Landscape Heterogeneity Determines the Diversity and Life History Traits of Ground Beetles (Coleoptera: Carabidae)
Abstract
1. Introduction
2. Material and Methods
2.1. Study Site
2.2. Ground Beetles Sampling
2.3. Data Analysis
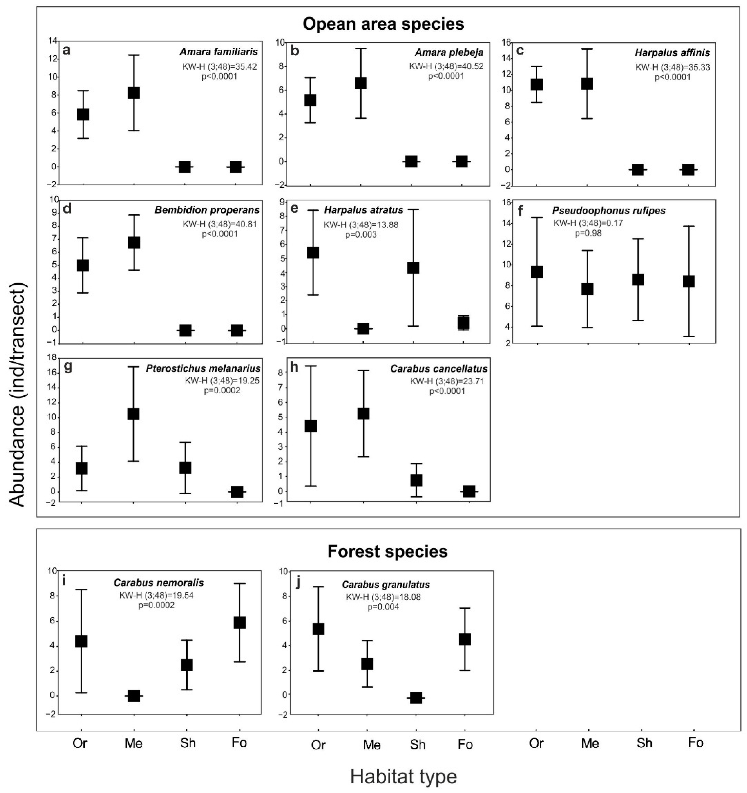
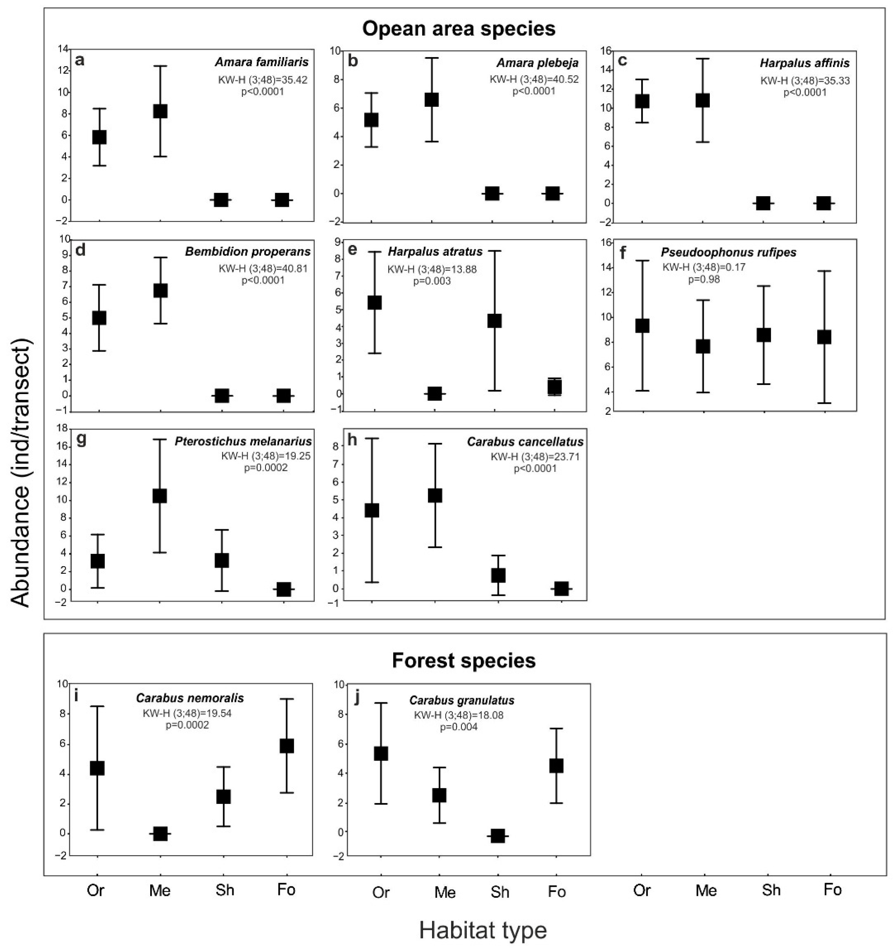
3. Results
4. Discussion
5. Conclusions
Author Contributions
Funding
Institutional Review Board Statement
Informed Consent Statement
Data Availability Statement
Acknowledgments
Conflicts of Interest
References
- Tilman, D.; Clark, M.; Williams, D.R.; Kimmel, K.; Polasky, S.; Packer, C. Future threats to biodiversity and pathways to their prevention. Nature 2017, 546, 73–81. [Google Scholar] [CrossRef] [PubMed]
- Boetzl, F.A.; Schuele, M.; Krauss, J.; Steffan-Dewenter, I. Pest control potential of adjacent agri-environment schemes varies with crop type and is shaped by landscape context and within-field position. J. Appl. Ecol. 2020, 57, 1482–1493. [Google Scholar] [CrossRef]
- Mueller, L.; Eulenstein, F.; Dronin, N.M.; Mirschel, W.; McKenzie, B.M.; Antrop, M.; Jones, M.; Dannowski, R.; Schindler, U.; Behrendt, A.; et al. Agricultural Landscapes: History, Status and Challenges. In Exploring and Optimizing Agricultural Landscapes. Innovations in Landscape Research; Mueller, L., Sychev, V.G., Dronin, N.M., Eulenstein, F., Eds.; Springer: Cham, Switzerland, 2021; pp. 3–54. [Google Scholar] [CrossRef]
- McLaughlin, A.; Mineau, P. The impact of agricultural practices on biodiversity. Agric. Ecosyst. Environ. 1995, 55, 201–212. [Google Scholar] [CrossRef]
- Pimentel, D.; Stachow, U.; Takacs, D.A.; Brubaker, H.W.; Dumas, A.R.; Meaney, J.J.; O’Neil, J.A.S.; Onsi, D.E.; Corzilius, D.B. Conserving biological diversity in agricultural/forestry systems. Bioscience 1992, 4, 354–362. [Google Scholar] [CrossRef]
- Loreau, M. Biodiversity and Ecosystem Functioning: Recent Theoretical Advances. Oikos 2000, 91, 3–17. [Google Scholar] [CrossRef]
- Liu, Y.; Axmacher, J.C.; Wang, C.; Li, L.; Yu, Z. Ground beetles (Coleoptera: Carabidae) in the intensively cultivated agricultural landscape of Northern China—Implications for biodiversity conservation. Insect Conserv. Divers. 2010, 3, 34–43. [Google Scholar] [CrossRef]
- Brooks, D.R.; Bater, J.E.; Clark, S.J.; Monteith, D.T.; Andrews, C.; Corbett, S.J.; Beaumont, D.A.; Chapman, J.W. Large carabid beetle declines in a United Kingdom monitoring network increases evidence for a widespread loss in insect biodiversity. J. Appl. Ecol. 2012, 49, 1009–1019. [Google Scholar] [CrossRef]
