Estimation of Active Earth Pressure for Narrow Unsaturated Backfills Considering Soil Arching Effect and Interlayer Shear Stress
Abstract
1. Introduction
2. Shear Strength for Unsaturated Soils
3. Lateral Pressure Coefficient and Shear Stress Coefficient
4. Derivation of Active Earth Pressure Formula
5. Comparison and Verification
6. Parametric Study
7. Conclusions
- (1)
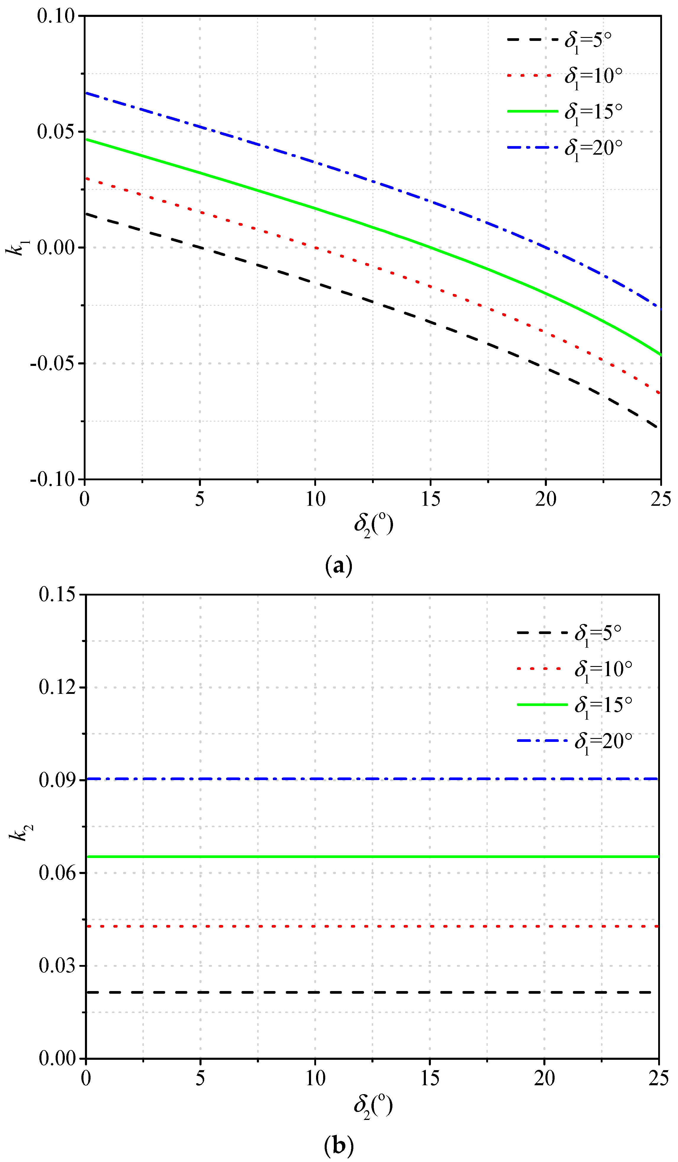
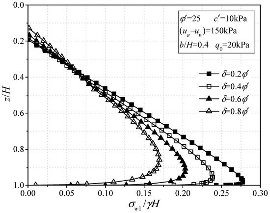
- With the increase in the interface friction angle of the moving wall–soil, the average shear stress coefficient of zone I and zone II increases gradually, but with the increase in the interface friction angle of the fixed wall–soil, the average shear stress coefficient of zone I decreases, while the average shear stress coefficient of zone II remains unchanged. The horizontal earth pressure shows a nonlinear “drum” distribution along the depth, which increases first and then decreases, and reaches a peak above the wall bottom.
