Health Care Financing and Economic Performance during the Coronavirus Pandemic, the War in Ukraine and the Energy Transition Attempt
Abstract
:1. Introduction
2. Materials and Methods
2.1. Health Expenditure by Cross-Sections
2.2. Overall Health Expenditure as a Percentage of GDP
2.3. Health Expenditure per Capita (According to Average Exchange Rates against the US Dollar)
2.4. The Structure of Expenditure on Health in the World
3. Results
3.1. Health Expenditure in the World in Three Groups of Countries by Their Level of GDP
3.2. GDP and Total Health Expenditure per Person
3.2.1. Linear Regression Models
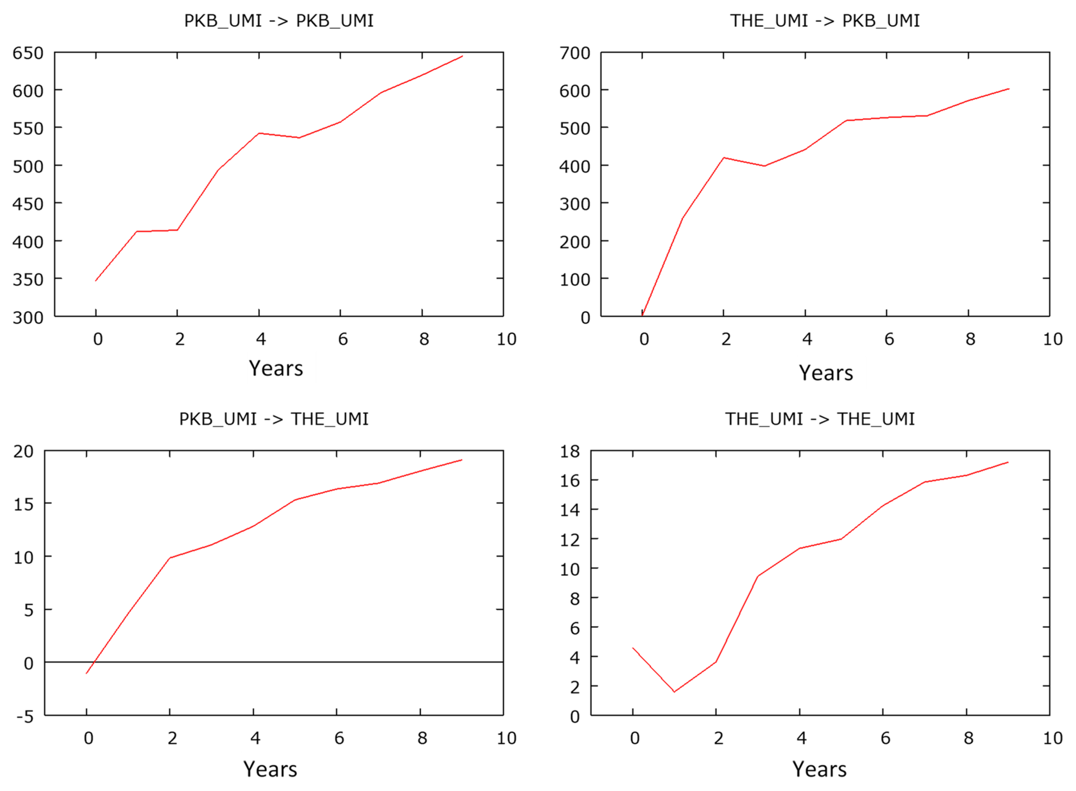
3.2.2. The Causality Study
3.2.3. GDP vs. Private and Government Spending on Health per Person
3.3. The Impact of the Pandemic and the War in Ukraine on Energy and GDP
4. Conclusions
Funding
Institutional Review Board Statement
Informed Consent Statement
Data Availability Statement
Conflicts of Interest
References
- D’Andrea, S. Are there any robust determinants of growth in Europe?. A Bayesian Model Averaging approach. Int. Econ. 2022, 171, 143–173. [Google Scholar] [CrossRef]
- Bruns, S.B.; Ioannidis, J.P.A. Determinants of economic growth: Different time different answer? J. Macroecon. 2020, 63, 103185. [Google Scholar] [CrossRef]
- Shidong, L.; Chupradit, S.; Maneengam, A.; Suksatan, W.; The, C.P.; Ngoc, Q.N. The moderating role of human capital and renewable energy in promoting economic development in G10 economies: Evidence from CUP-FM and CUP-BC methods. Renew. Energy 2022, 189, 180–187. [Google Scholar] [CrossRef]
- Khan, M.T.I.; Anwar, S. Natural disasters and foreign exchange reserves: The role of renewable energy and human capital. Renew. Energy 2022, 192, 838–848. [Google Scholar] [CrossRef]
- Zhou, R.; Abbasi, K.R.; Salem, S.; Almulhim, A.I.; Alvarado, R. Do natural resources, economic growth, human capital, and urbanization affect the ecological footprint? A modified dynamic ARDL and KRLS approach. Resour. Policy 2022, 78, 102782. [Google Scholar] [CrossRef]
- Jahanger, A.; Usman, M.; Murshed, M.; Mahmood, H.; Balsalobre-Lorente, D. The linkages between natural resources, human capital, globalization, economic growth, financial development, and ecological footprint: The moderating role of technological innovations. Resour. Policy 2022, 76, 102569. [Google Scholar] [CrossRef]
- Delshad, A.B. Community gardens: An investment in social cohesion, public health, economic sustainability, and the urban environment. Urban For. Urban Green. 2022, 70, 127549. [Google Scholar] [CrossRef]
- Tucki, K. A Computer Tool for Modelling CO2 Emissions in Driving Cycles for Spark Ignition Engines Powered by Biofuels. Energies 2021, 14, 1400. [Google Scholar] [CrossRef]
