Study on Noise Correction Algorithm of Infrared Emissivity of Rock under Uniaxial Compression
Abstract
1. Introduction
2. Infrared Emissivity Denoising Algorithm
3. Experiment Design
3.1. Experimental Equipment
3.2. Experimental Preparation
3.3. Experimental Process
4. Infrared Radiation Data Processing and Indicators
5. Experiment Results
5.1. Infrared Thermogram
5.2. Indicator of MIRT
5.3. Indicator of AIRT
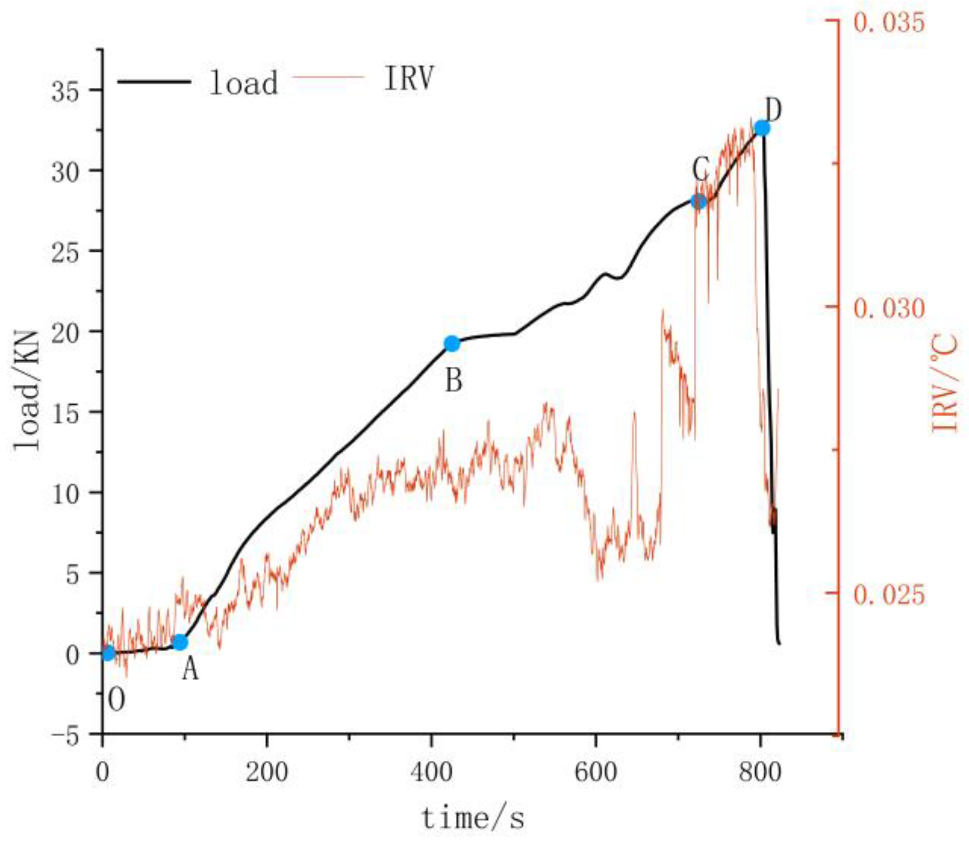
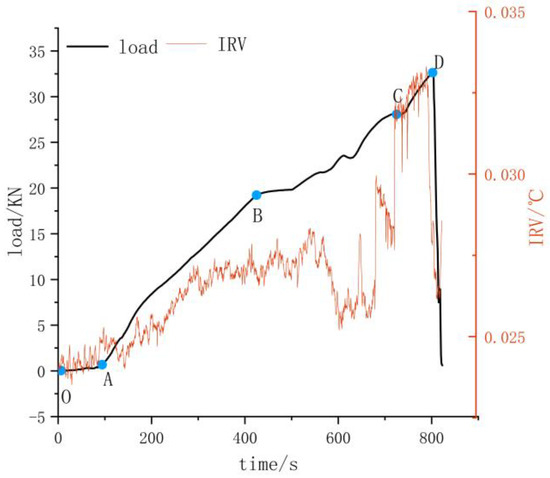
5.4. Indicator of IRV
6. Conclusions
Author Contributions
Funding
Institutional Review Board Statement
Informed Consent Statement
Data Availability Statement
Acknowledgments
Conflicts of Interest
References
- Shen, R.; Li, H.R.; Wang, E.Y.; Chen, T.Q.; Li, T.X.; Tian, H.; Hou, Z.H. Infrared radiation characteristics and fracture precursor information extraction of loaded sandstone samples with varying moisture contents. Int. J. Rock Mech. Min. Sci. 2020, 130, 104344. [Google Scholar] [CrossRef]
- Cao, K.W.; Ma, L.Q.; Wu, Y.; Spearing, A.J.S.; Naseer, M.; Hussain, S.; Faheem, U. Statistical damage model for dry and saturated rock under uniaxial loading based on infrared radiation for possible stress prediction. Eng. Fract. Mech. 2022, 260, 108134. [Google Scholar] [CrossRef]
- Sun, X.; Xu, H.; He, M.; Zhang, F. Experimental investigation of the occurrence of rockburst in a rock specimen through infrared thermography and acoustic emission. Int. J. Rock Mech. Min. Sci. 2017, 100, 250–259. [Google Scholar] [CrossRef]
- Pappalardo, G.; Mineo, S.; Zampelli, S.P.; Cubito, A.; Calcaterra, D. Infrared thermography proposed for the estimation of the Cooling Rate Index in the remote survey of rock masses. Int. J. Rock Mech. Min. Sci. 2016, 83, 182–196. [Google Scholar] [CrossRef]
- Mineo, S.; Pappalardo, G.; Rapisarda, F.; Cubito, A.; Maria, G. Integrated geostructural, seismic and infrared thermography surveys for the study of an unstable rock slope in the Peloritani Chain (NE Sicily). Eng. Geol. 2015, 195, 225–235. [Google Scholar] [CrossRef]
- Cheng, X.; Fu, T.; Fan, X. The principle of primary spectrum pyrometry. Sci. China Ser. G Phys. Mech. Astron. 2005, 48, 142–149. [Google Scholar] [CrossRef]
- Fu, T.R.; Cheng, X.F.; Zhong, M.H. The application analyses for primary spectrum pyrometer. Sci. China Ser. G Phys. Mech. Astron. 2007, 50, 753–765. [Google Scholar] [CrossRef]
- Shen, J.; Zhang, Y.; Xing, T. The study on the measurement accuracy of non-steady state temperature field under different emissivity using infrared thermal image. Infrared Phys. Technol. 2018, 94, 207–213. [Google Scholar] [CrossRef]
- He, M.C.; Fei, Z.; Yu, Z.; Shuai, D.; Lei, G. Feature evolution of dominant frequency components in acoustic emissions of instantaneous strain-type granitic rockburst simulation tests. Rock Soil Mech. 2015, 36, 1–8. [Google Scholar]
