Next Article in Journal
Values, Competences and Sustainability in Public Security and IT Higher Education
Previous Article in Journal
Are Permeable Pavements a Sustainable Solution? A Qualitative Study of the Usage of Permeable Pavements
 
 
Font Type:
Arial Georgia Verdana
Font Size:
Aa Aa Aa
Line Spacing:
Column Width:
Background:
Article

An Integrated Model for the Geohazard Accident Duration on a Regional Mountain Road Network Using Text Data

1
School of Traffic Engineering, Kunming University of Science and Technology, Kunming 650500, China
2
Yunnan Integrated Transport Development and Regional Logistics Management Think Tank, Kunming University of Science and Technology, Kunming 650504, China
3
Yunnan Engineering Research Center of Modern Logistics, Kunming University of Science and Technology, Kunming 650504, China
*
Author to whom correspondence should be addressed.
Sustainability 2022, 14(19), 12429; https://doi.org/10.3390/su141912429
Submission received: 5 September 2022 / Accepted: 27 September 2022 / Published: 29 September 2022
(This article belongs to the Section Sustainable Transportation)

Abstract

A mountainous road network with special geological and meteorological characteristics is extremely vulnerable to nonrecurring accidents, such as traffic crashes and geohazard breakdowns. Geohazard accidents significantly impact the operation of the road network. Timely and accurate prediction of how long geohazard accidents will last is of significant importance to regional traffic safety management and control schemes. However, none of the existing studies focus on the topic of predicting geohazard accident duration on regional large-scale road networks. To fill this gap, this paper proposes an approach integrated with the Kaplan–Meier (K-M) model and random survival forest (RSF) model for geohazard accident duration prediction based on text data collected from mountainous road networks in Yunnan, China. The results indicate that geohazard accidents in road networks have a strong aggregation in tectonically active, steep mountainous, and fragmented areas. Especially the time of the rainy season, and the morning peak, brings high incident occurrences. In addition, accident type, secondary accidents, impounded vehicles or personnel, morning rush hour, closed roads, and accident management level significantly affect the duration of road geohazards. The RSF model was 0.756 and 0.867 in terms of the C-index and the average area under the curve, respectively, outperforming the traditional hazard model (Cox proportional hazards regression) and other survival machine learning models (survival support vector machine). Without censored data, the mean absolute error and mean squared error of the RSF model were 11.32 and 346.99, respectively, which were higher than the machine learning models (random forest and extreme gradient boosting model).

1. Introduction

Traffic incidents are considered nonrecurrent events typically caused by crashes, highway construction, severe weather conditions, geohazard accidents, etc. [1]. Compared to urban areas, mountainous areas with special geological and meteorological characteristics are more concentrated in fatal traffic crashes and natural disasters [2,3]. In particular, geological hazards are one of the major disasters in China’s mountainous regions, seriously threatening the lives and property of local people. In recent years, economic losses caused by geological disasters on roads in China have reached USD 10 billion yearly. An effective way to reduce the potential damage of geohazards is to accurately predict the duration of geohazard accidents in a timely manner at each location in a mountainous road network, which is a prerequisite for the implementation of traffic safety treatments [4,5]. Therefore, significant research efforts are needed to forecast the duration shortly after a geohazard accident has taken place to develop effective countermeasures for regional traffic safety managers and engineers, as well as to provide traffic information for travelers.
Most prior studies related to this topic focused on urban roadways or highways, with less consideration of mountainous areas [6,7]. For instance, ten accident types were included in the study by Araghi et al. [8], including broken-down vehicles, broken-down lorries, accidents, fire, flooding, fuel spillage, gas leak, police incident, collapsed maintenance holes, and traffic light failure. Extensive efforts have been made to address accident duration issues on freeways with statistical methods and machine learning methods from various aspects. The earliest accident duration prediction model was linear regression, which assumes a linear relationship between accident duration and the various influencing factors [9,10]. However, this assumption is not rigorous because the influencing factors do not show a linear variation in duration [6]. Then, Jones et al. [11] analyzed the frequency and duration of accidents based on an analysis model, revealing a nonlinear relationship between influencing factors and duration for the first time. Later, survival analysis models have been widely used to model duration. Kaplan–Meier curves are the most commonly used nonparametric model in survival analysis and are often used to estimate survival functions, an important advantage of which is that it can visualize the difference between the survival curves of different conditions. Li et al. [12] developed an analysis model using Kaplan–Meier estimation and found that different factors and clearance methods significantly affected the duration of the two accident groups. Chen and Tian [13] carried out a study on the impact of different weather conditions, such as cloudy and sunny, on highway traffic accidents through Kaplan–Meier analysis. At the same time, a wide variety of other statistical survival analysis models have been used to analyze and predict the duration of traffic accidents. Alkaabi et al. [14] used a Weibull function without gamma heterogeneity to investigate the effect of traffic accident characteristics on accident clearance times. In contrast to the linear regression model, the survival analysis model considers both the length of the accident duration and the outcome of the accidents, which makes it the classical model in this field. However, there are limitations to these studies. Traditional survival analysis requires strict assumptions, such as Cox regression analysis, which assumes that the accident duration and characteristics decay proportionally, and accelerated failure time (AFT) models, which need to obey a specific underlying functional distribution. When the assumptions are not met, the results are generally poor [15]. With the rise of machine learning models, many promising methods, such as the K-nearest neighbor method [16], support vector regression [17], Bayesian networks [7], and decision trees [18], have been widely used in modeling accident durations. Compared to statistical method approaches, machine learning methods are more flexible and have no or few a priori assumptions about the input variables. Nevertheless, machine learning lacks a reasonable interpretation of the model and cannot predict datasets containing censored data.
Recently, more advanced machine learning methods that can model survival times have been proposed. In contrast to the machine learning model, the survival machine learning model was adapted to include censored data and to provide a full probability of deterioration curve [19]. The RSF model is a typical survival machine learning model, which overcomes the weakness of needing to establish the basis for certain assumptions and addresses the high variability and bias of traditional survival analysis [20]. The RSF has been used in fields as diverse as medicine [21], business [22], and environmental science [23]. In the field of transportation applications, Wang et al. [24] considered influencing factors, such as the cause of the event, time of the event, and line-related variables, and used the RSF model to describe the duration of subway service interruption. Lu and Ilgin [19] used the RSF model for bridge deck deterioration analysis to provide bridge deterioration survival analysis influence factor identification and survival time prediction. Multiple studies compared the RSF with traditional survival analysis in duration modeling; RSF showed better performance than other methods [25].
As described in the previous sections, various models have been used in previous studies to predict the duration of many types of highway accidents. However, the validity of existing methods to assess the duration of road geological hazard accidents is largely challenged by two circumstances: (1) Differences in disposal methods due to the other accident characteristics of road geological hazards. The existing traffic accident impact assessment results are unsuitable for road geological disasters. (2) The shortcomings of existing traditional survival analysis models and machine learning models, which do not address the problems of complex influencing factors in highway geological hazard accident duration modeling well. Therefore, given the characteristics of the duration of geohazard incidents, we used a combination of the K-M model and the RSF model to develop a model for predicting the duration of geohazard incidents on roads.
In summary, this study has the following contributions:
(1) As the first study to model the duration of geohazard incidents, this study analyzes the characteristics of geohazard incident duration and effectively identifies the key factors affecting the duration of geohazard accidents.
(2) An integrated prediction model of K-M and RSF is proposed, which is a relatively new study. The proposed method is evaluated through practical application in Yunnan, China. The results show the advantages of the proposed method in predicting the duration of accidents more accurately, which can provide a reference for road management and travelers.
The remainder of this paper is organized as follows: Section 2 introduces the data used in this article; Section 3 presents the methods and model evaluation measures used in this study; Section 4 offers and analyzes the model results; Section 5 discusses the results and applications of the model; and Section 6 concludes this study.

