Numerical Simulation Study of High-Pressure Air Injection to Promote Gas Drainage
Abstract
1. Introduction
2. Fluid-Structure Coupling Model of High-Pressure Air Extraction
- The coal seam is composed of fractures, pores, and coal matrix, and the coal seam conforms to the dual poroelastic medium [23].
- Combined with the geological conditions of the coal seam, the influence of coal seam water content on gas drainage can be neglected. Therefore, the coal seam is assumed to be a dry porous medium, ignoring the influence of water.
- During the movement of coalbed methane and the process of adsorption and desorption, the coalbed temperature does not change much, so the migration of the mixed gas during the pumping and injection process is treated as an isothermal process.
- The mixed gas is ideal, and its dynamic viscosity coefficient does not change under isothermal conditions.
- The coal matrix pore and the coal seam fracture systems are continuum systems.
- On the surface of the matrix system, the gas mixture exists in an adsorbed state, which conforms to the modified Langmuir equation; in the matrix pores and coal seam fractures, the gas mixture satisfies the ideal gas-free law [28].
- The migration of gas mixture in fractures follows Darcy’s law, and the migration in the coal matrix follows Fick’s law of diffusion [29]. Specifically, in the absence of external interference, the adsorbed gas and the free gas are in a dynamic equilibrium state. When the gas adsorption equilibrium in the coal seam is broken, the gas will be transported along the matrix pores and fractures and the gas transport rate in the fractures is larger than the diffusion rate in the matrix pores. The injected air moves in the opposite direction, re-migrates in the fracture with Darcy flow after drilling, and then diffuses into the coal matrix through Fick’s law [30].
2.1. Diffusion and Migration of Gases in Coal Matrix
2.2. Diffusion and Migration of Gas in Fractures
2.3. Geomechanical Response Equation of Coal Seam
2.4. Geomechanical Response Equation of Coal Seam
2.5. Model Parameter
3. Finite Element Analysis of Gas Injection and Extraction Model
4. Results and Discussion
5. Feasibility Analysis and Sustainability
6. Conclusions
- A fluid-structure coupling model for gas drainage promoted by high-pressure air injection was established. The model improves the dynamic permeability and considers the shrinkage and expansion of the matrix caused by high-pressure air injection.
- A series of drill holes with different extraction categories and different drill hole spacings were set up. When comparing the extraction effects of high-pressure air injection and single gas extraction, high-pressure air injection can greatly improve gas extraction efficiency. Under the same extraction interval, the time to reach the standard of extraction by gas injection extraction is half of that of single extraction.
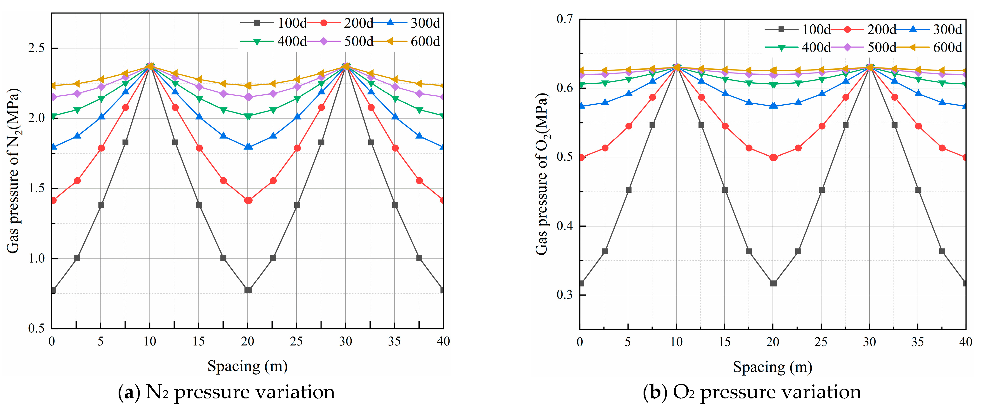
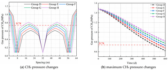
- The pressure distribution and changes of CH4, N2, and O2 in the process of high-pressure air injection and extraction were analyzed. In the early stage of injection, only the CH4 pressure near the extraction hole and the injection hole was low, but the influence range was small; with the increase of time, the CH4 pressure between the injection holes decreased significantly, and the N2 and O2 pressure continued to increase, and finally penetrated the extraction hole and injection holes.