- Reis, L.A.; Drouet, L.; Tavoni, M. Internalising health-economic impacts of air pollution into climate policy: A global modelling study. Lancet Planet. Health 2022, 6, e40–e48. [Google Scholar] [CrossRef]
- Junquera, A.B. Paying lip service to health: An analysis of health in climate change mitigation policies in Spain. J. Clim. Change Health 2022, 6, 100128. [Google Scholar] [CrossRef]
- Zhang, X.; Wang, X. Measures of human capital and the mechanics of economic growth. China Econ. Rev. 2021, 68, 101641. [Google Scholar] [CrossRef]
- Han, J.S.; Lee, J.W. Demographic change, human capital, and economic growth in Korea. Jpn. World Econ. 2020, 53, 100984. [Google Scholar] [CrossRef]
- Bairoliya, N.; Miller, R. Demographic transition, human capital and economic growth in China. J. Econ. Dyn. Control 2021, 127, 104117. [Google Scholar] [CrossRef]
- Tucki, K.; Orynycz, O.; Mitoraj-Wojtanek, M. Perspectives for Mitigation of CO2 Emission due to Development of Electromobility in Several Countries. Energies 2020, 13, 4127. [Google Scholar] [CrossRef]
- Khan, S.M. Absorptive capacities and economic growth in low- and middle-income economies. Struct. Change Econ. Dyn. 2022, 62, 156–188. [Google Scholar] [CrossRef]
- Zhao, J.; Zhou, N. Impact of human health on economic growth under the constraint of environment pollution. Technol. Forecast. Soc. Change 2021, 169, 120828. [Google Scholar] [CrossRef]
- Wan, B.; Tian, L. Health-education-disaster green low-carbon endogenous economic growth model and its new accompanying effects. J. Clean. Prod. 2022, 359, 131923. [Google Scholar] [CrossRef]
- Cylus, J.; Tayara, L.A. Health, an ageing labour force, and the economy: Does health moderate the relationship between population age-structure and economic growth? Soc. Sci. Med. 2021, 287, 114353. [Google Scholar] [CrossRef]
- Lopreite, M.; Zhu, Z. The effects of ageing population on health expenditure and economic growth in China: A Bayesian-VAR approach. Soc. Sci. Med. 2020, 265, 113513. [Google Scholar] [CrossRef]
- Torre, D.L.; Marsiglio, S.; Mendivil, F.; Privileggi, F. A stochastic economic growth model with health capital and state-dependent probabilities. Chaos Solitons Fractals 2019, 129, 81–93. [Google Scholar] [CrossRef] [Green Version]
- Grossman, M. On the Concept of Health Capital and the Demand for Health. J. Political Econ. 1972, 80, 223–255. [Google Scholar] [CrossRef]
- Muurinen, J.M. Demand for Health: A Generalised Grossman Model. J. Health Econ. 1982, 1, 5–28. [Google Scholar] [CrossRef]
- Mankiw, N.G.; Romer, D.; Weil, D.N. A Contribution to the Empirics of Economic Growth. Q. J. Econ. 1992, 107, 407–437. [Google Scholar] [CrossRef]
- Fogel, R.W. Economic Growth, Population Theory, and Physiology: The Bearing of Long-Term Processes on the Making of Economic Policy. Am. Econ. Rev. 1994, 84, 369–395. [Google Scholar]