- Zhou, X.P.; Qian, Q.H.; Yang, H.Q. Rock burst of deep circular tunnels surrounded by weakened rock mass with cracks. Theor. Appl. Fract. Mech. 2011, 56, 79–88. [Google Scholar] [CrossRef]
- Feng, X.T.; Young, R.P.; Reyes-Montes, J.M.; Aydan, O.; Ishida, T.; Liu, J.P.; Liu, H.J. ISRM suggested method for in situ acoustic emission monitoring of the fracturing process in rock masses. Rock Mech. Rock Eng. 2019, 52, 1395–1414. [Google Scholar] [CrossRef]
- Ishida, T.; Labuz, J.F.; Manthei, G.; Meredith, P.; Nasseri, M.; Shin, K.; Yokoyama, T.; Zang, A. ISRM suggested method for laboratory acoustic emission monitoring. Rock Mech. Rock Eng. 2017, 50, 665–674. [Google Scholar] [CrossRef]
- Zhang, K.; Liu, X.; Chen, Y.; Cheng, H. Quantitative description of infrared radiation characteristics of preflawed sandstone during fracturing process. J. Rock Mech. Geotech. Eng. 2021, 13, 131–142. [Google Scholar] [CrossRef]
- Shi, D.P.; Xie, C.Y.; Xiong, L.C. Changes in the Structures and Directions of Rock Excavation Research from 1999 to 2020: A Bibliometric Study. Adv. Civ. Eng. 2021, 2021, 1–8. [Google Scholar] [CrossRef]
- Cai, J.; Xie, C.Y.; Zhiru, H. Ecological evaluation of heavy metal pollution in the soil of Pb-Zn mines. Ecotoxicology 2022, 31, 259–270. [Google Scholar] [CrossRef]
- Deng, M.; Geng, N.; Cui, C.; Zhi, Y.Q.; Fan, Z.F.; Ji, Q.Q. The study on the variation of thermal state of rocks caused by the variation of stress state of rocks. Earthq. Res. China 1997, 13, 179–185. [Google Scholar]
- Wu, L.X.; Cui, C.Y.; Geng, N.G.; Wang, J.Z. Remote sensing rock mechanics (RSRM) and associated experimental studies. Int. J. Rock Mech. Min. Sci. 2000, 37, 879–888. [Google Scholar] [CrossRef]
- Wu, L.X.; Liu, S.J.; Wu, Y.H.; Wang, C.Y. Precursors for rock fracturing and failure-Part I: IRR image abnormalities. Int. J. Rock Mech. Min. Sci. 2006, 43, 473–482. [Google Scholar] [CrossRef]
- Wu, L.X.; Liu, S.J.; Wu, Y.H.; Wang, C.Y. Precursors for rock fracturing and failure-Part II: IRR T-Curve abnormalities. Int. J. Rock Mech. Min. Sci. 2006, 43, 483–493. [Google Scholar] [CrossRef]
- Ma, L.Q.; Sun, H.; Zhang, Y.; Hu, H.; Zhang, C. The role of stress in controlling infrared radiation during coal and rock failure. Strain 2018, 54, e12295. [Google Scholar] [CrossRef]
- Ma, L.Q.; Sun, H.; Zhang, Y.; Zhou, T.; Li, K.; Guo, J. Characteristics of infrared radiation of coal specimens under uniaxial loading. Rock Mech. Rock Eng. 2016, 49, 1567–1572. [Google Scholar] [CrossRef]
- Ma, L.Q.; Sun, H. Spatial-temporal infrared radiation precursors of coal failure under uniaxial compressive loading. Infrared Phys. Technol. 2018, 93, 144–153. [Google Scholar] [CrossRef]
