Next Article in Journal
Research and Analysis on the Influencing Factors of China’s Carbon Emissions Based on a Panel Quantile Model
Previous Article in Journal
A Cross-Sectional Study on Ethical Buyer Behavior towards Cruelty-Free Cosmetics: What Consequences for Female Leadership Practices?
 
 
Font Type:
Arial Georgia Verdana
Font Size:
Aa Aa Aa
Line Spacing:
Column Width:
Background:
Article

Supply Chain Coordination of Product and Service Bundling Based on Network Externalities

School of Management Science and Engineering, Anhui University of Technology (AHUT), Ma’anshan 243032, China
*
Author to whom correspondence should be addressed.
Sustainability 2022, 14(13), 7790; https://doi.org/10.3390/su14137790
Submission received: 11 May 2022 / Revised: 8 June 2022 / Accepted: 23 June 2022 / Published: 26 June 2022
(This article belongs to the Section Economic and Business Aspects of Sustainability)

Abstract

Since the commercialization of 5G, the government has actively encouraged 5G industry chain enterprises to accelerate the progress of 5G. Bundling is a popular means to expand 5G subscribers and improve 5G market coverage. Considering the characteristics of bundling, this study establishes a secondary supply chain composed of a terminal manufacturer and a telecom operator under the condition of network externality strength. In this supply chain, the product quality of the terminal manufacturer is complementary to the service quality of the telecom operator. Using Steinberg’s theory, we derive the optimal value of each decision variable in a centralized mode and a decentralized mode and take profit maximization as the goal. This paper also designs a contract of bidirectional cost sharing and revenue compensation for supply chain coordination. Finally, the influence of network externality strength and a mass-additive factor on the supply chain is discussed using numerical analysis. The results show that higher network externality strength has a significant impact on product pricing, the quality of each entity and the profit of the supply chain. At the same time, the degree of complementarity between the terminal product quality and the telecommunications service quality affects whether consumers choose to buy contract products. A higher degree of complementarity promotes the market inflow into high-end consumers.

1. Introduction

With the development of many emerging technologies, such as artificial intelligence, cloud computing, big data and the Internet of Things, the combination of 5G and emerging technologies drives the accelerated evolution and innovation of the industrial terminal industry and promotes intelligent production activities in various industries. The combination of 5G technology and artificial intelligence promotes the development of terminal digital intelligence. With the empowerment of 5G, artificial intelligence technology has achieved low latency, low cost and low power consumption to a large extent and has combined with the background to transmit information to each other to form swarm intelligence [1]. The 5G network not only improves the network speed, but also compensates for the shortcomings that restrict the development of artificial intelligence, becoming a new driving force in the development of artificial intelligence. In the field of smart medical care, doctors remotely control smart robotic arms through 5G networks to perform surgery with extremely high precision requirements for patients in remote areas. In the field of smart factories, AGV + smart collaborative robots can be used to realize the automatic distribution of production raw materials and comprehensively improve the production efficiency and automation level of the factory [2,3]; combined with artificial intelligence technology, the industry terminal is more intelligent, and the application is more extensive. The integration of 5G and the Internet of Things will accelerate the realization of the interconnection of everything and promote the scale and ubiquity of terminal applications. The integration of 5G and IoT technology will directly or indirectly improve the efficiency of IoT components. For example, in the field of industrial internet, a large number of devices can be easily connected, and industrial processes can be simplified [4,5]; in the field of smart cities, a wider range and higher efficiency can be achieved. In addition, 5G will drive the rapid growth of the number of Internet of Things connections, expand the application scale of the Internet of Things in various scenarios and accelerate the realization of the Internet of Everything [6]. As an important communication medium for 5G technology, smart terminals affect consumers’ perception of the 5G era. However, the popularization of 5G terminals and application innovation cannot be achieved by operators alone. They should give full play to their role as a link, coordinate and integrate upstream and downstream enterprises in the industrial chain and jointly build an industrial ecosystem with multi-participation. Therefore, terminal manufacturers and telecom operators have reached a consensus to work together to bundle terminal products and telecom services, thus forming an effective means to promote the early development of the 5G network.
Bundling is a sales model in which manufacturers combine products or services in a certain proportion and sell them as a set. It can obtain more producer surplus through economies of scale, thereby increasing market demand, improving customer service and reducing transaction costs. To achieve the purpose of increasing profits [7,8], this sales strategy is very common in the product market. For example, consumers can purchase high-end mobile phones bundled with telecom service business contracts in China [9]. Travel agencies have launched a bundled combination of accommodation and air tickets for consumers [10]. Music publishers often bundle singles with albums from record labels [11]. Bundling allows consumers who are originally interested in only one product to pay more for the product they want. Of course, this depends on whether consumers have a higher evaluation of the bundled combination [12]. In this study, we established a secondary supply chain consisting of a terminal manufacturer and a telecom operator. Among them, the products of the terminal manufacturers and the services provided by telecom operators are often complementary, so the complementary characteristics between the two will be considered in this paper.
The telecommunications industry is a unique network-based industry [13] that has the relevant characteristics of network externalities [14,15]. These characteristics are mainly reflected when users use the telecommunications business services provided by the general utility in the service; on the basis of obtaining the general utility, the user can also obtain synergistic value by forming a network with other users who use the same service and by connecting with each other, so that the user can obtain value-added services. This feature is more prominent in high-tech and internet-related products, which can effectively increase the perceived value for potential users [16,17]. In this study, we consider the characteristics of network externalities as a function of demand and analyze the optimal decision making of each subject in the supply chain we have established when there are network externalities.
Based on the above discussion, the terminal products studied in this paper are bundled with telecommunication services, aiming to answer the following research questions:
  • Under different cooperation modes, the optimal decision of each main body in the supply chain;
  • Which cooperation model is the best choice to bring higher profits;
  • The impact of the complementarity between terminal manufacturers and telecom operators on the main bodies in the supply chain;
  • How network externality strength affects product price, product quality and service quality.
To solve the above problems, we established a game model consisting of one terminal manufacturer and one telecom operator. Firstly, the optimal decision in a supply chain under a centralized mode is studied. Then, compared with the optimal decision making of the supply chain in the decentralized mode, it is found that the decision-making efficiency of terminal manufacturers and telecom operators in the decentralized mode is lower than that in the centralized mode. In addition, the network externalities of the telecom supply chain will aggravate the efficiency loss of decentralized decision making, expand the gap between the total profits of the system and amplify the impact of the “double marginal effect” on the telecom product and service supply chain. For this reason, we design a combination contract of “two-way cost sharing and benefit compensation” to coordinate the supply chain and obtain the compensation range for Pareto improvement. The feasibility of combining a contract as a control mechanism to coordinate supply chain is confirmed by numerical analysis. Finally, this paper analyzes the complementarity between terminal manufacturers and telecom operators and the impact of network externalities on bundling. These results are of great significance for enterprises to choose a reasonable cooperation model and for guiding terminal manufacturers and telecom operators to cooperate more closely, jointly develop products with a higher degree of fit and accelerate the Internet of Everything.
The remainder of this paper is organized as follows: In Section 2, some relevant literature is reviewed. Section 3 describes the system and assumptions. Section 4 builds and analyzes the Stackelberg game model. A contract model is designed in Section 5. Section 6 provides a numerical simulation. Finally, conclusions are given in Section 7.