- Bloom, D.E.; Canning, D.; Sevilla, J. The Effect of Health on Economic Growth: A Production Function Approach. World Dev. 2004, 32, 1–13. [Google Scholar] [CrossRef]
- Barro, R.; Sala-i-Martin, X. Economic Growth, 2nd ed.; MIT Press: Cambridge, MA, USA; London, UK, 2004; pp. 23–77. [Google Scholar]
- Barro, R. Health and Economic Growth, 1st ed.; Harvard University: Cambridge, MA, USA, 1996; pp. 12–25. [Google Scholar]
- Wang, Q.; Granados, J.A.T. Economic growth and mental health in 21st century China. Soc. Sci. Med. 2019, 200, 387–395. [Google Scholar] [CrossRef] [PubMed]
- Wang, K.M.; Lee, Y.M.; Lin, C.L.; Tsai, Y.C. The effects of health shocks on life insurance consumption, economic growth, and health expenditure: A dynamic time and space analysis. Sustain. Cities Soc. 2018, 37, 34–56. [Google Scholar] [CrossRef]
- Chen, F.; Chen, Z. Cost of economic growth: Air pollution and health expenditure. Sci. Total Environ. 2021, 755, 142543. [Google Scholar] [CrossRef] [PubMed]
- Gong, L.; Li, H.; Wang, D. Health investment, physical capital accumulation, and economic growth. China Econ. Rev. 2012, 23, 1104–1119. [Google Scholar] [CrossRef]
- Zaidi, S.; Saidi, K. Environmental pollution, health expenditure and economic growth in the Sub-Saharan Africa countries: Panel ARDL approach. Sustain. Cities Soc. 2018, 41, 833–840. [Google Scholar] [CrossRef]
- Tai, M.Y.; Chao, C.C.; Hu, S.W. Pollution, health and economic growth. N. Am. J. Econ. Financ. 2015, 32, 155–161. [Google Scholar] [CrossRef]
- Tucki, K.; Krzywonos, M.; Orynycz, O.; Kupczyk, A.; Bączyk, A.; Wielewska, I. Analysis of the Possibility of Fulfilling the Paris Agreement by the Visegrad Group Countries. Sustainability 2021, 13, 8826. [Google Scholar] [CrossRef]
- Li, F.; Liu, Y.; Harmer, P.A. Physical activity, aging, and health in China: Addressing public health needs in the presence of continued economic growth and urbanization. J. Sport Health Sci. 2016, 5, 253–254. [Google Scholar] [CrossRef] [PubMed]
- Bhargava, A.; Jamison, D.T.; Lau, L.J.; Murray, C.J.L. Modeling the effects of health on economic growth. J. Health Econ. 2001, 20, 423–440. [Google Scholar] [CrossRef]
- Selvanathan, E.A.; Selvanathan, S.; Jayasinghe, M.S. Revisiting Wagner’s and Keynesian’s propositions and the relationship between sectoral government expenditure and economic growth. Econ. Anal. Policy 2021, 71, 355–370. [Google Scholar] [CrossRef]
- Sayer, A.; McCartney, G. Economic relationships and health inequalities: Improving public health recommendations. Public Health 2021, 199, 103–106. [Google Scholar] [CrossRef]
- Cole, W.M. Wealth and health revisited: Economic growth and wellbeing in developing countries, 1970 to 2015. Soc. Sci. Res. 2019, 77, 45–67. [Google Scholar] [CrossRef]
