The Evaluation and Key-Factor Identification of the Influence of Tourism on the Soil of Mount Tai
Abstract
1. Introduction
2. Materials and Methods
2.1. Study Area
2.2. Soil Sampling
2.3. Sample Analysis Methods
2.4. Data Analysis
2.4.1. HM Contamination Assessment Methods
2.4.2. The Soil Microbial Diversity Determination Methods
2.4.3. Complex Network Analysis of Soil Quality Variables
3. Results and Discussion
3.1. Description of Soil Quality Variables
3.1.1. Soil Physicochemical Properties
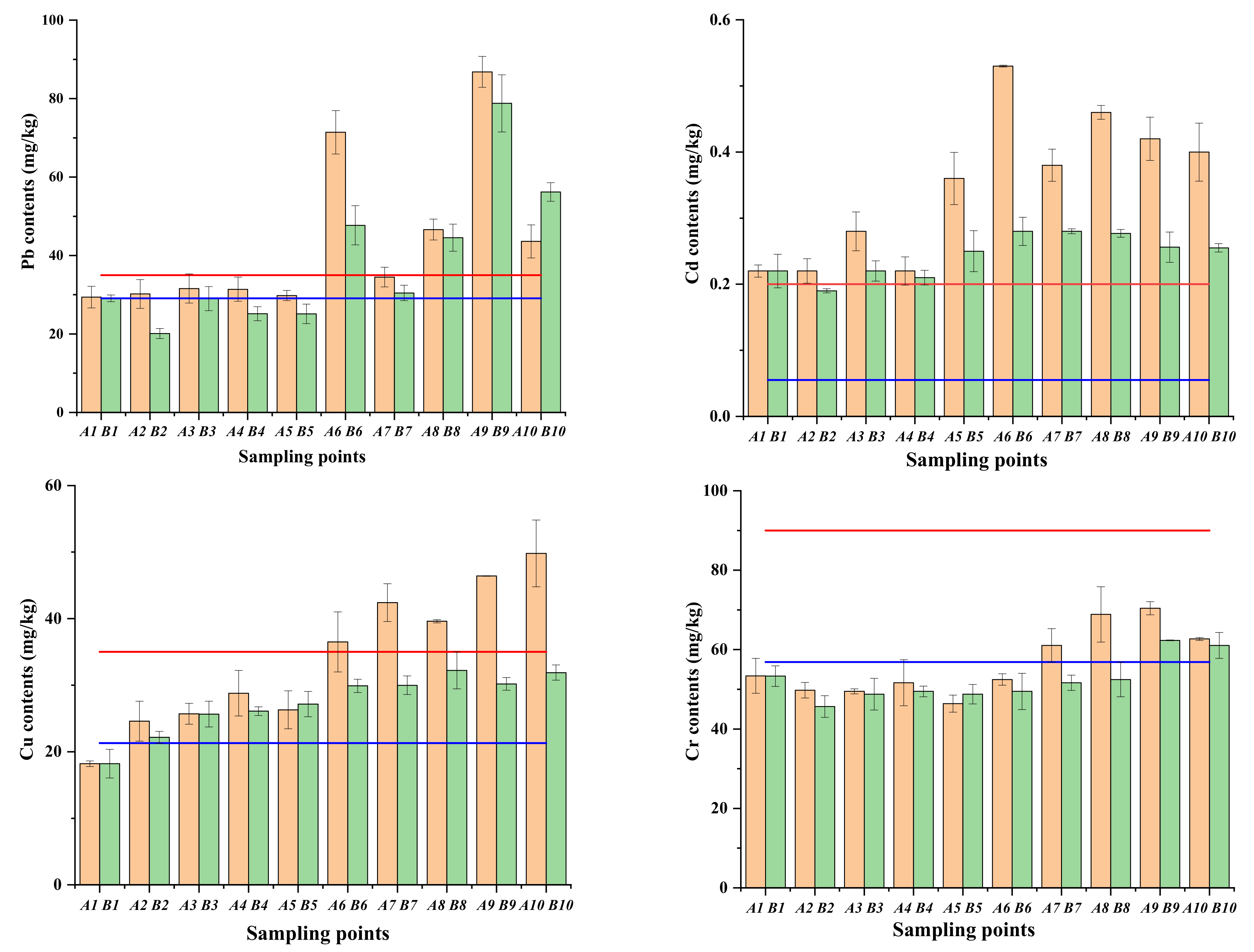
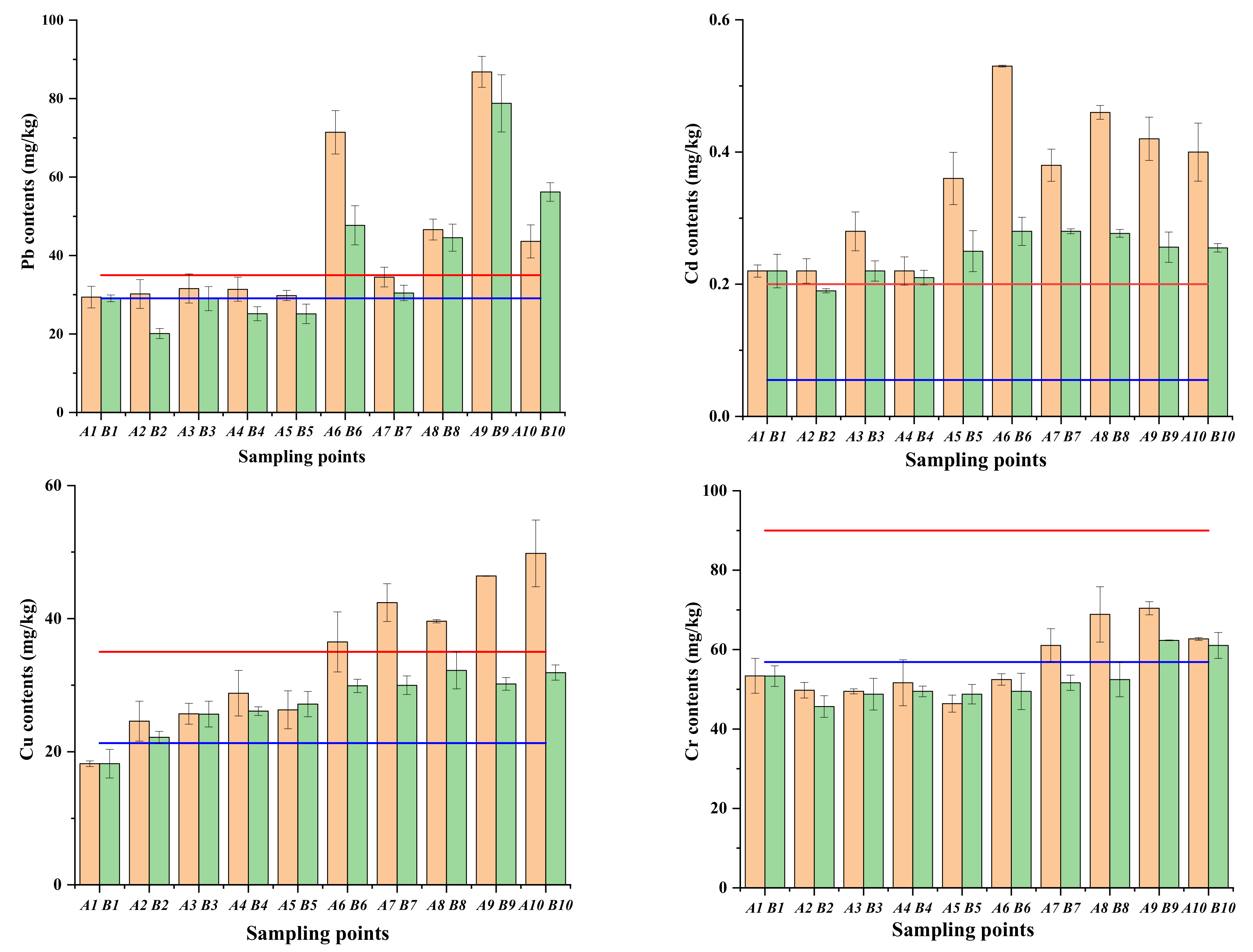
3.1.2. Assessment of Soil HM Contamination
3.1.3. Functional Diversity of Soil Bacterial Communities
3.2. Complex Network Analysis
3.2.1. Correlation Analysis of Soil Quality Variables
3.2.2. Network Topological Parameters
4. Conclusions
Supplementary Materials
Author Contributions
Funding
Institutional Review Board Statement
Informed Consent Statement
Data Availability Statement
Acknowledgments
Conflicts of Interest
References
- Papageorgiou, M. Coastal and marine tourism: A challenging factor in marine spatial planning. Ocean Coast. Manag. 2016, 129, 44–48. [Google Scholar] [CrossRef]
- Mahmood, H.; Ahmed, M.; Islam, T.; Uddin, M.Z.; Ahmed, Z.U.; Saha, C. Paradigm shift in the management of the sundarbans mangrove forest of bangladesh: Issues and challenges. Trees For. People 2021, 5, 100094. [Google Scholar] [CrossRef]
- Wen, B.; Zhang, X.; Yang, Z.; Xiong, H.; Qiu, Y. Influence of tourist disturbance on soil properties, plant communities, and surface water quality in the tianchi scenic area of xinjiang, china. J. Arid Land 2016, 8, 304–313. [Google Scholar] [CrossRef]
- Brtnicky, M.; Pecina, V.; Vasinova Galiova, M.; Prokes, L.; Zverina, O.; Juricka, D.; Klimanek, M.; Kynicky, J. The impact of tourism on extremely visited volcanic island: Link between environmental pollution and transportation modes. Chemosphere 2020, 249, 126118. [Google Scholar] [CrossRef] [PubMed]
- Río-Rama, M.; Maldonado-Erazo, C.; Durán-Sánchez, A.; Álvarez-García, J. Mountain tourism research. A review. Eur. J. Tour. Res. 2019, 22, 130–150. [Google Scholar] [CrossRef]
- Salesa, D.; Cerda, A. Soil erosion on mountain trails as a consequence of recreational activities. A comprehensive review of the scientific literature. J. Environ. Manag. 2020, 271, 110990. [Google Scholar] [CrossRef]
- Memoli, V.; Esposito, F.; Panico, S.C.; De Marco, A.; Barile, R.; Maisto, G. Evaluation of tourism impact on soil metal accumulation through single and integrated indices. Sci. Total Environ. 2019, 682, 685–691. [Google Scholar] [CrossRef]
