Seedling Establishment Test for the Comprehensive Evaluation of Compost Phytotoxicity
Abstract
:1. Introduction
2. Materials and Methods
2.1. Experimental Materials
2.2. Experimental Designs and Sample Collection
2.3. Measurement and Analysis Methods
2.3.1. Preparation of Compost Water Extract
2.3.2. Seedling Establishment Test
2.3.3. Determination of Physicochemical Indexes of Compost Water Extract
2.3.4. Determination of Humic Substances Contents and E4/E6
2.4. Statistical Analysis
3. Results and Discussion
3.1. Phytotoxicity Indicators
3.1.1. Changes in Relative Root Growth during Composting
3.1.2. Changes in Chlorophyll Content during Composting
3.2. Physicochemical Indicators of Composts
3.2.1. Temperature and Moisture Content during Composting
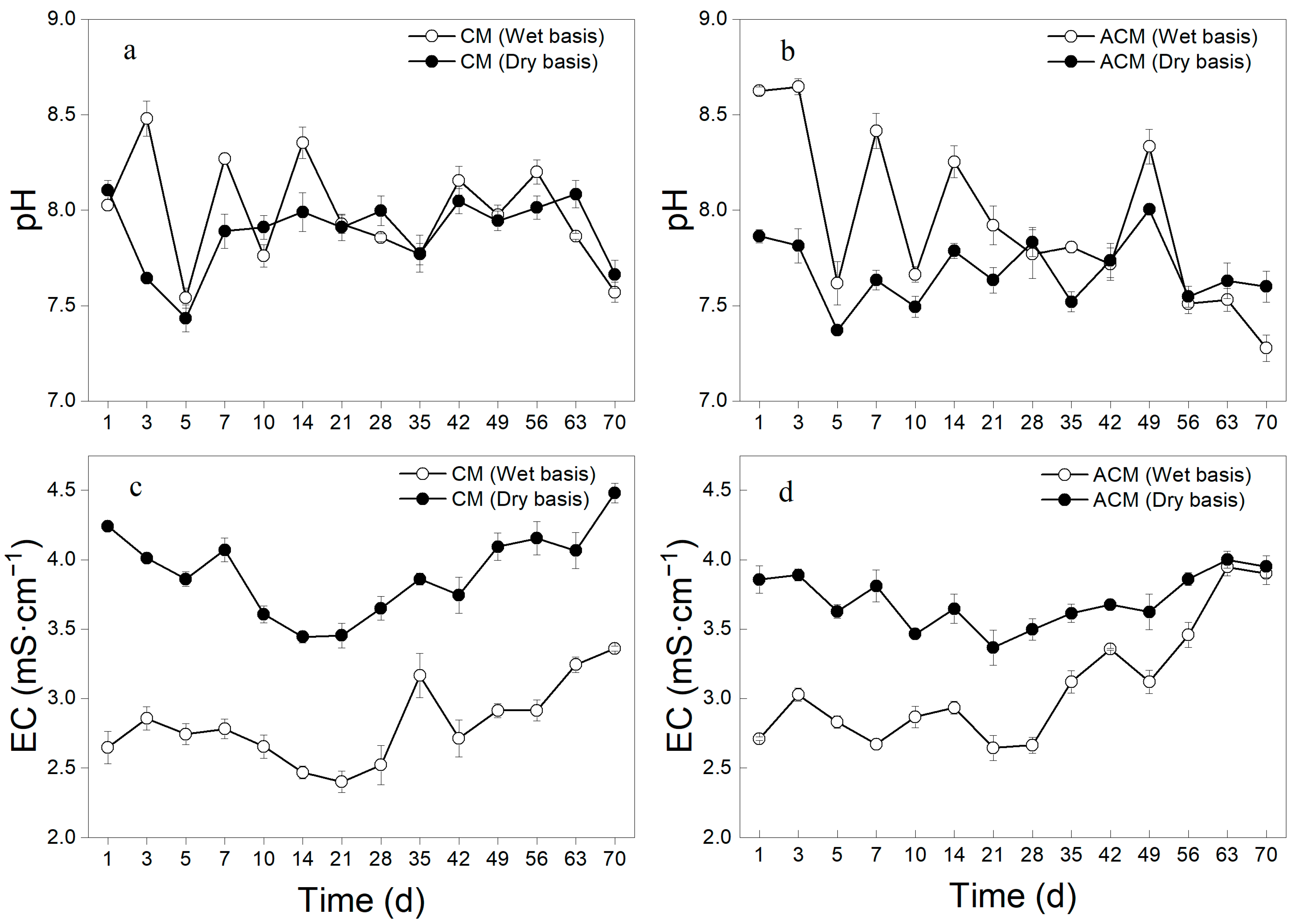
3.2.2. pH and EC
3.3. Variations in Carbon and Nitrogen Contents
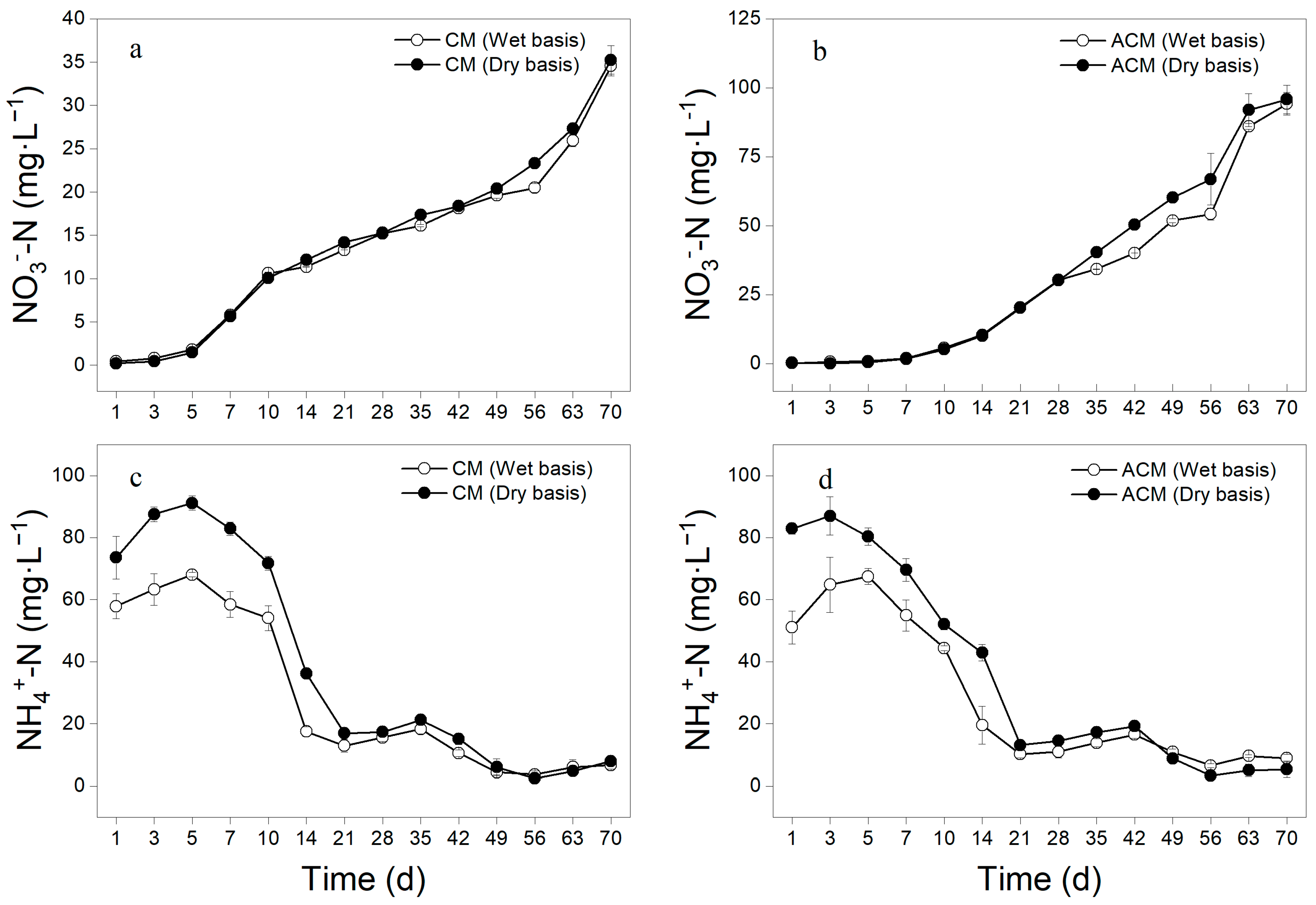
3.3.1. NO3–-N and NH4+-N
3.3.2. TOC and TN
3.4. Changes in the Humus Content during Composting
3.5. Relation between Phytotoxicity and Extraction Method
3.5.1. Difference between Composting Water Extracts Prepared by Fresh Weight and Dry Weight
3.5.2. Comparison between Seedling Establishment Test and Seed Germination Test