- Freund, F.T. Rocks that crackle and sparkle and glow: Strange pre-earthquake phenomena. J. Sci. Explor. 2003, 17, 37–71. [Google Scholar]
- Luong, M.P. Infrared thermographic observations of rock failure. Compr. Rock Eng. 1993, 26, 715–730. [Google Scholar]
- Grinzato, E.; Marinetti, S.; Bison, P.G.; Concas, M.; Fais, S. Comparison of ultrasonic velocity and IR thermography for the characterisation of stones. Infrared Phys. Technol. 2004, 46, 63–68. [Google Scholar] [CrossRef]
- Yang, H.; Liu, B.; Karekal, S. Experimental investigation on infrared radiation features of fracturing process in jointed rock under concentrated load. Int. J. Rock Mech. Min. Sci. 2021, 139, 104619. [Google Scholar] [CrossRef]
- Cao, K.; Ma, L.; Wu, Y.; Khan, N.M.; Yang, J. Using the characteristics of infrared radiation during the process of strain energy evolution in saturated rock as a precursor for violent failure. Infrared Phys. Technol. 2020, 109, 103406. [Google Scholar] [CrossRef]
- Wang, S.; Li, D.; Li, C.; Zhang, C.; Zhang, Y. Thermal radiation characteristics of stress evolution of a circular tunnel excavation under different confining pressure. Tunn. Undergr. Space Technol. 2018, 78, 76–83. [Google Scholar] [CrossRef]
- Deng, M.D.; Cui, C.Y.; Geng, N.G.; Zhi, Y.Q. Study of the infrared waveband radiation characteristics of rocks. J. Infrared Millim. Waves 1994, 13, 425–430. [Google Scholar]
- Zhang, X.Q.; Zou, J.X. Research on collaborative control technology of coal spontaneous combustion and gas coupling disaster in goaf based on dynamic isolation. Fuel 2022, 321, 124123. [Google Scholar] [CrossRef]
- Fan, S.; Song, Z.; Xu, T.; Zhang, Y. Investigation of the microstructure damage and mechanical properties evolution of limestone subjected to high-pressure water. Constr. Build. Mater. 2022, 316, 125871. [Google Scholar] [CrossRef]
- Sun, H.; Liu, X.L.; Zhang, S.G.; Nawnit, K. Experimental investigation of acoustic emission and infrared radiation thermography of dynamic fracturing process of hard rock pillar in extremely steep and thick coal seams. Eng. Fract. Mech. 2020, 226, 106845. [Google Scholar] [CrossRef]
- Li, Z.; Yin, S.; Niu, Y.; Cheng, F.Q.; Liu, S.J.; Sun, Y.H. Experimental study on the infrared thermal imaging of a coal fracture under the coupled effects of stress and gas. J. Nat. Gas Sci. Eng. 2018, 55, 444–451. [Google Scholar] [CrossRef]
- Sun, H.; Konietzky, H.; Wang, F.; Herbst, M. Some Thoughts about Infrared Radiation Response Characteristics during Loading of Coal and Sandstone Samples. Res. Sq. 2022. [Google Scholar] [CrossRef]
- Yang, Z.; Zhang, S.C.; Yang, L. Altering Spectrum Method in Temperature Measurement Using Infrared Imager in Complex Background Environment. In Advanced Materials Research; Trans Tech Publications Ltd.: Wollerau, Switzerland, 2012; Volume 479, pp. 348–351. [Google Scholar]