- Wang, S.; Li, T.; Zheng, Z.; Chen, H.Y.H. Soil aggregate-associated bacterial metabolic activity and community structure in different aged tea plantations. Sci Total Environ. 2019, 654, 1023–1032. [Google Scholar] [CrossRef]
- De Quadros, P.D.; Zhalnina, K.; Davis-Richardson, A.G.; Drew, J.C.; Menezes, F.B.; Camargo, F.A.d.O.; Triplett, E.W. Coal mining practices reduce the microbial biomass, richness and diversity of soil. Appl. Soil Ecol. 2016, 98, 195–203. [Google Scholar] [CrossRef]
- Xun, Y.; Zhang, X.; Chaoliang, C.; Luo, X.; Zhang, Y. Comprehensive evaluation of soil near uranium tailings, beishan city, china. Bull. Environ. Contam. Toxicol. 2018, 100, 843–848. [Google Scholar] [CrossRef]
- Jie, S.Q.; Li, M.M.; Gan, M.; Zhu, J.Y.; Yin, H.Q.; Liu, X.D. Microbial functional genes enriched in the xiangjiang river sediments with heavy metal contamination. BMC Microbiol. 2016, 16, 179. [Google Scholar] [CrossRef]
- Jiang, X.W.; Liu, W.H.; Xu, H.; Cui, X.J.; Li, J.F.; Chen, J.R.; Zheng, B.W. Characterizations of heavy metal contamination, microbial community, and resistance genes in a tailing of the largest copper mine in china. Environ. Pollut. 2021, 280, 116947. [Google Scholar] [CrossRef]
- Guo, Y.Q.; Luo, H.; Wang, L.; Xu, M.Y.; Wan, Y.S.; Chou, M.X.; Shi, P.; Wei, G.H. Multifunctionality and microbial communities in agricultural soils regulate the dynamics of a soil-borne pathogen. Plant Soil 2021, 461, 309–322. [Google Scholar] [CrossRef]
- Li, M.; Liu, R.-R.; Lü, L.; Hu, M.-B.; Xu, S.; Zhang, Y.-C. Percolation on complex networks: Theory and application. Phys. Rep. 2021, 907, 1–68. [Google Scholar] [CrossRef]
- Zhang, Z.; Wang, J.; Li, B. Determining the influence factors of soil organic carbon stock in opencast coal-mine dumps based on complex network theory. Catena 2019, 173, 433–444. [Google Scholar] [CrossRef]
- Li, F.; Li, X.; Hou, L.; Shao, A. A long-term study on the soil reconstruction process of reclaimed land by coal gangue filling. Catena 2020, 195, 104874. [Google Scholar] [CrossRef]
- Jiang, Y.; Xue, L.; Gu, R.; Jia, M.; Zhang, Y.; Wen, L.; Zheng, P.; Chen, T.; Li, H.; Shan, Y.; et al. Sources of nitrous acid (hono) in the upper boundary layer and lower free troposphere of the north china plain: Insights from the mount tai observatory. Atmos. Chem. Phys. 2020, 20, 12115–12131. [Google Scholar] [CrossRef]
