Laboratory Evaluation of Dynamic Characteristics of a New High-Modulus Asphalt Mixture
Abstract
:1. Introduction
2. Materials and Specimen Preparation
2.1. Materials
2.1.1. Asphalt Binder
2.1.2. Composite High-Modulus Agent
2.1.3. Aggregate Gradation
2.2. Specimen Preparation
2.2.1. CHMA-Modified Asphalt Binder
2.2.2. Asphalt Mixture Specimen
3. Methods
3.1. Rheological Property Tests
3.2. Dynamic Modulus Test
3.3. Wheel Tracking Test
3.4. Frequency Sweep Test at a Constant Height
3.5. Repeated Shear Test at a Constant Height
4. Results and Discussions
4.1. Rheological Propery of Asphalt Binders
4.2. Dynamic Mechanical Performance
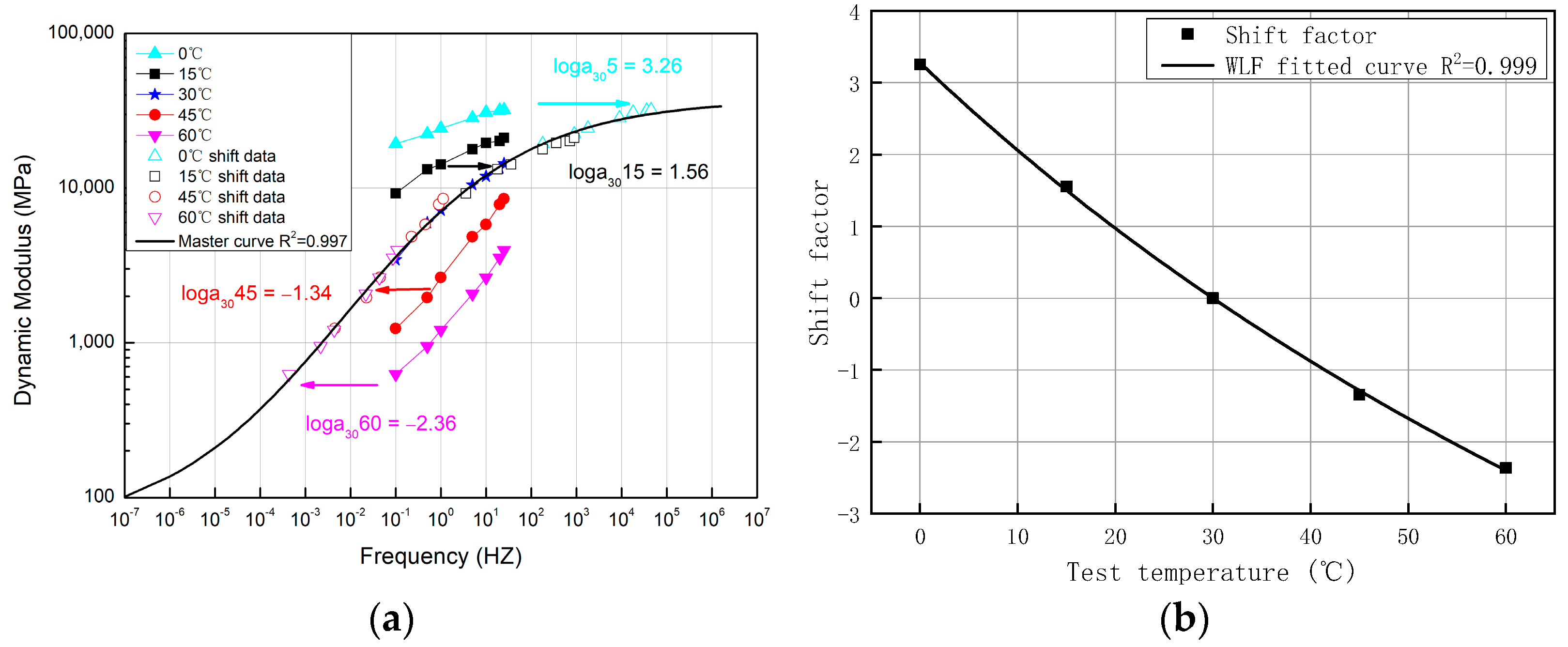
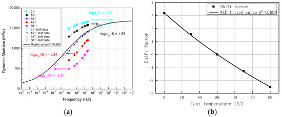