- McCullough, J.M.; Leider, J.P. Associations Between County Wealth, Health and Social Services Spending, and Health Outcomes. Am. J. Prev. Med. 2017, 53, 592–598. [Google Scholar] [CrossRef]
- Kippersluis, H.; Galama, T.J. Wealth and health behavior: Testing the concept of a health cost. Eur. Econ. Rev. 2014, 72, 197–220. [Google Scholar] [CrossRef]
- Qureshi, M.I.; Hassan, M.A.; Hishan, S.S.; Rasli, A.M.; Zaman, K. Dynamic linkages between sustainable tourism, energy, health and wealth: Evidence from top 80 international tourist destination cities in 37 countries. J. Clean. Prod. 2017, 158, 143–155. [Google Scholar] [CrossRef]
- López-Casasnovas, G.; Rivera, B.; Currais, L. Health and Economic Growth: Findings and Policy Implications, 1st ed.; MIT Press: Cambridge, MA, USA, 2007; pp. 19–40. [Google Scholar]
- Blázquez, M.; Budría, M.; Moro-Egido, A.I. Over-indebtedness and age: The effects on individual health. J. Behav. Exp. Econ. 2020, 87, 101575. [Google Scholar] [CrossRef]
- Wang, S.; Wang, X.; Lu, B. Is resource abundance a curse for green economic growth? Evidence from developing countries. Resour. Policy 2022, 75, 102533. [Google Scholar] [CrossRef]
- Zhang, Z.; Zhang, G.; Su, B. The spatial impacts of air pollution and socio-economic status on public health: Empirical evidence from China. Socio-Econ. Plan. Sci. 2021, 83, 101167. [Google Scholar] [CrossRef]
- Zafari, Z.; Li, S.; Eakin, M.N.; Bellanger, M.; Reed, R.M. Projecting Long-term Health and Economic Burden of COPD in the United States. Chest 2021, 159, 1400–1410. [Google Scholar] [CrossRef]
- Meltzer, D. Mortality Decline, the Demographic Transition, and Economic Growth. Ph.D. Dissertation, Department of Economics, University of Chicago, Chicago, IL, USA, December 1992. [Google Scholar]
- Howitt, P. Health, Human Capital, and Economic Growth, 1st ed.; MIT Press: Cambridge, MA, USA; London, UK, 2004; pp. 19–40. [Google Scholar]
- He, Q. Inflation and health in a Schumpeterian growth model: Theory and evidence. Econ. Model. 2018, 75, 159–168. [Google Scholar] [CrossRef]
- Zhang, J.; Zhang, J.; Lee, R. Rising longevity, education, savings, and growth. J. Dev. Econ. 2003, 70, 83–101. [Google Scholar] [CrossRef]
- Miguel, E.; Kremer, M. Worms: Identifying Impacts on Education and Health in the Presence of Treatment Externalities. Econometrica 2004, 72, 159–217. [Google Scholar] [CrossRef]
- Jayachandran, S.; Lleras-Muney, A. Life Expectancy and Human Capital Investments: Evidence from Maternal Mortality Declines. Q. J. Econ. 2009, 124, 349–397. [Google Scholar] [CrossRef]
- Aghion, P.; Howitt, P.; Murtin, F. The Relationship Between Health and Growth: When Lucas Meets Nelson-Phelps. Rev. Econ. Inst. 2011, 2, 1–24. [Google Scholar] [CrossRef]
- Cervellati, M.; Sunde, U. Life expectancy and economic growth: The role of the demographic transition. J. Econ. Growth 2011, 16, 99–133. [Google Scholar]