- Zhang, Z.; Abuduwaili, J.; Jiang, F. Heavy metal contamination, sources, and pollution assessment of surface water in the tianshan mountains of china. Env. Monit. Assess 2015, 187, 33. [Google Scholar] [CrossRef]
- Liu, X.H.; Wai, K.M.; Wang, Y.; Zhou, J.; Li, P.H.; Guo, J.; Xu, P.J.; Wang, W.X. Evaluation of trace elements contamination in cloud/fog water at an elevated mountain site in northern china. Chemosphere 2012, 88, 531–541. [Google Scholar] [CrossRef]
- Gan, Y.; Li, N.; Li, J. Differences in the rainfall characteristics between mount tai and its surrounding areas. J. Meteorol. Res. 2019, 33, 976–988. [Google Scholar] [CrossRef]
- Thurston, E.; Reader, R.J. Impacts of experimentally applied mountain biking and hiking on vegetation and soil of a deciduous forest. Environ. Manag. 2001, 27, 397–409. [Google Scholar] [CrossRef] [PubMed]
- Mikhailenko, A.V.; Ruban, D.A.; Ermolaev, V.A.; van Loon, A.J. Cadmium pollution in the tourism environment: A literature review. Geosciences 2020, 10, 242. [Google Scholar] [CrossRef]
- Wang, Q.; Dong, Y.; Liu, C.; Qiu, X.; Hu, G.; Wang, Y.; Zhang, X. Impact of tourism activities on soil quality of mountain tai scenic area. Acta Pedol. Sin. 2012, 49, 398–402. (In Chinese) [Google Scholar]
- Wang, Q.; Dong, Y.; Qiu, X.; Hu, G.; Wang, Y.; Zhang, X. Soil heavy metal pollution and effect on the soil enzyme activity in mount tai scenic area. J. Soil Water Conserv. 2011, 25, 181–184. (In Chinese) [Google Scholar] [CrossRef]
- Long, L.; Liu, Y.; Chen, X.; Guo, J.; Li, X.; Guo, Y.; Zhang, X.; Lei, S. Analysis of spatial variability and influencing factors of soil nutrients in western china: A case study of the daliuta mining area. Sustainability 2022, 14, 2793. [Google Scholar] [CrossRef]
- Zhang, C.; Song, P.; Xia, Q.; Li, X.; Wang, J.; Zhu, L.; Wang, J. Responses of microbial community to di-(2-ethylhcxyl) phthalate contamination in brown soil. Bull. Env. Contam. Toxicol. 2020, 104, 820–827. [Google Scholar] [CrossRef]
- Dong, X.; Gao, P.; Zhou, R.; Li, C.; Dun, X.; Niu, X. Changing characteristics and influencing factors of the soil microbial community during litter decomposition in a mixed quercus acutissima carruth. And robinia pseudoacacia l. Forest in northern china. Catena 2021, 196, 104811. [Google Scholar] [CrossRef]
- Xiao, L.; Yu, Z.; Liu, H.; Tan, T.; Yao, J.; Zhang, Y.; Wu, J. Effects of cd and pb on diversity of microbial community and enzyme activity in soil. Ecotoxicology 2020, 29, 551–558. [Google Scholar] [CrossRef]
