nacional De Estadísticas (INE). Compendio Estadístico 2018; Publicación Anual; Instituto Nacional de Estadística: Madrid, Spain, 2018. [Google Scholar]
- León, J.; Núñez, F.; Albornoz, E. Participación Ciudadana y Movilidad Sostenible: El Caso del Área Metropolitana de Concepción, Chile. Rev. Urban 2019, 40. Available online: https://revistaurbanismo.uchile.cl/index.php/RU/article/view/52227 (accessed on 17 July 2020).
- Franch-Pardo, I.; Napoletano, B.M.; Rosete-Verges, F.; Billa, L. Spatial analysis and GIS in the study of COVID-19. A review. Sci. Total Environ. 2020, 739, 140033. [Google Scholar] [CrossRef]
- Franch-Pardo, I.; Desjardins, M.R.; Barea-Navarro, I.; Cerdà, A. A review of GIS methodologies to analyze the dynamics of COVID-19 in the second half of 2020. Trans. GIS 2021, 25, 2191–2239. [Google Scholar] [CrossRef]
- Rahman, R.; Islam, A.H.M.H.; Islam, N. Geospatial modelling on the spread and dynamics of 154 day outbreak of the novel coronavirus (COVID-19) pandemic in Bangladesh towards vulnerability zoning and management approaches. Model. Earth Syst. Environ. 2020, 7, 2059–2087. [Google Scholar] [CrossRef]
- Shadeed, S.; Alawna, S. GIS-based COVID-19 vulnerability mapping in the West Bank, Palestine. Int. J. Disaster Risk Reduct. 2021, 64, 102483. [Google Scholar] [CrossRef]
- Domínguez, T.; Fraiz, J.Y.; Alén, M. Turismo y accesibilidad. Una visión global sobre la situación de España. Cuad. Turismo. 2011, 28, 23–45. [Google Scholar]
- McCay, L.; Bremer, I.; Endale, T.; Jannati, M.; Yi, J. Urban Design and Mental Health. In Mental Health and Illness in the City; Okkles, N., Blanner Kristiansen, C., Munk-Jorgensen, P., Eds.; Springer: Dordrecht, The Netherlands, 2017; pp. 421–444. [Google Scholar]
- Alonso, J.; Grande, I. Comportamiento Del Consumidor. Decisiones y Estrategias De Marketing, 8th ed.; Business & Marketing School: Madrid, Spain, 2017. [Google Scholar]
- ODPM. Housing, Planning, Local Government and the Regions Committee. ODPM Annual Report and Accounts 2005. Available online: https://publications.parliament.uk/pa/cm200405/cmselect/cmodpm/531/53101.htm (accessed on 23 July 2018).








| Geoprocess | Description | Input | Output |
|---|---|---|---|
| Accessibility PCBS Offer | Evaluates and delimits, in a real way, the spatial accessibility generated only by the infrastructure by type that offers goods and services of primary necessity used by the inhabitants. | Type of activity according to temporal frequency and analysis period (before or during the pandemic) | Map view, report files, and ArcGIS layers |
| Level Satisfaction | Estimates and delimits, in a real way, the satisfaction area according to the walk mode no more than 400 m from the facilities that offer goods and services in a territorial unit of analysis | Demanding households according to time frequency and analysis period (before or during the pandemic) that use the walk mode to places no more than 400 m away and declare a state of satisfaction | Map view, report files, ArcGIS layers |
| Analyzed Works | Geographic Area | Case of Use | Objective | Tools and Techniques | Period Analyzed | Data Topics |
|---|---|---|---|---|---|---|
| COVID0359 | Local, regionally scalable | Real case, possibility of simulating future scenarios | Support urban design based on accessibility and satisfaction indicators | Spatial statistics, network analyst | Pre-pandemic, during pandemic | Mobility, demographic, accessibility, satisfaction (survey) |
| Orea and Álvarez, 2021 [77] | National | Real case, simulated scenario | Analyze the effectiveness of the measures adopted to stop the spread of the epidemic | Spatial statistics, correlations | During pandemic, quarantine and non-quarantine | Confirmed cases, mobility |
| Rahman et al., 2021 [95] | Local | Real case | Examine the relationship between air quality indicators and disease transmission | Remote detection, correlations | During pandemic, quarantine and non-quarantine | Confirmed cases, contamination |
| Chen et al., 2020 [78] | Provincial | Real case | Determine the correlation between distribution of cases and emigration from Wuhan | Spatial statistics, correlations | During pandemic | Confirmed cases, suspected cases, deaths |
| Sajadi et al., 2020 [79] | Global | Real case | Examine association between climate and spread of the epidemic | Spatial statistics, correlations | During pandemic | Climate, confirmed cases |
| Dong Du and Gardner, 2020 [93] | Global | Real case | View and track cases | Web maps | During pandemic | Confirmed cases, deaths, people recovered |
| Zecca et al., 2020 [19] | Local | Real case, simulated scenario | Compare pedestrian flows and accessibility before and during epidemic | Network analysis | Pre-pandemic, during pandemic | Accessibility (survey), infrastructure, mobility |
| Shadeed and Alawna, 2021 [96] | Provincial | Real case | Determine which populations are most vulnerable in order to take appropriate actions | Multi criteria, risk map | During pandemic | Infrastructure, demographics, confirmed cases |
Publisher’s Note: MDPI stays neutral with regard to jurisdictional claims in published maps and institutional affiliations. |
© 2022 by the authors. Licensee MDPI, Basel, Switzerland. This article is an open access article distributed under the terms and conditions of the Creative Commons Attribution (CC BY) license (https://creativecommons.org/licenses/by/4.0/).
Share and Cite
Núñez, F.; Albornoz, E.; Gutiérrez, M.; Zumelzu, A. Socially Sustainable Accessibility to Goods and Services in the Metropolitan Area of Concepción, Chile, Post-COVID-19. Sustainability 2022, 14, 14042. https://doi.org/10.3390/su142114042
Núñez F, Albornoz E, Gutiérrez M, Zumelzu A. Socially Sustainable Accessibility to Goods and Services in the Metropolitan Area of Concepción, Chile, Post-COVID-19. Sustainability. 2022; 14(21):14042. https://doi.org/10.3390/su142114042
Chicago/Turabian StyleNúñez, Francisco, Elías Albornoz, Mariella Gutiérrez, and Antonio Zumelzu. 2022. "Socially Sustainable Accessibility to Goods and Services in the Metropolitan Area of Concepción, Chile, Post-COVID-19" Sustainability 14, no. 21: 14042. https://doi.org/10.3390/su142114042
APA StyleNúñez, F., Albornoz, E., Gutiérrez, M., & Zumelzu, A. (2022). Socially Sustainable Accessibility to Goods and Services in the Metropolitan Area of Concepción, Chile, Post-COVID-19. Sustainability, 14(21), 14042. https://doi.org/10.3390/su142114042