4. Conclusions
Author Contributions
Funding
Institutional Review Board Statement
Informed Consent Statement
Data Availability Statement
Conflicts of Interest
References
- Cui, H.; Zhao, Y.; Chen, Y.; Zhang, X.; Wang, X.; Lu, Q.; Wei, Z. Assessment of phytotoxicity grade during composting based on EEM/PARAFAC combined with projection pursuit regression. J. Hazard. Mater. 2017, 326, 10–17. [Google Scholar] [CrossRef]
- Guo, R.; Li, G.; Jiang, T.; Schuchardt, F.; Chen, T.; Zhao, Y.; Shen, Y. Effect of aeration rate, C/N ratio and moisture content on the stability and maturity of compost. Bioresour. Technol. 2012, 112, 171–178. [Google Scholar] [CrossRef] [PubMed]
- Ayilara, M.S.; Olanrewaju, O.S.; Babalola, O.O.; Odeyemi, O. Waste Management through Composting: Challenges and Potentials. Sustainability 2020, 12, 4456. [Google Scholar] [CrossRef]
- Chang, R.; Guo, Q.; Pandey, P.; Li, Y.; Chen, Q.; Sun, Y. Pretreatment by composting increased the utilization proportion of pig manure biogas digestate and improved the seedling substrate quality. Waste Manag. 2021, 129, 47–53. [Google Scholar] [CrossRef]