- Zhang, Y.; Xu, J.; Dong, F.; Liu, X.; Wu, X.; Zheng, Y. Response of microbial community to a new fungicide fluopyram in the silty-loam agricultural soil. Ecotoxicol. Environ. Saf. 2014, 108, 273–280. [Google Scholar] [CrossRef]
- Shao, G.; Ai, J.; Sun, Q.; Hou, L.; Dong, Y. Soil quality assessment under different forest types in the mount tai, central eastern china. Ecol. Indic. 2020, 115, 106439. [Google Scholar] [CrossRef]
- Albert, K.M. Role of revegetation in restoring fertility of degraded mined soils in ghana: A review. Int. J. Biodivers. Conserv. 2015, 7, 57–80. [Google Scholar] [CrossRef]
- Gupta, N.; Yadav, V.K.; Yadav, K.K.; Alwetaishi, M.; Gnanamoorthy, G.; Singh, B.; Jeon, B.-H.; Cabral-Pinto, M.M.; Choudhary, N.; Ali, D. Recovery of iron nanominerals from sacred incense sticks ash waste collected from temples by wet and dry magnetic separation method. Environ. Technol. Innov. 2022, 25, 102150. [Google Scholar] [CrossRef]
- Li, R.; Bing, H.; Wu, Y.; Zhou, J.; Xiang, Z. Altitudinal patterns and controls of trace metal distribution in soils of a remote high mountain, southwest china. Environ. Geochem. Health 2018, 40, 505–519. [Google Scholar] [CrossRef]
- Zhang, H.; Yin, R.S.; Feng, X.B.; Sommar, J.; Anderson, C.W.; Sapkota, A.; Fu, X.W.; Larssen, T. Atmospheric mercury inputs in montane soils increase with elevation: Evidence from mercury isotope signatures. Sci. Rep. 2013, 3, 3322. [Google Scholar] [CrossRef]
- Huang, J.; Kang, S.; Zhang, Q.; Jenkins, M.G.; Guo, J.; Zhang, G.; Wang, K. Spatial distribution and magnification processes of mercury in snow from high-elevation glaciers in the tibetan plateau. Atmos. Environ. 2012, 46, 140–146. [Google Scholar] [CrossRef]
- Lee, K.; Hur, S.D.; Hou, S.; Hong, S.; Qin, X.; Ren, J.; Liu, Y.; Rosman, K.J.; Barbante, C.; Boutron, C.F. Atmospheric pollution for trace elements in the remote high-altitude atmosphere in central asia as recorded in snow from mt. Qomolangma (everest) of the himalayas. Sci. Total Environ. 2008, 404, 171–181. [Google Scholar] [CrossRef]
- Gerdol, R.; Bragazza, L. Effects of altitude on element accumulation in alpine moss. Chemosphere 2006, 64, 810–816. [Google Scholar] [CrossRef]
- Klimek, B.; Sitarz, A.; Choczynski, M.; Niklinska, M. The effects of heavy metals and total petroleum hydrocarbons on soil bacterial activity and functional diversity in the upper silesia industrial region (poland). Water Air Soil Pollut. 2016, 227, 265. [Google Scholar] [CrossRef]