- Combined with the simulation results, a series of simulations were carried out to optimize the drilling arrangement. Under the background of coal seam gas geological conditions and gas injection pressure of 3 MPa in this paper, to achieve the best safe extraction effect and minimum drilling volume, it is best to set the distance between the extraction hole and the injection hole to 12.5 m.
Author Contributions
Funding
Institutional Review Board Statement
Informed Consent Statement
Data Availability Statement
Conflicts of Interest
References
- Mu, Y.; Fan, N.; Wang, J. CBM recovery technology characterized by docking ground multi-branch horizontal wells with underground boreholes. Energy Sourc. Part A Recovery Util. Environ. Eff. 2021, 43, 645–659. [Google Scholar] [CrossRef]
- Fan, N.; Wang, J.; Deng, C.; Fan, Y.; Mu, Y.; Wang, T. Numerical study on enhancing coalbed methane recovery by injecting N2/CO2 mixtures and its geological significance. Energy Sci. Eng. 2020, 8, 1104–1119. [Google Scholar] [CrossRef]
- Fan, C.; Li, S.; Elsworth, D.; Han, J.; Yang, Z. Experimental investigation on dynamic strength and energy dissipation characteristics of gas outburst-prone coal. Energy Sci. Eng. 2020, 8, 1015–1028. [Google Scholar] [CrossRef]
- Sobczyk, J. A comparison of the influence of adsorbed gases on gas stresses leading to coal and gas outburst. Fuel 2014, 115, 288–294. [Google Scholar] [CrossRef]
- Yang, X.; Wang, G.; Du, F.; Jin, L.; Gong, H. N2 injection to enhance coal seam gas drainage (N2-ECGD): Insights from underground field trial investigation. Energy 2022, 239, 122247. [Google Scholar] [CrossRef]
- Zhou, F.; Oraby, M.; Luft, J.; Guevara, M.O.; Keogh, S.; Lai, W. Coal seam gas reservoir characterization based on high-resolution image logs from vertical and horizontal wells: A case study. Int. J. Coal Geol. 2022, 262, 104110. [Google Scholar] [CrossRef]
- Fan, C.; Li, S.; Luo, M.; Yang, Z.; Lan, T. Numerical simulation of hydraulic fracturing in coal seam for enhancing underground gas drainage. Energy Explor. Exploit. 2019, 37, 166–193. [Google Scholar] [CrossRef]
- Yang, Y.; Han, P.; Zhao, Z.; Chen, W. The Method of Determining Layer in Bottom Drainage Roadway Taking Account of the Influence of Drilling Angle on Gas Extraction Effect. Sustainability 2022, 14, 5449. [Google Scholar] [CrossRef]
- Fang, Z.; Li, X.; Wang, G.G.X. A gas mixture enhanced coalbed methane recovery technology applied to underground coal mines. J. Min. Sci. 2013, 49, 106–117. [Google Scholar] [CrossRef]
- Lin, J.; Ren, T.; Cheng, Y.; Nemcik, J.; Wang, G. Cyclic N2 injection for enhanced coal seam gas recovery: A laboratory study. Energy 2019, 188, 116115. [Google Scholar] [CrossRef]
- Kumar, H.; Elsworth, D.; Mathews, J.P.; Liu, J.; Pone, D. Effect of CO2 injection on heterogeneously permeable coalbed reservoirs. Fuel 2014, 135, 509–521. [Google Scholar] [CrossRef]
- Xu, C.; Wang, K.; Li, X.; Yuan, L.; Zhao, C.; Guo, H. Collaborative gas drainage technology of high and low level roadways in highly-gassy coal seam mining. Fuel 2022, 323, 124325. [Google Scholar] [CrossRef]
- Wu, Y.; Liu, J.; Elsworth, D.; Chen, Z.; Connell, L.; Pan, Z. Dual poroelastic response of a coal seam to CO2 injection. Int. J. Greenh. Gas Control 2010, 4, 668–678. [Google Scholar] [CrossRef]