- Weil, D.N. Accounting for The Effect of Health on Economic Growth. Q. J. Econ. 2007, 122, 1265–1306. [Google Scholar] [CrossRef]
- Acemoglu, D.; Johnson, S. Disease and Development: The Effect of Life Expectancy on Economic Growth. J. Political Econ. 2007, 115, 925–985. [Google Scholar] [CrossRef] [Green Version]
- Feng, Q.; Wu, G.L.; Yuan, M.; Zhou, S. Save lives or save livelihoods? A cross-country analysis of COVID-19 pandemic and economic growth. J. Econ. Behav. Organ. 2022, 197, 221–256. [Google Scholar] [CrossRef]
- Bischi, G.I.; Grassetti, F.; Carrera, E.J.S. On the economic growth equilibria during the COVID-19 pandemic. Commun. Nonlinear Sci. Numer. Simul. 2022, 112, 106573. [Google Scholar] [CrossRef]
- Boubaker, S.; Goodell, J.W.; Pandey, D.K.; Kumari, V. Heterogeneous impacts of wars on global equity markets: Evidence from the invasion of Ukraine. Financ. Res. Lett. 2022, 48, 102934. [Google Scholar] [CrossRef]
- OECD Data. Health Spending. Available online: https://data.oecd.org/healthres/health-spending.htm (accessed on 16 August 2022).
- Current Health Expenditure per Capita (Current US$)—OECD Members. Available online: https://data.worldbank.org/indicator/SH.XPD.CHEX.PC.CD?locations=OE (accessed on 16 August 2022).
- OECD Data. Health Expenditure and Financing. Available online: https://stats.oecd.org/index.aspx?DataSetCode=SHA (accessed on 16 August 2022).
- OECD Data. Health Expenditure in Relation to GDP. Available online: https://www.oecd-ilibrary.org/sites/e26f669c-en/index.html?itemId=/content/component/e26f669c-en (accessed on 16 August 2022).
- OECD Data. Health Expenditure. Available online: https://www.oecd.org/els/health-systems/health-expenditure.htm (accessed on 16 August 2022).
- Pereira, P.; Bašić, F.; Bogunovic, I.; Barcelo, D. Russian-Ukrainian war impacts the total environment. Sci. Total Environ. 2022, 837, 155865. [Google Scholar] [CrossRef]
- Financing Putin’s War: Fossil Fuel Imports from Russia during the Invasion of Ukraine. Available online: https://energyandcleanair.org/financing-putins-war/ (accessed on 13 July 2022).
- GDP to Rise by 4.8 Percent This Year Says Think Tank. Available online: https://www.thefirstnews.com/article/gdp-to-rise-by-48-percent-this-year-says-think-tank-31056 (accessed on 13 July 2022).
- Poland’s Economy Is Standing Strong for Now, but the Ukraine War Casts a ‘Dark Cloud’. Available online: https://www.cnbc.com/2022/03/28/polands-economy-standing-strong-but-ukraine-war-sparks-gdp-fears.html (accessed on 13 July 2022).
- If Russia Cuts Its Gas Supplies to Germany, What Happens Next? Available online: https://energypost.eu/if-russia-cuts-its-gas-supplies-to-germany-what-happens-next/ (accessed on 13 July 2022).
