Modification of Freezing Point for Hydrogel Extinguishant and Its Effect on Comprehensive Properties in Simulated Forest Fire Rescue
Abstract
:1. Introduction
2. Materials and Methods
2.1. Chemicals
2.2. Characterisation of Commercial Hydrogel Extinguishant
2.2.1. Particle Size Test and Water Absorption Rate Test
2.2.2. Water Dispersion Test
2.2.3. Viscosity Test
2.2.4. Freezing Point Test
2.3. Modification of Hydrogel Extinguishant
Effects of Various Additives on Properties of the Hydrogel Extinguishant
2.4. Evaluation of Modified Hydrogel Extinguishant
Adhesion and Flame Retardant Performance Tests of the Modified Hydrogel Extinguishant
3. Results and Discussion
3.1. Characterisation of Commercial Hydrogel Extinguishant
3.1.1. Particle Size and Water Absorption Rate of #1 and #2 Extinguishants
3.1.2. Freezing Point and Viscosity of #1 and #2 Extinguishants
3.1.3. Water Dispersion of #1 and #2 Extinguishants
3.2. Effect of Freezing Point and Flame Retardant Performance Modifications on Viscosity of #1 Extinguishant
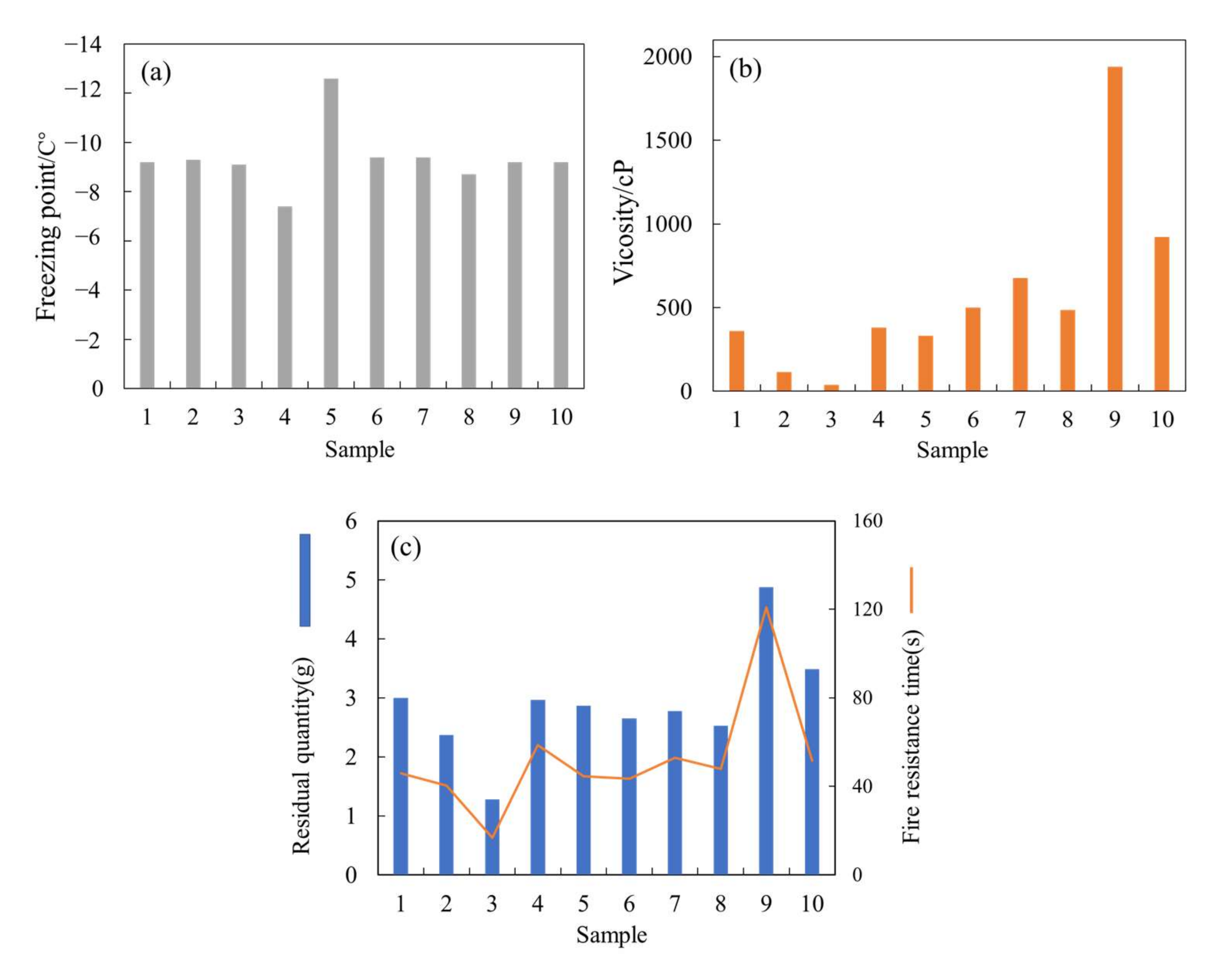
3.3. Formulation Optimisation of Various Additives
3.4. Safety Performance Evaluation of Modified Hydrogel Extinguishant
4. Conclusions
Supplementary Materials
Author Contributions
Funding
Institutional Review Board Statement
Informed Consent Statement
Data Availability Statement
Conflicts of Interest
References
- Liodakis, S.; Antonopoulos, I.; Kakardakis, T. Evaluating the use of minerals as forest fire retardants. Fire Saf. J. 2010, 45, 98–105. [Google Scholar] [CrossRef]
- Chiriacò, M.V.; Perugini, L.; Cimini, D.; D’Amato, E.; Valentini, R.; Bovio, G.; Corona, P.; Barbati, A. Comparison of approaches for reporting forest fire-related biomass loss and greenhouse gas emissions in southern Europe. Int. J. Wildland Fire 2013, 22, 730–738. [Google Scholar] [CrossRef] [Green Version]
- Hanson, D.A.; Britney, E.M.; Earle, C.J.; Stewart, T.G. Adapting habitat equivalency analysis (HEA) to assess environmental loss and compensatory restoration following severe forest fires. For. Ecol. Manag. 2013, 294, 166–177. [Google Scholar] [CrossRef]
- Morgan, P.; Heyerdahl, E.K.; Gibson, C.E. Multi-season climate synchronized forest fires throughout the 20th century, northern Rockies, USA. Ecology 2008, 89, 717–728. [Google Scholar] [CrossRef] [Green Version]
- Zong, X.Z.; Tian, X.R.; Liu, J.L. A Fire Regime Zoning System for China. Front. For. Glob. Chang. 2021, 4, 11. [Google Scholar] [CrossRef]