2. Literature Review

We review the literature from the following three aspects: bundling, network externalities and supply chain coordination.
Bundling sales can be divided into independent sales, pure bundling and mixed bundling sales [18]. Among them, pure bundling means that the seller sells all the products in the form of a package, while mixed bundling is relatively free. In this mode, consumers can choose bundled goods or separate goods [19]. Many scholars in the field of operation management have carried out in-depth discussions on bundling strategies from different perspectives. Ma and Mallik [20] studied the problem of a single retailer and a manufacturer bundling vertically differentiated products. They found that the total profit of the system under retailer dominance was lower than that under manufacturer dominance. Honhon et al. [21] studied the problem of bundling vertically differentiated products and found that bundling vertically differentiated products can significantly improve profits. Pang et al. [17] studied the optimal pricing combination of products and services under the condition that enterprises provide products and services simultaneously, and consumers evaluate services differently. Chen et al. [9] explored the influence of the power structure on selling methods and pricing decisions under different selling methods. Ferrer et al. [22] used the technique of dynamic programming to study how to select the optimal pricing strategy to ensure the maximization of corporate profits under the condition of product and service bundling. Cao Q et al. [23] analyzed the impact of cost on different upstream and downstream entities in bundling and found that manufacturers could keep profits in bundling, but not retailers. Zhou [24] establishes a framework for studying competitive bundling in any number of enterprises. The framework shows that, compared with separate sales, the number of competing firms has a great impact on the effect of pure bundling. In addition, different bundling methods have a significant impact on the overall profit of the supply chain. In the face of different bundling methods, the optimal decisions made by different enterprises are also different [25,26,27]. With the development of network technology, the research on bundling is extended to the direction of the IoT [28,29]. Although the above studies discussed the bundling of products and services, they paid more attention to the pricing and profit distribution of products and did not consider the factors of terminal product quality and telecom service quality in sales.
When consumers choose telecom services, they will consider the number of other consumers in the social network who use the same telecom service, as well as the reputation of the service. There are quite a few scholars who have studied the problem of the supply chain under the condition of network externality. Wang et al. [30] studied the optimal service pricing problem between service providers and telecom operators under the influence of network externalities and service quality and put forward some suggestions on enterprise cooperation based on the utility theory. Zhang et al. [31] constructed the demand function under the condition of considering network externalities, analyzed the optimal pricing and optimal service of the supply chain under centralized and decentralized decision making, and designed contracts to realize supply chain coordination. In the telecom oligopoly market, Hurkens et al. [32] analyzed the impact of network externalities on service pricing and market competition based on market characteristics and consumers’ expectations of different market sizes. Luo et al. [33] studied the intertemporal bundling of information products with network externalities. Yi et al. [34] discussed the influence of network externalities on the relevant strategies of the secondary supply chain composed of manufacturers and retailers by using the method of an evolutionary game. Lin et al. [35] propose that network externalities have become one of the key factors in enterprise competitive strategies. Network externalities have a significant impact on the pricing, market demand and total channel performance of bundled distribution channels [36,37]. There are studies on network externalities in various fields, such as electric vehicles [38], wireless devices [39], the gaming market [40] and government investment [41].
For a supply chain system, how to coordinate effectively is a key problem. Shao et al. [42], comparing them with the wholesale price contract, found that a revenue-sharing contract and a cost-sharing contract could motivate manufacturers to improve the greenness of subsidized products under appropriate circumstances, so as to attract green consumers with environmental awareness. Xu L et al. [43] consider how the NE effect of consumer return influences supply chain repurchase contracts and finds that traditional repurchase contracts cannot coordinate supply chain, but the NE effect does not reduce the effectiveness of a differentiated repurchase contract. Li et al. [44] believe that a revenue-sharing contract can effectively coordinate a decentralized supply chain and reduce its risks. Bai et al. [45] established a Stackelberg model between a single telecom operator and multiple service providers on the basis of the telecom value-added service supply chain; they found that the model could better coordinate the telecom value-added service supply chain and verified the double marginal effect. Buratto et al. [46] studied the influence of a cooperative advertising program and a price discount mechanism on the supply chain.
In conclusion, in the supply chain research on the bundled sales of products and services, scholars mainly focus on selecting sales channels, subsidies, pricing and other issues. In the supply chain research considering network externalities, few studies consider product quality and service quality together, and they also ignore the impact of their complementarity on the supply chain. Therefore, based on the terminal manufacturers and operators as the research object, this paper aims to build demand function under network externality. Considering product quality and service quality simultaneously, it analyzes the effect of the complementarity strength between products and services on the pricing decisions of supply chain members. Then, this paper designs a reasonable contract to coordinate the supply chain, which is helpful to improve the efficiency of the system and to provide a reference for the cooperation of both parties.

3. System Description and Assumptions

The research assumes a secondary telecommunications supply chain system composed of a terminal manufacturer and a telecom operator. Through cooperation, the two sides promote a terminal product (such as a contract machine) with contract conditions to consumers. It is assumed that the manufacturer produces the product at a unit cost of c and sells it to the telecom operator at the wholesale price of w . The telecom operator orders from the terminal manufacturer according to the market demand D , and the telecom operator sells the contract product to consumers at the sales price of p . In order to increase the market demand, terminal manufacturers and operators improve the quality of the corresponding product and service quality, such as terminal manufacturers paying more attention to the development of hardware, the optimization of manufacturing materials or software. The improvement of telecom operators’ performance is meant to improve the quality of network communication, transmission and consumer-facing service. This can promote consumption and thus obtain higher profits. Suppose the quality effort of the terminal product is   q 1   , and the service quality effort of the telecom operator is   q 2   . The corresponding quality-effort cost of the terminal product is   1 / 2 u 1 q 1 2   ( u 1 is the product quality-effort cost coefficient [35]), and the telecom service quality-effort cost is 1 / 2 u 2 q 2 2 ( u 2 is the telecom service quality-effort cost coefficient).
It is assumed that the market demand D has a linear relationship with the selling price p of telecom operators and the final quality q of contract products perceived by consumers [47]; D = a     p   +   k q can be set, where   a   is the potential market demand ( a   >   c   >   0 ), and k is the sensitivity coefficient of consumers to the quality of contract products. Considering that terminal products and telecommunication services are mostly complementary [9], this paper assumes   q = β q 1 + q 2 , where β is the additive quality coefficient of complementary products, and β 1 . The larger the   β , the greater the complementarity between the terminal product and the telecommunications service. Because the telecommunications industry has the characteristics of network externalities, that is, when consumers use a specific product or service, the utility obtained by it will obtain higher synergistic value with the increase in the number of consumers using the same product or service [48,49]. When there is a network externality in the supply chain, the product price p satisfies: p = δ D + p . Solve p according to D = a     p   +   k q , then substitute the obtained p into p , and the market demand function is achieved: D ( p ) = ( a + k ( β q 1 + q 2 )   p 1     σ ) , where   δ is the network externality strength   ( 0 < δ < 1 ) . The corresponding parameters are shown in Table 1.
In addition, superscripts C , D and F represent the centralized decision-making mode, the decentralized decision-making mode, and the contract decision-making mode, respectively, and superscript “*” represents the optimal solution.

4. Model Establishment and ANALYSIS

4.1. Centralized Decision Model

In the centralized model, terminal manufacturers and telecom operators make decisions as a whole. The maximization of the overall profit of the supply chain is regarded as the decision-making goal, and the two parties jointly decide the sales price p of contract products, the quality of terminal products   q 1 and the quality of service q 2 . At this point, the overall profit function of the supply chain in the centralized model is:
π s c = ( p c ) ( a + k ( β q 1 + q 2 ) p 1 δ ) 1 2 u 1 q 1 2 1 2 u 2 q 2 2
Proposition 1.
The optimal sales price, optimal product quality and optimal service quality of the telecom supply chain under the centralized mode are:
P C * = ( a + c ) ( 1 δ ) u 1 u 2 c k 2 ( u 1 + u 2 β 2 ) 2 ( 1 δ ) u 1 u 2 k 2 ( β 2 u 2 + u 1 )
q 1 c * = ( a c ) β k u 2 2 ( 1 δ ) u 1 u 2 k 2 ( β 2 u 2 + u 1 )
q 2 c * = ( a c ) k u 1 2 ( 1 δ ) u 1 u 2 k 2 ( β 2 u 2 + u 1 )
The total profit of the telecom supply chain system is:
π s c c * = ( a c ) 2 u 1 u 2 4 ( 1 δ ) u 1 u 2 2 k 2 ( β 2 u 2 + u 1 )
To ensure the rationality of the proposition, it is assumed that the relational conditions of 2 ( 1 δ ) u 1 u 2 > k 2 ( β 2 u 2 + u 1 ) , 2 ( 1 δ ) u 1 > k 2 β 2 are satisfied. (Details of the certification are shown in Appendix A).