- Ukraine Needs Other Sources of Fuel Supply. Available online: https://gmk.center/en/news/ukraine-needs-other-sources-of-fuel-supply/ (accessed on 13 July 2022).
- Fall of Ukrainian Economy in March Amounts to 45%, State Budget Deficit in 2022 May Reach 26% of GDP—Dragon Capital. Available online: https://interfax.com.ua/news/economic/825152.html (accessed on 13 July 2022).
- % of Countries’ Gdp Given to Support Ukraine as of May 10—Keil Inst for the World Economy. Available online: https://www.reddit.com/r/europe/comments/usvueo/of_countries_gdp_given_to_support_ukraine_as_of/ (accessed on 13 July 2022).
- World Bank ECA Economic Update Spring 2022. War in the Region. Available online: https://openknowledge.worldbank.org/bitstream/handle/10986/37268/9781464818660.pdf (accessed on 13 July 2022).












| Parameter | Coefficient | Standard Error | T-Student | p Value |
|---|---|---|---|---|
| Const | −7.37015 | 7.79893 | −0.9450 | 0.3587 |
| THE_LI_1 | 0.627341 | 0.190956 | 3.285 | 0.0047 *** |
| GDP_LI_1 | 0.996008 | 0.0148 | 67.11 | <0.0001 *** |
| Parameter | Coefficient | Standard Error | T-Student | p Value |
|---|---|---|---|---|
| Const | −129,021 | 20.59 | −6.27 | <0.0001 *** |
| GDP_UMI_1 | 0.02 | 0.002 | 9.2 | <0.0001 *** |
| THE_UMI_3 | 0.43 | 0.08 | 5.34 | 0.0001 *** |
| Parameter | Coefficient | Standard Error | T-Student | p Value |
|---|---|---|---|---|
| Const | 11,459.1 | 6434.44 | 1.78 | 0.0939 * |
| THE_HI_1 | 1.77 | 1.02 | 1.73 | 0.1 |
| GDP_HI_1 | 0.644 | 0.21 | 3.049 | 0.0077 *** |
| Parameter | Coefficient | Standard Error | T-Student | p Value |
|---|---|---|---|---|
| Const | −254.149 | 224.54 | −1.13 | 0.2755 |
| GDP_HI_1 | 0.014 | 0.0073 | 1.913 | 0.0751 * |
| THE_HI_1 | 0.94 | 0.035 | 26.86 | <0.0001 *** |
| Parameter | GDP Level Depends on Overall Health Expenditure per Person | General Health Expenditure per Person Depends on GDP Level |
|---|---|---|
| Low-Income Countries | Yes—3 periods delay (and with a GDP delay of 1 period) | No |
| Middle-income countries | No | Yes—1 period delay (and with a THE delay of 1 period) |
| High-income countries | Yes—1 period delay (and with a GDP delay of 1 period) | Yes—1 period delay (and with a THE delay of 1 period) |
| Test | Parameter | LI | UMI | HI |
|---|---|---|---|---|
| Test GDP | GDPt−1 | 0.932099 *** (0.250011) | 1.36169 *** 0.328211 | 0.970287 ** 0.313632 |
| GDPt−2 | −0.327551 (0.329595) | −1.19068 0.685477 | −0.707000 0.686058 | |
| GDPt−3 | 0.250404 (0.231068) | −0.368404 0.724116 | 0.130192 0.657163 | |
| PHEt−1 | 0.858237 (0.559331) | 56.9031 ** 22.8999 | 10.0673 13.3101 | |
| PHEt−2 | −0.894814 (0.763696) | −5.44681 31.1131 | −6.18442 19.9357 | |
| PHEt−3 | 1.93868 ** (0.705971) | −13.2966 15.4559 | −1.03001 12.6678 | |