- Sun, H.; Ma, L.Q.; Adeleke, N.; Zhang, Y. Background thermal noise correction methodology for average infrared radiation temperature of coal under uniaxial loading. Infrared Phys. Technol. 2017, 81, 157–165. [Google Scholar] [CrossRef]
- Yang, Z.; Yang, L.; Zhang, S. Infrared temperature measurement technology on Lambertian based on the dual temperature and dual-band method. J. Eng. Thermophys. 2013, 34, 2132–2135. [Google Scholar]
- Li, Z.J.; Shi, D.P.; Wu, C.; Wang, X.L. Infrared thermography for prediction of spontaneous combustion of sulfide ores. Trans. Nonferrous Met. Soc. China 2012, 22, 3095–3102. [Google Scholar] [CrossRef]
- Shi, D.; Wu, C.; Li, Z.; Nan, J.; Pan, W. Optimized tri-wavelength infrared temperature measurement introducing dimensionless model and bending coefficient. Infrared Laser Eng. 2015, 45, 0204006. [Google Scholar]
- Shi, D.; Wu, C.; Li, Z.; Pan, W. Analysis of the influence of infrared temperature measurement based on reflected temperature compensation and incidence temperature compensation. Infrared Laser Eng. 2015, 44, 2321. [Google Scholar]
- Chen, C.; Shi, D.P. The Atmospheric Environment Effects of the COVID-19 Pandemic: A Metrological Study. Int. J. Environ. Res. Public Health 2022, 9, 11111. [Google Scholar] [CrossRef] [PubMed]
- Liu, S.J.; Wei, J.L.; Huang, J.W.; Wu, L.X.; Zhang, Y.B.; Tian, B.Z. Quantitative analysis methods of infrared radiation temperature field variation in rock loading process. Chin. J. Rock Mech. Eng. 2015, 34, 2968–2976. [Google Scholar]
- Wang, H.; Yang, T.H.; Liu, H.L.; Zhao, Y. Deformation and acoustic emission characteristics of dry and saturated sand under cyclic loading and unloading process. J. Northeast. Univ. (Nat. Sci.) 2016, 37, 1161. [Google Scholar]
- Gong, W.L.; Gong, Y.X.; Long, A.F. Multi-filter analysis of infrared images from the excavation experiment in horizontally stratified rocks. Infrared Phys. Technol. 2013, 56, 57–68. [Google Scholar] [CrossRef]
- Xie, C.Y.; Nguyen, H.; Bui, X.; Nguyen, V.T.; Zhou, J. Predicting roof displacement of roadways in underground coal mines using adaptive neuro-fuzzy inference system optimized by various physics-based optimization algorithms. J. Rock Mech. Geotech. Eng. 2021, 13, 1452–1465. [Google Scholar] [CrossRef]
- Xie, C.Y.; Nguyen, H.; Choi, Y.; Armaghani, D.J. Optimized functional linked neural network for predicting diaphragm wall deflection induced by braced excavations in clays. Geosci. Front. 2022, 13, 101313. [Google Scholar] [CrossRef]
- Amann, F.; Button, E.A.; Evans, K.F.; Gischig, V.S. Experimental study of the brittle behavior of clay shale in rapid unconfined compression. Rock Mech. Rock Eng. 2011, 44, 415–430. [Google Scholar] [CrossRef]