- Newbold, T.; Hudson, N.L.; Hill, S.L.L.; Contu, S.; Lysenko, I.; Senior, R.A.; Börger, L.; Bennett, D.J.; Choimes, A.; Collen, B.; et al. Global effects of land use on local terrestrial biodiversity. Nature 2015, 520, 45–50. [Google Scholar] [CrossRef]
- Hallmann, C.A.; Sorg, M.; Jongejans, E.; Siepel, H.; Hofland, N.; Schwan, H.; Stenmans, W.; Müller, A.; Sumser, H.; Hörren, T.; et al. More than 75 percent decline over 27 years in total flying insect biomass in protected areas. PLoS ONE 2017, 12, e0185809. [Google Scholar] [CrossRef] [PubMed]
- Mupepele, A.-C.; Bruelheide, H.; Brühl, C.; Dauber, J.; Fenske, M.; Freibauer, A.; Gerowitt, B.; Krüß, A.; Lakner, S.; Plieninger, T.; et al. Biodiversity in European agricultural landscapes: Transformative societal changes needed. Trends Ecol. Evol. 2021, 36, 1067–1070. [Google Scholar] [CrossRef] [PubMed]
- Kromp, B. Carabid beetles in Sustainable Agriculture: A Review on Pest Control Efficacy, Cultivation Impacts and Enhancement. Agric. Ecosyst. Environ. 1999, 74, 187–228. [Google Scholar] [CrossRef]
- Pe’er, G.; Zinngrebe, Y.; Moreira, F.; Sirami, C.; Schindler, S.; Müller, R.; Bontzorlos, V.; Clough, D.; Bezák, P.; Bonn, A.; et al. A greener path for the EU Common Agricultural Policy. Science 2019, 365, 449–451. [Google Scholar] [CrossRef] [PubMed]
- Lakner, S.; Schleyer, C.; Schmidt, J.; Zinngrebe, Y. Agricultural Policy for Biodiversity: Facilitators and Barriers for Transformation. In Transitioning to Sustainable Life on Land; Beckamn, V., Ed.; MDPI: Basel, Switzerland, 2021; pp. 339–379. [Google Scholar] [CrossRef]
- Sullivan, T.P.; Sullivan, D.S. Plant and small mammal diversity in orchard versus non-crop habitats. Agric. Ecosyst. Environ. 2006, 116, 235–243. [Google Scholar] [CrossRef]
- Schwerk, A.; Szyszko, J. Distribution and spatial preferences of Carabid species (Coleoptera: Carabidae) in a forest-field landscape in Poland. Balt. J. Coleopterol. 2009, 9, 5–15. [Google Scholar]
- Duflot, R.; Georges, R.; Ernoult, A.; Aviron, S.; Burel, F. Landscape heterogeneity as an ecological filter of species traits. Acta Oecol. 2014, 56, 19–26. [Google Scholar] [CrossRef]
- Heikkinen, R.K.; Luoto, M.; Virkkala, R.; Rainio, K. Effects of habitat cover, landscape structure and spatial variables on the abundance of birds in an agricultural–forest mosaic. J. Appl. Ecol. 2004, 41, 824–835. [Google Scholar] [CrossRef]