| C | 20.2779 (16.3475) | 9063.15 * 4971.54 | 15,892.2 15,993.8 | |
| R2 | 0.999235 | 0.997732 | 0.978864 | |
| F test | 3.5953 (0.0539) | 2.5662 (0.1131) | 0.30811 (0.8191) | |
| Test THE | GDPt−1 | 0.163567 (0.131553) | 0.0142389 *** 0.00444608 | 0.0428748 *** 0.00550212 |
| GDPt−2 | −0.285789 (0.173429) | 0.00642896 0.00928577 | −0.00581396 0.0120357 | |
| GDPt−3 | 0.122716 (0.121585) | −0.000179524 0.00980919 | 0.0278481 ** 0.0115288 | |
| PHEt−1 | 0.980202 (0.294314) | 0.345213 0.310211 | 0.652974 ** 0.233503 | |
| PHEt−2 | −0.0796538 (0.401848) | −0.139543 0.421472 | −0.323966 0.349737 | |
| PHEt−3 | 0.0607657 (0.371474) | 0.163584 0.209372 | 0.344009 0.222235 | |
| C | 4.39725 (8.60187) | −150.349 ** 67.3466 | −1460.15 *** 280.583 | |
| R2 | 0.985939 | 0.999486 | 0.999842 | |
| Test F | 0.92027 [0.4659] | 14.420 [0.0006] | 27.316 [0.0000] |
| Parameter | The Level of GDP Depends on Overall Health Expenditure per Person | Total Health Expenditure per Person Depends on the Level of GDP |
|---|---|---|
| Low Income countries | Yes | No |
| Upper-middle income countries | No | Yes |
| High-income countries | No | Yes |
| Test | Parameter | LI | UMI | HI |
|---|---|---|---|---|
| Test GDP | GDPt−1 | 0.770417 ** 0.309805 | 0.561125 0.322382 | 0.807732 * 0.367505 |
| GDPt−2 | −0.316687 0.376960 | −0.163079 0.382548 | −0.581889 0.433460 | |
| GDPt−3 | 0.318247 0.274244 | 0.00198330 0.237233 | 0.0863834 0.325576 | |
| THEt−1 | 1.74835 1.21634 | 26.9171 19.0709 | 5.09995 20.6595 | |
| THEt−2 | −0.383503 1.56290 | 34.4204 30.7256 | 22.2953 30.4690 | |
| THEt−3 | 3.29692 * 1.78834 | −1.63888 25.2819 | −18.5647 17.9119 | |
| C | 21.4033 20.4900 | 3038.39 ** 1139.48 | 17,655.4 10,070.5 | |
| R2 | 0.999004 | 0.998677 | 0.981282 | |
| Test F | 1.9871 (0.1799) | 6.7774 (0.0090) | 0.77869 (0.5323) | |
| Test THE | GDPt−1 | 0.0951862 0.0811435 | 0.00274435 0.00471767 | 0.0102348 0.00646679 |
| GDPt−2 | −0.163821 0.0987326 | −0.00375898 0.00559813 | −0.00753511 0.00762737 | |
| GDPt−3 | 0.0674311 0.0718293 | −0.000151511 0.00347162 | 0.00669497 0.00572899 | |
| THEt−1 | 1.04106 *** 0.318580 | 1.02822 *** 0.279080 | 1.23318 0.363534 | |
| THEt−2 | −0.102144 0.409351 | −0.580330 0.449632 | −0.557732 0.536148 | |
| THEt−3 | 0.0390989 0.468397 | 0.720417 * 0.369970 | 0.183253 0.315186 | |
| C | 2.50898 5.36670 | 14.6788 16.6749 | −166.548 177.206 | |
| R2 | 0.985827 | 0.997665 | 0.998957 | |
| Test F | 0.93770 [0.4583] | 0.59805 [0.6307] | 1.1514 [0.3756] |
| Test | Parameter | LI | UMI | HI |
|---|---|---|---|---|
| Test GDP | GDPt−1 | 1.10345 *** 0.217185 | 1.12064 *** 0.341270 | 1.09183 ** 0.349779 |
| GDPt−2 | −0.385976 0.301832 | −0.619691 0.739063 | −0.717498 0.688672 | |
| GDPt−3 | 0.229849 0.202753 | 1.26896 * 0.580056 | 0.465000 0.563948 | |