- Zhou, F.; Hussain, F.; Cinar, Y. Injecting pure N2 and CO2 to coal for enhanced coalbed methane: Experimental observations and numerical simulation. Int. J. Coal Geol. 2013, 116–117, 53–62. [Google Scholar] [CrossRef]
- Guan, C.; Liu, S.; Li, C.; Wang, Y.; Zhao, Y. The temperature effect on the methane and CO2 adsorption capacities of Illinois coal. Fuel 2018, 211, 241–250. [Google Scholar] [CrossRef]
- Fang, H.; Sang, S.; Liu, S. The coupling mechanism of the thermal-hydraulic-mechanical fields in CH4-bearing coal and its application in the CO2-enhanced coalbed methane recovery. J. Pet. Sci. Eng. 2019, 181, 106177. [Google Scholar] [CrossRef]
- Liu, Q.; Cheng, Y.; Ren, T.; Jing, H.; Tu, Q.; Dong, J. Experimental observations of matrix swelling area propagation on permeability evolution using natural and reconstituted samples. J. Nat. Gas Sci. Eng. 2016, 34, 680–688. [Google Scholar] [CrossRef]
- Jiang, Z.; Quan, X.; Tian, S.; Liu, H.; Guo, Y.; Fu, X.; Yang, X. Permeability-Enhancing Technology through Liquid CO2 Fracturing and Its Application. Sustainability 2022, 14, 10438. [Google Scholar] [CrossRef]
- Lin, J.; Ren, T.; Wang, G.; Booth, P.; Nemcik, J. Experimental investigation of N2 injection to enhance gas drainage in CO2-rich low permeable seam. Fuel 2018, 215, 665–674. [Google Scholar] [CrossRef]
- Masoudian, M.S.; Airey, D.W.; El-Zein, A. The role of coal seam properties on coupled processes during CO2 sequestration: A parametric study. Greenh. Gases Sci. Technol. 2016, 6, 492–518. [Google Scholar] [CrossRef]
- Connell, L.D.; Sander, R.; Camilleri, M.; Heryanto, D.; Pan, Z.; Lupton, N. Nitrogen enhanced drainage of CO2 rich coal seams for mining. Int. J. Min. Sci. Technol. 2017, 27, 755–761. [Google Scholar] [CrossRef]
- Packham, R.; Connell, L.; Cinar, Y.; Moreby, R. Observations from an enhanced gas recovery field trial for coal mine gas management. Int. J. Coal Geol. 2012, 100, 82–92. [Google Scholar] [CrossRef]
- Ren, T.; Wang, G.; Cheng, Y.; Qi, Q. Model development and simulation study of the feasibility of enhancing gas drainage efficiency through nitrogen injection. Fuel 2017, 194, 406–422. [Google Scholar] [CrossRef]
- Zhang, L.; Wu, Y.; Pu, H.; He, X.; Li, P. The Migration of Coalbed Methane under Mining Pressure and Air Injection: A Case Study in China. Geofluids 2018, 2018, 4034296. [Google Scholar] [CrossRef]
- Wei, M.-Y.; Liu, J.; Liu, Y.-K.; Liu, Z.-H.; Elsworth, D. Effect of adsorption-induced matrix swelling on coal permeability evolution of micro-fracture with the real geometry. Pet. Sci. 2021, 18, 1143–1152. [Google Scholar] [CrossRef]
- Fan, C.; Elsworth, D.; Li, S.; Zhou, L.; Yang, Z.; Song, Y. Thermo-hydro-mechanical-chemical couplings controlling CH4 production and CO2 sequestration in enhanced coalbed methane recovery. Energy 2019, 173, 1054–1077. [Google Scholar] [CrossRef]
- Zhao, Y.; Lin, B.; Liu, T.; Zheng, Y.; Kong, J.; Li, Q.; Song, H. Flow field evolution during gas depletion considering creep deformation. J. Nat. Gas Sci. Eng. 2019, 65, 45–55. [Google Scholar] [CrossRef]