2. Data Description

We chose Yunnan Province, China, as the study area. Yunnan Province is located in the southwest border area of China and has complex landforms. Yunnan is prone to geological disasters such as collapse, landslides, and debris flows due to its large number of mountains, steep slopes, and concentrated rainfall. We collected data on geological disaster road blockages in Yunnan Province from January 2018 to December 2020, which frontline emergency responders reported to the Yunnan Provincial Department of Transport Road Bureau. In these text data, each record is related to a variety of items, such as accident route name, route code, stake number, cause of the accidents, description of site conditions, and disposal measures. The raw text data are shown in Table 1.
Road geological disasters are highly sudden and destructive and essential elements of major traffic accidents. The overall incident duration of road geological disaster accidents and significant traffic accidents comprises the following four phases: notification time, response time, clearance time, and traffic recovery time [26]. Considering the complex impact of various factors during the traffic recovery phase, it is difficult to determine the actual duration. The duration of the accidents for this research work was estimated as the first three phases, including notification time, response time, and clearance time, as shown in Figure 1.
The duration of the accidents t i is given by:
t i = ( actual   recover _ time i   discovery _ time i )
where actual   recover _ time i is the timestamp of the actual recovery time of the incident and discovery _ time i is the time stamp when the accident was discovered by the traffic authorities.
It is important to note that there is a common type of data in survival analysis—censored data—which refers to not observing the complete duration and outcome of an event before ending the study for a range of reasons. The duration of road geohazard incidents is often long, and therefore, there are incidents that are not completed at the time of reporting. These data are censored, and the duration t i c is calculated as
t i c = ( report _ time i   discovery _ time i )
where report _ time i is the time stamp when the incident department reported the disaster to management.
Road geological disasters are troublesome and time-consuming to clear. The duration time was measured in hours. Some geological disasters have a long duration, even more than one month. Only incidents interrupted within 72 h were selected in this study. A total of 349 data samples meet the requirements, including 55 censored data samples. The mean accident duration time was 13.14 h. The minimum and maximum values were 0.02 h and 71.93 h, respectively. Some candidate variables related to temporal characteristics, incident, and processing status, etc., can be extracted from the dataset.

3. Methods

3.1. Survival Analysis

Survival analysis is a modern statistical method that combines the analysis of event outcomes and event durations [27]. Survival analysis has the ability to utilize censored data, which is important for modeling the duration of roadway geohazard incidents. Correspondingly, in this study, the purpose of survival analysis is to analyze how factors related to highway geological disaster accidents affect the duration of highway geological disaster accidents, and to predict and model the duration of accidents.
In hazard-based duration models, the accidents duration time is treated as a continuous random variable, T , with a cumulative distribution function, F ( t ) , probability density function, f ( t ) , survival function, S ( t ) , and hazard function, h ( t ) . The cumulative distribution function, F ( t ) , which is also called the failure function, is defined as
F ( t ) = P ( T < t )
where P is the probability of the accident duration being greater than some specified time t .
The probability density function, f ( t ) , which is the derivative value of the cumulative distribution function, F ( t ) , is defined as
f ( t ) = d F ( t ) d t
The survival function, S ( t ) , is the probability of the duration being greater than or equal to some specific time t .
S ( t ) = P ( T t ) = 1 F ( t )
The rate at which the accidents clearance times are ending at time t, given that they have not ended prior to time t , is called the hazard function, h ( t ) [28], and is given by
h ( t ) = f ( t ) 1 F ( t ) = f ( t ) S ( t ) = lim Δ t 0 P ( t + Δ t T t | T t ) Δ t

3.2. Integrated Survival Analysis Model Framework

Since not all variables have a positive effect on predicting event duration, it is necessary to explore which variables can best improve predictive models. Kaplan–Meier analysis is a basic survival analysis method. It is not only possible to study the effect of a variable on survival analysis, but also to describe the probability of the end of an event. The RSF model, an advanced survival model based on machine learning, overcomes the shortcomings of traditional survival analysis models and machine learning models.
To combine the advantages of both, the K-M and RSF integrated model is proposed, as shown in Figure 2. Firstly, survival analysis based on the K-M model was conducted for each influencing factor. The factors that were not significant in the K-M analysis were ranked according to their importance. The factors that were not significant in K-M analysis were combined with significant factors in order of their importance as inputs to the RSF model to test whether they affected the prediction results of road geohazard accident duration and to find the input combination with the best effect to achieve the best prediction results.

3.2.1. Kaplan–Meier Model

The Kaplan–Meier nonparametric model does not need to make any assumptions about its theoretical distribution. The model can directly estimate the survival function and hazard function of the duration, t [29], and quantitatively analyze the distribution characteristics of accident duration under a certain influencing factor. T 1 , T 2 , , T n represents n samples of accident times, and the estimated function of accident duration survival function S(t) of the K-M model is
S ( t ) = T i c t n i n i + 1
The K-M survival analysis method was used to study the relationship between a single factor and accident duration. The results of the log ranking were used to check whether there were any differences in the duration of the influences. At the same time, the characteristics of the survival rates over time could be depicted by Kaplan–Meier curves.

3.2.2. Random Survival Forest Model

The RSF is a derivative of random forest. Not only can RSF solve the problem of missing data, such as incomplete records, also given other such data can be incorporated into the model, it also does not require a distribution to be linear or nonlinear and can be fitted entirely to the training data.
The bootstrap resampling method extracted multiple samples from the original training set, and survival trees were established for each piece. Finally, the predicted results of these survival trees were integrated. The detailed steps of the RSF model are shown as follows:
(1) Bootstrap sample sets were extracted from the training set, and a binary recursive survival tree was established for each sample set.
(2) During the growth of each survival tree, P candidate variables were randomly selected for the splitting of each node, and the splitting variable with the most significant difference in the survival values of the child nodes was chosen according to the survival splitting rule.
(3) The survival tree grew as long as possible until the sample number of each endpoint was not less than the minimum default value.
(4) Each tree’s survival function was calculated, and the forest’s combined value was the average survival function. The K-M estimation method calculated the survival function.
The survival function of each tree in the random survival forest is obtained by endpoint K-M risk estimation. For any endpoint h , t i , h denotes the death time of individual i at node h ; d i , h and Y i , h are the number of individuals and the expected number at the end of time t i , h , respectively. The cumulative survival function of endpoint T is defined as
H ^ h ( t ) = t i , h t d i , h Y i , h
If there are multiple endpoints in the tree, then the tree has multiple KM risk estimates. Under the action of covariable x i , the survival function of the single tree corresponding to the endpoint h is
H ^ ( t | x i ) = H ^ h ( t ) , if   x i h
To obtain the survival function He of the random survival forest, it is necessary to average the trees of Ntree:
H e * ( t | x i ) = 1 N t r e e b = 1 N t r e e H ^ b ( t | x i )
where ( t | x i ) is the survival function of the survival tree b ; and N t r e e indicates the number of survival trees in the random survival forest.