- Zhang, P.; Qin, C.; Hong, X.; Kang, G.; Qin, M.; Yang, D.; Pang, B.; Li, Y.; He, J.; Dick, R.P. Risk assessment and source analysis of soil heavy metal pollution from lower reaches of yellow river irrigation in china. Sci. Total Environ. 2018, 633, 1136–1147. [Google Scholar] [CrossRef]
- Ma, J.; Gonzalez-Ollauri, A.; Zhang, Q.; Xiao, D.; Chen, F. Ecological network analysis to assess the restoration success of disturbed mine soil in zoucheng, china. Land Degrad. Dev. 2021, 32, 5393–5411. [Google Scholar] [CrossRef]
- Zhang, M.; Wang, J.; Li, S.; Feng, D.; Cao, E. Dynamic changes in landscape pattern in a large-scale opencast coal mine area from 1986 to 2015: A complex network approach. Catena 2020, 194, 104738. [Google Scholar] [CrossRef]
- Zhang, X.; Li, F.; Li, X. Evolution of soil quality on a subsidence slope in a coal mining area: A complex network approach. Arab. J. Geosci. 2022, 15, 549. [Google Scholar] [CrossRef]
- Szopka, K.; Karczewska, A.; Kabała, C. Mercury accumulation in the surface layers of mountain soils: A case study from the karkonosze mountains, poland. Chemosphere 2011, 83, 1507–1512. [Google Scholar] [CrossRef] [PubMed]
- Holloway, J.M.; Goldhaber, M.B.; Morrison, J.M. Geomorphic controls on mercury accumulation in soils from a historically mined watershed, central california coast range, USA. Appl. Geochem. 2009, 24, 1538–1548. [Google Scholar] [CrossRef]
- Yan, T.; Xue, J.; Zhou, Z.; Wu, Y. Effects of biochar-based fertilizer on soil bacterial network structure in a karst mountainous area. Catena 2021, 206, 105535. [Google Scholar] [CrossRef]
- Vragović, I.; Louis, E.; Díaz-Guilera, A. Efficiency of informational transfer in regular and complex networks. Phys. Rev. E 2005, 71, 036122. [Google Scholar] [CrossRef]




| Equation | Specification | Ref. | |
|---|---|---|---|
| AWCD | and R are the absorbance values of the ith hole and the control hole is the ratio of the relative absorbance of the ith well to the sum of the relative absorbance of the entire plate ni is the relative absorbance of the ith hole | [28,29] | |
| Shannon index | |||
| Simpson index | |||
| McIntosh index |
| Sites | pH | EC | OM (%) | AN (mg/kg) | AP (mg/kg) | AK (mg/kg) | TN (g/kg) |
|---|---|---|---|---|---|---|---|
| A1 | 6.70 | 148.7 | 12.78 | 108.77 | 50.39 | 239.28 | 1.09 |
| A2 | 6.26 | 84.37 | 10.65 | 282.56 | 41.14 | 314.82 | 2.52 |
| A3 | 7.04 | 110.07 | 10.06 | 307.03 | 38.77 | 200.55 | 2.72 |
| A4 | 7.42 | 102.43 | 10.63 | 206.17 | 79.74 | 290.23 | 2.33 |
| A5 | 6.87 | 68.60 | 9.53 | 184.91 | 62.53 | 400.55 | 2.04 |