- Vanbergen, A.J.; Woodcock, B.A.; Watt, A.D.; Niemelä, J. Effect of land-use heterogeneity on carabid communities at the landscape scale. Ecography 2005, 28, 3–16. [Google Scholar] [CrossRef]
- Fahrig, L.; Baudry, J.; Brotons, L.; Burel, F.G.; Crist, T.O.; Fuller, R.J.; Sirami, C.; Siriwardena, G.M.; Martin, J.L. Functional landscape heterogeneity and animal biodiversity in agricultural landscapes. Ecol. Lett. 2011, 14, 101–112. [Google Scholar] [CrossRef]
- Schwerk, A.; Dymitryszyn, I. Epigeic and soil carabid fauna (Coleoptera: Carabidae) in relation to habitat differentiation of an insulated semi-natural habitat in Western Poland. Balt. J. Coleopterol. 2015, 15, 47–56. [Google Scholar]
- Burel, F.; Butet, A.; Delettre, Y.R.; Millàn de la Peña, N. Differential response of selected taxa to landscape context and agricultural intensification. Landsc. Urban Plan. 2004, 67, 195–204. [Google Scholar] [CrossRef]
- Aviron, S.; Burel, F.; Baudry, J.; Schermann, N. Carabid assemblages in agricultural landscape: Impacts of habitat features, landscape context at different spatial scales and farming intensity. Agric. Ecosyst. Environ. 2005, 108, 205–217. [Google Scholar] [CrossRef]
- Banul, R.; Kosewska, A.; Borkowski, J. Występowanie zwierząt w pofragmentowanym środowisku leśnym—Wpływ czynników w skali wyspy i krajobrazu/Animal occurrence in fragmented forest habitats—Important factors at the patch and landscape scale. Leśne Prace Badaw. For. Res. Pap. 2018, 79, 89–100. [Google Scholar] [CrossRef]
- Bàrberi, P.; Burgio, G.; Dinelli, G.; Moonen, A.C.; Otto, S.; Vazzana, C.; Zanin, G. Functional biodiversity in the agricultural landscape: Relationships between weeds and arthropod fauna. Weed Res. 2010, 50, 388–401. [Google Scholar] [CrossRef]
- Albertini, A.; Pizzolotto, R.; Petacchi, R. Carabid patterns in olive orchards and woody semi-natural habitats: First implications for conservation biological control against Bactrocera oleae. BioControl 2017, 62, 71–83. [Google Scholar] [CrossRef]
- Twardowski, J.P.; Gruss, I.; Hurej, M. Does vegetation complexity within intensive agricultural landscape affect rove beetle (Coleoptera: Staphylinidae) assemblages? Biocontrol. Sci. Technol. 2020, 30, 116–131. [Google Scholar] [CrossRef]
- Thiele, H.U. Carabid Beetles in Their Environments. A Study on Habitat Selection by Adaptation in Physiology and Behavior; Springer: Berlin, Germany, 1977; p. 369. [Google Scholar]