3.3. Comparision Models

To evaluate the predictive performance of the KM–RSF integrated model, traditional survival analysis models (Cox proportional hazards regression), other machine survival analysis models (survival support vector machine), and machine learning models (random forest, extreme gradient boosting) were chosen as comparison models.

3.3.1. Cox Proportional Hazards Regression

The Cox proportional hazards regression (CPH model) uses the ratio of the hazard function to the basic hazard function to describe the effect of covariates on survival time, where the CPH model, h ( t , x ) , is
h ( t , x ) = h 0 ( t ) exp ( β 1 x 1 + β 2 x 2 + + β i x i )
where t is the duration of the accident; x is the covariable; β is regression coefficient; h ( t , x ) is a danger function; and h 0 ( t ) is the primary risk function, which represents the risk function inherent in the event duration when there are no other influencing factors. The regression coefficient means that this variable is a risk factor, and the risk function increases with an increase in time.

3.3.2. Survival Support Vector Machines

Survival support vector (SVM) is a supervised machine learning algorithm for regression and classification and has a wide range of applications in traffic accident duration prediction. Survival SVM (SSVM model) extend the properties of SVM to be able to handle censored data in survival analysis [30]. SSVM does this by using kernel functions and transforming the data into higher dimensions. In the case of non-linearity, the links between different categories can be maximized. However, estimating a SSVM can be very complex and time-consuming, especially when the kernel function is complex and the dataset size is large [19].

3.3.3. Random Forest

Random forest (RF) model is a special bagging method with an integrated idea. For each training set, it constructs a decision tree, and when the nodes find features for splitting, a random part of the features is drawn among the features and the optimal solution is found among the drawn features. In fact, this is equivalent to sampling both the sample and the features, so overfitting can be avoided.

3.3.4. Extreme Gradient Boosting Model

The extreme gradient boosting (XG-Boost model) is a strong classifier based on the idea of boosting a collection of multiple weak classifiers. The basic idea of this algorithm is to split the tree continuously, and each time a new tree is generated, it is fitted to the previous one. After training, the scores of all the trees obtained by the model are summed, and the resulting outcome is the prediction value corresponding to the model. XG-Boost has a strong performance in parallel computational efficiency, missing value handling, and prediction performance.

3.4. Model Evaluation Index

To assess the performance of the prediction model, the prediction accuracy of the model must be calculated. However, for hazard models, the prediction of the deterioration pattern for a single observation is not necessarily meaningful since the results are probabilistic [19]. Therefore, we chose two commonly used metrics: the coordination index (C-index, a standard performance metric for survival analysis) and the area under the receiver operator characteristic curve (AUC, a performance measure for classification problems), both of which are able to evaluate the performance of the model under censored data conditions. The C-index can be computed as Equation (12). The AUC can be computed as Equation (13).
C = i , j Ω I { s i < s j } + 0.5 × I { s i = s j } | Ω |
where I is an indicative function; and Ω denotes the set of legal pairs of individuals who satisfy a particular condition. s i , s j denotes the predicted survival time of individuals i , j .
A U C = I ( P T , P F ) M × N
where M is the number of positive samples; N is the number of negative samples; P T is the predicted probability of positive samples; and P F is the predicted probability of negative samples. The C-index and AUC take values in the range [0, 1], with larger values indicating better model prediction [31].
Considering that machine learning models cannot model censored data, the above metrics are not available. To compare the performance of the survival machine learning model with the performance of the machine learning model, we used only the full dataset for modeling and evaluated it using the mean absolute error (MAE) and mean squared error (MSE).
M A E = i = 1 N | y i y ^ i | N
M S E = n = 1 N ( y i y ^ i ) 2 N
where y ^ i represents the true road geohazard accident duration; and y ^ i represents the predicted road geohazard accident duration. Typically, the MAE is used to measure the absolute error associated with a prediction, and the MSE measures the relative error for a prediction. A prediction model with smaller values of MAE and MSE performs better.

4. Results

4.1. Variable Analysis and Selection

An appropriate choice of the dependent variable can significantly improve the performance of the model. In this section, the heterogeneity of geological hazard incident durations in multiple dimensions, including spatial and temporal, is discussed. With reference to the results of the analysis, we built the candidate variables dataset.
The specific spatial distributions and nuclear density of road geohazard accident frequency, and their duration, are shown in Figure 3. Road geological hazard incidents in Yunnan Province are spatially heterogeneous. Road geological hazards are located mainly in tectonically active, steep mountainous, and fragmented northern provincial border areas, such as Zhaotong and Diqing cities. However, the ability to respond and recover from disasters corresponds to the level of economic development of the area to some extent. Although there were also more accidents in Honghe and Dali cities, economic development has improved local disaster prevention and mitigation capabilities, reduced social vulnerability, and enabled a reduction in the impact of, and rapid recovery from, geological hazards, resulting in relatively short accident durations.
Four incident types, namely, debris flow, subsidence or cracks in the ground, collapse, and landslide, were considered. The frequency and average duration of the four types of incidents are shown in Figure 4. Among the 349 accidents counted, debris flow is the most common cause of the accidents, occurring a total of 129 times (37.0%) in the complete dataset. However, there is a large gap between accident duration and the distribution of accident frequency. The average accident duration for debris flow accidents was 9.14 h, the shortest average duration of the four accident types. Settlement or cracking of the ground was the least common cause of accidents, occurring only 20 times out of 349 counts (5.7%). In turn, collapse was the other most-important cause of accidents (35.0%). The average duration of accidents for settlement or cracking of the ground and collapse were 13.26 and 13.46 h, respectively, close to the average duration of 13.14 h for the 349 accidents counted. Landslides had a medium frequency (22.3%) of accidents but had the longest average duration (19.24 h).
To explore the unbalanced distribution of road geological disaster accidents in the temporal dimension, the monthly and temporal distributions of road geohazard occurrences were mapped. Figure 5 shows that between 2018 and 2020, July to September was the period when road geohazard accidents were concentrated, accounting for 79.4% of the total number of accidents, especially in August, at 47.7%, because the rainy season is prone to road geohazards. From the distribution of road geohazard accident duration in each month, except for February, which lasted longer, the average accident duration in other months differed less and did not show significant differences, possibly because February contains the Chinese New Year, the most important holiday in China, and as maintenance agencies and emergency management departments move shifts earlier and reduce staff at work, fewer incident responders are available, and incident duration increases.
The time distribution diagram of the interruption due to road geological disasters is shown in Figure 6, which shows marked morning peaks. Among the 349 accidents, 177 (50.7%) occurred during the morning peak (8–11 a.m.). However, the average duration of accidents during peak periods (9.93 h) does not reach the average (13.14 h).
As mentioned above, the analysis found that, unlike other traffic accidents, road geohazard accidents are concentrated in tectonically active, steep mountainous, and fragmented areas, and have characteristics such as a high incidence during the rainy season and morning peaks. Meanwhile, the duration of road geohazard accidents is heterogeneous in terms of accident cause and time of occurrence, but the average duration across months does not show heterogeneity. Thus, we extracted information from the dataset about the duration of the incident, the cause of the incident, the condition of the affected roads, and the time of the incident. We extended the accident-related and incident handling information as candidate explanatory variables for further analysis in this study for a total of 11 categorical variables. Table 2 describes each candidate variable and the 349 accident data points used in the modeling process.
A statistical description of the data revealed significant differences in the duration of road geohazard incidents under different variable conditions. In the subsequent chapters, these phenomena and the associated causes are described and analyzed in light of the K-M model results.