- Gao, H. Simulation and optimization of high-pressure air injection promoting underground coal seam gas drainage. Energy Sources Part A Recovery Util. Environ. Eff. 2020, 1–17. [Google Scholar] [CrossRef]
- Song, H.; Lin, B.; Zhong, Z.; Liu, T. Dynamic Evolution of Gas Flow during Coalbed Methane Recovery to Reduce Greenhouse Gas Emission: A Case Study. ACS Omega 2022, 7, 29211–29222. [Google Scholar] [CrossRef]
- Liu, Q.; Cheng, Y.; Wang, H.; Zhou, H.; Liang, W.; Wei, L.; Liu, H. Numerical assessment of the effect of equilibration time on coal permeability evolution characteristics. Fuel 2015, 140, 81–89. [Google Scholar] [CrossRef]
- Liu, Q.; Chu, P.; Zhu, J.; Cheng, Y.; Wang, D.; Lu, Y.; Liu, Y.; Xia, L.; Wang, L. Numerical assessment of the critical factors in determining coal seam permeability based on the field data. J. Nat. Gas Sci. Eng. 2020, 74, 103098. [Google Scholar] [CrossRef]
- Zhu, W.C.; Wei, C.H.; Liu, J.; Qu, H.Y.; Elsworth, D. A model of coal–gas interaction under variable temperatures. Int. J. Coal Geol. 2011, 86, 213–221. [Google Scholar] [CrossRef]
- Majid Hassanizadeh, S. Derivation of basic equations of mass transport in porous media, Part 2. Generalized Darcy’s and Fick’s laws. Adv. Water Resour. 1986, 9, 207–222. [Google Scholar] [CrossRef]
- Lim, K.T.; Aziz, K. Matrix-fracture transfer shape factors for dual-porosity simulators. J. Pet. Sci. Eng. 1995, 13, 169–178. [Google Scholar] [CrossRef]
- Mora, C.A.; Wattenbarger, R.A. Analysis and Verification of Dual Porosity and CBM Shape Factors. J. Can. Pet. Technol. 2009, 48, 17–21. [Google Scholar] [CrossRef]
- Wang, K.; Wang, L.; Ju, Y.; Dong, H.; Zhao, W.; Du, C.; Guo, Y.; Lou, Z.; Gao, H. Numerical study on the mechanism of air leakage in drainage boreholes: A fully coupled gas-air flow model considering elastic-plastic deformation of coal and its validation. Process Saf. Environ. Prot. 2022, 158, 134–145. [Google Scholar] [CrossRef]
- Mian, C.; Zhida, C. Effective stress laws for multi-porosity media. Appl. Math. Mech. 1999, 20, 1207–1213. [Google Scholar] [CrossRef]
- Zhang, J.; Roegiers, J.-C.; Bai, M. Dual-porosity elastoplastic analyses of non-isothermal one-dimensional consolidation. Geotech. Geol. Eng. 2004, 22, 589–610. [Google Scholar] [CrossRef]
- Liu, Q.; Cheng, Y.; Wang, H.; Kong, S.; Dong, J.; Chen, M.; Zhang, H. Numerical assessment of the influences of coal permeability and gas pressure inhomogeneous distributions on gas drainage optimization. J. Nat. Gas Sci. Eng. 2017, 45, 797–811. [Google Scholar] [CrossRef]
- Wu, Y.; Liu, J.; Chen, Z.; Elsworth, D.; Pone, D. A dual poroelastic model for CO2-enhanced coalbed methane recovery. Int. J. Coal Geol. 2011, 86, 177–189. [Google Scholar] [CrossRef]
- Liu, T.; Lin, B.; Yang, W.; Liu, T.; Kong, J.; Huang, Z.; Wang, R.; Zhao, Y. Dynamic diffusion-based multifield coupling model for gas drainage. J. Nat. Gas Sci. Eng. 2017, 44, 233–249. [Google Scholar] [CrossRef]
- Lin, J.; Ren, T.; Wang, G.; Nemcik, J. Simulation investigation of N2-injection enhanced gas drainage: Model development and identification of critical parameters. J. Nat. Gas Sci. Eng. 2018, 55, 30–41. [Google Scholar] [CrossRef]