| GHEt−1 | 1.56433 0.867990 | −4.73946 36.6117 | 7.44400 13.4217 | |
| GHEt−2 | −2.42166 * 1.15820 | −59.5493 44.5117 | −12.9369 18.0796 | |
| GHEt−3 | 3.42224 *** 0.987437 | 28.6698 22.7762 | 6.45631 11.0408 | |
| C | 11.0374 12.5589 | −6316.87 * 3480.55 | 6019.19 10,368.4 | |
| R2 | 0.999372 | 0.997449 | 0.978510 | |
| Test F | 5.0969 (0.0214) | 1.9104 (0.1919) | 0.24823 (0.8608) | |
| Test THE | GDPt−1 | 0.0871543 0.0739304 | 0.00763302 ** 0.00259542 | 0.0236094 ** 0.00779372 |
| GDPt−2 | −0.130487 0.102744 | 0.00739233 0.00562072 | 0.00288453 0.0153449 | |
| GDPt−3 | 0.0522872 0.0690175 | −0.0106850 ** 0.00441144 | 0.0174740 0.0125658 | |
| GHEt−1 | 0.833610 ** 0.295466 | 0.496350 0.278439 | 0.547820 * 0.299059 | |
| GHEt−2 | −0.166732 0.394253 | 0.602323 0.338521 | −0.147387 0.402847 | |
| GHEt−3 | 0.126234 0.336126 | −0.316463 * 0.173218 | 0.257000 0.246009 | |
| C | 0.379131 4.27509 | −46.6398 26.4703 | −1046.53 *** 231.028 | |
| R2 | 0.974656 | 0.999519 | 0.999355 | |
| Test F | 0.68797 (0.5797) | 24.601 (0.0001) | 14.313 (0.0006) |
| Parameter | The Level of GDP Depends on Health Expenditure per Person | Health Expenditure per Person Depends on the Level of GDP | ||
|---|---|---|---|---|
| Private Expenditure | Government Expenditure | Private Expenditure | Government Expenditure | |
| Low-Income Countries | No | Yes | No | No |
| Upper-middle income countries | Yes | No | No | Yes |
| High-income countries | No | No | No | Yes |
Publisher’s Note: MDPI stays neutral with regard to jurisdictional claims in published maps and institutional affiliations. |
© 2022 by the author. Licensee MDPI, Basel, Switzerland. This article is an open access article distributed under the terms and conditions of the Creative Commons Attribution (CC BY) license (https://creativecommons.org/licenses/by/4.0/).
Share and Cite
Piech, K. Health Care Financing and Economic Performance during the Coronavirus Pandemic, the War in Ukraine and the Energy Transition Attempt. Sustainability 2022, 14, 10601. https://doi.org/10.3390/su141710601
Piech K. Health Care Financing and Economic Performance during the Coronavirus Pandemic, the War in Ukraine and the Energy Transition Attempt. Sustainability. 2022; 14(17):10601. https://doi.org/10.3390/su141710601
Chicago/Turabian StylePiech, Kornelia. 2022. "Health Care Financing and Economic Performance during the Coronavirus Pandemic, the War in Ukraine and the Energy Transition Attempt" Sustainability 14, no. 17: 10601. https://doi.org/10.3390/su141710601
APA StylePiech, K. (2022). Health Care Financing and Economic Performance during the Coronavirus Pandemic, the War in Ukraine and the Energy Transition Attempt. Sustainability, 14(17), 10601. https://doi.org/10.3390/su141710601