4.2. Kaplan–Meier Model Regression Results

Kaplan–Meier curves of the different accident cases, road types, times, and treatment conditions are shown in Figure 7, Figure 8, Figure 9 and Figure 10, respectively. The results showed that six factors passed the 5% level of significance, and the factors were accident type, secondary accidents, detained vehicles or persons, closed road, morning peak, and level of accident management department.
The results show that different accident types have different durations (Figure 7a). When subsidence or cracks in the ground occur, the probability of survival is more significant, indicating a prolonged duration of the incident. Survival curves also show that, after a duration of 60 h, the probability of surviving debris flow and collapse accidents is 0, and landslide and subsidence or cracks in the ground converge to 0, indicating that debris flow and collapse are essentially over after a duration greater than 60 h. Nevertheless, accident subsidence or cracks in the ground and landslides have the potential to persist.
Figure 7b shows the survival probability for the duration of road geohazard incidents with and without secondary incidents. The survival probability of road geohazard accidents with secondary accidents is higher than the survival probability of road geohazard accidents without secondary accidents of the same duration. The results show that the duration of road geological disasters is longer when secondary accidents occur. The average duration of road geological disasters with secondary accidents is 22.57 h, while without secondary accidents it is 12.35 h.
Figure 8a shows the survival probabilities under the stranded vehicle or person condition and without a stranded vehicle or person condition. The average duration of a road geohazard with detention is 18.94 h and without detention is 11.71 h. The results indicate that when there are stranded vehicles or people, the survival probability is greater than when there is no detention because when vehicles or people are stranded, it leads to a longer accident duration. This result corresponds with the reality that difficulty in handling accidents reduces traffic efficiency when detention occurs.
The Kaplan–Meier model results show that there is a significant difference in the survival probability for the duration of road geohazard incidents occurring in the morning peak and non-morning peak (Figure 8b). The survival probability of road geohazards occurring during the non-morning peak times is consistently greater than in the morning peak. As with the results in Figure 3, road geohazard incidents that occur in the morning peak are usually of shorter duration. When the duration is greater than 60 h, all accidents occurring in the morning peak are in the end state. Generally, incidents occurring during the morning rush hour can be detected and reported more promptly and dealt with more efficiently.
The survival probability of the duration of road geological disasters with or without road closures is shown in Figure 9a. The small difference between the two survival curves indicates that there is not much difference in the duration of accidents with and without road closures. In general, the survival probability of closed roads is slightly higher than the survival probability of non-closed roads at the same overtaking duration. One reason is that when the road geological disaster needs to be closed, the pavement area that needs to be cleaned is larger, so the cleaning time is longer. At the same time, the two survival curves almost overlapped after a duration of 25 h. This result is in accordance with the reality that when the accidents last longer than 25 h, whether the road is closed or not has little effect on the duration. Specifically, the average duration of accidents on closed roads and unclosed roads is 15.11 h and 10.02 h, respectively.
The results at different accident management department levels are quite different. Figure 9b shows the survivor probability of road geological hazard duration at different accident management department levels. For the squadron level of the accident management department, when the accident duration is greater than 25 h, the accidents are basically handled. However, the survivor probability is 0.4 for the accident management levels of the battalion and local road bureaus, and the survivor probability of the accident management department for the traffic management department is 0.5. This result is in line with the fact that the more complex the accidents are, the higher the level of the accident management department, and the more cautious the handling of the accidents.
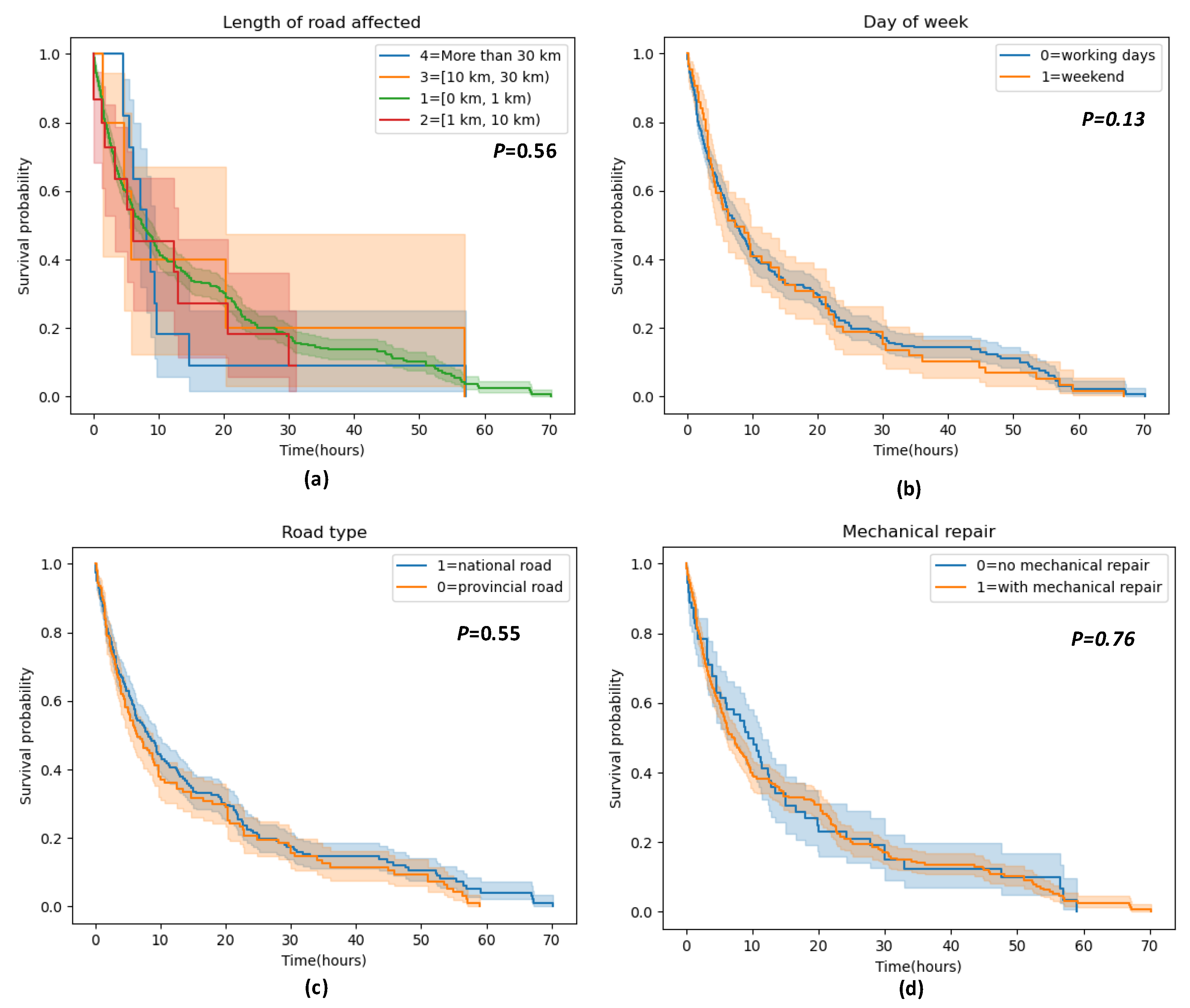
Figure 10 shows the results of the K-M model estimates for the four variables with insignificant log-rank values. Figure 10a shows that accidents with an incident road affected for a length of [0 km, 1 km) are largely dealt with when the duration of the accident is greater than 20 h. Accidents where the accident road is affected for a length of more than 10 km are largely dealt with when the duration of the accident is greater than 57 h. However, the shortest impact lengths have the highest probability of survival, probably due to the fact that accident impact lengths of [0 km, 1 km) are much more frequent than other class frequencies and contain occasional, extremely difficult road geohazard accidents. Figure 10b–d shows small differences in survival curves in terms of day of the week, type of road, and mechanical maintenance, indicating that the different conditions for the above three variables have a small effect on accident duration. In terms of the magnitude of the log-rank value of the insignificant variables, day of week < road type < length of road affected < mechanical repair.