| A6 | 6.61 | 64.40 | 8.04 | 282.58 | 51.32 | 94.55 | 2.35 |
| A7 | 7.20 | 128.63 | 11.38 | 274.56 | 68.99 | 451.27 | 3.09 |
| A8 | 7.46 | 139.10 | 12.33 | 310.00 | 39.96 | 420.69 | 3.15 |
| A9 | 6.93 | 121.33 | 6.69 | 283.30 | 43.27 | 414.57 | 3.23 |
| A10 | 7.30 | 113.60 | 4.68 | 231.88 | 67.19 | 343.23 | 2.10 |
| Average (A) | 6.98 | 108.12 | 9.68 | 247.18 | 54.33 | 316.97 | 2.46 |
| S.d. (A) | 0.36 | 27.03 | 2.41 | 60.86 | 13.65 | 107.60 | 0.61 |
| B1 | 6.67 | 150.11 | 13.11 | 185.66 | 58.74 | 216.89 | 1.11 |
| B2 | 6.31 | 120.2 | 12.78 | 206.56 | 58.77 | 239.11 | 1.89 |
| B3 | 6.89 | 115.89 | 12.48 | 256.78 | 56.15 | 203.98 | 2.68 |
| B4 | 6.89 | 115.55 | 13.11 | 282.77 | 65.39 | 310.89 | 2.56 |
| B5 | 6.91 | 150.44 | 10.65 | 170.99 | 59.43 | 254.55 | 2.22 |
| B6 | 6.8 | 138.88 | 11.78 | 278.88 | 68.82 | 350.32 | 2.41 |
| B7 | 7.11 | 140.44 | 12.78 | 309.45 | 76.77 | 368.89 | 3.56 |
| B8 | 7.07 | 160.00 | 11.38 | 300.13 | 65.66 | 381.44 | 3.33 |
| B9 | 7.01 | 159.89 | 9.53 | 296.82 | 65.15 | 367.87 | 3.18 |
| B10 | 7.12 | 157.88 | 8.99 | 247.77 | 67.77 | 383.69 | 3.13 |
| Average (B) | 6.88 | 140.93 | 11.66 | 253.58 | 64.27 | 307.76 | 2.61 |
| S.d. (B) | 0.23 | 17.00 | 1.42 | 47.26 | 5.86 | 65.32 | 0.71 |
| B.v. | 6.0-6.9 | - | 9.2 | 57 | 5.3 | 75 | 0.62 |
| Sites | Single Factor Index | Nemerow Multi-Factor Index | Pollution Degree | |||||
|---|---|---|---|---|---|---|---|---|
| Hg | As | Pb | Cd | Cu | Cr | |||
| A1 | 0.26 | 0.64 | 0.84 | 1.10 | 0.52 | 0.59 | 0.91 | Even cleanness |
| A2 | 0.61 | 0.46 | 0.86 | 1.10 | 0.70 | 0.55 | 0.93 | Even cleanness |
| A3 | 0.93 | 0.42 | 0.90 | 1.40 | 0.73 | 0.55 | 1.15 | Slightly polluted |
| A4 | 0.53 | 0.46 | 0.90 | 1.10 | 0.82 | 0.57 | 0.93 | Even cleanness |
| A5 | 1.00 | 0.46 | 0.85 | 1.80 | 0.75 | 0.52 | 1.42 | Slightly polluted |
| A6 | 1.31 | 0.49 | 2.04 | 2.65 | 1.04 | 0.58 | 2.10 | Moderately polluted |
| A7 | 1.07 | 0.49 | 0.99 | 1.90 | 1.21 | 0.68 | 1.54 | Slightly polluted |
| A8 | 10.21 | 0.75 | 1.33 | 2.30 | 1.13 | 0.77 | 7.48 | Strongly polluted |
| A9 | 16.05 | 0.89 | 2.48 | 2.10 | 1.33 | 0.78 | 11.69 | Strongly polluted |
| A10 | 4.93 | 0.70 | 1.25 | 2.00 | 1.42 | 0.70 | 3.72 | Strongly polluted |
| Average (A) | 3.69 | 0.57 | 1.24 | 1.75 | 0.97 | 0.63 | 3.19 | Strongly polluted |
| B1 | 0.27 | 0.64 | 0.83 | 1.10 | 0.52 | 0.59 | 0.91 | Even cleanness |
| B2 | 0.60 | 0.41 | 0.57 | 0.95 | 0.63 | 0.51 | 0.80 | Even cleanness |
| B3 | 0.83 | 0.42 | 0.83 | 1.10 | 0.73 | 0.54 | 0.94 | Even cleanness |