4.2. Decentralized Decision Model

Manufacturers do not always dominate the secondary supply chain, which consists of terminal manufacturers and telecom operators. Affected by the epidemic, the sales of 5G products have not reached the expected growth rate, and consumers are more on the sidelines of 5G products. The preferential contract package will encourage consumers to buy 5G products so that consumers can use more advanced terminal products based on obtaining more preferential communication services. This paper considers the contract sales model under the Stackelberg game, where the operator is the master, and the manufacturer is the enslaved. In this model, telecom operators take their profits as the maximization goal, deciding the marginal profit n   ( n = p w ) and service quality q 2 . Then, the manufacturer chooses the wholesale price w and product quality with their profit as the decision goal q 1 [50]; the profit function of the manufacturer can be obtained as:
π m D = ( w c ) ( a + k ( β q 1 + q 2 ) p 1 δ ) 1 2 u 1 q 1 2
The operator’s profit function is:
π e D = ( p w ) ( a + k ( β q 1 + q 2 ) p 1 δ ) 1 2 u 2 q 2 2 = n ( a + k ( β q 1 + q 2 ) p 1 δ ) 1 2 u 2 q 2 2
Proposition 2.
In the decentralized mode, the optimal decision of the telecom supply chain system is:
n D * = u 2 ( a c ) [ 2 u 1 ( 1 δ ) β 2 k 2 ] 4 u 1 u 2 ( 1 δ ) k 2 ( u 1 + 2 β 2 u 2 )
q 2 D * = k ( a c ) u 1 4 u 1 u 2 ( 1 δ ) k 2 ( u 1 + 2 β 2 u 2 )
w D * = u 1 u 2 ( 1 δ ) ( a + 3 c ) + k 2 c ( 2 β 2 u 2 + u 1 ) 4 u 1 u 2 ( 1 δ ) k 2 ( u 1 + 2 β 2 u 2 )
q 1 D * = k β ( a c ) u 2 4 u 1 u 2 ( 1 δ ) k 2 ( u 1 + 2 β 2 u 2 )
According to the obtained optimal profit margin n D * , optimal service quality q 2 D * , optimal wholesale price w D * and optimal product quality q 1 D * , the corresponding optimal terminal manufacturer profit π m D * and optimal telecom operator profit π e D * can be obtained. (Details of the certification are shown in Appendix A).
π m D * = u 1 ( a c ) 2 [ 2 u 1 ( 1 δ ) β 2 k 2 ] u 2 2 2 [ k 2 ( u 1 + 2 β 2 u 2 ) 4 u 1 u 2 ( 1 δ ) ] 2
π e D * = u 1 u 2 ( a c ) 2 8 u 1 u 2 ( 1 δ ) 2 k 2 ( u 1 + 2 β 2 u 2 )
The total profit of the telecom supply chain system is:
π s c D * = π m D * + π e D * = u 1 u 2 ( a c ) 2 [ 6 u 1 u 2 ( 1 δ ) k 2 ( u 1 + 3 β 2 u 2 ) ] 2 [ 4 u 1 u 2 ( 1 δ ) k 2 ( u 1 + 2 β 2 u 2 ) ] 2
Corollary 1.
Under the centralized model, the optimal selling price P C * , best product quality q 1 c * and best service quality of contract products q 2 c * decrease with u 1 and u 2 increasing.
Corollary 1 shows that, in the centralized model, the sales price of contract products will decrease with the increase in quality-effort cost. The improvement of product quality and service quality requires higher R&D and infrastructure construction costs. When costs continue to increase, manufacturers and operators invest less in improving the quality of products and services, thereby reducing consumers’ willingness to buy, reducing market demand and, ultimately, leading to a drop in retail prices.
Corollary 2.
In the centralized model, π s c c * δ > 0 . In the decentralized model, π m D * δ > 0 , π e D * δ > 0 . That is, in the centralized model, the total system profit of the telecom supply chain varies with the strength of the network externality δ . The optimal gain of terminal manufacturers and telecom operators also increases with network externality strength in the decentralized model.
Corollary 2 shows that network externality is an important part of the telecommunications supply chain system. It not only plays a positive feedback role in the telecom supply chain system but also has a positive impact on the nodal enterprises. Consumers are more inclined to choose telecommunications operators with more extensive service networks and other end-products in social networks that consumers are more willing to buy. Therefore, when the network externalities of contract business services are higher, consumers can obtain a better user experience. The higher the value, the better the telecommunications operators can expand the market penetration rate and achieve profit growth, thereby driving the sales of terminal products and increasing manufacturers’ profits.
Corollary 3.
In the operator-dominated decentralized model, n D * β > 0 , w D * β > 0 , q 1 D * β > 0 , q 2 D * β > 0 .
Corollary 3 shows that under the decentralized model dominated by operators, wholesale prices, end-product quality, telecom service quality and profit margins will all increase with the complementarity between contracted products and services. With the increasing complementarity of terminal products and telecommunications services, consumers have shifted from purchasing products or services individually to purchasing contract products. This increases the market demand for contract products, prompting manufacturers to produce better quality products and operators to provide more suitable services. It improves the value of contract products, makes the selling price higher and promotes the profit growth of enterprises.

4.3. Comparative Analysis of Centralized and Decentralized Decision Models

For the convenience of comparative analysis, p , q 1 , q 2 and π s c are used to represent the differences between the sales price of contract products, the quality of terminal products, the quality of telecommunication services and the total system profit in the supply chain under the two decision-making modes, respectively. The specific expressions are as follows in Equation (15).
q 1 = k β u 2 2 ( a c ) [ 2 ( 1 δ ) u 1 β 2 k 2 ] [ k 2 ( u 2 β 2 + u 1 ) 2 ( 1 σ ) u 1 u 2 ] [ k 2 ( 2 u 2 β 2 4 ( 1 σ ) u 1 u 2 ) ]
q 2 = k u 1 u 2 ( a c ) [ 2 ( 1 σ ) u 1 β 2 k 2 ] [ k 2 ( u 2 β 2 + u 1 ) 2 ( 1 σ ) u 1 u 2 ] [ k 2 ( 2 u 2 β 2 4 ( 1 σ ) u 1 u 2 ) ]
p = u 2 ( a c ) ( 2 ( 1 σ ) u 1 β 2 k 2 ) [ k 2 ( u 2 β 2 + u 1 ) u 1 u 2 ( 1 σ ) ] [ k 2 ( u 2 β 2 + u 1 ) 2 ( 1 σ ) u 1 u 2 ] [ k 2 ( 2 u 2 β 2 + u 1 ) 4 ( 1 σ ) u 1 u 2 ) ]
π s c = u 1 u 2 3 ( a c ) 2 ( β 2 k 2 2 ( 1 σ ) u 1 ) 2 2 [ 2 ( 1 σ ) u 1 u 2 k 2 ( u 2 β 2 + u 1 ) ] [ k 2 ( 2 u 2 β 2 4 ( 1 σ ) u 1 u 2 ) ] 2
From the above assumptions 2 ( 1 δ ) u 1 u 2 > k 2 ( β 2 u 2 + u 1 ) and 2 ( 1 δ ) u 1 > k 2 β 2 , it can be deduced that q 1 > 0 , q 2 > 0 , p > 0 and π s c > 0 .
Corollary 4.
(1) The sales price, product quality, service quality and total system profit under centralized decision making are all greater than those under decentralized decision making. (2) The differences between centralized decision making and decentralized decision making  p ,   q 1 ,   q 2 ,   π s c increase with the strength of the network externality δ .
Corollary 4 shows that, under centralized decision making, the decision variables of terminal product manufacturers and telecom service operators are larger than those under decentralized decision making. This is because under centralized decision making, members do not aim at maximizing their own interests but work together to achieve the optimization of the overall profit of the system. At the same time, the increase in the strength of network externalities in the telecommunications supply chain will aggravate the increase in the differences between decentralized decision making and centralized decision making, making the efficiency loss of decentralized decision making even greater, widening the gap between the total profit of centralized decision making and decentralized decision making and magnifying “Double Marginal Effect” on the telecom supply chain.
Therefore, we designed a reasonable contract to coordinate the variables of the supply chain under decentralized decision making to bring its profit level closer to the profit level under centralized decision making. Then, the terminal manufacturers and telecom service operators can realize a “win-win” situation.