4.3. Model Construction and Comparison

In this section, the performance of different prediction models is compared. First, 80% of the data were randomly selected for training the model, and the remaining 20% of the data were used for model testing.
To investigate whether the variables that were not significant in the K-M statistical analysis would have an effect on the prediction results of geohazard incident duration, we used a stepwise forward regression selection element method based on the results of the K-M analysis to add other variables. The optimal RSF model, the SSVM model and the CPH model were constructed. The performance of these three models was compared by calculating Harrell’s C-index, which measures the agreement between predicted risk and actual survival, for both the training and test sets.
In the univariate Kaplan–Meier approach, six characteristics, such as accident type, secondary accidents, detained vehicles or persons, etc., were statistically significant variables (Figure 7, Figure 8, Figure 9 and Figure 10). Starting with six significant variables, five combinations of variables were constructed according to the log-rank values of insignificant variables, and the test set C-index was calculated for each combination of variables. The results are shown in Figure 11. As the variables were added one after another, the C-index of the RSF showed a relatively steadier upward trend. The RSF model performs best when the input is variable combination 3, with a C-index of 0.756, which is the highest of all models. Although these variables were not statistically significant in the K-M method analysis, they were still considered important decisions in duration prediction. The SSVM model performed slightly better than the RSF model when inputting variable combinations 1 and 2. However, as the number of variables increased, CPH model performance hardly changed.
We further calculated the AUC of the three models by inputting variable combinations 2, 3, and 4 (the best-performing combination variable for each of the three model C-indexes). The results show that the AUC values of all three models achieve the best prediction when the input is variable combination 3. Although the mean AUC values of the RSF model and SSVM model are equal, Figure 12 shows that when the survival time is less than 25 h, the prediction performance of the RSF model is significantly better than the prediction performance of other models, but when the survival time is more than 25 h, the prediction performance of the RSF model decreases.
To evaluate whether the RSF model performs better than the machine learning model, the RF and XGBoost models were also constructed. The best-performing variable combination 3 in the RSF model was the input. Since the RF and XGBoost models cannot predict the censored data, the models were all constructed with the same complete dataset, and the MAE and MSE were calculated separately for the three models.
Among the three prediction models, the prediction error of the XGBoost model was the largest among the two metrics. Compared with the XGBoost model, the RF model achieved better prediction performance, where the MAE and MSE were reduced by an average of 9.2% and 24.2%, respectively. However, the RF model still failed to capture the inherent characteristics of the duration of road geohazard incidents well. Compared with the two methods mentioned above, the RSF further decreases the prediction error in terms of MAE and MSE.
In general, the application of survival machine learning models, such as RSF and SSVM models, for duration prediction is superior to traditional survival analysis models; this is because CPH models assume that risk is proportional to time and independent when covariates take different values, whereas machine learning models are nonparametric and can better capture the nonlinear relationship between the duration of road geological hazards and the factors. At the same time, the RSF model not only predicts censored data but also has better prediction accuracy than ordinary machine learning models. The RSF model proved to be more accurate than the other models (Figure 12 and Table 3), and these results may indicate that the RSF model is a more powerful predictor of road geohazard duration.

5. Discussion

In this section, the findings and applications of this study are analyzed and discussed. From the spatio-temporal analysis of the characteristics of road geohazards based on real data, geological accidents on roads are concentrated in areas with active crustal movement and steep hills. These results are in correspondence with Wei et al. [32] and Liang et al. [33], who concluded that geomorphology was the controlling factor for geological accidents such as collapses and landslides. Moreover, the rainfall intensity also plays an important role in road geohazards; this result is similar to Qiu et al. [34]. This means that during the construction of highways, engineering measures, such as drainage ditches in places prone to geological disasters, can effectively reduce the probability of accidents such as landslides and debris flows.
Regarding the factors that affect accident duration, statistical analyses conducted in existing studies [14,35] suggest that the ease of accident handling plays a key role in assessing event duration. Accidents of higher severity tend to result in longer durations and more severe congestion. When there are stranded people or vehicles and major highway geological disaster accidents, such as secondary accidents, the accident lasts longer.
Analysis of the influencing factors of road geological disaster accidents can reduce the impact of accidents on traffic through the effective allocation of equipment and personnel [10]. According to the findings of the paper, considering the requirements of traffic management, in order to shorten the road geological accident duration, the following are suggested: (1) Improve the rapid handling of multiple incidents, such as mudslides, and optimize emergency plans. (2) Improve the rationality of the allocation of personnel and equipment for morning peak and non-morning peak shifts.
From the results based on simulations and real data, we found that our proposed model can better predict the duration of road geohazard accidents, which has important implications for accident management. For example, it can provide a reference for road management and maintenance authorities to know the approximate duration of work and plan their work, which is important for assessing traffic management actions. In addition, as shown in Figure 13, when road congestion or disruption caused by various road geological hazards is known, it can provide reliable traffic information and recommend more efficient route options.