- (2)
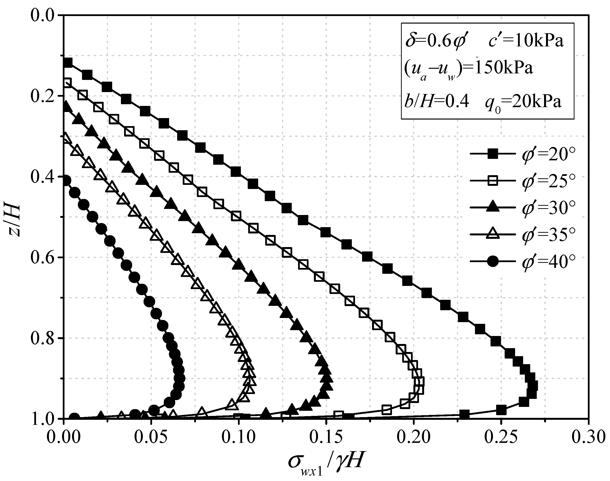
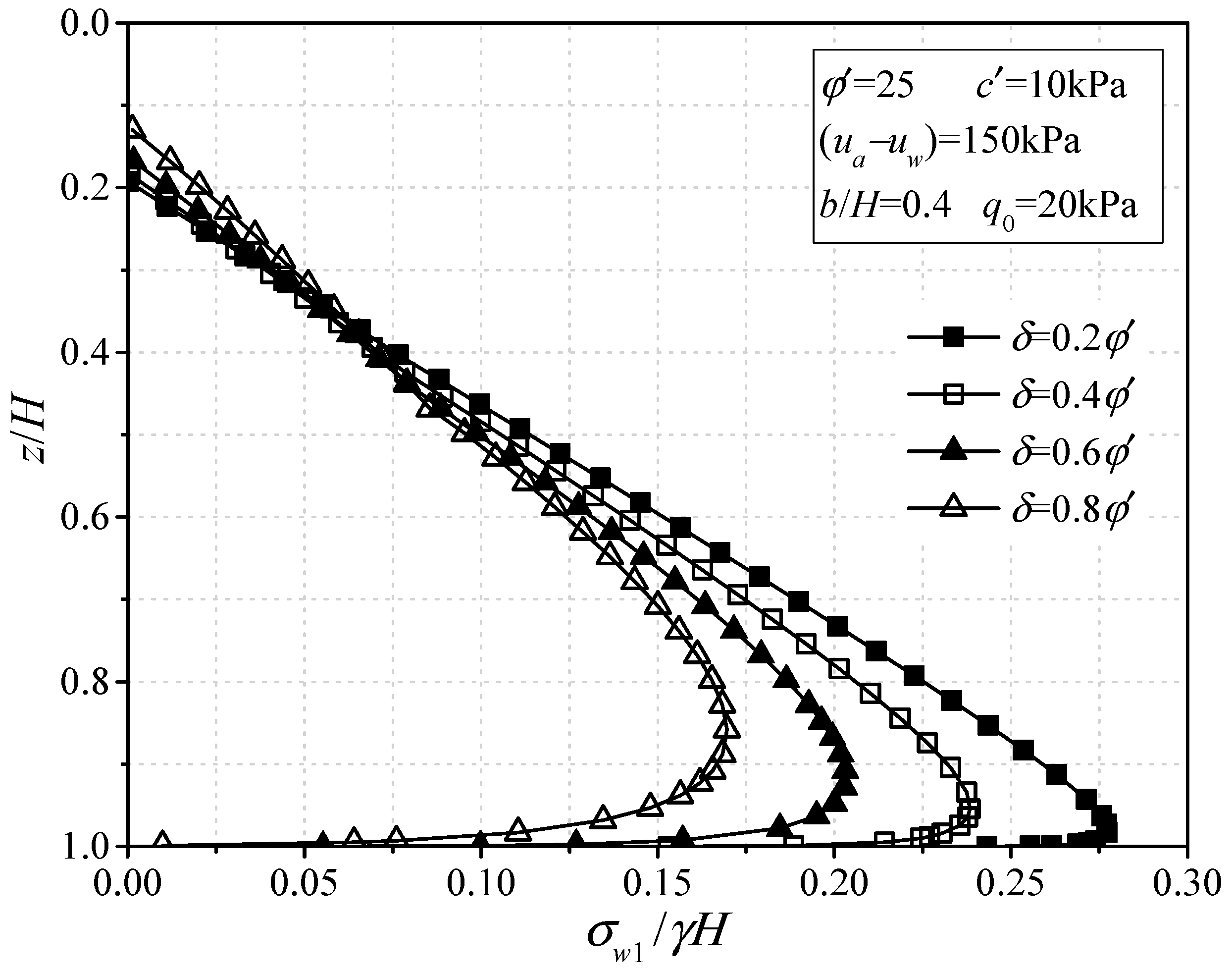
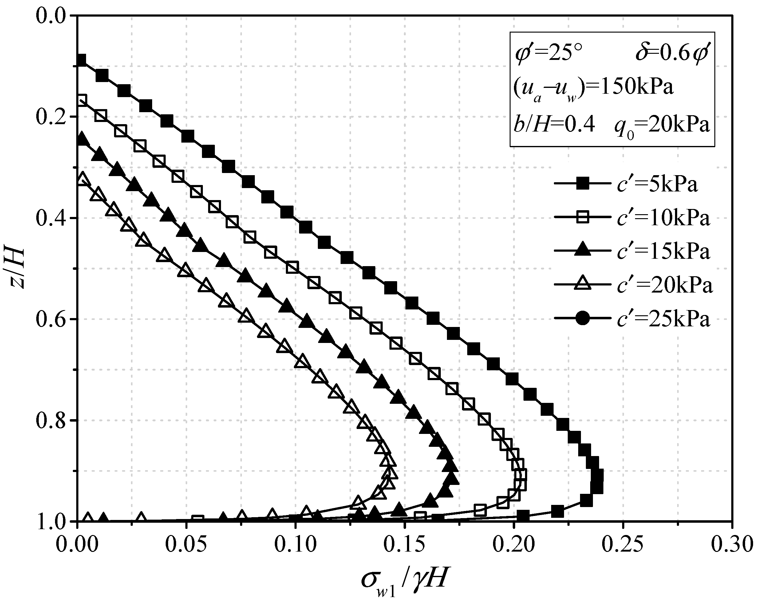
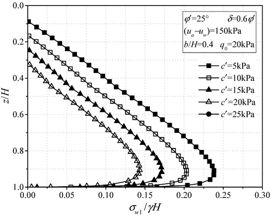
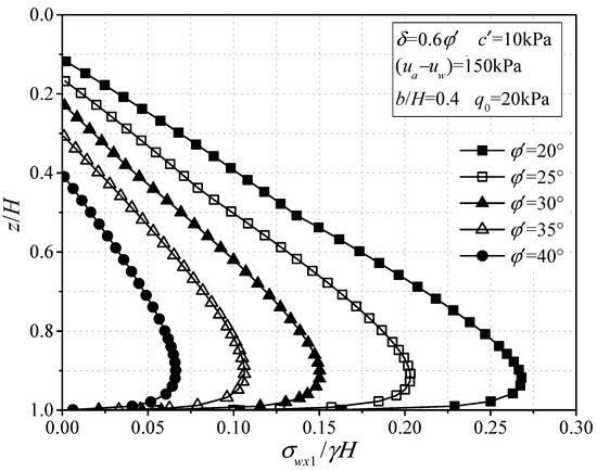
- With the increase in effective internal friction angle and effective cohesion, the horizontal active earth pressure decreases significantly, while the tensile depth increases. In addition, the horizontal active earth pressure increases