5. Supply Chain Coordination Contract Design

The cost-sharing contract model is widely used to ensure that the optimal value of each factor under decentralized decision making reaches the optimal value under centralized decision making [51,52,53,54,55]. Here, we first discuss the impact of the cost-sharing contract model on supply chain coordination. Let the proportion of the cost that the terminal manufacturer is willing to bear with respect to the telecom operator be set as λ ( 0 , 1 ) [56]. Then, the profit function of both parties is:
π m = ( w c ) ( a + k ( β q 1 + q 2 ) p 1 δ ) 1 2 u 1 q 1 2 1 2 λ u 2 q 2 2
π e = ( p w ) ( a + k ( β q 1 + q 2 ) p 1 δ ) 1 2 ( 1 λ ) u 2 q 2 2
Using the reverse solution method, we achieve the optimal wholesale price under this contract ( w = c ). At this time, the optimal profit of the terminal manufacturer is 1 2 u 1 q 1 2 1 2 λ u 2 q 2 2 . We can find that, no matter what value λ ( 0 , 1 ) takes, the optimal profit of the terminal manufacturer is always negative. Therefore, it is difficult for a single “cost sharing” contract to achieve the overall coordination of the supply chain, and at the same time, it cannot achieve Pareto improvement.
Considering that the improvement of telecom service quality is inseparable from the construction of infrastructure, the long-term maintenance and upgrade of communication base stations requires a great deal of financial support. Similarly, the R&D investment in terminal products and the replacement of production equipment require significant initial investment. Therefore, we designed two-way cost sharing. That is, terminal manufacturers take the initiative to share θ 1 a proportion of the infrastructure construction costs. For example, in the initial laying of 5G outlets, many terminal manufacturers have contributed support. At the same time, telecom service operators have provided incentives for manufacturers to improve product quality, also bearing θ 2 proportional product development and update costs. For example, China Mobile cooperates with some terminal product manufacturers to develop new services and develop new products. At the same time, service operators give terminal manufacturers a certain amount of income compensation F , that is, to design a mixed contract of two-way cost sharing and benefit compensation to realize the coordination of the supply chain.
In this contract model, the profit function of the manufacturer and the profit function of the service operator are as follows:
π m F = ( w c ) ( a + k ( β q 1 + q 2 ) p 1 δ ) 1 2 ( 1 θ 2 ) u 1 q 1 2 1 2 θ 1 u 2 q 2 2 + F
π e F = ( p w ) ( a + k ( β q 1 + q 2 ) p 1 δ ) 1 2 ( 1 θ 1 ) u 2 q 2 2 1 2 θ 2 u 1 q 1 2 F
In order to reach consensus among the main bodies in the telecommunications supply chain, under the conditions of this contract, all decisions of the decentralized supply chain will be consistent with the centralized supply chain decision making, which can be obtained from Proposition 3. (Details of the certification are shown in Appendix A).
Proposition 3.
Under the contract model, the manufacturer’s optimal profit and the operator’s optimal profit are:
π m F * = F ( 1 θ 2 ) N + θ 1 u 1 k 2 2 A 2 E
π e F * = E u 1 u 1 ( θ 2 1 ) k 2 + 2 M N θ 2 2 A 2 F
where A = 2 M N u 1 k 2 , E = u 1 u 2 ( a c ) 2 , N = u 2 β 2 k 2 and M = ( 1 δ ) u 1 u 2 .
In reality, where members of the supply chain tend to be more focused on their own interests, in order for manufacturers and operators to accept this contract, it is necessary to ensure that both parties can achieve Pareto improvements under this contract ( π m F * π m D * and π e F * π e D * ), and the following conditions need to be met:
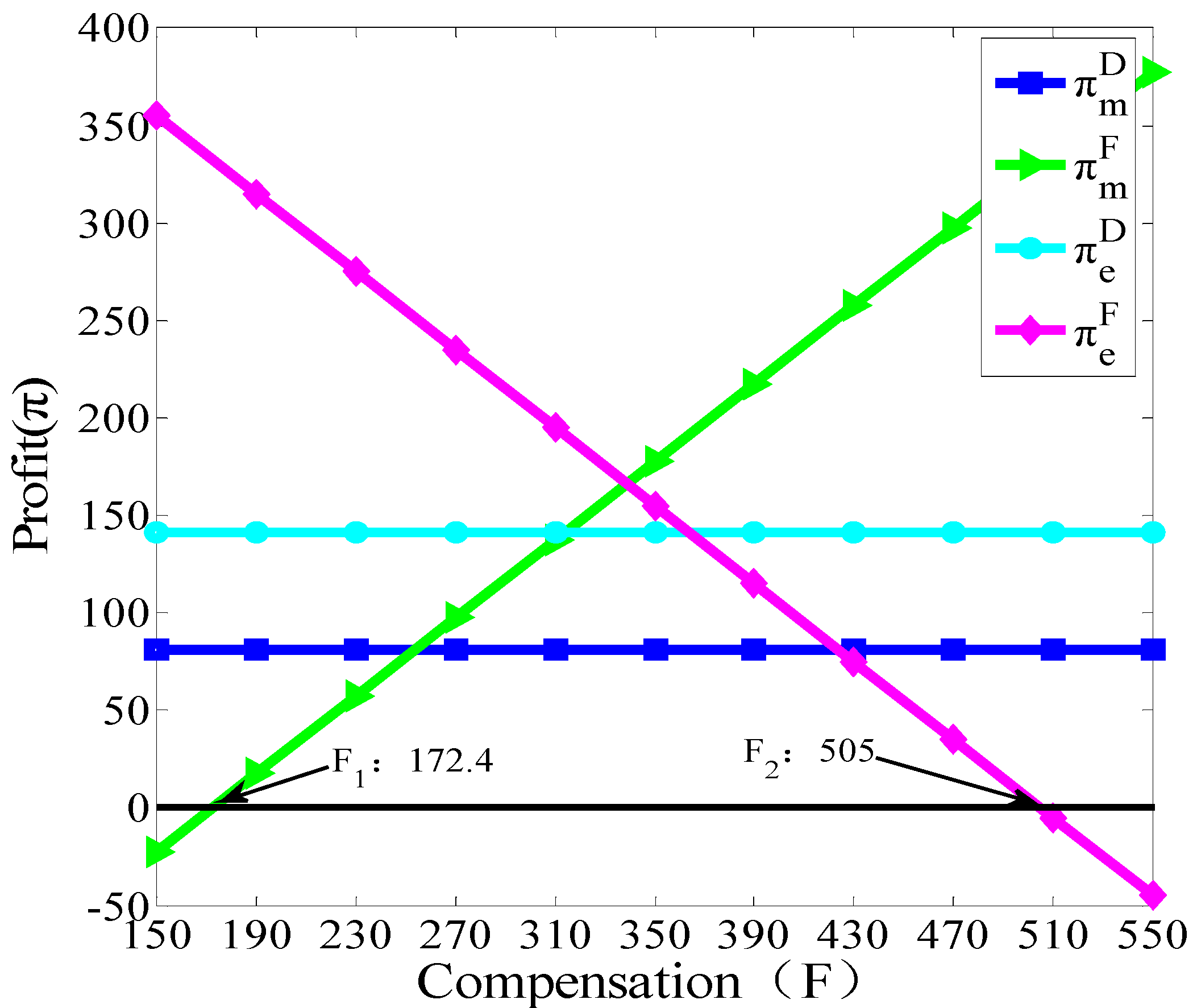
  • Earnings compensation F fall within a reasonable range, that is, F ( F 1 , F 2 ) ;
  • The optimal wholesale price is satisfied w F * = c .
Corollary 5.
(1)When β and δ  are lower, p F * <   p D * , q 1 F * >   q 1 D * and q 2 F * >   q 2 D * ; (2) When  β  and δ  are higher, p F * >   p D * , q 1 F * >   q 1 D * and q 2 F * >   q 2 D * .
Corollary 5 shows that, when the mass-additive factor and network externality strength are low, the supply chain invests in lower terminal product quality and telecommunications service levels under the two-way cost sharing and revenue compensation contract, which can attract ordinary consumers who prefer price; when the mass-additive factor and network externality strength are higher than a certain level, the quality of terminal products and telecommunications service quality will be improved to a certain extent, and the sales price of the product will also increase. At this time, although consumers buy products at a higher price, the quality level of the products and the perception of service experience are also improved, making it easier for consumers to accept relatively high sales prices. The result is a consumer inflow. Therefore, the supply chain should adopt the sales strategy of quality consumption, high quality and preferential price when facing high-end consumers with service preferences or quality preferences.