- Merino, L.; Caballero, F.; Martínez-de-Dios, J.R.; Maza, I.; Ollero, A. An unmanned aircraft system for automatic forest fire monitoring and measurement. J. Intell. Robot. Syst. 2011, 65, 533–548. [Google Scholar] [CrossRef]
- Clark, N.A.; Martell, D.L. The use of aircraft tracking GPS data to develop models of the use of airtankers in forest fire management. INFOR Inf. Syst. Oper. Res. 2020, 57, 535–562. [Google Scholar] [CrossRef]
- Volkov, R.S.; Kuznetsov, G.V.; Strizhak, P.A. Experimental study of the suppression of flaming combustion and thermal decomposition of model ground and crown forest fires. Combust. Explos. Shock Waves 2017, 53, 678–688. [Google Scholar] [CrossRef]
- Andersson, B.; Blomqvist, P. Experimental study of thermal breakdown products from halogenated extinguishing agents. Fire Saf. J. 2011, 46, 104–115. [Google Scholar] [CrossRef]
- Kloss, C.; Newland, M.J.; Oram, D.E.; Fraser, P.J.; Brenninkmeijer, C.A.M.; Rockmann, T.; Laube, J.C. Atmospheric abundances, trends and emissions of CFC-216ba, CFC-216ca and HCFC-225ca. Atmosphere 2014, 5, 420–434. [Google Scholar] [CrossRef] [Green Version]
- Hu, A.Q.; Yuan, H.F.; Xue, G.; Song, C.F.; Li, X.Y.; Xie, J.C. Study on rapid quantitative analysis of the active ingredient in ABC extinguishing agent and type identification of extinguishing agent powders using near infrared spectroscopy. Spectrosc. Spect. Anal. 2012, 32, 2135–2138. [Google Scholar]
- Linteris, G.T.; Babushok, V.I.; Pagliaro, J.L.; Burgess, D.R., Jr.; Manion, J.A.; Takahashi, F.; Katta, V.R.; Baker, P.T. Understanding overpressure in the FAA aerosol can test by C3H2F3Br (2-BTP). Combust Flame 2016, 167, 452–462. [Google Scholar] [CrossRef] [PubMed] [Green Version]
- Zhang, T.; Du, Z.; Han, Z.; Liu, K. Performance evaluation of water mist with additives in suppressing cooking oil fires based on temperature analysis. Appl. Therm. Eng. 2016, 102, 1069–1074. [Google Scholar] [CrossRef]
- Zhang, T.; Han, Z.; Du, Z.; Liu, K.; Zhang, Z.-L. Cooling characteristics of cooking oil using water mist during fire extinguishment. Appl. Therm. Eng. 2016, 107, 863–869. [Google Scholar] [CrossRef]
- Banks, R.E.; Clarke, E.K.; Johnson, E.P.; Sharratt, P.N. Environmental Aspects of Fluorinated Materials: Part 31. Process Saf. Environ. 1998, 76, 229–238. [Google Scholar] [CrossRef]
- Wang, P. Application of green surfactants developing environment friendly foam extinguishing agent. Fire Technol. 2014, 51, 503–511. [Google Scholar] [CrossRef]