- Young, B.; Rizzo, P.; Riera, N.; Torre, V.; Lopez, V.; Molina, C.; Sanchez, A. Development of phytotoxicity indexes and their correlation with ecotoxicological, stability and physicochemical parameters during passive composting of poultry manure. Waste Manag. 2016, 54, 101–109. [Google Scholar] [CrossRef] [PubMed]
- Yang, Y.; Wang, G.; Li, G.; Ma, R.; Kong, Y.; Yuan, J. Selection of sensitive seeds for evaluation of compost maturity with the seed germination index. Waste Manag. 2021, 136, 238–243. [Google Scholar] [CrossRef] [PubMed]
- Wang, G.; Kong, Y.; Liu, Y.; Li, D.; Zhang, X.; Yuan, J.; Li, G. Evolution of phytotoxicity during the active phase of co-composting of chicken manure, tobacco powder and mushroom substrate. Waste Manag. 2020, 114, 25–32. [Google Scholar] [CrossRef]
- Luo, Y.; Liang, J.; Zeng, G.; Chen, M.; Mo, D.; Li, G.; Zhang, D. Seed germination test for toxicity evaluation of compost: Its roles, problems and prospects. Waste Manag. 2018, 71, 109–114. [Google Scholar] [CrossRef]
- NY/T 3442-2019; Chinese Technical Specification for Animal Manure Composting. Ministry of Agriculture and Rural Affairs of China: Beijing, China, 2019. Available online: http://down.foodmate.net/standard/sort/5/80143.html (accessed on 12 August 2022).