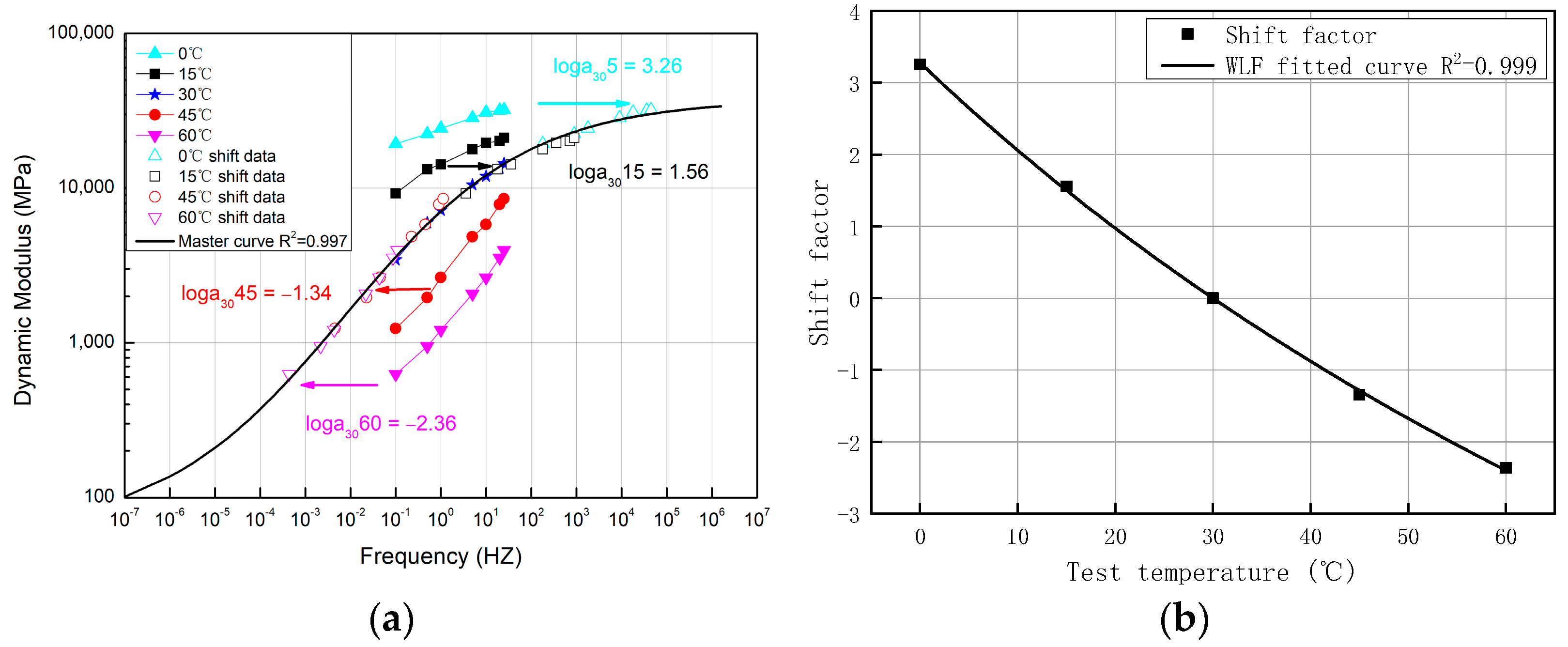
4.2.1. Dynamic Modulus
4.2.2. Dynamic Modulus Master Curve
4.3. Rutting Resistance Performance
4.4. Shear Resistance Performance
4.4.1. FSCH Test Results
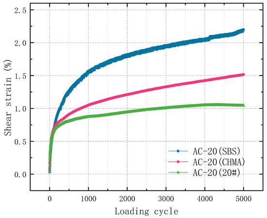
4.4.2. RSCH Test Results
5. Conclusions
- (1)
- The rheological property of the CHMA-modified asphalt binder was similar to that of low-graded asphalt binder, demonstrating that it has a strong ability to resist deformation.
- (2)
- The dynamic modulus of AC-20(CHMA) was 19,568 MPa at 15 °C and 10 Hz conditions, higher than 14,000 MPa, meeting the requirement for the high-modulus asphalt mixture. It had potentially good application in alleviating the rutting problems.