- Topa, E.; Kosewska, A.; Nietupski, M.; Trębicki, Ł.; Nicewicz, Ł.; Hajdamowicz, I. Non-Inversion Tillage as a Chance to Increase the Biodiversity of Ground-Dwelling Spiders in Agroecosystems: Preliminary Results. Agronomy 2021, 11, 2150. [Google Scholar] [CrossRef]
- Šerić Jelaska, L.; Tatalović, L.I.; Kostanjšek, F.; Kos, T. Ground beetle assemblages and distribution of functional traits in olive orchards and vineyards depend on the agricultural management practice. BioControl 2022, 67, 275–286. [Google Scholar] [CrossRef]
- Diehl, E.; Wolters, V.; Birkhofer, K. Arable weeds in organically managed wheat fields foster carabid beetles by resource- and structure-mediated effects. Arthropod-Plant Interact. 2012, 6, 75–82. [Google Scholar] [CrossRef]
- Skalski, T.; Kędzior, R.; Szwalec, A.; Mundała, P. Do traditional land rehabilitation processes improve habitat quality and function? Life-history traits of ground beetles (Coleoptera, Carabidae) say no. Period. Biol. 2016, 118, 185–194. [Google Scholar] [CrossRef]
- Schwerk, A.; Wińska-Krysiak, M.; Przybysz, A.; Zaraś-Januszkiewicz, E.; Sikorski, P. Carabid Beetle (Coleoptera: Carabidae) Response to Soil Properties of Urban Wastelands in Warsaw, Poland. Sustainability 2020, 12, 10673. [Google Scholar] [CrossRef]
- Skłodowski, J. Responses of ground beetles (Coleoptera, Carabidae) to tree retention groups of various sizes support leaving them in clear-cut areas. For. Ecol. Manag. 2021, 493, 119261. [Google Scholar] [CrossRef]
- Kędzior, R.; Zarzycki, J.; Zając, E. Raised bog biodiversity loss: A case-study of ground beetles (Coleoptera, Carabidae) as indicators of ecosystem degradation after peat mining. Land Degrad. Dev. 2022, 1–12. [Google Scholar] [CrossRef]
- Woodcock, B.A.; Redhead, J.; Vanbergen, A.J.; Hulmes, L.; Hulmes, S.; Peyton, J.; Nowakowski, M.; Pywell, R.F.; Heard, M.S. Impact of habitat type and landscape structure on biomass, species richness and functional diversity of ground beetles. Agric. Ecosyst. Environ. 2010, 139, 181–186. [Google Scholar] [CrossRef]
- Wang, M.; Yu, Z.; Liu, Y.; Wu, P.; Axmacher, J.C. Taxon- and functional group-specific responses of ground beetles and spiders to landscape complexity and management intensity in apple orchards of the North China Plain. Agric. Ecosyst. Environ. 2022, 323, 107700. [Google Scholar] [CrossRef]