- Lou, Q.; He, X. Experimental study on infrared radiation temperature field of concrete under uniaxial compression. Infrared Phys. Technol. 2019, 90, 20–30. [Google Scholar] [CrossRef]
- Yao, Q.; Chen, T.; Ju, M.; Liang, S.; Liu, Y.; Li, X. Effects of water intrusion on mechanical properties of and crack propagation in coal. Rock Mech. Rock Eng. 2016, 49, 4699–4709. [Google Scholar] [CrossRef]
- Chen, T.; Yao, Q.L.; Du, M.; Zhou, C.G.; Zhang, B. Experimental research of effect of water intrusion times on crack propagation in coal. Chin. J. Rock Mech. Eng A 2016, 2, 3756–3762. [Google Scholar]












| Sample No. | Emissivity | Density/g/cm3 | Poisson’s Ratio | Uniaxial Compressive Strength/MPa | Elastic Modulus/GPa |
|---|---|---|---|---|---|
| A | 0.85 | 2.35 | 0.2 | 38.34 | 10.26 |
| B | 0.87 | 2.34 | 0.19 | 32.45 | 9.43 |
| C | 0.83 | 2.34 | 0.2 | 32.83 | 9.52 |
| D | 0.84 | 2.36 | 0.21 | 28.76 | 8.71 |
| Sample | Degree of Fitting of the Formula | |
|---|---|---|
| Before Denoising | After Denoising | |
| A | 0.6413 | 0.8428 |
| B | 0.4295 | 0.5173 |
| C | 0.6111 | 0.6134 |
| D | 0.5726 | 0.5180 |
| Sample | Degree of Fitting of the Formula | |
|---|---|---|
| Before Denoising | After Denoising | |
| A | 0.8482 | 0.9746 |
| B | 0.7801 | 0.7838 |
| C | 0.8239 | 0.8255 |
| D | 0.9065 | 0.9110 |
| Sample | Degree of Fitting of the Formula | |
|---|---|---|
| Before Denoising | After Denoising | |
| A | 0.9646 | 0.9746 |
| B | 0.5927 | 0.6087 |
| C | 0.8671 | 0.8990 |
| D | 0.9646 | 0.9751 |
Publisher’s Note: MDPI stays neutral with regard to jurisdictional claims in published maps and institutional affiliations. |
© 2022 by the authors. Licensee MDPI, Basel, Switzerland. This article is an open access article distributed under the terms and conditions of the Creative Commons Attribution (CC BY) license (https://creativecommons.org/licenses/by/4.0/).
Share and Cite
Shi, D.; Wang, J.; Xiong, L. Study on Noise Correction Algorithm of Infrared Emissivity of Rock under Uniaxial Compression. Sustainability 2022, 14, 12769. https://doi.org/10.3390/su141912769
Shi D, Wang J, Xiong L. Study on Noise Correction Algorithm of Infrared Emissivity of Rock under Uniaxial Compression. Sustainability. 2022; 14(19):12769. https://doi.org/10.3390/su141912769
Chicago/Turabian StyleShi, Dongping, Jinmiao Wang, and Lichun Xiong. 2022. "Study on Noise Correction Algorithm of Infrared Emissivity of Rock under Uniaxial Compression" Sustainability 14, no. 19: 12769. https://doi.org/10.3390/su141912769
APA StyleShi, D., Wang, J., & Xiong, L. (2022). Study on Noise Correction Algorithm of Infrared Emissivity of Rock under Uniaxial Compression. Sustainability, 14(19), 12769. https://doi.org/10.3390/su141912769