- Yu, X.; Jiang, N.; Miao, X.; Zong, R.; Sheng, Y.; Li, C.; Lu, S. Formation of stable aqueous foams on the ethanol layer: Synergistic stabilization of fluorosurfactant and polymers. Colloid Surf. A 2020, 591, 124545. [Google Scholar] [CrossRef]
- Huang, Y.; Wencheng, Z.; Dai, X.; Zhao, Y. Study on water-based fire extinguishing agent formulations and properties. Procedia Eng. 2012, 45, 649–654. [Google Scholar] [CrossRef]
- Mykhalichko, B.; Lavrenyuk, H.; Mykhalichko, O. New water-based fire extinguishant: Elaboration, bench-scale tests, and flame extinguishment efficiency determination by cupric chloride aqueous solutions. Fire Saf. J. 2019, 105, 188–195. [Google Scholar] [CrossRef]
- Fan, Y.; Zhao, Y.; Hu, X.; Wu, M.; Xue, D. A novel fire prevention and control plastogel to inhibit spontaneous combustion of coal: Its characteristics and engineering applications. Fuel 2020, 263, 116693. [Google Scholar] [CrossRef]
- Li, S.L.; Zhou, G.; Wang, Y.; Jing, B.; Qu, Y. Synthesis and characteristics of fire extinguishing gel with high water absorption for coal mines. Process Saf. Environ. 2019, 125, 207–218. [Google Scholar] [CrossRef]
- Cheng, W.; Hu, X.; Xie, J.; Zhao, Y. An intelligent gel designed to control the spontaneous combustion of coal: Fire prevention and extinguishing properties. Fuel 2017, 210, 826–835. [Google Scholar] [CrossRef]
- Yu, A.C.; Chen, H.; Chan, D.; Agmon, G.; Stapleton, L.M.; Sevit, A.M.; Tibbitt, M.W.; Acosta, J.D.; Zhang, T.; Franzia, P.W.; et al. Scalable manufacturing of biomimetic moldable hydrogels for industrial applications. Abstr. Pap. AME 2016, 113, 14255–14260. [Google Scholar] [CrossRef] [PubMed] [Green Version]
- Qin, B.; Dou, G.; Wang, Y.; Xin, H.; Ma, L.; Wang, D. A superabsorbent hydrogel–ascorbic acid composite inhibitor for the suppression of coal oxidation. Fuel 2017, 190, 129–135. [Google Scholar] [CrossRef]
- Lima, D.C.D.; Souza, A.P.D.; Keffer, J.F.; Bouvié, L.; Martim, C.C.; Ferneda, B.G. Effectiveness Of Water-Retaining Polymer as Fire Retardant In Indirect Use. Rev. Árvore 2020, 44, 1–11. [Google Scholar] [CrossRef]
- Zhang, Y.; Qiu, Z.; Zhao, X.; Zhong, H.; Huang, W.; Mu, J. Experimental study on ultra-low temperature drilling fluid in Arctic permafrost. Polar Sci. 2021, 28, 100645. [Google Scholar] [CrossRef]
- Kung, H.C.; Pabich, M.J.; Bell, K.M.; Jackson, E.; Franson, S.T. ESFR sprinkler protection of Class II commodity in cold storage warehouses using propylene glycol antifreeze agent. J. Fire Prot. Eng. 2007, 17, 145–157. [Google Scholar] [CrossRef]