6. Numerical Simulation Analysis

In this section, a sensitivity analysis of the model proposed above is carried out through numerical simulation. Firstly, the influence of network externality intensity and of complementarity between terminal products and telecom services on the decision-making factors in the centralized mode and the decentralized mode is discussed. Then, the effect of the amount of revenue compensation on the profits of manufacturers and operators is verified. The basic parameters are assigned as follows. According to the mobile communication handset database on the official website of Zhongshang [57], the total number of mobile phone sales in China in 2021 was 16 (10,000,), and the total number of mobile phone sales in the first quarter of 2022 will reach nearly 14 (10,000). Therefore, we can set the potential market demand at a = 20 (10,000) and consumers’ sensitivity to quality at k = 1.2 [58]. The unit production cost for the terminal manufacturer is c = 0.2 (10,000) [59], the quality-effort cost coefficient of the terminal product is u 1 = 8 , and the quality-effort cost coefficient of the telecom service is u 2 = 7 [60]. Considering the cooperative innovation between enterprises from the perspective of practical significance, a fairer distribution coefficient is more conducive to promoting the willingness of both sides to actively cooperate; therefore, let θ 1 = 0.5 and θ 2 = 0.5.

6.1. Influence of Network Externality Strength

The total profit π s c c * of centralized decision making, the profit of manufacturer π m D * and the profit of operator π e D * under decentralized decision making, and the total profit π s c D * are affected by the network externality strength δ   , as shown in Figure 1. It can be seen that the profits of both centralized decision making and decentralized decision making increase with the increase in the strength of network externalities. The rise of network externalities means that consumers can obtain more synergistic value in social networks. They are more willing to choose the same products and services as the consumers around them, thus increasing the user experience. In addition, the existence of network externalities also affects the sales price of contract products. When the network externality is strong, the optimal sales price of contract products increases more rapidly under centralized decision making. As Figure 2 shows, there is a threshold. When δ is less than the threshold value, the sales price of contract products under a centralized decision is lower than that under a decentralized decision. In contrast, the sales price under a centralized decision is higher than that under a decentralized decision. Therefore, the vast user network and the sticky telecom business owned by telecom operators have played a positive role in the optimal sales price of contract products.

6.2. Influence of Mass-Additive Coefficient

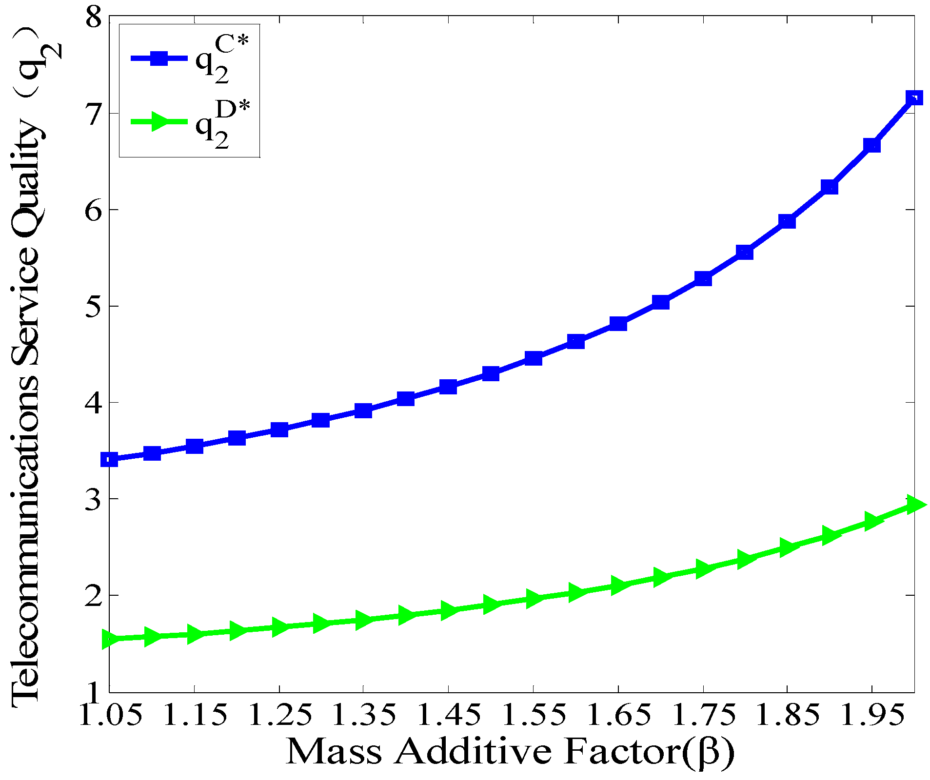
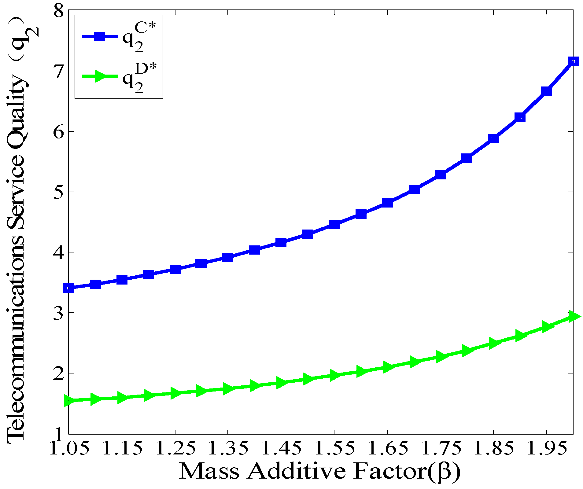
With the strengthening of the degree of complementarity of terminal products and telecom services, the quality of terminal products and telecom services under centralized and decentralized decision making increases. The enhancement of complementarity will increase consumers’ willingness to choose contract products to obtain synergistic effects. This encourages terminal manufacturers to invest more quality effort and develop products with a higher degree of matching with telecom operation services. Telecom operators are more inclined to launch high-quality and high-price combination services (see Figure 3 and Figure 4).
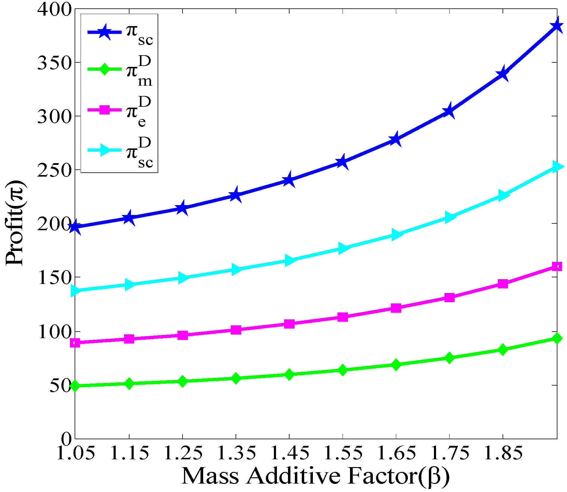
It can be seen from Figure 5 that, in each mode, with the increase in quality additivity, the overall profit of the supply chain and the profit of each subject increase. With the rise of quality additivity, consumers who originally wanted to buy terminal products or telecommunication services separately will be more inclined to purchase bundled contract products, increasing market demand, and the increase in market demand will further motivate manufacturers to improve product quality and service quality with operators.

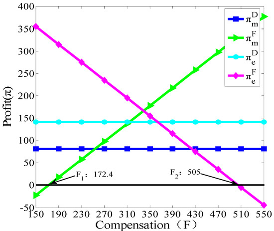
6.3. The Effect of Contract Mode on Profits

As can be seen from Figure 6, the profit of the terminal manufacturer gradually increases with the increase in the compensation amount from the operator. When the amount of income for manufacturers from operators is minor, the compact model of the terminal manufacturers’ profit is lower than under a centralized decision maker. At this time, the manufacturer will be more inclined to centralized decision making, rather than bear the operating cost for the operator. When the profit of the end manufacturer is greater than that from the centralized decision, the manufacturer will prefer the contract mode of cooperation.
In addition, for telecom operators, profits gradually decrease with the increase in the amount of compensation. A higher compensation extracted by the terminal manufacturers will be unfavorable to arouse the enthusiasm of telecom operators to improve the intensity of externality of the contract business network, thus restricting the profit growth of both parties after coordination. By comparing the influence of the compensation amount on the profits of both parties, it can be seen that, to make both parties accept this contract mode, the compensation amount needs to be guaranteed within a specific range, and the size of the compensation amount depends on the bargaining power of telecom operators and terminal manufacturers.
According to Figure 7, as the proportion of R&D costs shared by telecom operators for terminal manufacturers increases, the profits of operators and manufacturers do not change in the decentralized model. In contrast, the earnings of telecom operators decrease in the contract mode, and the earnings of terminal manufacturers increase with the increase in the proportion of R&D costs shared. As the proportion of terminal manufacturers’ sharing infrastructure costs with telecom operators increases, telecom operators’ profits gradually increase. The ratio of costs shared by both parties is realistic and reasonable. Contracts can ensure that the profits of the terminal manufacturers and the telecom operators are respectively greater than their profits under a centralized model.