- Rizzo, P.; Young, B.; Pin, V.; Carbajal, J.; Martinez, L.; Riera, N.; Crespo, D. Integral approach for the evaluation of poultry manure, compost, and digestate: Amendment characterization, mineralization, and effects on soil and intensive crops. Waste Manag. 2021, 139, 124–135. [Google Scholar] [CrossRef]
- Wang, X.; Zhao, Y.; Wang, H.; Zhao, X.; Cui, H.; Wei, Z. Reducing nitrogen loss and phytotoxicity during beer vinasse composting with biochar addition. Waste Manag. 2017, 61, 150–156. [Google Scholar] [CrossRef]
- Luo, Y.; Liang, J.; Zeng, G. Sensitivity difference between skotomorphogenesis and photomorphogenesis of plants to antibiotics: A call for research. Chemosphere 2020, 242, 125261. [Google Scholar] [CrossRef] [PubMed]
- Pham, V.; Kathare, P.; Huq, E. Phytochromes and Phytochrome Interacting Factors. Plant Physiol. 2018, 176, 1025–1038. [Google Scholar] [CrossRef]
- Luo, Y.; Liang, J.; Zeng, G.; Li, X.; Chen, M.; Jiang, L.; Chen, X. Evaluation of tetracycline phytotoxicity by seed germination stage and radicle elongation stage tests: A comparison of two typical methods for analysis. Environ. Pollut. 2019, 251, 257–263. [Google Scholar] [CrossRef] [PubMed]
- Luo, Y.; Liang, J.; Zeng, G.; Li, X.; Chen, M.; Jiang, L.; Tang, N. Responses of seeds of typical Brassica crops to tetracycline stress: Sensitivity difference and source analysis. Ecotoxicol. Environ. Saf. 2019, 184, 109597. [Google Scholar] [CrossRef] [PubMed]
- Lichtenthaler, H.; Wellburn, A. Determination of total carotenoids and chlorophylls a and b of leaf in different solvents. Biochem. Soc. Trans. 1982, 11, 591–592. [Google Scholar] [CrossRef]
- Wang, P.; Abid, M.; Qanmber, G.; Askari, M.; Zhou, L.; Song, Y.; Zhang, R. Photomorphogenesis in plants: The central role of phytochrome interacting factors (PIFs). Environ. Exp. Bot. 2022, 194, 104704. [Google Scholar] [CrossRef]
- El Fels, L.; Zamama, M.; El Asli, A.; Hafidi, M. Assessment of biotransformation of organic matter during co-composting of sewage sludge-lignocelullosic waste by chemical, FTIR analyses, and phytotoxicity tests. Int. Biodeter. Biodegr. 2014, 87, 128–137. [Google Scholar] [CrossRef]
- Wang, Y.; Ai, P.; Cao, H.; Liu, Z. Prediction of moisture variation during composting process: A comparison of mathematical models. Bioresour. Technol. 2015, 193, 200–205. [Google Scholar] [CrossRef]
- Lin, H.; Ye, J.; Sun, W.; Yu, Q.; Wang, Q.; Zou, P.; Chen, Z.; Ma, J.; Wang, F.; Ma, J. Solar composting greenhouse for organic waste treatment in fed-batch mode: Physicochemical and microbiological dynamics. Waste Manag. 2020, 113, 1–11. [Google Scholar] [CrossRef] [PubMed]
- Nie, W.; Ga, B.; Jin, Z.; Luo, W. Comparison of changes of different animal-manures composted by trough composting process and their effects on phytotoxicities. Acta Scien. Circum. 2020, 40, 2557–2570. (In Chinese) [Google Scholar]
- Zittel, R.; Da, S.; Domingues, C.; Seremeta, D.; Estrada, R.; de Campos, S. Composting of smuggled cigarettes tobacco and industrial sewage sludge in reactors: Physicochemical, phytotoxic and spectroscopic study. Waste Manag. 2018, 79, 537–544. [Google Scholar] [CrossRef] [PubMed]
- Oyewusi, T.; Osunbitan, J.; Ogunwande, G.; Omotosho, O. Investigation into physico-chemical properties of compost extract as affected by processing parameters. Environ. Challen. 2021, 5, 100370. [Google Scholar] [CrossRef]