- Trautner, J.; Geigenmüller, K. Tiger Beetles, Ground Beetles. Illustrated Key to the Cicindelidae and Carabidae of Europe; J. Margraf Publishing: Aichtal, Germany, 1987; p. 487. [Google Scholar]
- Hürka, K. Carabidae of the Czech and Slovak Republics; Kabourek: Zlin, Czech Republic, 1996; p. 565. [Google Scholar]
- Shannon, C.E.; Weaver, W. The Mathematical Theory of Communication; University of Illinois Press: Urbana, IL, USA, 1949; pp. 1–117. [Google Scholar]
- Kędzior, R.; Szwalec, A.; Mundała, P.; Skalski, T. Ground beetle (Coeloptera, Carabidae) life history traits as indicators of habitat recovering processes in postindustrial areas. Ecol. Eng. 2020, 142, 105615. [Google Scholar] [CrossRef]
- Pizzolotto, R.; Mazzei, A.; Bonacci, T.; Scalercio, S.; Iannotta, N.; Brandmayr, P. Ground beetles in Mediterranean olive agroecosystems: Their significance and functional role as bioindicators (Coleoptera, Carabidae). PLoS ONE 2018, 13, e0194551. [Google Scholar] [CrossRef]
- Hammer, Ø.; Harper, D.A.T.; Ryan, P.D. PAST: Paleontological statistics software package for education and data analysis. Palaeontol. Electron. 2001, 4, 9. [Google Scholar]
- StatSoft. Statistica—Data Analysis Software System; Version 13; StatSoft Inc.: Tulsa, OK, USA, 2013. [Google Scholar]
- Symondson, W.O.C.; Sunderland, K.D.; Greenstone, M.H. Can Generalist Predators be Effective Biocontrol Agents? Annu. Rev. Entomol. 2002, 47, 561–594. [Google Scholar] [CrossRef]
- Petchey, O.L.; Gaston, K.J. Functional diversity: Back to basics and looking forward. Ecol. Lett. 2006, 9, 741–758. [Google Scholar] [CrossRef]
- Miñarro, M.; Dapena, E. Effect of groundcover management on ground beetles (Coleoptera: Carabidae) in an apple orchard. Appl. Soil Ecol. 2003, 23, 111–117. [Google Scholar] [CrossRef]
- Simon, S.; Bouvier, J.C.; Debras, J.F.; Sauphanor, B. Biodiversity and pest management in orchard systems. A review. Agron. Sustain. Dev. 2010, 30, 139–152. [Google Scholar] [CrossRef]
- Fusser, M.S.; Pfister, S.C.; Entling, M.H.; Schirmel, J. Effects of field margin type and landscape composition on predatory carabids and slugs in wheat fields. Agric. Ecosyst. Environ. 2017, 247, 182–188. [Google Scholar] [CrossRef]
- Magagula, C.N. Changes in carabid beetles diversity within a fragmented agricultural landscape. Afr. J. Ecol. 2003, 41, 23–30. [Google Scholar] [CrossRef]
- Skłodowski, J. Survival of carabids after windthrow of pine forest depends on the presence of broken tree crowns. Scand. J. For. Res. 2020, 35, 10–19. [Google Scholar] [CrossRef]