6.4. Comparison of Supply Chain Optimal Decisions before and after Contract Coordination

By analyzing and comparing the optimal decision-making changes before and after the supply chain coordination, it is not difficult to find that, after the contract coordination, the sales price decision of the contracted products will be affected by the mass-additive factor and network externalities.
By observing Figure 8, the following conclusions can be drawn: (1) The quality of the supply chain after coordination of the terminal product quality and telecommunications service quality is always higher than before coordination. This harmonized contract can help incentivize terminal manufacturers and telecom operators to improve their respective quality levels. At the same time, we will launch contract products with a higher degree of matching. (2) When the mass-additive factor β is low ( β   <   β L b ), the sales price of the contracted product is lowered before it is coordinated. When the mass-additive factor β is higher than a certain level ( β > β L b ), the sales price of the contracted product will be higher than before the coordination. This phenomenon shows that, when the supply chain is coordinated, improving the complementarity between quality and service will stimulate consumers to buy bundled products while also increasing profits through higher sales prices. (3) When the network externality intensity δ is low ( δ   <   δ L a ), the sales price customized by the telecom operator after coordination is lower than the sales price before coordination. However, when the strength of network externalities δ is higher than a certain level ( δ > δ L a ), the higher synergistic value of the contracted product will be considered by the consumer. Telecom operators will set higher selling prices than before coordination to increase profits.

7. Conclusions

With the popularization of the 5G network and the success of pilot projects, the commercialization of 5G industry terminals has gradually accelerated, and terminal manufacturers are ready to take the lead in the market. At the same time, telecom operators play an important role in promoting consumer terminals in the 5G industry, which is not only the promoter of terminal ecology, but also the platform service provider. Therefore, the stickiness between terminal manufacturers and telecom operators is of great significance to the construction of a cooperative partner ecosystem and promoting the co-construction and sharing of resources. Based on this, this paper constructs a bundling model for a terminal manufacturer and a telecom operator. The Stackelberg game is used to discuss the optimal decisions of terminal manufacturers, telecom operators and the entire supply chain under the condition of network externalities in different channel models. The research shows that wholesale price, selling price, profit margin from the operator’s decision, terminal product quality and service quality monotonically decrease with the increase in quality margin and monotonically increase with the increase in product complementarity. Therefore, a combined contract of “two-way cost sharing and benefit compensation” was designed to coordinate the supply chain to encourage effective cooperation between both parties and achieve common development. Studies have shown that bundling complementary products can produce economies of scale and increase the manufacturer’s profit margins while allowing operators to increase sales prices. On the other hand, a higher degree of complementarity can encourage terminal manufacturers to develop and produce more forms of terminal products and optimize the service customization of telecom operators. In addition, the intensity of network externality also plays a positive role in the optimal decision of the supply chain system.
To summarize, the following suggestions for enterprise management are put forward:
(1)
The complementarity between terminal products and telecommunications services is an essential factor worthy of the attention of manufacturers and operators. The stronger the complementarity between the two, the greater the willingness of consumers to buy such bundled products with a contractual nature. The greater the market acceptance, the greater the overall revenue of the supply chain.
(2)
Terminal manufacturers should cooperate with telecom operators to take measures to increase the network externality of contract products. Manufacturers should constantly improve product innovation and develop more functional end-products to expand the scale of consumers. Telecom operators should introduce more affordable packages and optimize service processes to increase user engagement.
(3)
Telecom operation and terminal product research and development both require higher-cost investment. Both parties can share a certain proportion of the basic cost so that their respective interests can be improved to achieve a win-win situation.
This paper was carried out under the condition of determined demand, but in practice, bundled sales are often affected by consumer heterogeneity and market uncertainty. Future research could add randomness to the model. In addition, this paper only studies a supply chain consisting of a terminal manufacturer and a telecom operator and the bundled sales of products and services. Next, competition can be added into the model to study the issue of bundling products and services between competing terminal manufacturers and a telecommunications service provider, or the number of telecommunications service providers can be increased to study how terminal manufacturers choose competitive telecom service providers in the market.

Author Contributions

Conceptualization, Z.G.; methodology, Z.G. and L.Z.; software, L.Z.; validation, Z.G. and L.Z.; data curation, L.Z.; writing—original draft preparation, L.Z.; writing—review and editing, Z.G. and H.W.; supervision, Z.G. and H.W. All authors have read and agreed to the published version of the manuscript.

Funding

This research was funded by the Natural Science Foundation of Anhui Province (No. 2008085QG335).

Institutional Review Board Statement

Not applicable.

Informed Consent Statement

Not applicable.

Data Availability Statement

Not applicable.

Conflicts of Interest

The authors declare no conflict of interest.

Appendix A

Proof of Proposition 1.
Take the partial derivatives of p , q 1 , q 2 , in Formula (1), and obtain the third-order Hessian matrix of π s c concerning p , q 1 , and q 2 :
H 1 = [ 2 1 δ k β 1 δ k 1 δ k β 1 δ u 1 0 k 1 δ 0 u 2 ]
There are three leading principal minors, one of order 1: 2 1 δ < 0 ; one of order 2: 2 ( 1 δ ) u 1 k 2 β 2 ( 1 δ ) 2 > 0 ; one of order 3: k 2 ( β 2 u 2 + u 1 )   2 ( 1 δ ) u 1 u 2 ( 1 δ ) 2 < 0 . When the conditions are met: 2 ( 1 δ ) u 1 u 2 > k 2 ( β 2 u 2 + u 1 ) and 2 ( 1 δ ) u 1 > k 2 β 2 . This shows that H 1 is negative definite, indicating that π s c is a concave function for the three decision variables p , q 1 , and q 2 , and there is a unique optimal solution. Therefore, by simultaneously solving π s c p = 0 , π s c q 1 = 0 and π s c q 2 = 0 , P C * , q 1 c * and q 2 c * can be determined, respectively; substitute P C * , q 1 c * and q 2 c * into (1) to obtain π s c c * . Proposition 1 is proved. □
Proof of Proposition 2.
Using the reverse solution method. First, examine the second stage of the game. Taking the partial derivative of the wholesale price w and product quality q 1 in (6):
H 2 = [ 2 k β 1 δ k β 1 δ u 1 ]
H 2 can be obtained according to the conditions 2 ( 1 δ ) u 1 > k 2 β 2 , that is, there is a unique optimal solution. By π m D w = 0 and π m D q 1 = 0 , can be obtained separately;   w = u 1 ( 1 δ ) ( a + c n ) + β 2 k 2 c + kq 2 u 1 ( 1 δ ) 2 u 1 ( 1 δ ) k 2 β 2 and q 1 = β k ( a + c n ) + β 2 k 2 c 2 u 1 ( 1 δ ) k 2 β 2 can be substituted into Equation (7), and for Equation (7) n , q 2 , find partial derivatives; simultaneously, π e D n = 0 , π e D q 2 = 0 ; determine n D * = u 2 ( a c ) [ 2 u 1 ( 1 δ ) β 2 k 2 ] 4 u 1 u 2 ( 1 δ ) k 2 ( u 1 + 2 β 2 u 2 ) , q 2 D * = k ( a c ) u 1 4 u 1 u 2 ( 1 δ ) k 2 ( u 1 + 2 β 2 u 2 ) , and substitute n D * , q 2 D * into w , q 1 , can be obtained w D * = u 1 u 2 ( 1 δ ) ( a + 3 c ) + k 2 c ( 2 β 2 u 2 + u 1 ) 4 u 1 u 2 ( 1 δ ) k 2 ( u 1 + 2 β 2 u 2 ) , q 1 D * = k β ( a c ) u 2 4 u 1 u 2 ( 1 δ ) k 2 ( u 1 + 2 β 2 u 2 ) ; then, substitute the obtained n D * , q 2 D * , w D * , q 1 D * into (6) and (7) to obtain the optimal manufacturer’s profit π m D * and telecom operator’s profit under the decentralized model π e D * ; find the sum of the two, that is, the total system profit of the telecom supply chain under the decentralized model π s c D * = u 1 u 2 ( a c ) 2 [ 6 u 1 u 2 ( 1 δ ) k 2 ( u 1 + 3 β 2 u 2 ) ] 2 [ 4 u 1 u 2 ( 1 δ ) k 2 ( u 1 + 2 β 2 u 2 ) ] 2 . □
Proof of Pposition 3.
To realize the coordination of the telecom supply chain under the contract mode, it is necessary to make the supply chain decision under coordination to reach the optimal decision under the centralized model. That is, it needs to satisfy p F * = p C * , q 1 F * = q 1 C * , q 2 F * = q 2 C * . Firstly, for π e F in Equation (18), find the first-order optimal solution p as:
p F * = a + k β q 1 + kq 2 + w 2
Make p F * = p C * , q 1 F * = q 1 C * , q 2 F * = q 2 C * into equation w F * = c ; substitute p F * , q 1 F * , q 2 F * , w F * , respectively, in type (20) with the type (21). Obtain the manufacturer’s optimal contract mode profits π m F * =   F ( 1 θ 2 ) N + θ 1 u 1 k 2 2 A 2 E and the optimal profit of the operator π e F * = E u 1 u 1 ( θ 2 1 ) k 2 + 2 M N θ 2 2 A 2 F , and the total profit of the system in contract mode π s c F * = E 2 A . Comparing centralized decision making, we can obtain π s c F * = π s c c * , which shows that, under the hybrid contract of bidirectional cost sharing and benefit compensation, the total system profit of the contract mode can be equal to the whole system profit of the centralized model.
That is, π m F * π m D * and π e F * π e D * , so the inequalities are combined, and the following equations are obtained.
F F 2 = E M [ 4 M 2 u 1 k 2 ( 2 θ 2 1 ) + 4 N θ 2 ] + N 2 ( 1 2 θ 2 ) + u 1 k 2 ( u 1 θ 1 k 2 + 2 N θ 1 N θ 2 ) 2 A 2 2 N + u 1 k 2 4 M
F F 1 = E [ N 2 M 2 ( 2 N + u 1 k 2 4 M ) 2 N ( θ 2 1 ) u 1 θ 1 k 2 2 A 2 ]