- Huo, B.; Jing, X.; Fan, C.; Han, Y. Numerical investigation of flue gas injection enhanced underground coal seam gas drainage. Energy Sci. Eng. 2019, 7, 3204–3219. [Google Scholar] [CrossRef]









| Parameter | Numerical Value | Unit | Access | Mark |
|---|---|---|---|---|
| Initial matrix porosity | 0.042 | Field data | ||
| Initial fracture porosity | 0.008 | Field data | ||
| Initial fracture permeability | 7.64 × 10−17 | m2 | Field data | |
| Elastic modulus of coal matrix | 8469 | MPa | Reference | Fan et al., 2020 [2] |
| Poisson’s ratio | 0.32 | Experiment | ||
| Diffusion coefficient | 5.48 × 10−12 | m2/s | Reference | Liu et al., 2017 [41] |
| Initial CH4 pressure | 1.48 | MPa | Field data | |
| Initial N2 pressure | 84 | kPa | Estimate | |
| Initial O2 pressure | 26 | kPa | Estimate | |
| Adsorption time of CH4 | 4.8 | day(d) | Experiment | |
| Adsorption time of N2 | 3.7 | day(d) | Experiment | |
| Adsorption time of O2 | 3.2 | day(d) | Experiment | |
| Dynamic viscosity of CH4 | 1.03 × 10−5 | Pa·s | Reference | Wu et al., 2010 [13] |
| Dynamic viscosity of N2 | 1.37 × 10−5 | Pa·s | Reference | Lin et al., 2019 [10] |
| Dynamic viscosity of O2 | 2.21 × 10−5 | Pa·s | Reference | Lin et al., 2019 [10] |
| Langmuir pressure constant of CH4 | 1.32 | MPa | Experiment | |
| Langmuir pressure constant of N2 | 1.51 | MPa | Experiment | |
| Langmuir pressure constant of O2 | 2.42 | MPa | Experiment | |
| Langmuir volume constant of CH4 | 0.0214 | m3/kg | Experiment | |
| Langmuir volume constant of N2 | 0.0204 | m3/kg | Experiment | |
| Langmuir volume constant of O2 | 0.0151 | m3/kg | Experiment | |
| Langmuir strain constant of CH4 | 0.0128 | Reference | Lin et al., 2017 [42] | |
| Langmuir strain constant of N2 | 0.0052 | Reference | Lin et al., 2017 [42] | |
| Langmuir strain constant of O2 | 0.0038 | Reference | Huo et al., 2017 [43] |
Publisher’s Note: MDPI stays neutral with regard to jurisdictional claims in published maps and institutional affiliations. |
© 2022 by the authors. Licensee MDPI, Basel, Switzerland. This article is an open access article distributed under the terms and conditions of the Creative Commons Attribution (CC BY) license (https://creativecommons.org/licenses/by/4.0/).
Share and Cite
Xu, W.; Zheng, X.; Liu, C.; Li, P.; Li, B.; Shayanowako, K.M.; Wang, J.; Guo, X.; Lai, G. Numerical Simulation Study of High-Pressure Air Injection to Promote Gas Drainage. Sustainability 2022, 14, 13699. https://doi.org/10.3390/su142113699
Xu W, Zheng X, Liu C, Li P, Li B, Shayanowako KM, Wang J, Guo X, Lai G. Numerical Simulation Study of High-Pressure Air Injection to Promote Gas Drainage. Sustainability. 2022; 14(21):13699. https://doi.org/10.3390/su142113699
Chicago/Turabian StyleXu, Wenjie, Xigui Zheng, Cancan Liu, Peng Li, Boyang Li, Kundai Michael Shayanowako, Jiyu Wang, Xiaowei Guo, and Guowei Lai. 2022. "Numerical Simulation Study of High-Pressure Air Injection to Promote Gas Drainage" Sustainability 14, no. 21: 13699. https://doi.org/10.3390/su142113699
APA StyleXu, W., Zheng, X., Liu, C., Li, P., Li, B., Shayanowako, K. M., Wang, J., Guo, X., & Lai, G. (2022). Numerical Simulation Study of High-Pressure Air Injection to Promote Gas Drainage. Sustainability, 14(21), 13699. https://doi.org/10.3390/su142113699

