Tripartite Evolutionary Game Analysis of Stakeholder Decision-Making Behavior in Energy-Efficient Retrofitting of Office Buildings
Abstract
:1. Introduction
2. Literature Review
2.1. Stakeholders in Energy-Efficient Retrofitting
2.2. Research Methods for Energy-Efficient Retrofitting
3. Evolutionary Game Model Analysis
3.1. Model Assumption
3.2. Model Building
3.3. Analysis of Model’s Evolutionary Stability Strategy
- Scenario 1:
- Scenario 2:
- Scenario 3:
- Scenario 4:
4. Numerical Simulation
4.1. Model Verification
4.2. Simulation Analysis
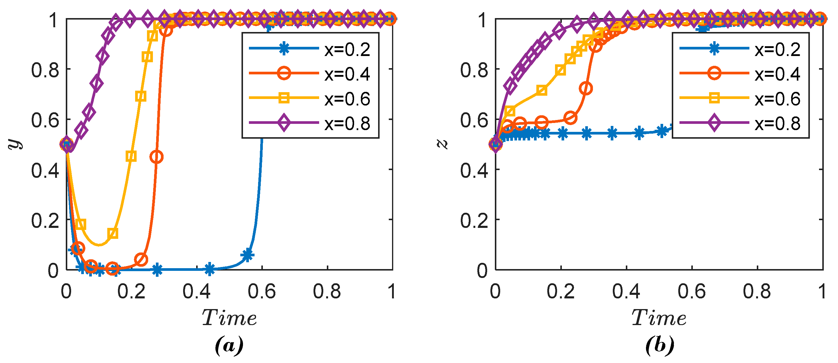
4.2.1. The Impact of Initial Strategy on System Evolution
4.2.2. The Impact of Benefit and Cost Related Parameters on System Evolution
4.2.3. The Impact of Reward- and Punishment-Related Parameters on System Evolution
4.2.4. The Impact of Public Willingness on System Evolution
5. Discussion
- (1)
- Improve the market mechanism
- (2)
- Reduce incremental costs and improve profitability
- (3)
- Promote the dissemination of environmental knowledge
6. Conclusions
Author Contributions
Funding
Institutional Review Board Statement
Informed Consent Statement
Data Availability Statement
Conflicts of Interest
References
- United Nations Environment Programme. Global Status Report for Buildings and Construction: Towards a Zero-Emissions, Efficient and Resilient Buildings and Construction Sector. Available online: https://globalabc.org/sites/default/files/2021-10/GABC_Buildings-GSR-2021_BOOK.pdf (accessed on 18 July 2022).
- Sudmant, A.; Millward-Hopkins, J.; Colenbrander, S.; Gouldson, A. Low carbon cities: Is ambitious action affordable? Clim. Change 2016, 138, 681–688. [Google Scholar] [CrossRef]
- Golubchikov, O.; Deda, P. Governance, technology, and equity: An integrated policy framework for energy efficient housing. Energy Policy 2012, 41, 733–741. [Google Scholar] [CrossRef]
- Ma, Z.J.; Cooper, P.; Daly, D.; Ledo, L. Existing building retrofits: Methodology and state-of-the-art. Energy Build. 2012, 55, 889–902. [Google Scholar] [CrossRef]
- Jagarajan, R.; Asmoni, M.; Mohammed, A.H.; Jaafar, M.N.; Mei, J.L.Y.; Baba, M. Green retrofitting—A review of current status, implementations and challenges. Renew. Sustain. Energy Rev. 2017, 67, 1360–1368. [Google Scholar] [CrossRef]
- Love, P.; Arthur Bullen, P. Toward the sustainable adaptation of existing facilities. Facilities 2009, 27, 357–367. [Google Scholar] [CrossRef]
- Fan, K.; Hui, E.C.M. Evolutionary game theory analysis for understanding the decision -making mechanisms of governments and developers on green building incentives. Build. Environ. 2020, 179, 106972. [Google Scholar] [CrossRef]
- Zhou, Z.H.; Zhang, S.Z.; Wang, C.D.; Zuo, J.; He, Q.; Rameezdeen, R. Achieving energy efficient buildings via retrofitting of existing buildings: A case study. J. Clean. Prod. 2016, 112, 3605–3615. [Google Scholar] [CrossRef]
- Ensign, P.C.; Roy, S.; Brzustowski, T. Decisions by Key Office Building Stakeholders to Build or Retrofit Green in Toronto’s Urban Core. Sustainability 2021, 13, 6969. [Google Scholar] [CrossRef]