References

  1. Zhang, M. Review and Development of 5G in 2019. Chin. Telecommun. 2020, 1, 24–27. [Google Scholar]
  2. Blake, R.; Michalkova, L.; Bilan, Y. Robotic Wireless Sensor Networks, Industrial Artificial Intelligence, and Deep Learning-assisted Smart Process Planning in Sustainable Cyber-Physical Manufacturing Systems. J. Self-Gov. Manag. Econ. 2021, 9, 48–61. [Google Scholar] [CrossRef]
  3. Nica, E.; Stehel, V. Internet of Things Sensing Networks, Artificial Intelligence-based Decision-Making Algorithms, and Real-Time Process Monitoring in Sustainable Industry 4.0. J. Self-Gov. Manag. Econ. 2021, 9, 35–47. [Google Scholar] [CrossRef]
  4. Li, Y.; Fadda, E.; Manerba, D.; Roohnavazfar, M.; Tadei, R.; Terzo, O. Online Single-Machine Scheduling via Reinforcement Learning. In Recent Advances in Computational Optimization; Fidanova, S., Ed.; WCO 2020 Studies in Computational Intelligence Book Series; Springer: Berlin/Heidelberg, Germany, 2020; Volume 986, pp. 103–122. [Google Scholar]
  5. Li, Y.; Fadda, E.; Manerba, D.; Tadei, R.; Terzo, O. Reinforcement Learning Algorithms for Online Single-Machine Scheduling. In Proceedings of the 2020 15th Conference on Computer Science and Information Systems (FedCSIS), Sofia, Bulgaria, 6–9 September 2020; Volume 21, pp. 277–283. [Google Scholar] [CrossRef]
  6. Hopkins, E.; Siekelova, A. Internet of Things Sensing Networks, Smart Manufacturing Big Data, and Digitized Mass Production in Sustainable Industry 4.0. Econ. Manag. Financ. Mark. 2021, 16, 28–41. [Google Scholar] [CrossRef]
  7. Balachander, S.; Ghosh, B.; Stock, A. Why bundle discounts can be a profitable alternative to competing on price promotions. Mark. Sci. 2010, 29, 624–638. [Google Scholar] [CrossRef]
  8. Alexandrov, A.; Bedre-Defolie, O. The equivalence of bundling and advance sales. Mark. Sci. 2014, 33, 259–272. [Google Scholar] [CrossRef][Green Version]
  9. Chen, X.; Wang, X. Free or Bundled: Channel Selection Decisions under Different Power Structures. Omger 2015, 53, 11–20. [Google Scholar] [CrossRef]
  10. Wang, X.; Sun, L.P.; Keh, H.T. Consumer responses to variety in product bundles: The moderating role of evaluation mode. Int. J. Res. Inmarketing 2013, 30, 335–342. [Google Scholar] [CrossRef]
  11. Resnikoff, P. Sony Skipping iTunes on Michael Jackson Release. Digital Music News, 13 October 2009. Available online: http://www.digitalmusicnews.com/stories/101309mj (accessed on 4 June 2022).
  12. Krueger, T.; Mata, A.; Ihmels, M. The presenter’s paradox revisited: An evaluation mode account. J. Consum. Res. 2014, 41, 1127–1136. [Google Scholar] [CrossRef]
  13. Maull, R.; Amant, A.; Ling, L.A. Process Model of Product Service Supply Chains. Prod. Plan. Control. 2014, 25, 1091–1106. [Google Scholar] [CrossRef]
  14. Fuentelsaz, L.; Maicas, J.P.; Polo, Y. Switching Costs, Network Effects, and Competition in the European Mobile Telecommunications Industry. Inf. Syst. Res. 2012, 23, 93–108. [Google Scholar] [CrossRef]
  15. Prasad, A.; Venkatesh, R.; Mahajan, V. Optimal Bundling of Technological Products with Network Externality. Manag. Sci. 2010, 56, 2224–2236. [Google Scholar] [CrossRef]
  16. Xu, B.; Yao, Z.; Tang, P.F. Pricing Strategies for Information Products with Network Effects and Complementary Services a Duopolistic Market. Int. J. Prod. Res. 2018, 56, 4243–4263. [Google Scholar] [CrossRef]
  17. Pang, M.S.; Etzion, H. Research Note-Analyzing Pricing Strategies for Online Services with Network Effects. Inf. Syst. Res. 2012, 23, 1364–1377. [Google Scholar] [CrossRef]
  18. Schmalensee, R. Gaussian demand and commodity bundling. J. Bus. 1984, 57, 221–230. [Google Scholar] [CrossRef]
  19. Banciu, M.; Gal-Or, E.; Mirchandani, P. Bundling strategies when products are vertically differentiated and capacities are limited. Manag. Sci. 2010, 56, 2207–2223. [Google Scholar] [CrossRef]
  20. Ma, M.; Mallik, S. Bundling of vertically differentiated products in a supply chaim. Decis. Sci. 2017, 48, 625–656. [Google Scholar] [CrossRef]
  21. Honhon, D.; Pan, X.A. Improving profits by bundling vertically differentiated products. Prod. Oper. Manag. 2017, 26, 1481–1497. [Google Scholar] [CrossRef]
  22. Ferrer, J.C.; Mora, H.; Olivares, F. On pricing of multiple bundles of products and services. Eur. J. Oper. Res. 2010, 206, 197–208. [Google Scholar] [CrossRef]
  23. Cao, Q.; Tang, Y.; Perera, S.; Zhang, J. Manufacturer-versus retailer-initiated bundling: Implications for the supply chain. Transp. Res. Part E: Logist. Transp. Rev. 2022, 157, 102552. [Google Scholar] [CrossRef]
  24. Zhou, J. Competitive bundling. Econometrica 2017, 85, 145–172. [Google Scholar] [CrossRef]
  25. Lin, X.; Zhou, Y.W.; Lin, Q. Pricing Strategies of Unbundling and Mixed-Bundling in a Two-Sided Market Under Stochastic Demand. APJOR 2020, 37, 1–26. [Google Scholar] [CrossRef]
  26. Moeany, M.; Allah, A.; Jolai, F. Bundle Pricing, Reservation and Refund Policies in a Two-Level Supply Chain. Sci. Iran. 2021, 1026–3098. [Google Scholar] [CrossRef]
  27. Lin, X.; Zhou, Y.W.; Xie, W.; Zhong, Y.; Cao, B. Pricing and Product-Bundling Strategies for E-Commerce Platforms with Competition. Eur. J. Oper. Res. 2020, 283, 1026–1039. [Google Scholar] [CrossRef]
  28. Zhang, Y.; Xiong, Z.; Niyato, D.; Wang, P.; Poor, H.V.; Kim, D.I. A game-theoretic analysis for complementary and substitutable IoT services delivery with externalities. IEEE Trans. Commun. 2019, 68, 615–629. [Google Scholar] [CrossRef]
  29. Lee, I. Pricing Models for the Internet of Things (IoT): Game Perspectives. Internet Things 2021, 15, 100405. [Google Scholar] [CrossRef]
  30. Wang, X.; Li, S.; Ni, D. Game Analysis of Telecom Service Quality and Pricing under Network Externalities. Syst. Eng. Theory Pract. 2013, 33, 910–917. [Google Scholar]