significantly with the increase in surcharge pressure, but the distribution shape of the horizontal active earth pressure remains unchanged. Additionally, when the interface friction angle increases, the horizontal active earth pressure at the upper part of the retaining wall slightly increases, while the horizontal active earth pressure at the lower part obviously decreases. In addition, the action point of the horizontal earth pressure force tends to move up with the increase in the friction angle.
- (3)
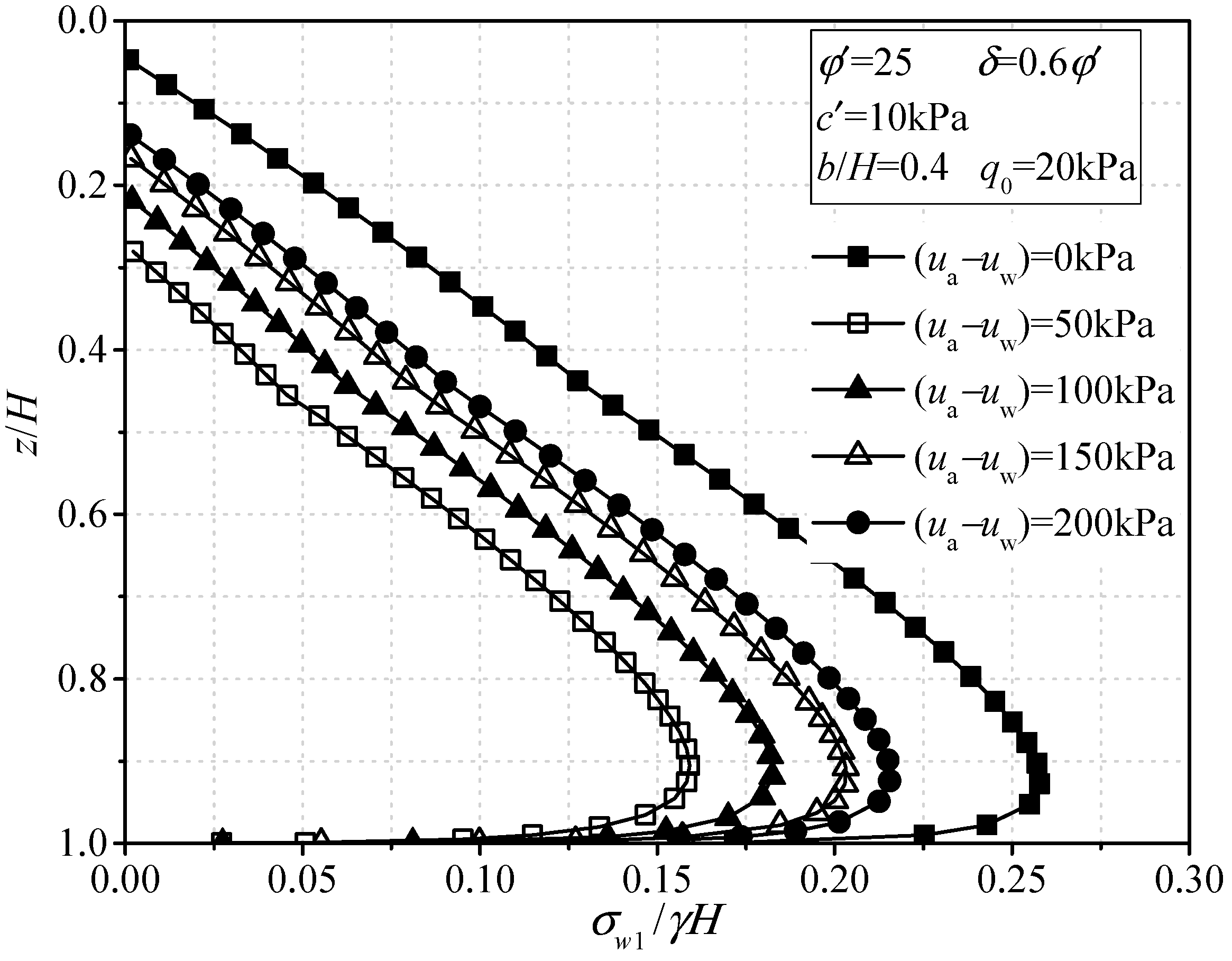
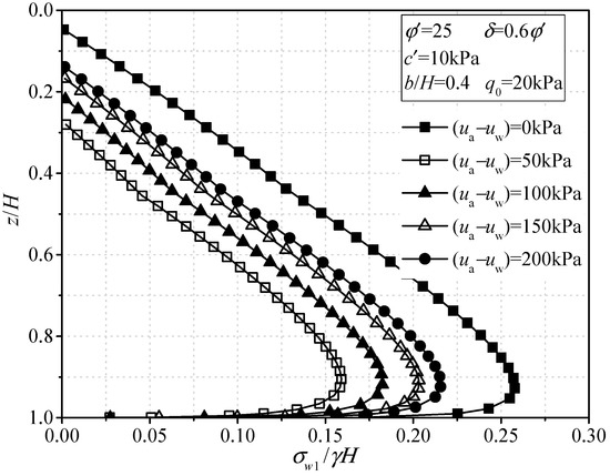
- With the increase in matric suction, the horizontal active earth pressure first decreases rapidly and then increases gradually, and the tension crack depth first increases obviously and then decreases, but the distribution pattern of the horizontal active earth pressure remains unchanged.