- Thomas, M.B.; Wratten, S.D.; Sotherton, N.W. Creation of ‘Island’ Habitats in Farmland to Manipulate Populations of Beneficial Arthropods—Predator Densities and Emigration. J. Appl. Ecol. 1991, 28, 906–917. [Google Scholar] [CrossRef]
- Woodcock, B.A.; Westbury, D.B.; Potts, S.G.; Harris, S.J.; Brown, V.K. Establishing field margins to promote beetle conservation in arable farms. Agric. Ecosyst. Environ. 2005, 107, 255–266. [Google Scholar] [CrossRef]







| Taxon | Mean Abundance | Average Dissimilarity | Contribution (%) | |||
|---|---|---|---|---|---|---|
| Or | Me | Sh | Fo | |||
| Harpalus affinis (Schrank von Paula, 1781) | 10.8 | 10.8 | 0.0 | 0.0 | 5.77 | 7.35 |
| Pseudoophonus rufipes (Ch. De Geer, 1774) | 9.3 | 7.7 | 8.6 | 8.4 | 5.71 | 7.27 |
| Leistus piceus (Frölich, 1799) | 0.0 | 0.0 | 1.8 | 16.2 | 5.29 | 6.73 |
| Pterostichus niger (Schaller, 1783) | 0.3 | 0.0 | 6.8 | 12.1 | 5.23 | 6.66 |
| Pterostichus melanarius (J.K.W. Illiger, 1798) | 3.2 | 10.5 | 3.3 | 0.0 | 4.69 | 5.97 |
| Poecilus versicolor (J. Sturm, 1824) | 0.3 | 10.9 | 5.2 | 0.0 | 4.56 | 5.80 |
| Amara familiaris (C. Duftschmid, 1812) | 5.8 | 8.3 | 0.0 | 0.0 | 3.73 | 4.75 |
| Amara aenea (Ch. De Geer, 1774) | 2.8 | 9.7 | 0.4 | 0.0 | 3.71 | 4.72 |
| Carabus nemoralis (O.F. Müller, 1764) | 4.4 | 0.0 | 2.5 | 5.9 | 3.31 | 4.22 |
| Leistus rufomarginatus (C. Duftschmid, 1812) | 0.0 | 0.0 | 2.8 | 8.4 | 3.26 | 4.15 |
| Carabus granulatus (E.G. Kraatz) | 5.6 | 2.8 | 0.0 | 4.8 | 3.13 | 3.99 |
| Bembidion properans (J.F. Stephens, 1828) | 5.0 | 6.8 | 0.0 | 0.0 | 3.10 | 3.95 |
| Amara plebeja (L. Gyllenhal, 1810) | 5.2 | 6.6 | 0.0 | 0.0 | 3.10 | 3.95 |
| Harpalus atratus (Latreille, 1804) | 5.4 | 0.0 | 4.3 | 0.4 | 3.00 | 3.83 |
| Carabus cancellatus (J.K.W. Illiger, 1798) | 4.4 | 5.3 | 0.8 | 0.0 | 2.73 | 3.48 |
| Pterostichus strenuus (Panzer, 1796) | 0.0 | 0.0 | 5.3 | 3.1 | 2.51 | 3.20 |
| Abax parallelepipedus ater (C. Villers) | 0.2 | 0.0 | 1.6 | 4.5 | 1.97 | 2.51 |
| Calathus erratus (C.R. Sahlberg, 1827) | 0.0 | 5.9 | 0.2 | 0.0 | 1.96 | 2.50 |
| Notiophilus palustris (C. Duftschmid, 1812) | 0.2 | 0.0 | 0.5 | 4.8 | 1.78 | 2.27 |
| Bembidion lampros (J.F.W. Herbst, 1784) | 2.7 | 2.5 | 0.0 | 0.0 | 1.49 | 1.89 |
| Platynus assimilis (G. Paykull, 1790) | 0.7 | 0.0 | 1.3 | 3.0 | 1.45 | 1.84 |
| Pterostichus oblongopunctatus (Fabricius, 1787) | 1.4 | 0.0 | 2.8 | 1.7 | 1.39 | 1.77 |