- (3)
- The dynamic stability of AC-20(CHMA) was 8094 times/mm, lower than that of AC-20(20#), but obviously higher than that of AC-20(SBS). Meanwhile, it was much higher than the specification requirement in China.
- (4)
- The asphalt mixture had a low complex shear modulus in the low-frequency range, implying that low velocity affected the pavement performance significantly. AC-20(20#) and AC-20(CHMA) both showed strong shear resistance according to the FSCH test results.
- (5)
- Under the repeated shear loadings, the growth rate of shear strain increased rapidly in the primary stage, and then slowed down gradually, finally reaching a constant growth rate. The shear slope of AC-20(CHMA) was higher than AC-20(20#), and obviously lower than AC-20(SBS).
Author Contributions
Funding
Institutional Review Board Statement
Informed Consent Statement
Data Availability Statement
Acknowledgments
Conflicts of Interest
References
- Nunn, M.E.; Smith, T. Road Trials of High Modulus Base for Heavily Trafficked Roads; Thomas Telford: Telford, UK, 1999. [Google Scholar]
- Serfass, J.; Bense, P.; Pellevoisin, P. Properties and new developments of high modulus asphalt concrete. In Proceedings of the Eighth International Conference on Asphalt Pavements, Seattle, WA, USA, 1 January 1997. [Google Scholar]
- Chen, Y.; Wang, H.; Xu, S.; You, Z. High modulus asphalt concrete: A state-of-the-art review. Constr. Build. Mater. 2020, 237, 117653. [Google Scholar] [CrossRef]
- Association Francaise de Normalisation (AFNOR). NF EN 13108-1; Bituminous Mixtures e Material Specifications—Part 1: Asphalt Concrete. Association Francaise de Normalisation: Paris, France, 2007.
- Wang, X.; Qiu, Y.; Xue, S.; Yang, Y.; Zheng, Y. Study on durability of high-modulus asphalt mixture based on TLA and fibre composite modification technology. Int. J. Pavement Eng. 2018, 19, 930–936. [Google Scholar] [CrossRef]
- Oda, S.; Fernandes, J.L.; Ildefonso, J.S. Analysis of use of natural fibers and asphalt rubber binder in discontinuous asphalt mixtures. Constr. Build. Mater. 2012, 26, 13–20. [Google Scholar] [CrossRef]
- Sefidmazgi, N.R.; Tashman, L.; Bahia, H. Internal structure characterization of asphalt mixtures for rutting performance using imaging analysis. Road Mater. Pavement Des. 2012, 13, 21–37. [Google Scholar] [CrossRef]
- Wang, C.H.; Chen, Q.; Guo, T.T.; Li, Q. Environmental Effects and Enhancement Mechanism of Graphene/tourmaline Composites. J. Clean. Prod. 2020, 262, 121313. [Google Scholar] [CrossRef]
- Geng, H.; Clopotel, C.S.; Bahia, H.U. Effects of high modulus asphalt binders on performance of typical asphalt pavement structures. Constr. Build. Mater. 2013, 44, 207–213. [Google Scholar] [CrossRef]
- Chen, Q.; Wang, C.; Yu, S.; Song, Z.; Fu, H.; An, T. Low-Temperature Mechanical Properties of Polyurethane-Modified Waterborne Epoxy Resin for Pavement Coating. Int. J. Pavement Eng. 2022, 23, 1–13. [Google Scholar] [CrossRef]
- Judycki, J.; Jaczewski, M.; Rys, D.; Pszczoła, M.; Jaskula, P.; Glinicki, A. Field investigation of low-temperature cracking and stiffness moduli on selected roads with conventional and high modulus asphalt concrete. IOP Conf. Ser. Mater. Sci. Eng. 2017, 236, 012002. [Google Scholar] [CrossRef]
- Zhang, Z.Y.; Wang, C.H.; Zhang, L.; Wang, S.; Zeng, W. Construction and assessment technology of green road in China. J. Chang’an Univ. (Nat. Sci. Ed.) 2018, 38, 76–86. (In Chinese) [Google Scholar]
- Zheng, M.; Li, P.; Yang, J.; Li, H.; Qiu, Y.; Zhang, Z. Fatigue character comparison between high modulus asphalt concrete and matrix asphalt concrete. Constr. Build. Mater. 2019, 206, 655–664. [Google Scholar] [CrossRef]
- Alimohammadi, H.; Zheng, J.; Buss, A.; Schaefer, V.; Zheng, G. Rutting Performance Evaluation of Hot Mix Asphalt and Warm Mix Asphalt Mixtures by Using Dynamic Modulus, Hamburg Wheel Tracking Tests, and Viscoelastic Finite Element Simulations. In Proceedings of the International Conference on Transportation and Development 2020: Highway and Airfield Pavements, Seattle, WA, USA, 26–29 May 2020. [Google Scholar]
- Kennedy, T.W.; Huber, G.A.; Harrigan, E.T.; Cominsky, R.J.; Hughes, C.S.; Von Quintus, H.; Moulthrop, J.S. Superior Performing Asphalt Pavements (Superpave): The Product of the Shrp Asphalt Research Program, Strategic Highway Research Program; National Research Council: Washington, DC, USA, 1994.