6. Conclusions

In this study, we investigated the characteristics of road geohazard accident duration and used the emerging survival machine learning methods to build a geohazard accident duration prediction model. The data on geological accidents in Yunnan Province were collected from January 2018 to December 2020. Through statistical analysis, the following were found:
(1) The mean geological accident duration time was 13.14 h. Road geological accidents are spatially heterogeneous, which are mainly located in tectonically active, steep mountainous, and fragmented areas, and have characteristics such as a high incidence during the rainy season and morning peaks. Debris flow and collapse were the most common causes of accidents, with an average duration of 9.14 h and 13.46 h, respectively. From the point of view of time, July to September is the period when road geohazard accidents are concentrated, accounting for 79.4% of the total number of accidents.
(2) The type of accident, secondary accidents, detained vehicles or persons, morning peak, closed roads, and level of accident management were found to have a significant impact on the duration of the geohazard accident.
(3) Compared to the traditional survival analysis model, the average C-index and AUC of the RSF model were 0.756 and 0.867, respectively, which were much larger than the mean C-index and AUC of the CPH and SSVM models. With uncensored data, compared to the machine learning model, the MAE and MSE evaluation metrics of the RSF model were 11.32 and 346.99, respectively, which were better than the MAE and MSE evaluation metrics of the RF and XGBoost models.
The results of this study can help us to understand the factors affecting the duration of road geological disaster incidents and implement appropriate strategies to mitigate the impact of incidents on traffic through the effective deployment of equipment and personnel. At the same time, it also can provide reliable traffic information for travelers and improves the reliability of travel times.

Author Contributions

Conceptualization, S.B. and B.D.; methodology, S.B. and X.J.; software, W.Q. and Y.P.; S.B. and B.D. created the figures and table; and S.B. wrote the paper. All authors have read and agreed to the published version of the manuscript.

Funding

This research was funded by the National Natural Science Foundation of China (52062024 and 52002161), the Science and Technology Innovation Program of the Department of Transportation, Yunnan Province, China (2021-90-3).

Institutional Review Board Statement

Not applicable.

Informed Consent Statement

Not applicable.

Data Availability Statement

Data are available from the corresponding author upon request.

Conflicts of Interest

The authors declare no conflict of interest.