- Liu, Y.M.; Liu, T.T.; Ye, S.D.; Liu, Y.S. Cost-benefit analysis for Energy Efficiency Retrofit of existing buildings: A case study in China. J. Clean. Prod. 2018, 177, 493–506. [Google Scholar] [CrossRef]
- Wan, S.Y.; Ding, G.C.; Runeson, G.; Liu, Y.S. Sustainable Buildings’ Energy-Efficient Retrofitting: A Study of Large Office Buildings in Beijing. Sustainability 2022, 14, 1021. [Google Scholar] [CrossRef]
- Krieske, M.; Hu, H.F.; Egnor, T.; IEEE. The Scalability of the Building Retrofit Market: A Review Study. In Proceedings of the EEE Conference on Technologies for Sustainability (SusTech), Portland, OR, USA, 24–26 July 2014. [Google Scholar]
- Bian, F.; Chong, H.Y.; Zhang, W.; Ding, C. Government subsidy strategy for public-private-partnership retrofit buildings in China. Energy Build. 2021, 252, 111455. [Google Scholar] [CrossRef]
- Miller, E.; Buys, L. Retrofitting commercial office buildings for sustainability: Tenants’ perspectives. J. Prop. Invest. Financ. 2008, 26, 552–561. [Google Scholar] [CrossRef]
- Menassa, C.C.; Baer, B. A framework to assess the role of stakeholders in sustainable building retrofit decisions. Sustain. Cities Soc. 2014, 10, 207–221. [Google Scholar] [CrossRef]
- Liang, X.; Peng, Y.; Shen, G.Q. A game theory based analysis of decision making for green retrofit under different occupancy types. J. Clean. Prod. 2016, 137, 1300–1312. [Google Scholar] [CrossRef]
- Liang, X.; Shen, G.Q.; Guo, L. Improving Management of Green Retrofits from a Stakeholder Perspective: A Case Study in China. Int. J. Environ. Res. Public Health 2015, 12, 13823–13842. [Google Scholar] [CrossRef]
- Stephan, K.; Menassa, C.C. Modeling the Effect of Building Stakeholder Interactions on Value Perception of Sustainable Retrofits. J. Comput. Civ. Eng. 2015, 29, B4014006. [Google Scholar] [CrossRef]
- Shi, Q.; Yan, Y.; Zuo, J.; Yu, T. Objective conflicts in green buildings projects: A critical analysis. Build. Environ. 2016, 96, 107–117. [Google Scholar] [CrossRef]
- Huang, B.; Mauerhofer, V.; Geng, Y. Analysis of existing building energy saving policies in Japan and China. J. Clean. Prod. 2016, 112, 1510–1518. [Google Scholar] [CrossRef]
- Yu, Z.J.; Geng, Y.; He, Q.; Oates, L.; Sudmant, A.; Gouldson, A.; Bleischwitz, R. Supportive governance for city-scale low carbon building retrofits: A case study from Shanghai. Clim. Policy 2021, 21, 884–896. [Google Scholar] [CrossRef]
- Wang, S.-Y.; Lee, K.-T.; Kim, J.-H. Green Retrofitting Simulation for Sustainable Commercial Buildings in China Using a Proposed Multi-Agent Evolutionary Game. Sustainability 2022, 14, 7671. [Google Scholar] [CrossRef]
- Darko, A.; Zhang, C.Z.; Chan, A.P.C. Drivers for green building: A review of empirical studies. Habitat Int. 2017, 60, 34–49. [Google Scholar] [CrossRef]
- Kaklauskas, A.; Zavadskas, E.K.; Raslanas, S.; Gulbinas, A. Multiple criteria decision support Web-based system for building refurbishment. In Proceedings of the 6th International Conference on Energy for Buildings, Vilnius, Lithuania, 7–8 October 2004; pp. 284–291. [Google Scholar]