- Laukkanen, O.V.; Soenen, H.; Pellinen, T.; Heyrman, S.; Lemoine, G. Creep-recovery behavior of bituminous binders and its relation to asphalt mixture rutting. Mater. Struct. 2015, 48, 4039–4053. [Google Scholar] [CrossRef]
- Han, M.; Li, J.; Muhammad, Y.; Hou, D.; Zhang, F.; Yin, Y.; Duan, S. Effect of polystyrene grafted graphene nanoplatelets on the physical and chemical properties of asphalt binder. Constr. Build. Mater. 2018, 174, 108–119. [Google Scholar] [CrossRef]
- Hajikarimi, P.; Rahi, M.; Nejad, F.M. Comparing Different Rutting Specification Parameters Using High Temperature Characteristics of Rubber-Modified Asphalt Binders. Road Mater. Pavement Des. 2015, 16, 751–766. [Google Scholar] [CrossRef]
- Li, Y.; Hao, P.; Zhao, C.; Ling, J.; Wu, T.; Li, D.; Liu, J.; Sun, B. Anti-Rutting Performance Evaluation of Modified Asphalt Binders: A Review. J. Traffic Transp. Eng. 2021, 8, 339–355. [Google Scholar] [CrossRef]
- Guo, R.H.; Prozzi, J.A. A statistical analysis of Hamburg wheel tracking device testing results, Road Mater. Pavement 2009, 10, 327–335. [Google Scholar] [CrossRef]
- Rafiq, W.; Napiah, M.B.; Sutanto, M.H.; Salah Alaloul, W.; Nadia Binti Zabri, Z.; Imran Khan, M.; Ali Musarat, M. Investigation on hamburg wheel-tracking device stripping performance properties of recycled hot-mix asphalt mixtures. Materials 2020, 13, 4704. [Google Scholar] [CrossRef]
- Sel, I.; Yildirim, Y.; Ozhan, H.B. Effect of test temperature on Hamburg wheel-tracking device testing. J. Mater. Civil. Eng. 2014, 26, 04014037. [Google Scholar] [CrossRef]
- Tsai, B.W.; Coleri, E.; Harvey, J.T.; Monismith, C.L. Evaluation of AASHTO T 324 Hamburg-wheel track device test. Constr. Build. Mater. 2016, 114, 248–260. [Google Scholar] [CrossRef]
- Rushing, J.F.; Garg, N. Using the asphalt pavement analyzer as a mixture performance test to select appropriate binder grades for airport pavements. J. Transp. Eng. B-Pave. 2017, 143, 04017010. [Google Scholar] [CrossRef]
- Walubita, L.F.; Zhang, J.; Das, G.; Hu, X.; Mushota, C.; Alvarez, A.E.; Scullion, T. Hot-mix asphalt permanent deformation evaluated by Hamburg wheel tracking, dynamic modulus, and repeated load tests. J. Transport. Res. Rec. 2012, 2296, 46–56. [Google Scholar] [CrossRef]
- Zhang, J.; Alvarez, A.E.; Lee, S.I.; Torres, A.; Walubita, L.F. Comparison of flow number, dynamic modulus, and repeated load tests for evaluation of HMA permanent deformation. Constr. Build. Mater. 2013, 44, 391–398. [Google Scholar] [CrossRef]
- Goh, S.W.; You, Z.P.; Williams, R.C.; Li, X. Preliminary dynamic modulus criteria of HMA for field rutting of asphalt pavements: Michigan’s experience. J. Transp. Eng-ASCE 2011, 137, 37–45. [Google Scholar] [CrossRef]
- Alimohammadi, H.; Zheng, J.; Buss, A.; Schaefer, V.R.; Williams, C.; Zheng, G. Field and Simulated Rutting Behavior of Hot Mix and Warm Mix Asphalt Overlays. Constr. Build. Mater. 2020, 265, 120366. [Google Scholar] [CrossRef]