References

  1. Chung, Y. Development of an accident duration prediction model on the Korean Freeway Systems. Accid. Anal. Prev. 2010, 42, 282–289. [Google Scholar] [CrossRef] [PubMed]
  2. Liu, J.; Cai, Y.; Ge, Y.; Huang, J. A Study on Security Monitoring and Dynamic Assessment of Highway Based on Remote Sensing. In Proceedings of the ICTIS 2013: Improving Multimodal Transportation Systems-Information, Safety, and Integration, Wuhan, China, 29 June–2 July 2013; pp. 231–236. [Google Scholar] [CrossRef]
  3. Pu, H.; Xie, J.; Schonfeld, P.; Song, T.; Li, W.; Wang, J.; Hu, J. Railway Alignment Optimization in Mountainous Regions Considering Spatial Geological Hazards: A Sustainable Safety Perspective. Sustainability 2021, 13, 1661. [Google Scholar] [CrossRef]
  4. Hojati, A.T.; Ferreira, L.; Washington, S.; Charles, P. Hazard based models for freeway traffic incident duration. Accid. Anal. Prev. 2013, 52, 171–181. [Google Scholar] [CrossRef] [PubMed]
  5. Kleinbaum, D.G.; Klein, M. Survival Analysis: A Self-Learning Text; Springer: Berlin/Heidelberg, Germany, 2012; Volume 3, Available online: https://link.springer.com/book/10.1007/0-387-29150-4 (accessed on 11 July 2022).
  6. Tirtha, S.D.; Yasmin, S.; Eluru, N. Modeling of incident type and incident duration using data from multiple years. Anal. Methods Accid. Res. 2020, 28, 100132. [Google Scholar] [CrossRef]
  7. Ozbay, K.; Noyan, N. Estimation of incident clearance times using Bayesian Networks approach. Accid. Anal. Prev. 2006, 38, 542–555. [Google Scholar] [CrossRef] [PubMed]
  8. Araghi, B.N.; Hu, S.; Krishnan, R.; Bell, M.; Ochieng, W. A comparative study of k-NN and hazard-based models for incident duration prediction. In Proceedings of the 17th International IEEE Conference on Intelligent Transportation Systems (ITSC), Qingdao, China, 8–11 October 2014; pp. 1608–1613. [Google Scholar] [CrossRef]
  9. Valenti, G.; Lelli, M.; Cucina, D. A comparative study of models for the incident duration prediction. Eur. Transp. Res. Rev. 2010, 2, 103–111. [Google Scholar] [CrossRef]
  10. Hensher, D.A.; Mannering, F.L. Hazard-based duration models and their application to transport analysis. Transp. Rev. 1994, 14, 63–82. [Google Scholar] [CrossRef]
  11. Jones, B.; Janssen, L.; Mannering, F. Analysis of the frequency and duration of freeway accidents in Seattle. Accid. Anal. Prev. 1991, 23, 239–255. [Google Scholar] [CrossRef]
  12. Li, R.; Guo, M. Competing risks analysis on traffic accident duration time. J. Adv. Transp. 2015, 49, 402–415. [Google Scholar] [CrossRef]
  13. Chen, C.; Tian, Y. Discussion on the Influence of Weather on Expressway Traffic Accidents in time based on Survival Analysis Model. In Proceedings of the International Conference on Artificial Intelligence and Communication Technology, Tbilisi, Georgia, 17–19 October 2020; Available online: https://clausiuspress.com/conferences/ACSS/AICT%202020/AICT2020024.pdf (accessed on 30 June 2022).
  14. Alkaabi, A.M.S.; Dissanayake, D.; Bird, R. Analyzing clearance time of urban traffic accidents in Abu Dhabi, United Arab Emirates, with hazard-based duration modeling method. Transp. Res. Rec. 2011, 2229, 46–54. [Google Scholar] [CrossRef]
  15. Dinse, G.E.; Jusko, T.A.; Ho, L.A.; Annam, K.; Graubard, B.I.; Hertz-Picciotto, I.; Miller, F.W.; Gillespie, B.W.; Weinberg, C.R. Accommodating measurements below a limit of detection: A novel application of Cox regression. Am. J. Epidemiol. 2014, 179, 1018–1024. [Google Scholar] [CrossRef] [PubMed]
  16. Kim, H.J.; Hoi-Kyun, C. A comparative analysis of incident service time on urban freeways. IATSS Res. 2001, 25, 62–72. [Google Scholar] [CrossRef]
  17. Wu, W.-W.; Chen, S.-Y.; Zheng, C.-J. Traffic incident duration prediction based on support vector regression. In Proceedings of the ICCTP 2011: Towards Sustainable Transportation Systems, Nanjing, China, 14–17 August 2011; pp. 2412–2421. [Google Scholar] [CrossRef]
  18. Ma, X.; Ding, C.; Luan, S.; Wang, Y. Prioritizing influential factors for freeway incident clearance time prediction using the gradient boosting decision trees method. IEEE Trans. Intell. Transp. Syst. 2017, 18, 2303–2310. [Google Scholar] [CrossRef]
  19. Lu, M.; Ilgin Guler, S. Comparison of Random Survival Forest with Accelerated Failure Time-Weibull Model for Bridge Deck Deterioration. Transp. Res. Rec. 2022, 2676, 03611981221078281. [Google Scholar] [CrossRef]
  20. Ishwaran, H.; Kogalur, U.B.; Blackstone, E.H.; Lauer, M.S. Random survival forests. Ann. Appl. Stat. 2008, 2, 841–860. [Google Scholar] [CrossRef]
  21. Fantazzini, D.; Figini, S. Random survival forests models for SME credit risk measurement. Methodol. Comput. Appl. Probab. 2009, 11, 29–45. [Google Scholar] [CrossRef]
  22. Dietrich, S.; Floegel, A.; Troll, M.; Kühn, T.; Rathmann, W.; Peters, A.; Sookthai, D.; Von Bergen, M.; Kaaks, R.; Adamski, J. Random Survival Forest in practice: A method for modelling complex metabolomics data in time to event analysis. Int. J. Epidemiol. 2016, 45, 1406–1420. [Google Scholar] [CrossRef]
  23. Chen, S.; Mulder, V.L.; Martin, M.P.; Walter, C.; Lacoste, M.; Richer-de-Forges, A.C.; Saby, N.P.; Loiseau, T.; Hu, B.; Arrouays, D. Probability mapping of soil thickness by random survival forest at a national scale. Geoderma 2019, 344, 184–194. [Google Scholar] [CrossRef]
  24. Wang, X.; Li, J.; Yu, R. Modeling disruption durations of subway service via random survival forests: The case of Shanghai. J. Transp. Saf. Secur. 2022, 1–23. [Google Scholar] [CrossRef]
  25. Omurlu, I.K.; Ture, M.; Tokatli, F. The comparisons of random survival forests and Cox regression analysis with simulation and an application related to breast cancer. Expert Syst. Appl. 2009, 36, 8582–8588. [Google Scholar] [CrossRef]
  26. Kittelson, W.K.; Roess, R.P. Highway capacity analysis after highway capacity manual 2000. Transp. Res. Rec. 2001, 1776, 10–16. [Google Scholar] [CrossRef]
  27. Miller, R.G., Jr. Survival Analysis; John Wiley & Sons: Hoboken, NJ, USA, 2011. [Google Scholar]
  28. Washington, S.; Karlaftis, M.; Mannering, F.; Anastasopoulos, P. Statistical and Econometric Methods for Transportation Data Analysis; Chapman and Hall/CRC: London, UK, 2020. [Google Scholar] [CrossRef]
  29. Peterson, A.V., Jr. Expressing the Kaplan-Meier estimator as a function of empirical subsurvival functions. J. Am. Stat. Assoc. 1977, 72, 854–858. [Google Scholar] [CrossRef]
  30. Pölsterl, S.; Navab, N.; Katouzian, A. An efficient training algorithm for kernel survival support vector machines. arXiv 2016, arXiv:1611.07054. [Google Scholar] [CrossRef]
  31. Kim, Y.; Park, S.; Lee, J.; Jang, D.; Kang, J. Integrated survival model for predicting patent litigation hazard. Sustainability 2021, 13, 1763. [Google Scholar] [CrossRef]
  32. Wei, F.; Gao, K.; Hu, K.; Li, Y.; Gardner, J.S. Relationships between debris flows and earth surface factors in Southwest China. Environ. Geol. 2008, 55, 619–627. [Google Scholar] [CrossRef]
  33. Liang, S.; Chen, D.; Li, D.; Qi, Y.; Zhao, Z. Spatial and Temporal Distribution of Geologic Hazards in Shaanxi Province. Remote Sens. 2021, 13, 4259. [Google Scholar] [CrossRef]
  34. Qiu, H.; Cui, Y.; Pei, Y.; Yang, D.; Hu, S.; Wang, X.; Ma, S. Temporal patterns of nonseismically triggered landslides in Shaanxi Province, China. Catena 2020, 187, 104356. [Google Scholar] [CrossRef]
  35. Chung, Y. Identification of critical factors for non-recurrent congestion induced by urban freeway crashes and its mitigating strategies. Sustainability 2017, 9, 2331. [Google Scholar] [CrossRef]
Figure 1. Components of accident duration.
Figure 1. Components of accident duration.
Sustainability 14 12429 g001
Figure 2. Integrated survival analysis model framework.
Figure 2. Integrated survival analysis model framework.
Sustainability 14 12429 g002
Figure 3. The specific spatial distributions and nuclear density of road geohazards: (a) accident frequency; (b) duration. As these data were reported manually, there are missing and incorrect latitude and longitude data. The graph shows only the data containing 157 correct latitude and longitude data.
Figure 3. The specific spatial distributions and nuclear density of road geohazards: (a) accident frequency; (b) duration. As these data were reported manually, there are missing and incorrect latitude and longitude data. The graph shows only the data containing 157 correct latitude and longitude data.
Sustainability 14 12429 g003aSustainability 14 12429 g003b
Figure 4. Accident frequency and the average duration of the different types.
Figure 4. Accident frequency and the average duration of the different types.
Sustainability 14 12429 g004
Figure 5. Monthly distribution of road geohazard accidents.
Figure 5. Monthly distribution of road geohazard accidents.
Sustainability 14 12429 g005
Figure 6. Temporal distribution of road geohazard accidents.
Figure 6. Temporal distribution of road geohazard accidents.
Sustainability 14 12429 g006
Figure 7. Kaplan–Meier curves: (a) accident types; (b) secondary accidents.
Figure 7. Kaplan–Meier curves: (a) accident types; (b) secondary accidents.
Sustainability 14 12429 g007
Figure 8. Kaplan–Meier curves: (a) detained vehicles or persons; (b) morning peak.
Figure 8. Kaplan–Meier curves: (a) detained vehicles or persons; (b) morning peak.
Sustainability 14 12429 g008
Figure 9. Kaplan–Meier curves: (a) closed road; (b) level of accident management department.
Figure 9. Kaplan–Meier curves: (a) closed road; (b) level of accident management department.
Sustainability 14 12429 g009
Figure 10. Kaplan–Meier curves: (a) length of road affected; (b) day of week; (c) road type; (d) mechanical repair.
Figure 10. Kaplan–Meier curves: (a) length of road affected; (b) day of week; (c) road type; (d) mechanical repair.
Sustainability 14 12429 g010
Figure 11. Performance of the RSF, CPH, and SSVM models in terms of the C-index (95% confidence interval).
Figure 11. Performance of the RSF, CPH, and SSVM models in terms of the C-index (95% confidence interval).
Sustainability 14 12429 g011
Figure 12. AUC curves: (a) variable combination 2; (b) variable combination 3; (c) variable combination 4.
Figure 12. AUC curves: (a) variable combination 2; (b) variable combination 3; (c) variable combination 4.
Sustainability 14 12429 g012
Figure 13. Information tips for highway variable intelligence boards.
Figure 13. Information tips for highway variable intelligence boards.
Sustainability 14 12429 g013
Table 1. Major items and examples included in the original accident text data.
Table 1. Major items and examples included in the original accident text data.
ItemExample Data 1Example Data 2
Route nameXining–LancangJingtai–Zhaotong
Route codeG214G247
Pile numberK1890 + 850-K1891 + 900K1791-K1791 + 100
Cause of Incidentcollapsecollapse
Length of Interruption1.05 km0.1 km
Statusendedended
Type of Interruptionburst type interruptburst type interrupt
Description of Site ConditionOn 2 December 2019, a slump occurred on the national road under the management of Deqin Road Branch, totaling 975 m3, causing a full-width road disruption. Upon receipt of the disaster, Deqin Road Branch Foshan Road Management Office immediately organized personnel and machinery to rush to the scene.Zhaotong Road Bureau Yanjin road branch in the inspection found due to rainfall affected by the collapse of the mountain, resulting in the entire width of the road blocked. The amount of collapsed material was approximately 600 m3; no casualties were found; stranded vehicles = 50; stranded people = 100. As the mountain is continuing to collapse, the amount of collapse is significant, being more dangerous at night. The expected recovery time was 4 November 2019, 18 h.
Disposal MeasuresAfter receiving notification of the disaster, Deqin Road Branch Foshan road management immediately organized to send a loader, a logistical support vehicle, and four emergency personnel rushed to the scene to do a good job related to the security setup work. At 10:00 on 2 December, the entire width of the road could be restored.The scene is closed by traffic police for two-way control measures, Yanjin to Pu’er direction detour route: G85 Yu Kun road, reverse the same. Yanjin Road Branch has put in 1 loader, 1 maintenance production vehicle, 1 emergency maintenance vehicle, and 2 on-site observers, pending the stabilization of the mountain for emergency access.
Reported departmentsDiqing Road BureauZhaotong Road Bureau
Report time2 December 2019 15:134 November 2019 16:23
Discovery time2 December 2019 08:103 November 2019 19:03
Actual recovery time2 December 2019 10:004 November 2019 16:20
Table 2. Description of the candidate explanatory variables and statistical data base on selected accident data.
Table 2. Description of the candidate explanatory variables and statistical data base on selected accident data.
CategoryVariableSymbolValue SetFrequency (Percentage)Minimum
/h
Maximum
/h
Mean
/h
Standard
Deviation
AccidentsDuration time R+——0.0271.9313.1416.22
Status 0 = censor data53 (15.2%)0.0256.412.316.4
1 = complete data296 (84.8%)0.8371.913.316.2
Accidents type f 1 1 = debris flow129 (37.0%)0.0760.419.1413.01
2 = subsidence or cracks in the ground;20 (5.7%)0.1458.3713.2617.05
3 = collapse122 (35.0%)0.0871.9313.4616.03
4 = landslide78 (22.3%)0.0268.8119.2419.18
Length of road affected f 2 1 = [0 km, 1 km) 318 (91.1%)0.0271.9313.2816.37
2 = [1 km, 10 km)15 (4.3%)0.1431.128.8710.72
3 = [10 km, 30 km)5 (1.4%)1.4858.3718.2723.60
4 = More than 30 km11 (3.2%)4.6258.4312.6115.49
Secondary accidents f 3 0 = no322 (92.3%)0.0268.7112.3515.42
1 = yes27 (7.7%)0.3371.9322.5722.11
Detained vehicles or persons f 4 0 = no;280 (80.2%)0.0271.9311.7114.74
1 = yes69 (19.8%)1.2368.8118.9420.32
Road typeroad type f 5 0 = provincial road
1 = national road
144 (41.3%)
205 (58.7%)
0.08
0.02
60.41
71.93
11.79
14.09
15.15
16.91
Time situationMorning peak f 6 0 = non-morning peak172 (49.3%)0.0271.9316.4517.58
1 = morning peak
(8:00 a.m.–11:59 a.m.)
177 (50.7%)0.0860.509.9314.12
Day of week f 7 0 = working days
1 = weekends
285 (81.7%)0.0271.9312.9316.15
64 (18.3%)0.0868.4714.1016.66
Operation stateClosed road f 8 0 = no;
1 = yes
135 (38.7%)
214 (61.3%)
0.02
0.08
71.93
68.71
10.02
15.11
15.36
16.48
Mechanical repair f 9 0 = no
1 = yes
74 (21.2%)
275 (78.8%)
0.08
0.02
60.41
71.93
11.88
13.48
14.88
16.58
Level of accidents management department f 10 1 = squadron14 (4.0%)1.4215.106.364.33
2 = battalion and local road bureau320 (91.7%)0.0271.9313.4916.48
3 = Yunnan Transportation Department15 (4.3%)1.5868.7112.0716.97
Table 3. Comparison of road geohazard incident duration predictions using different algorithms.
Table 3. Comparison of road geohazard incident duration predictions using different algorithms.
IndexRSFRFXGBoost
MAE11.3216.2817.92
MSE346.99462.36617.68
Publisher’s Note: MDPI stays neutral with regard to jurisdictional claims in published maps and institutional affiliations.