| B4 | 0.53 | 0.41 | 0.72 | 1.30 | 0.75 | 0.55 | 1.05 | Slightly polluted |
| B5 | 0.80 | 0.41 | 0.72 | 1.20 | 0.78 | 0.54 | 1.00 | Even cleanness |
| B6 | 1.20 | 0.49 | 0.79 | 1.15 | 0.85 | 0.55 | 1.04 | Slightly polluted |
| B7 | 1.07 | 0.48 | 0.87 | 1.40 | 0.86 | 0.57 | 1.17 | Slightly polluted |
| B8 | 9.87 | 0.68 | 0.99 | 1.39 | 0.92 | 0.58 | 7.18 | Strongly polluted |
| B9 | 13.19 | 0.68 | 1.11 | 1.46 | 0.86 | 0.69 | 9.56 | Strongly polluted |
| B10 | 8.13 | 0.71 | 1.03 | 1.48 | 0.91 | 0.68 | 5.95 | Strongly polluted |
| Average (B) | 3.65 | 0.53 | 0.85 | 1.25 | 0.78 | 0.58 | 2.96 | Moderately polluted |
| Hg (1–2) | As (1–2) | Pb (1–2) | Cd (1–2) | Cu (1–2) | Cr (1–2) | |
|---|---|---|---|---|---|---|
| Pearson correlation | 0.964 ** | 0.913 ** | - | - | 0.886 ** | 0.771 ** |
| Sig. (2-tailed) | 0.000 | 0.000 | 0.670 | 0.134 | 0.001 | 0.009 |
| Hg1-Al. | As1-Al. | Pb1-Al. | Cd1-Al. | Cu1-Al. | Cr1-Al. | |
| Pearson correlation | 0.812 ** | 0.788 ** | - | - | 0.912 ** | 0.888 ** |
| Sig. (2-tailed) | 0.004 | 0.007 | 0.790 | 0.115 | 0.000 | 0.001 |
| Hg2-Al. | As2-Al. | Pb2-Al. | Cd2-Al. | Cu2-Al. | Cr2-Al. | |
| Pearson correlation | 0.899 ** | 0.720 * | 0.876 ** | 0.921** | 0.769 ** | 0.859 ** |
| Sig. (2-tailed) | 0.000 | 0.019 | 0.001 | 0.000 | 0.009 | 0.001 |
| AWCD | Shannon | McIntosh | Simpson | |
|---|---|---|---|---|
| A1 | 1.27 ± 0.033 | 3.02 ± 0.026 | 7.49 ± 0.236 | 19.42 ± 0.640 |
| A2 | 1.43 ± 0.019 | 3.30 ± 0.010 | 8.39 ± 0.072 | 25.95 ± 0.293 |
| A3 | 1.59 ± 0.016 | 3.36 ± 0.007 | 9.64 ± 0.071 | 28.23 ± 0.240 |
| A4 | 1.49 ± 0.021 | 3.27 ± 0.014 | 8.74 ± 0.165 | 25.70 ± 0.508 |
| A5 | 1.69 ± 0.008 | 3.39 ± 0.002 | 9.42 ± 0.045 | 29.22 ± 0.071 |
| A6 | 1.24 ± 0.068 | 3.20 ± 0.047 | 7.75 ± 0.296 | 22.45 ± 0.655 |
| A7 | 1.39 ± 0.017 | 3.33 ± 0.011 | 9.05 ± 0.236 | 27.14 ± 0.376 |
| A8 | 1.46 ± 0.036 | 3.32 ± 0.009 | 9.27 ± 0.442 | 26.99 ± 0.348 |
| A9 | 1.32 ± 0.112 | 3.17 ± 0.008 | 8.09 ± 0.242 | 22.80 ± 0.382 |
| A10 | 1.50 ± 0.015 | 3.33 ± 0.002 | 8.87 ± 0.050 | 27.13 ± 0.046 |
| Average (A) | 1.438 | 3.269 | 8.671 | 25.470 |
| B1 | 1.38 ± 0.015 | 3.11 ± 0.036 | 7.55 ± 0.36 | 22.45 ± 0.355 |
| B2 | 1.38 ± 0.018 | 3.32 ± 0.019 | 8.56 ± 0.052 | 25.95 ± 0.193 |
| B3 | 1.65 ± 0.006 | 3.41 ± 0.027 | 9.64 ± 0.171 | 30.23 ± 0.290 |
| B4 | 1.43 ± 0.011 | 3.41 ± 0.010 | 9.17 ± 0.095 | 28.70 ± 0.108 |
| B5 | 1.64 ± 0.008 | 3.40 ± 0.002 | 9.52 ± 0.105 | 29.27 ± 0.121 |
| B6 | 1.20 ± 0.045 | 3.33 ± 0.027 | 9.15 ± 0.296 | 26.54 ± 0.253 |
| B7 | 1.25 ± 0.028 | 3.52 ± 0.018 | 10.05 ± 0.096 | 28.33 ± 0.198 |