- Kim, Y.R.; Seo, Y.; King, M.; Momen, M. Dynamic modulus testing of asphalt concrete in indirect tension mode. Bitum. Paving Mixtures 2004, 1891, 163–173. [Google Scholar] [CrossRef]
- Pellinen, T.K.; Witczak, M.W.; Bonaquist, R.F. Asphalt mix master curve construction using sigmoidal fitting function with non-linear least squares optimization technique. In Proceedings of the 15th ASCE Engineering Mechanics Conference, New York, NY, USA, 2–5 June 2002. [Google Scholar]
- Luo, R.; Liu, H. Improving the accuracy of dynamic modulus master curves of asphalt mixtures constructed using uniaxial compressive creep tests. J. Mater. Civ. Eng. 2017, 29, 04017032. [Google Scholar] [CrossRef]
- Walubita, L.; Lee, S.; Zhang, J.; Faruk, A.N.; Nguyen, S.; Scullion, T. HMA Shear Resistance, Permanent Deformation, and Rutting Tests for Texas mixes: Year-1 Report; Technical Report FHWA/TX-13/0-6744-1; Texas A&M Transportation Institute: College Station, TX, USA, 2013.
- Brown, E.R.; Kandhal, P.S.; Zhang, J. Performance Testing for Hot Mix Asphalt; NCAT Report 01-05; Auburn University: Auburn, AL, USA, 2001. [Google Scholar]
- Chen, X.; Huang, B.; Xu, Z. Uniaxial penetration testing for shear resistance of hot-mix asphalt mixtures. Transp. Res. Rec. J. Transp. Res. Board 2006, 1970, 116–125. [Google Scholar] [CrossRef]
- Bi, Y. Research on Anti-Shear Test Method and Parameter of Asphalt Mixture. Ph.D. Dissertation, School of Transportation Engineering, Tongji University, Shanghai, China, 2004. [Google Scholar]
- Romero, P.; Mogawer, W. Evaluation of the Superpave shear tester using 19-mm mixtures from the Federal Highway Administration′s accelerated loading facility, Technical Session on Asphalt Paving Technology 1998. In Proceedings of the 73rd Annual Meeting of the Association-of-Asphalt-Paving-Technologists, Boston, MA, USA, 16–18 March 1998; pp. 573–601. [Google Scholar]
- Shatnawi, S.R.; Lancaster, F. Field and Laboratory Evaluation of Superpave Level One Mix Design in California, Symposium on Progress of Superpave (Superior Performing Asphalt Pavement)—Evaluation and Implementation; ASTM Special Technical Publication: New Orleans, LA, USA, 1996; pp. 64–79. [Google Scholar]
- Zhang, J.N.; Xie, H.B.; Kandhal, P.S.; Powell, R.D. Field Validation of Superpave Shear Test on NCAT Test Track. In Proceedings of the Symposium on Performance of Hot Mix Asphalt (HMA), Tampa, FL, USA, 9–10 December 2003. [Google Scholar]
- Mi, S.Z.; Li, Y.X.; Zhang, H.W. Preparation and Characterization of High Modulus Agent Modified Asphalt and Its High Modulus Mixture. Adv. Mater. Sci. Eng. 2022, 2022, 2374241. [Google Scholar] [CrossRef]
- Alimohammadi, H.; Zheng, J.; Buss, A.; Schaefer, V.R.; Williams, C.; Zheng, G. Finite Element Viscoelastic Simulations of Rutting Behavior of Hot Mix and Warm Mix Asphalt Overlay on Flexible Pavements. Int. J. Pavement Res. Technol. 2021, 14, 708–719. [Google Scholar] [CrossRef]


















| Indicators | Unit | 70# | 20# | SBS | |||
|---|---|---|---|---|---|---|---|