- Liang, X.; Yu, T.; Guo, L. Understanding Stakeholders’ Influence on Project Success with a New SNA Method: A Case Study of the Green Retrofit in China. Sustainability 2017, 9, 1927. [Google Scholar] [CrossRef]
- Davies, P.; Osmani, M. Low carbon housing refurbishment challenges and incentives: Architects’ perspectives. Build. Environ. 2011, 46, 1691–1698. [Google Scholar] [CrossRef]
- Azar, E.; Menassa, C.C. A comprehensive framework to quantify energy savings potential from improved operations of commercial building stocks. Energy Policy 2014, 67, 459–472. [Google Scholar] [CrossRef]
- Azar, E.; Menassa, C.C. A comprehensive analysis of the impact of occupancy parameters in energy simulation of office buildings. Energy Build. 2012, 55, 841–853. [Google Scholar] [CrossRef]
- Chen, L.; Chan, A.P.C.; Owusu, E.K.; Darko, A.; Gao, X. Critical success factors for green building promotion: A systematic review and meta-analysis. Build. Environ. 2022, 207, 108452. [Google Scholar] [CrossRef]
- Mangialardo, A.; Micelli, E.; Saccani, F. Does Sustainability Affect Real Estate Market Values? Empirical Evidence from the Office Buildings Market in Milan (Italy). Sustainability 2019, 11, 12. [Google Scholar] [CrossRef]
- Ahn, Y.H.; Pearce, A.R.; Wang, Y.; Wang, G. Drivers and barriers of sustainable design and construction: The perception of green building experience. Int. J. Sustain. Build. Technol. Urban Dev. 2013, 4, 35–45. [Google Scholar] [CrossRef]
- Alam, M.; Zou, P.X.W.; Stewart, R.A.; Bertone, E.; Sahin, O.; Buntine, C.; Marshall, C. Government championed strategies to overcome the barriers to public building energy efficiency retrofit projects. Sustain. Cities Soc. 2019, 44, 56–69. [Google Scholar] [CrossRef]
- Shaikh, P.H.; Shaikh, F.; Sahito, A.A.; Uqaili, M.A.; Umrani, Z. An Overview of the Challenges for Cost-Effective and Energy-Efficient Retrofits of the Existing Building Stock. In Cost-Effective Energy Efficient Building Retrofitting: Materials, Technologies, Optimization and Case Studies; PachecoTorgal, F., Granqvist, C.G., Jelle, B.P., Vanoli, G.P., Bianco, N., Kurnitski, J., Eds.; Woodhead Publishing Series in Civil and Structural Engineering; Woodhead Publishing: Sawston Cambridge, UK, 2017; pp. 257–278. [Google Scholar]
- Xu, P.P.; Chan, E.H.W.; Qian, Q.K. Success factors of energy performance contracting (EPC) for sustainable building energy efficiency retrofit (BEER) of hotel buildings in China. Energy Policy 2011, 39, 7389–7398. [Google Scholar] [CrossRef]
- Lv, S.L.; Wu, Y.; Sun, J.Y. Pattern analysis and suggestion of energy efficiency retrofit for existing residential buildings in China’s northern heating region. Energy Policy 2009, 37, 2102–2105. [Google Scholar] [CrossRef]
- Shen, L.; He, B.; Jiao, L.; Song, X.; Zhang, X. Research on the development of main policy instruments for improving building energy-efficiency. J. Clean. Prod. 2016, 112, 1789–1803. [Google Scholar] [CrossRef]
- Hou, J.; Liu, Y.S.; Wu, Y.; Zhou, N.; Feng, W. Comparative study of commercial building energy-efficiency retrofit policies in four pilot cities in China. Energy Policy 2016, 88, 204–215. [Google Scholar] [CrossRef]