- (4)
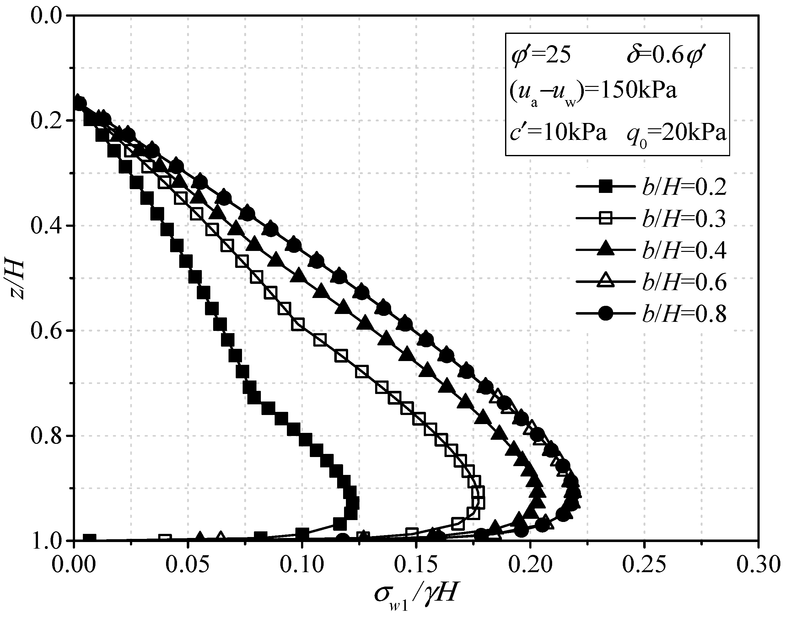
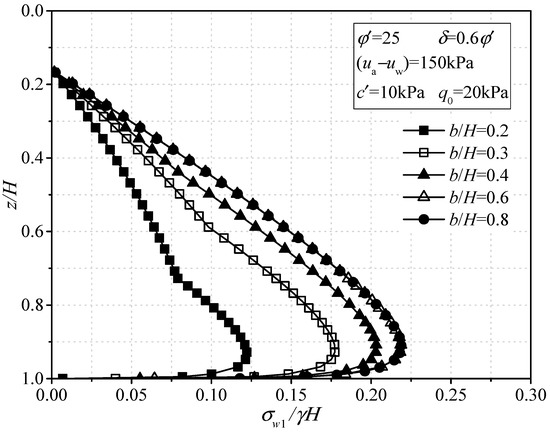
- The horizontal active earth pressure decreases with the decrease in the aspect ratio. When the aspect ratio is smaller, the attenuation is more obvious. When the aspect ratio reaches a certain value, the horizontal active earth pressure is basically unchanged.
Author Contributions
Funding
Institutional Review Board Statement
Informed Consent Statement
Data Availability Statement
Conflicts of Interest
References
- Tsagareli, Z.V. Experimental investigation of the pressure of a loose medium on retaining walls with a vertical back face and horizontal backfill surface. Soil Mech. Found. Eng. 1965, 2, 197–200. [Google Scholar] [CrossRef]
- Fang, Y.S.; Ishibashi, I. Static earth pressures with various wall movements. J. Geotech. Eng. 1986, 112, 317–333. [Google Scholar] [CrossRef]
- Take, W.A.; Valsangkar, A.J. Earth pressures on unyielding retaining walls of narrow backfill width. Can. Geotech. J. 2001, 38, 1220–1230. [Google Scholar] [CrossRef]
- O’Neal, T.S.; Hagerty, D.J. Earth pressures in confined cohesionless backfill against tall rigid walls—A case history. Can. Geotech. J. 2011, 48, 1188–1197. [Google Scholar] [CrossRef]
- Yang, M.; Tang, X. Rigid retaining walls with narrow cohesionless backfills under various wall movement modes. Int. J. Geomech. 2017, 17, 04017098. [Google Scholar] [CrossRef]
- Frydman, S.; Keissar, I. Earth pressure on retaining walls near rock faces. J. Geotech. Eng. 1987, 113, 586–599. [Google Scholar] [CrossRef]
- Tang, Y.; Chen, J. A computational method of active earth pressure from finite soil body. Math. Probl. Eng. 2018, 2018, 9892376. [Google Scholar] [CrossRef]
- Yang, M.; Deng, B. Simplified method for calculating the active earth pressure on retaining walls of narrow backfill width based on DEM analysis. Adv. Civ. Eng. 2019, 2019, 1507825. [Google Scholar] [CrossRef]
- Xie, M.; Zheng, J.; Zhang, R.; Cui, L.; Miao, C. Active earth pressure on rigid retaining walls built near rock faces. Int. J. Geomech. 2020, 20, 04020061. [Google Scholar] [CrossRef]
- Liu, H.; Kong, D. Active earth pressure of finite width soil considering intermediate principal stress and soil arching effects. Int. J. Geomech. 2022, 22, 04021294. [Google Scholar] [CrossRef]
- Wang, Z.; Liu, X.; Wang, W.; Tao, Z.; Li, S. Inclined layer method-based theoretical calculation of active earth pressure of a finite-width soil for a rotating-base retaining wall. Sustainability 2022, 14, 9772. [Google Scholar] [CrossRef]
- Hu, H.; Yang, F.; Tang, H.; Zeng, Y.; Zhou, J.; Gong, X. Field Study on Earth Pressure of Finite Soil Considering Soil Displacement. Appl. Sci. 2022, 12, 8059. [Google Scholar] [CrossRef]
- Chen, J.J.; Li, M.G.; Wang, J.H. Active earth pressure against rigid retaining walls subjected to confined cohesionless soil. Int. J. Geomech. 2017, 17, 06016041. [Google Scholar] [CrossRef]
- Greco, V. Active thrust on retaining walls of narrow backfill width. Comput. Geotech. 2013, 50, 66–78. [Google Scholar] [CrossRef]
- Yang, M.; Tang, X.; Wu, Z. Slip surface and active earth pressure of cohesionless narrow backfill behind rigid retaining walls under translation movement mode. Int. J. Geomech. 2020, 20, 04020115. [Google Scholar] [CrossRef]