| B8 | 1.52 ± 0.015 | 3.29 ± 0.013 | 9.97 ± 0.142 | 27.61 ± 0.267 |
| B9 | 1.53 ± 0.015 | 3.22 ± 0.009 | 9.09 ± 0.142 | 25.99 ± 0.282 |
| B10 | 1.49 ± 0.006 | 3.30 ± 0.006 | 9.37 ± 0.099 | 27.66 ± 0.146 |
| Average (B) | 1.440 | 3.329 | 8.983 | 27.190 |
| AWCD | Shannon | McIntosh | Simpson | pH | EC | AK | OM | AN | AP | TN | Hg | As | Pb | Cd | Cu | Cr | Al. | ||
|---|---|---|---|---|---|---|---|---|---|---|---|---|---|---|---|---|---|---|---|
| A | 3.00 | 3.00 | 3.00 | 3.00 | - | - | - | 1.00 | 1.00 | - | 1.00 | 5.00 | 4.00 | 3.00 | 2.00 | 5.00 | 4.00 | 4.00 | |
| B | 3.00 | 3.00 | 5.00 | 5.00 | 6.00 | 9.00 | 5.00 | 6.00 | 4.00 | 5.00 | 9.00 | 8.00 | 5.00 | 9.00 | 9.00 | 10.00 | 7.00 | 10.00 | |
| A | 2.56 | 2.70 | 2.73 | 2.81 | - | - | - | 0.65 | 0.88 | - | 0.88 | 3.95 | 3.20 | 2.08 | 1.42 | 3.70 | 3.42 | 3.40 | |
| B | 2.49 | 2.59 | 4.17 | 4.02 | 4.64 | 6.94 | 3.65 | 4.28 | 2.92 | 3.48 | 6.91 | 6.21 | 4.03 | 7.17 | 7.21 | 7.44 | 5.65 | 8.14 | |
| A | 1.00 | 1.00 | 0.67 | 0.67 | - | - | - | 0.00 | 0.67 | - | 0.00 | 0.62 | 0.69 | 0.33 | 0.00 | 0.32 | 0.84 | 0.83 | |
| B | 1.00 | 1.00 | 0.50 | 0.52 | 0.87 | 0.90 | 0.65 | 0.68 | 1.00 | 1.00 | 0.49 | 0.69 | 0.90 | 0.62 | 0.60 | 0.42 | 0.77 | 0.59 | |
Publisher’s Note: MDPI stays neutral with regard to jurisdictional claims in published maps and institutional affiliations. |
© 2022 by the authors. Licensee MDPI, Basel, Switzerland. This article is an open access article distributed under the terms and conditions of the Creative Commons Attribution (CC BY) license (https://creativecommons.org/licenses/by/4.0/).
Share and Cite
Li, F.; Wang, K.; Li, X.; Zhang, H.; Li, Y. The Evaluation and Key-Factor Identification of the Influence of Tourism on the Soil of Mount Tai. Sustainability 2022, 14, 13929. https://doi.org/10.3390/su142113929
Li F, Wang K, Li X, Zhang H, Li Y. The Evaluation and Key-Factor Identification of the Influence of Tourism on the Soil of Mount Tai. Sustainability. 2022; 14(21):13929. https://doi.org/10.3390/su142113929
Chicago/Turabian StyleLi, Fang, Kailai Wang, Xin Li, Haodong Zhang, and Ying Li. 2022. "The Evaluation and Key-Factor Identification of the Influence of Tourism on the Soil of Mount Tai" Sustainability 14, no. 21: 13929. https://doi.org/10.3390/su142113929
APA StyleLi, F., Wang, K., Li, X., Zhang, H., & Li, Y. (2022). The Evaluation and Key-Factor Identification of the Influence of Tourism on the Soil of Mount Tai. Sustainability, 14(21), 13929. https://doi.org/10.3390/su142113929