- Liu, G.; Tan, Y.T.; Li, X.H. China’s policies of building green retrofit: A state-of-the-art overview. Build. Environ. 2020, 169, 106554. [Google Scholar] [CrossRef]
- Liu, G.; Li, X.H.; Tan, Y.T.; Zhang, G.M. Building green retrofit in China: Policies, barriers and recommendations. Energy Policy 2020, 139, 111356. [Google Scholar] [CrossRef]
- Bergman, N.; Foxon, T.J. Reframing policy for the energy efficiency challenge: Insights from housing retrofits in the United Kingdom. Energy Res. Soc. Sci. 2020, 63, 101386. [Google Scholar] [CrossRef]
- Li, Y.T.; Jun, R.; Zhou, J.; Lu, J.P.; Qing, Y.; Lv, Z.J. The Existing Building Sustainable Retrofit in China-A Review and Case Study. In Proceedings of the 10th International Symposium on Heating, Ventilation and Air Conditioning (ISHVAC), Jinan, China, 19–22 October 2017; pp. 3638–3645. [Google Scholar]
- Zhao, X.; Tan, Y.T.; Shen, L.Y.; Zhang, G.M.; Wang, J.H. Case-based reasoning approach for supporting building green retrofit decisions. Build. Environ. 2019, 160, 106210. [Google Scholar] [CrossRef]
- Bevan, W.; Lu, S.L.; Sexton, M. Skills required to deliver energy efficient school retrofit buildings. Eng. Constr. Archit. Manage. 2020, 27, 3051–3073. [Google Scholar] [CrossRef]
- Li, Y.; Liang, M. The economic development incentive mechanism for the existing energy-saving building structure in the perspective of game analysis. Int. J. Low-Carbon Technol. 2018, 13, 250–254. [Google Scholar] [CrossRef]
- Du, L.; Feng, Y.B.; Lu, W.; Kong, L.K.; Yang, Z. Evolutionary game analysis of stakeholders’ decision-making behaviours in construction and demolition waste management. Environ. Impact Assess. Rev. 2020, 84, 106408. [Google Scholar] [CrossRef]
- Huang, Q.Y.; Wang, J.W.; Ye, M.W.; Zhao, S.M.; Si, X. A Study on the Incentive Policy of China’s Prefabricated Residential Buildings Based on Evolutionary Game Theory. Sustainability 2022, 14, 1926. [Google Scholar] [CrossRef]
- Chen, L.Y.; Gao, X.; Hua, C.X.; Gong, S.T.; Yue, A.B. Evolutionary process of promoting green building technologies adoption in China: A perspective of government. J. Clean. Prod. 2021, 279, 123607. [Google Scholar] [CrossRef]
- Du, Q.; Yan, Y.Q.; Huang, Y.D.; Hao, C.C.; Wu, J. Evolutionary Games of Low-Carbon Behaviors of Construction Stakeholders under Carbon Taxes. Int. J. Environ. Res. Public Health 2021, 18, 508. [Google Scholar] [CrossRef] [PubMed]
- Lu, W.; Du, L.; Tam, V.W.Y.; Yang, Z.; Lin, C.; Peng, C. Evolutionary game strategy of stakeholders under the sustainable and innovative business model: A case study of green building. J. Clean. Prod. 2022, 333, 130136. [Google Scholar] [CrossRef]
- Liu, Y.; Zuo, J.; Pan, M.; Ge, Q.; Chang, R.D.; Feng, X.; Fu, Y.T.; Dong, N. The incentive mechanism and decision-making behavior in the green building supply market: A tripartite evolutionary game analysis. Build. Environ. 2022, 214, 108903. [Google Scholar] [CrossRef]
- Fu, Y.; Dong, N.; Ge, Q.; Xiong, F.; Gong, C. Driving-paths of green buildings industry (GBI) from stakeholders’ green behavior based on the network analysis. J. Clean. Prod. 2020, 273, 122883. [Google Scholar] [CrossRef]