- Han, Z.; Gong, L.; Du, Z.; Duan, H. A novel environmental-friendly gel dry-water extinguishant containing additives with efficient combustion suppression efficiency. Fire Technol. 2020, 56, 2365–2385. [Google Scholar] [CrossRef]
- Han, Z.; Zhang, Y.; Du, Z.; Xu, F.; Li, S.; Zhang, J. New-type gel dry-water extinguishants and its effectiveness. J. Clean. Prod. 2017, 166, 590–600. [Google Scholar] [CrossRef]
- Ma, X.X.; Wu, Y.Z.; Zhu, H.L. The fire-retardant properties of the melamine-modified urea–formaldehyde resins mixed with ammonium polyphosphate. J. Wood Sci. 2013, 59, 419–425. [Google Scholar] [CrossRef]
- National Standard Full Text Disclosure System. Foam Exting Uishing a Gent: GB 15308-2006. Available online: http://www.gb688.cn/bzgk/gb/newGbInfo?hcno=00DC75835666D72E8B4AE464C9B8AE5F (accessed on 4 November 2021).
- National Standard Full Text Disclosure System. GB 12441-2018 Decorative Fireproof Coating. Available online: http://openstd.samr.gov.cn/bzgk/gb/newGbInfo?hcno=E4AD7F1E95F2878E32459BCF20878493 (accessed on 4 November 2021).
- He, S.; Ruan, C.; Shi, Y.; Chen, G.; Ma, Y.; Dai, H.; Chen, X.; Yang, X. Insight to hydrophobic SiO2 encapsulated SiO2 gel: Preparation and application in fire extinguishing. J. Hazard. Mater. 2021, 405, 124216. [Google Scholar] [CrossRef] [PubMed]
- Arvidson, M. Flammability of antifreeze agents for automatic sprinkler systems. J. Fire Prot. Eng. 2011, 21, 115–132. [Google Scholar] [CrossRef]
- Zhang, W.; He, X.; Song, T.; Jiao, Q.; Yang, R. The influence of the phosphorus-based flame retardant on the flame retardancy of the epoxy resins. Polym. Degrad. Stab. 2014, 109, 209–217. [Google Scholar] [CrossRef]
- Li, Y.; Li, B.; Dai, J.; Jia, H.; Gao, S. Synergistic effects of lanthanum oxide on a novel intumescent flame retardant polypropylene system. Polym. Degrad. Stab. 2008, 93, 9–16. [Google Scholar] [CrossRef]
- Song, Z.; Ling, P.; Zang, H.; Li, L.; Wang, J.; Jin, Y.; Shao, H.; Zhu, X.; Liu, F.; Wang, F. Development, validation and influence factor analysis of a near-infrared method for the molecular weight determination of xanthan gum. Carbohydr. Polym. 2015, 115, 582–588. [Google Scholar] [CrossRef] [PubMed]
- National Standard Full Text Disclosure System. Water Beased Extinguishing Agent: GB 17835-2008. Available online: http://www.gb688.cn/bzgk/gb/newGbInfo?hcno=478DE68AE590E83D6E94111BBBE2B205 (accessed on 4 November 2021).