- Janssen, H.A. Versuche uber getreidedruck in silozellen. Z. Ver. Dtsch. Ing. 1895, 39, 1045–1049. [Google Scholar]
- Handy, R.L. The arch in soil arching. J. Geotech. Eng. 1985, 111, 302–318. [Google Scholar] [CrossRef]
- Paik, K.H.; Salgado, R. Estimation of active earth pressure against rigid retaining walls considering arching effects. Geotechnique 2003, 53, 643–653. [Google Scholar] [CrossRef]
- Goel, S.; Patra, N.R. Effect of arching on active earth pressure for rigid retaining walls considering translation mode. Int. J. Geomech. 2008, 8, 123–133. [Google Scholar] [CrossRef]
- Nadukuru, S.S.; Michalowski, R.L. Arching in distribution of active load on retaining walls. J. Geotech. Geoenviron. Eng. 2012, 138, 575–584. [Google Scholar] [CrossRef]
- Khosravi, M.H.; Pipatpongsa, T.; Takemura, J. Theoretical analysis of earth pressure against rigid retaining walls under translation mode. Soils Found. 2016, 56, 664–675. [Google Scholar] [CrossRef]
- Patel, S.; Deb, K. Study of active earth pressure behind a vertical retaining wall subjected to rotation about the base. Int. J. Geomech. 2020, 20, 04020028. [Google Scholar] [CrossRef]
- Yoo, C.; Jung, H.Y. Case history of geosynthetic reinforced segmental retaining wall failure. J. Geotech. Geoenviron. Eng. 2006, 132, 1538–1548. [Google Scholar] [CrossRef]
- Vahedifard, F.; Leshchinsky, B.A.; Mortezaei, K.; Lu, N. Active earth pressures for unsaturated retaining structures. J. Geotech. Geoenviron. Eng. 2015, 141, 04015048. [Google Scholar] [CrossRef]
- Tang, H.; Wasowski, J.; Juang, C.H. Geohazards in the three Gorges Reservoir Area, China–Lessons learned from decades of research. Eng. Geol. 2019, 261, 105267. [Google Scholar] [CrossRef]
- Pufahl, D.E.; Fredlund, D.G.; Rahardjo, H. Lateral earth pressures in expansive clay soils. Can. Geotech. J. 1983, 20, 228–241. [Google Scholar] [CrossRef]
- Fredlund, D.G.; Morgenstern, N.R.; Widger, R.A. The shear strength of unsaturated soils. Can. Geotech. J. 1978, 15, 313–321. [Google Scholar] [CrossRef]
- Liang, W.B.; Zhao, J.H.; Li, Y.; Zhang, C.G.; Wang, S. Unified solution of Coulomb’s active earth pressure for unsaturated soils without crack. In Applied Mechanics and Materials; Trans Tech Publications Ltd: Bäch, Switzerland, 2012; Volume 170, pp. 755–761. [Google Scholar]
- Deng, B.; Yang, M. Analysis of passive earth pressure for unsaturated retaining structures. Int. J. Geomech. 2019, 19, 06019016. [Google Scholar] [CrossRef]
- Abdollahi, M.; Vahedifard, F.; Abed, M.; Leshchinsky, B.A. Effect of tension crack formation on active earth pressure encountered in unsaturated retaining wall backfills. J. Geotech. Geoenviron. Eng. 2021, 147, 06020028. [Google Scholar] [CrossRef]
- Vo, T.; Russell, A.R. Slip line theory applied to a retaining wall–unsaturated soil interaction problem. Comput. Geotech. 2014, 55, 416–428. [Google Scholar] [CrossRef]
- Vo, T.; Russell, A.R. Interaction between retaining walls and unsaturated soils in experiments and using slip line theory. J. Eng. Mech. 2017, 143, 04016120. [Google Scholar] [CrossRef]