- Maynard Smith, J. The theory of games and the evolution of animal conflicts. J. Theor. Biol. 1974, 47, 209–221. [Google Scholar] [CrossRef]
- Selten, R. A note on evolutionarily stable strategies in asymmetric animal conflicts. J. Theor. Biol. 1980, 84, 93–101. [Google Scholar] [CrossRef]
- Li, C.W.Q.Z.H. Green Retrofitting for Existing Office Buildings-Case Studies; China Architecture & Building Press: Beijing, China, 2015. [Google Scholar]
- Liu, Y.; Guo, X.; Hu, F. Cost-benefit analysis on green building energy efficiency technology application: A case in China. Energy Build. 2014, 82, 37–46. [Google Scholar] [CrossRef]
- Guochang., F.; Yu., H.; Lixin., T. Evolutionary game analysis of government and enterprises carbon-reduction under the driven of carbon trading. Chin. J. Manag. Sci. 2021, 38, 1–12. [Google Scholar] [CrossRef]
- Kin, L.; Yan, D.; Tong, Y.J.; Neng, Z.; Zhe, T. Research on the evaluation system for heat metering and existing residential building retrofits in northern regions of China for the 12th five-year period. Energy 2014, 77, 898–908. [Google Scholar] [CrossRef]
- Liang, X.; Yu, T.; Hong, J.K.; Shen, G.Q. Making incentive policies more effective: An agent-based model for energy-efficiency retrofit in China. Energy Policy 2019, 126, 177–189. [Google Scholar] [CrossRef]
- Tan, Y.T.; Liu, G.; Zhang, Y.; Shuai, C.Y.; Shen, G.Q. Green retrofit of aged residential buildings in Hong Kong: A preliminary study. Build. Environ. 2018, 143, 89–98. [Google Scholar] [CrossRef]
- Chen, Y.H.; Nie, P.Y.; Yang, Y.C. Energy management contract with subsidy. J. Renew. Sustain. Energy 2017, 9, 055903. [Google Scholar] [CrossRef]
- Baek, C.; Park, S. Policy measures to overcome barriers to energy renovation of existing buildings. Renew. Sustain. Energy Rev. 2012, 16, 3939–3947. [Google Scholar] [CrossRef]
- Liu, X.J.; Liu, X.D.; Luo, X.; Fu, H.L.; Wang, M.M.; Li, L.Y. Impact of Different Policy Instruments on Diffusing Energy Consumption Monitoring Technology in Public Buildings: Evidence from Xi’ an, China. J. Clean. Prod. 2020, 251, 119693. [Google Scholar] [CrossRef]
- Ebrahimigharehbaghi, S.; Qian, Q.K.; Meijer, F.M.; Visscher, H.J. Unravelling Dutch homeowners’ behaviour towards energy efficiency renovations: What drives and hinders their decision-making? Energy Policy 2019, 129, 546–561. [Google Scholar] [CrossRef]
- Feng, Q.; Chen, H.; Shi, X.; Wei, J. Stakeholder games in the evolution and development of green buildings in China: Government-led perspective. J. Clean. Prod. 2020, 275, 122895. [Google Scholar] [CrossRef]
- Iwaro, J.; Mwasha], A. A review of building energy regulation and policy for energy conservation in developing countries. Energy Policy 2010, 38, 7744–7755. [Google Scholar] [CrossRef]
- Zou, P.; Xu, X.; Sanjayan, J.; Wang, J. A mixed methods design for building occupants’ energy behavior research. Energy Build. 2018, 166, 239–249. [Google Scholar] [CrossRef]














| Major Players | Parameter | Meaning |
|---|---|---|
| Government | GP | The cost of government’s positive supervision |