- Yuan, J.; Chadwick, D.; Zhang, D.; Li, G.; Chen, S.; Luo, W.; Du, L.; He, S.; Peng, S.P. Effects of aeration rate on maturity and gaseous emissions during sewage sludge composting. Waste Manag. 2016, 56, 403–410. [Google Scholar] [CrossRef] [PubMed]
- Gong, B.; Zhong, X.; Chen, X.; Li, S.; Hong, J.; Mao, X.; Liao, Z. Manipulation of composting oxygen supply to facilitate dissolved organic matter (DOM) accumulation which can enhance maize growth. Chemosphere 2021, 27, 129729. [Google Scholar] [CrossRef]
- Badhwar, V.; Singh, S.; Singh, B. Biotransformation of paper mill sludge and tea waste with cow dung using vermicomposting. Bioresour. Technol. 2020, 318, 124097. [Google Scholar] [CrossRef]
- Wang, G.; Yang, Y.; Kong, Y.; Ma, R.; Yuan, J.; Li, G. Key factors affecting seed germination in phytotoxicity tests during sheep manure composting with carbon additives. J. Hazard. Mater. 2022, 421, 126809. [Google Scholar] [CrossRef] [PubMed]
- Li, L.; Guo, X.; Zhao, T.; Li, T. Green waste composting with bean dregs, tea residue, and biochar: Effects on organic matter degradation, humification and compost maturity. Environ. Technol. Inno. 2021, 24, 101887. [Google Scholar] [CrossRef]
- He, S.; Ding, L.; Li, K.; Hu, D.; Ye, L.; Ren, H. Comparative study of activated sludge with different individual nitrogen sources at a low temperature: Effluent dissolved organic nitrogen compositions, metagenomic and microbial community. Bioresour. Technol. 2018, 247, 915–923. [Google Scholar] [CrossRef]
- Zhu, N.; Zhu, Y.; Kan, Z.; Li, B.; Cao, Y.; Jin, H. Effects of two-stage microbial inoculation on organic carbon turnover and fungal community succession during co-composting of cattle manure and rice straw. Bioresour. Technol. 2021, 341, 125842. [Google Scholar] [CrossRef]
- Xi, B.; Zhao, X.; He, X.; Huang, C.; Tan, W.; Gao, R.; Zhang, H.; Li, D. Successions and diversity of humic-reducing microorganisms and their association with physical-chemical parameters during composting. Bioresour. Technol. 2016, 219, 204–211. [Google Scholar] [CrossRef]
- Zhang, Z.; Zhao, Y.; Wang, R.; Lu, Q.; Wu, J.; Zhang, D.; Wei, Z. Effect of the addition of exogenous precursors on humic substance formation during composting. Waste Manag. 2018, 79, 462–471. [Google Scholar] [CrossRef]
- Raj, D.; Antil, R. Evaluation of maturity and stability parameters of composts prepared from agro-industrial wastes. Bioresour. Technol. 2011, 272, 521–528. [Google Scholar] [CrossRef] [PubMed]
- Sun, C.; Wei, Y.; Kou, J.; Han, Z.; Shi, Q.; Liu, L.; Sun, Z. Improve spent mushroom substrate decomposition, bacterial community and mature compost quality by adding cellulase during composting. J. Clean Prod. 2021, 299, 126928. [Google Scholar] [CrossRef]
- Jalili, M.; Mokhtari, M.; Eslami, H.; Abbasi, F.; Ghanbari, R.; Ebrahimi, A. Toxicity evaluation and management of co-composting pistachio wastes combined with cattle manure and municipal sewage sludge. Ecotoxicol. Environ. Saf. 2019, 171, 798–804. [Google Scholar] [CrossRef] [PubMed]
- Ma, X.; Geisler-Lee, J.; Deng, Y.; Kolmakov, A. Interactions between engineered nanoparticles (ENPs) and plants: Phytotoxicity, uptake and accumulation. Sci. Total Environ. 2010, 408, 3053–3061. [Google Scholar] [CrossRef]
- Gao, X.; Yang, F.; Yan, Z.; Zhao, J.; Li, S.; Nghiem, L.; Li, G.; Luo, W. Humification and maturation of kitchen waste during indoor composting by individual households. Sci. Total Environ. 2022, 814, 152509. [Google Scholar] [CrossRef]