- Li, Z.W.; Yang, X.L. Active earth pressure for soils with tension cracks under steady unsaturated flow conditions. Can. Geotech. J. 2018, 55, 1850–1859. [Google Scholar] [CrossRef]
- Li, Z.; Yang, X. Three–dimensional active earth pressure for retaining structures in soils subjected to steady unsaturated seepage effects. Acta Geotech. 2020, 15, 2017–2029. [Google Scholar] [CrossRef]
- Chehade, H.A.; Dias, D.; Sadek, M.; Jenck, O.; Chehade, F. Upper bound seismic limit analysis of geosynthetic–reinforced unsaturated soil walls. Geotext. Geomembr. 2020, 48, 419–430. [Google Scholar] [CrossRef]
- Escario, V.; Saez, J. The shear strength of partly saturated soils. Geotechnique 1986, 36, 453–456. [Google Scholar] [CrossRef]
- Zhang, L.L.; Fredlund, D.G.; Fredlund, M.D.; Wilson, G.W. Modeling the unsaturated soil zone in slope stability analysis. Can. Geotech. J. 2014, 51, 1384–1398. [Google Scholar] [CrossRef]
- Vanapalli, S.K.; Fredlund, D.G.; Pufahl, D.E.; Clifton, A.W. Model for the prediction of shear strength with respect to soil suction. Can. Geotech. J. 1996, 33, 379–392. [Google Scholar] [CrossRef]
- Van Genuchten, T.M. A closed–form equation for predicting the hydraulic conductivity of unsaturated soils. Soil Sci. Soc. Am. J. 1980, 44, 892–898. [Google Scholar] [CrossRef]
- Terzaghi, K. Theoretical Soil Mechanics; John Wiley and Sons: Hoboken, NJ, USA, 1943. [Google Scholar]
- Rao, P.; Chen, Q.; Zhou, Y.; Nimbalkar, S.; Chiaro, G. Determination of active earth pressure on rigid retaining wall considering arching effect in cohesive backfill soil. Int. J. Geomech. 2016, 16, 04015082. [Google Scholar] [CrossRef]
- Song, Y.S. Suction stress in unsaturated sand at different relative densities. Eng. Geol. 2014, 176, 1–10. [Google Scholar] [CrossRef]












Publisher’s Note: MDPI stays neutral with regard to jurisdictional claims in published maps and institutional affiliations. |
© 2022 by the authors. Licensee MDPI, Basel, Switzerland. This article is an open access article distributed under the terms and conditions of the Creative Commons Attribution (CC BY) license (https://creativecommons.org/licenses/by/4.0/).
Share and Cite
Fu, D.; Yang, M.; Deng, B.; Gong, H. Estimation of Active Earth Pressure for Narrow Unsaturated Backfills Considering Soil Arching Effect and Interlayer Shear Stress. Sustainability 2022, 14, 12699. https://doi.org/10.3390/su141912699
Fu D, Yang M, Deng B, Gong H. Estimation of Active Earth Pressure for Narrow Unsaturated Backfills Considering Soil Arching Effect and Interlayer Shear Stress. Sustainability. 2022; 14(19):12699. https://doi.org/10.3390/su141912699
Chicago/Turabian StyleFu, Daxi, Minghui Yang, Bo Deng, and Hutao Gong. 2022. "Estimation of Active Earth Pressure for Narrow Unsaturated Backfills Considering Soil Arching Effect and Interlayer Shear Stress" Sustainability 14, no. 19: 12699. https://doi.org/10.3390/su141912699
APA StyleFu, D., Yang, M., Deng, B., & Gong, H. (2022). Estimation of Active Earth Pressure for Narrow Unsaturated Backfills Considering Soil Arching Effect and Interlayer Shear Stress. Sustainability, 14(19), 12699. https://doi.org/10.3390/su141912699