| Poecilus cupreus (Linnaeus, 1758) | 0.8 | 2.5 | 0.9 | 0.3 | 1.15 | 1.47 |
| Variable | df | Wald Stat. | p | Spatial Autocorrelation | |||
|---|---|---|---|---|---|---|---|
| Assemblage parameter | Moran’s I | p | |||||
| Abundance | Habitat type (sampling transects) | 3 | 176.8 | <0.0001 | 0.16 | 0.269 | |
| Species richness | Habitat type (sampling transects) | 3 | 18.1 | 0.0004 | 0.19 | 0.274 | |
| Shannon Diversity index | Habitat type (sampling transects) | 3 | 32.4 | <0.0001 | 0.12 | 0.265 | |
| Life-history trait | |||||||
| Body size | Small (<10 mm) | Habitat type (sampling transects) | 3 | 386.9 | <0.0001 | 0.44 | 0.275 |
| Large (>10 mm) | Habitat type (sampling transects) | 3 | 231.3 | <0.0001 | 0.23 | 0.257 | |
| Wing development | Brachypterous | Habitat type (sampling transects) | 3 | 192.2 | <0.0001 | 0.36 | 0.245 |
| Macropterous | Habitat type (sampling transects) | 3 | 208.6 | <0.0001 | 0.37 | 0.273 | |
| Food preferences | Hemizoophages | Habitat type (sampling transects) | 3 | 417.1 | <0.0001 | 0.47 | 0.275 |
| Predators | Habitat type (sampling transects) | 3 | 205.5 | <0.0001 | 0.15 | 0.259 | |
Publisher’s Note: MDPI stays neutral with regard to jurisdictional claims in published maps and institutional affiliations. |
© 2022 by the authors. Licensee MDPI, Basel, Switzerland. This article is an open access article distributed under the terms and conditions of the Creative Commons Attribution (CC BY) license (https://creativecommons.org/licenses/by/4.0/).
Share and Cite
Kędzior, R.; Kosewska, A. Landscape Heterogeneity Determines the Diversity and Life History Traits of Ground Beetles (Coleoptera: Carabidae). Sustainability 2022, 14, 13980. https://doi.org/10.3390/su142113980
Kędzior R, Kosewska A. Landscape Heterogeneity Determines the Diversity and Life History Traits of Ground Beetles (Coleoptera: Carabidae). Sustainability. 2022; 14(21):13980. https://doi.org/10.3390/su142113980
Chicago/Turabian StyleKędzior, Renata, and Agnieszka Kosewska. 2022. "Landscape Heterogeneity Determines the Diversity and Life History Traits of Ground Beetles (Coleoptera: Carabidae)" Sustainability 14, no. 21: 13980. https://doi.org/10.3390/su142113980
APA StyleKędzior, R., & Kosewska, A. (2022). Landscape Heterogeneity Determines the Diversity and Life History Traits of Ground Beetles (Coleoptera: Carabidae). Sustainability, 14(21), 13980. https://doi.org/10.3390/su142113980