| Material | Freezing Point (°C) | Voscosity (cP) |
|---|---|---|
| 0.5% solution #1 | −0.3 | 541 |
| 1.0% solution #1 | −0.3 | 4386 |
| 0.5% solution #2 | −0.5 | 405 |
| 1.0% solution #2 | −0.5 | 3354 |
| Type | Additives | Concentration (%) | Viscosity (cP) | |
|---|---|---|---|---|
| Extinguishant #1 (0.5%) | _ | _ | _ | 541 |
| Antifreeze | Potassium acetate | 5.0% | 9.6 | |
| Lithium chloride | 5.0% | 10.2 | ||
| Ethylene glycol | 5.0% | 8310 | ||
| Glycerol | 5.0% | 7985 | ||
| Flame retardants | APP, urea, ammonium bicarbonate | 10% | 13.2 | |
| Thickener | Xanthan gum | 2% | 80.4 |
| Sample | Ultrapure Water (mL) | APP (g) | Urea (g) | Ammonium Bicarbonate (g) | Xanthan Gum (g) | Ethylene Glycol (mL) | Extinguishant Powder #1 (g) |
|---|---|---|---|---|---|---|---|
| No. 1 | 50 | 0.08 | 0.08 | 0.04 | 0.04 | 5 | 0.5 |
| No. 2 | 50 | 0.08 | 0.08 | 0.04 | 0.04 | 5 | 0.35 |
| No. 3 | 50 | 0.08 | 0.08 | 0.04 | 0.04 | 5 | 0.2 |
| No. 4 | 50 | 0.08 | 0.08 | 0.04 | 0.04 | 3.6 | 0.5 |
| No. 5 | 50 | 0.08 | 0.08 | 0.04 | 0.04 | 7 | 0.5 |
| No. 6 | 50 | 0.08 | 0.08 | 0.04 | 0.08 | 5 | 0.5 |
| No. 7 | 50 | 0.08 | 0.08 | 0.04 | 0.12 | 5 | 0.5 |
| No. 8 | 50 | 0.08 | 0 | 0.04 | 0.12 | 5 | 0.5 |
| No. 9 | 50 | 0 | 0.08 | 0.04 | 0.12 | 5 | 0.5 |
| No. 10 | 50 | 0.08 | 0.08 | 0 | 0.12 | 5 | 0.5 |
| Sample | Corrosion Rate of Metal (mg/(d·dm2)) | |
|---|---|---|
| Steel Sheet | Aluminum Sheet | |
| Extinguishant #1 solution (0.5%) | 0.5 | 0.2 |
| No. 9 solution | 1.8 | 0.9 |
Publisher’s Note: MDPI stays neutral with regard to jurisdictional claims in published maps and institutional affiliations. |
© 2022 by the authors. Licensee MDPI, Basel, Switzerland. This article is an open access article distributed under the terms and conditions of the Creative Commons Attribution (CC BY) license (https://creativecommons.org/licenses/by/4.0/).
Share and Cite
Han, Z.; Chen, P.; Hou, M.; Li, Q.; Su, G.; Meng, J.; Shi, B.; Deng, J. Modification of Freezing Point for Hydrogel Extinguishant and Its Effect on Comprehensive Properties in Simulated Forest Fire Rescue. Sustainability 2022, 14, 752. https://doi.org/10.3390/su14020752
Han Z, Chen P, Hou M, Li Q, Su G, Meng J, Shi B, Deng J. Modification of Freezing Point for Hydrogel Extinguishant and Its Effect on Comprehensive Properties in Simulated Forest Fire Rescue. Sustainability. 2022; 14(2):752. https://doi.org/10.3390/su14020752
Chicago/Turabian StyleHan, Ziwei, Peiyao Chen, Meifang Hou, Qianqian Li, Guijin Su, Jing Meng, Bin Shi, and Jie Deng. 2022. "Modification of Freezing Point for Hydrogel Extinguishant and Its Effect on Comprehensive Properties in Simulated Forest Fire Rescue" Sustainability 14, no. 2: 752. https://doi.org/10.3390/su14020752
APA StyleHan, Z., Chen, P., Hou, M., Li, Q., Su, G., Meng, J., Shi, B., & Deng, J. (2022). Modification of Freezing Point for Hydrogel Extinguishant and Its Effect on Comprehensive Properties in Simulated Forest Fire Rescue. Sustainability, 14(2), 752. https://doi.org/10.3390/su14020752