- Milon, A.; Chang, S.; Ravindran, B. Biochar amended compost maturity evaluation using commercial vegetable crops seedlings through phytotoxicity germination bioassay. J. King Saud. Univ. 2022, 34, 101770. [Google Scholar] [CrossRef]
- Li, C.; Li, H.; Yao, T.; Su, M.; Ra, F.; Han, B.; Li, J.; Lan, X.; Zhang, Y.; Yang, X.; et al. Microbial inoculation influences bacterial community succession and physicochemical characteristics during pig manure composting with corn straw. Bioresour. Technol. 2019, 289, 121653. [Google Scholar] [CrossRef]
- Tang, Y.; Dong, B.; Dai, X. Hyperthermophilic pretreatment composting to produce high quality sludge compost with superior humification degree and nitrogen retention. Chem. Eng. J. 2022, 429, 132247. [Google Scholar] [CrossRef]
- Siles-Castellano, A.; López, M.; López-González, J.; Suárez-Estrella, F.; Jurado, M.; Estrella-González, M.; Moreno, J. Comparative analysis of phytotoxicity and compost quality in industrial composting facilities processing different organic wastes. J. Clean Prod. 2020, 252, 119820. [Google Scholar] [CrossRef]
- Oleszczuk, P. Phytotoxicity of municipal sewage sludge composts related to physico-chemical properties, PAHs and heavy metals. Ecotoxicol. Environ Saf. 2008, 69, 496–505. [Google Scholar] [CrossRef]
- Martins, G.; Correa, L.; Guidoni, L.; Lucia, T.; Gerber, M.; Silva, F.; Correa, E. Toxicity and physicochemical parameters of composts including distinct residues from agribusiness and slaughterhouse sludge. Waste Manag. 2022, 138, 75–82. [Google Scholar] [CrossRef]






| Materials | Moisture Content (%) | TOC (%) | TN (%) | C/N |
|---|---|---|---|---|
| Cow manure | 74.19 | 25.79 | 1.58 | 16.32 |
| Corn straw | 4.18 | 45.52 | 0.93 | 48.95 |
| Spent mushroom substrate | 0.72 | 43.55 | 0.82 | 53.11 |
| Samples | CM | ACM | ||
|---|---|---|---|---|
| HA-C (mg·g−1) | FA-C (mg·g−1) | HA-C (mg·g−1) | FA-C (mg·g−1) | |
| 1 d | 5.60 | 5.13 | 7.60 | 5.60 |
| 7 d | 8.60 | 5.19 | 8.30 | 3.99 |
| 10 d | 9.30 | 4.60 | 10.20 | 4.60 |
| 35 d | 10.10 | 4.17 | 11.70 | 3.62 |
| 70 d | 12.30 | 4.00 | 13.60 | 3.00 |
Publisher’s Note: MDPI stays neutral with regard to jurisdictional claims in published maps and institutional affiliations. |
© 2022 by the authors. Licensee MDPI, Basel, Switzerland. This article is an open access article distributed under the terms and conditions of the Creative Commons Attribution (CC BY) license (https://creativecommons.org/licenses/by/4.0/).
Share and Cite
Liu, Y.; Liu, J.; Cheng, H.; Luo, Y.; Oh, K.; Meng, X.; Zhang, H.; Liu, N.; Chang, M. Seedling Establishment Test for the Comprehensive Evaluation of Compost Phytotoxicity. Sustainability 2022, 14, 11920. https://doi.org/10.3390/su141911920
Liu Y, Liu J, Cheng H, Luo Y, Oh K, Meng X, Zhang H, Liu N, Chang M. Seedling Establishment Test for the Comprehensive Evaluation of Compost Phytotoxicity. Sustainability. 2022; 14(19):11920. https://doi.org/10.3390/su141911920
Chicago/Turabian StyleLiu, Yuan, Jiahui Liu, Hongyan Cheng, Yuan Luo, Kokyo Oh, Xiangzhuo Meng, Haibo Zhang, Na Liu, and Mingchang Chang. 2022. "Seedling Establishment Test for the Comprehensive Evaluation of Compost Phytotoxicity" Sustainability 14, no. 19: 11920. https://doi.org/10.3390/su141911920
APA StyleLiu, Y., Liu, J., Cheng, H., Luo, Y., Oh, K., Meng, X., Zhang, H., Liu, N., & Chang, M. (2022). Seedling Establishment Test for the Comprehensive Evaluation of Compost Phytotoxicity. Sustainability, 14(19), 11920. https://doi.org/10.3390/su141911920