Share and Cite

MDPI and ACS Style

Bai, S.; Ji, X.; Dai, B.; Pu, Y.; Qin, W. An Integrated Model for the Geohazard Accident Duration on a Regional Mountain Road Network Using Text Data. Sustainability 2022, 14, 12429. https://doi.org/10.3390/su141912429

AMA Style

Bai S, Ji X, Dai B, Pu Y, Qin W. An Integrated Model for the Geohazard Accident Duration on a Regional Mountain Road Network Using Text Data. Sustainability. 2022; 14(19):12429. https://doi.org/10.3390/su141912429

Chicago/Turabian Style

Bai, Shumin, Xiaofeng Ji, Bingyou Dai, Yongming Pu, and Wenwen Qin. 2022. "An Integrated Model for the Geohazard Accident Duration on a Regional Mountain Road Network Using Text Data" Sustainability 14, no. 19: 12429. https://doi.org/10.3390/su141912429

APA Style

Bai, S., Ji, X., Dai, B., Pu, Y., & Qin, W. (2022). An Integrated Model for the Geohazard Accident Duration on a Regional Mountain Road Network Using Text Data. Sustainability, 14(19), 12429. https://doi.org/10.3390/su141912429

Note that from the first issue of 2016, this journal uses article numbers instead of page numbers. See further details here.

Article Metrics

Back to TopTop