| Test Value | Standard Value | Test Value | Standard Value | Test Value | Standard Value | ||
| Penetration (25 °C, 100 g, 5 s) | 65.2 | 60–80 | 16.8 | 10–20 | 59.1 | 60–80 | |
| Softening point | °C | 55.6 | ≥43 | 69.6 | ≥60 | 80.6 | ≥55 |
| Ductility (5 cm/min, 15 °C) | cm | >100 | ≥40 | 10.6 | / | >100 | / |
| Relative density (15 °C) | g/cm3 | 1.033 | / | 1.042 | / | 1.039 | / |
| After Rotating Thin-Film Oven Test (RTFOT) | |||||||
| Mass loss on heating | %wt. | 0.32 | ≤0.8 | 0.03 | ≤0.6 | 0.10 | ≤1.0 |
| Retained penetration after RTFOT | % | 78.5 | ≥54 | 85.0 | ≥65 | 84.1 | ≥60 |
| Retained ductility after RTFOT | cm | 59.2 | ≥15 | 4.6 | / | 21.3 | ≥20 |
| Index | Test Value | Standard Value | Test Standard |
|---|---|---|---|
| Appearance | Powder | / | Visual inspection |
| Color | Brown | Brown or black | Visual inspection |
| Density (g/cm3) | 1.40 | / | T0603-2011 |
| Flash point (°C) | 307 | / | T0611-2011 |
| Water content (%) | 0.82 | ≤2.0 | T0612-2011 |
| Natural rock bitumen content (%) | 51 | / | T0735-2011 |
| Mass loss on heating after thin-film oven test (%) | 0.5 | ≤1.0 | T0609-2011 |
| AC-20 | Sieve size (mm) | 26.5 | 19 | 16 | 13.2 | 9.5 | 4.75 | 2.36 | 1.18 | 0.6 | 0.075 |
| Passing rate (%) | 100 | 90~100 | 78~92 | 62~80 | 50~72 | 26~56 | 16~44 | 12~33 | 8~24 | 3~7 | |
| EME-14 | Sieve size (mm) | 28 (2D) | 19.6 (1.4D) | 14 (D) | 6 | 4 | 2 | / | 0.063 | ||
| Passing rate (%) | 100 | 98~100 | 85~98 | 50~70 | 40~60 | 25~38 | / | 5.4~7.7 | |||
| Fitting Coefficient | δ | φ | C1 | C2 | |||
|---|---|---|---|---|---|---|---|
| Estimated value | AC-20(CHMA) | 1.772 | 4.574 | −1.051 | −0.493 | 17.9 | 193.5 |
| AC-20(SBS) | 1.120 | 3.269 | −0.864 | −0.532 | 23.3 | 248.6 | |
| AC-20(20#) | 1.793 | 4.627 | −1.266 | −0.395 | 362.7 | 3055.6 | |
Publisher’s Note: MDPI stays neutral with regard to jurisdictional claims in published maps and institutional affiliations. |
© 2022 by the authors. Licensee MDPI, Basel, Switzerland. This article is an open access article distributed under the terms and conditions of the Creative Commons Attribution (CC BY) license (https://creativecommons.org/licenses/by/4.0/).
Share and Cite
Zhang, H.; Yang, X.; Li, Y.; Fu, Q.; Rui, H. Laboratory Evaluation of Dynamic Characteristics of a New High-Modulus Asphalt Mixture. Sustainability 2022, 14, 11838. https://doi.org/10.3390/su141911838
Zhang H, Yang X, Li Y, Fu Q, Rui H. Laboratory Evaluation of Dynamic Characteristics of a New High-Modulus Asphalt Mixture. Sustainability. 2022; 14(19):11838. https://doi.org/10.3390/su141911838
Chicago/Turabian StyleZhang, Haiwei, Xingwang Yang, Yan Li, Qilong Fu, and Huayu Rui. 2022. "Laboratory Evaluation of Dynamic Characteristics of a New High-Modulus Asphalt Mixture" Sustainability 14, no. 19: 11838. https://doi.org/10.3390/su141911838
APA StyleZhang, H., Yang, X., Li, Y., Fu, Q., & Rui, H. (2022). Laboratory Evaluation of Dynamic Characteristics of a New High-Modulus Asphalt Mixture. Sustainability, 14(19), 11838. https://doi.org/10.3390/su141911838