| The cost of government’s negative supervision | ||
| SR | Government subsidies for owners to implement energy-efficiency retrofitting | |
| SU | Government subsidies for users to accept energy-efficiency retrofitting | |
| W | Environmental and social benefits from energy-efficiency retrofitting | |
| P | Fines given by the government when owners refuse to implement energy-efficiency retrofitting | |
| D | Losses incurred by the government against the public willingness | |
| Property owners | C1 | Basic costs for owners |
| E1 | Traditional income for owners | |
| Incremental costs to the owners for energy-efficiency retrofitting | ||
| Additional income to the owners for energy-efficiency retrofitting | ||
| T | Owner’s turnover costs associated with the relocation of users | |
| Users | C2 | Basic costs for users |
| E2 | Traditional income for users | |
| Incremental cost for users to accept energy-efficiency retrofitting | ||
| Additional benefit for users to accept energy-efficiency retrofitting |
| Major Players’ Strategies | Users (z) | Users (1 − z) | |
|---|---|---|---|
| Government (x) | Owners (y) | , , | , , |
| Owners (1 − y) | , , | , , | |
| Government (1 − x) | Owners (y) | , , | , , |
| Owners (1 − y) | , , | , , | |
| Equilibrium Points | Eigenvalues | Symbols of Eigenvalues |
|---|---|---|
| (0,0,0) | (0,−,*) | |
| (1,0,0) | (0,*,*) | |
| (0,1,0) | (+,*,−) | |
| (0,0,1) | (0,*,*) | |
| (1,1,0) | (+,*,*) | |
| (1,0,1) | (0,*,*) | |
| (0,1,1) | (*,*,*) | |
| (1,1,1) | (*,*,*) |
| Major Players | Parameter | Initial Value | Major Players | Parameter | Initial Value |
|---|---|---|---|---|---|
| Government | GP | 20 | Property owners | 180 | |
| 0.6 | 260 | ||||
| SR | 110 | T | 35 | ||
| SU | 60 | Users | 200 | ||
| P | 20 | 215 | |||
| D | 15 |
Publisher’s Note: MDPI stays neutral with regard to jurisdictional claims in published maps and institutional affiliations. |
© 2022 by the authors. Licensee MDPI, Basel, Switzerland. This article is an open access article distributed under the terms and conditions of the Creative Commons Attribution (CC BY) license (https://creativecommons.org/licenses/by/4.0/).
Share and Cite
Xie, Y.; Liu, Y. Tripartite Evolutionary Game Analysis of Stakeholder Decision-Making Behavior in Energy-Efficient Retrofitting of Office Buildings. Sustainability 2022, 14, 11697. https://doi.org/10.3390/su141811697
Xie Y, Liu Y. Tripartite Evolutionary Game Analysis of Stakeholder Decision-Making Behavior in Energy-Efficient Retrofitting of Office Buildings. Sustainability. 2022; 14(18):11697. https://doi.org/10.3390/su141811697
Chicago/Turabian StyleXie, Ying, and Yisheng Liu. 2022. "Tripartite Evolutionary Game Analysis of Stakeholder Decision-Making Behavior in Energy-Efficient Retrofitting of Office Buildings" Sustainability 14, no. 18: 11697. https://doi.org/10.3390/su141811697
APA StyleXie, Y., & Liu, Y. (2022). Tripartite Evolutionary Game Analysis of Stakeholder Decision-Making Behavior in Energy-Efficient Retrofitting of Office Buildings. Sustainability, 14(18), 11697. https://doi.org/10.3390/su141811697