  31. Zhang, X.; Guan, Z.; Fan, Q.; Wang, D.; Dan, B. Pricing and coordination strategy of product service supply chain in telecommunications industry based on network externality. Chin. J. Manag. 2017, 14, 270–276. [Google Scholar]
  32. Hurkens, S.; Lopez, A.L. Mobile Termination, Network Externalities and Consumer Expectations. Econ. J. 2014, 124, 1005–1039. [Google Scholar] [CrossRef]
  33. Luo, X.; Li, M.; Feng, H.; Feng, N. Intertemporal mixed bundling strategy of information products with network externality. Comput. Ind. Eng. 2017, 113, 369–381. [Google Scholar] [CrossRef]
  34. Yi, Y.; Yang, H. Wholesale pricing and evolutionarily stable strategies of retailers under network externality. Eur. J. Oper. Res. 2017, 259, 37–47. [Google Scholar] [CrossRef]
  35. Liu, Y.; Liao, Y.W. Software Pricing Strategy under Online Rating and Network Effect. J. Manag. Sci. 2013, 26, 60–69. [Google Scholar]
  36. Huang, Y.S.; Fang, C.C.; Lin, P.C.; Liao, Y.C. Bundling and pricing decisions for bricks-and-clicks firms with consideration of network externality. J. Ind. Manag. Optim. 2021, 17, 2527. [Google Scholar] [CrossRef]
  37. Xu, B.; Yao, Z.; Wu, S. Pricing strategies for a bundled channel with services network effects. Int. J. Prod. Res. 2021, 59, 3152–3168. [Google Scholar] [CrossRef]
  38. Springel, K. Network externality and subsidy structure in two-sided markets: Evidence from electric vehicle incentives. Am. Econ. J. Econ. Policy 2021, 13, 393–432. [Google Scholar] [CrossRef]
  39. Wang, X.; Duan, L.; Zhang, J. Mobile social services with network externality: From separate pricing to bundled pricing. IEEE Trans. Netw. Sci. Eng. 2018, 6, 379–390. [Google Scholar] [CrossRef]
  40. Rong, K.; Ren, Q.; Shi, X. The determinants of network effects: Evidence from online games business ecosystems. Technol. Forecast. Soc. Change 2018, 134, 45–60. [Google Scholar] [CrossRef]
  41. Xu, X.; Dou, G.; Yu, Y. Government investment strategy and platform pricing decisions with the cross-market network externality. Kybernetes Int. J. Syst. Cybern. 2021, 50, 711–736. [Google Scholar] [CrossRef]
  42. Shao, L.; Liu, Q. Decision-Making and the Contract of the Complementary Product Supply Chain Considering Consumers’ Environmental Awareness and Government Green Subsidies. Int. J. Environ. Res. Public Health 2022, 19, 3100. [Google Scholar] [CrossRef]
  43. Xu, L.; Li, Y.; Govindan, K.; Yue, X. Return policy and supply chain coordination with network-externality effect. Int. J. Prod. Res. 2018, 56, 3714–3732. [Google Scholar] [CrossRef]
  44. Li, Y.F.; Wang, B.; Yang, D. Research on Supply Chain Coordination Based on Block Chain Technology and Customer Random Demand. Discret. Dyn. Nat. Soc. 2019, 2019, 4769870. [Google Scholar] [CrossRef]
  45. Bai, X.G.; Yang, H.B.; Shu, H.Y. Research on the application of multi-followers Stackelberg model to the telecom value-added service supply chain. China Commun. 2010, 7, 147–152. [Google Scholar]
  46. Buratto, A.; Cesaretto, R.; Giovanni, P.D. Consignment contracts with cooperative programs and price discount mechanisms in a dynamic supply chain. Int. J. Prod. Econ. 2019, 218, 72–82. [Google Scholar] [CrossRef]
  47. Wang, S.; Hu, Q.; Liu, W. Price and quality-based competition and channel structure with consumer loyalty. Eur. J. Oper. Res. 2017, 262, 563–574. [Google Scholar] [CrossRef]
  48. Evans, D.S. The antitrust economics of multi-sided platform markets. Yale J. Regul. 2012, 20, 325–381. [Google Scholar]
  49. Zhou, T.; Lu, Y. Examining mobile instant messaging user loyalty from the perspectives of network externalities and flow experience. Comput. Hum. Behav. 2011, 27, 883–889. [Google Scholar] [CrossRef]
  50. Luo, Z.; Chen, X.; Kai, M. The effect of customer value and power structure on retail supply chain product choice and pricing decisions. Omega 2018, 77, 115–126. [Google Scholar] [CrossRef]
  51. Wang, D.P.; Zhu, M.Y.; Wang, T.T. Research on the cost sharing contract of fresh-product supply chain’s fresh-keeping efforts. Ind. Eng. Manag. 2020, 25, 36–43. [Google Scholar]
  52. Chen, X.; Li, B.; Wu, S. Supply chain decisions: A risk-averse manufacturer under demand information asymmetry. J. Ind. Eng. Eng. Manag. 2021, 35, 234–249. [Google Scholar]
  53. Cai, X.; Chen, J.; Xiao, Y.; Xu, X. Optimization and coordination of fresh product supply chains with freshness-keeping effort. Prod. Oper. Manag. 2010, 19, 261–278. [Google Scholar] [CrossRef]
  54. Chakraborty, T.; Chauhan, S.S.; Ouhimmou, M. Cost-sharing mechanism for product quality improvement in a supply chain under competition. Int. J. Prod. Econ. 2019, 208, 566–587. [Google Scholar] [CrossRef]
  55. Fan, J.C.; Ni, D.B.; Fang, X. Liability cost sharing, product quality choice, and coordination in two-echelon supply chains. Eur. J. Oper. Res. 2020, 284, 514–537. [Google Scholar] [CrossRef]
  56. Cai, J.; Hu, X.; Tadikamalla, P.R.; Shang, J. Flexible contract design for VMI supply chain with service-sensitive demand: Revenue-sharing and supplier subsidy. Eur. J. Oper. Res. 2017, 261, 143–153. [Google Scholar] [CrossRef]
  57. Chinese Commerce Website Communication Handset (Mobile Phone) Database. Available online: https://s.askci.com/data/industry/a02092o/ (accessed on 4 June 2022).
  58. Gao, J.; Xiao, Z.; Wei, H. Competition and coordination in a dual-channel green supply chain with an eco-label policy. Comput. Ind. Eng. 2021, 153, 107057. [Google Scholar] [CrossRef]
  59. Discovery Report Website. [Huatai Securities] Xiaomi Group-W Optimistic about Smartphone Profit Margins and Smart Electric Vehicles. Available online: https://www.fxbaogao.com/pdf?id=2811131&query=&index=0&pid= (accessed on 4 June 2022).
  60. Meng, X.L.; Wu, A.J.; Yang, J. The Research on the Equilibrium Model of Online Shopping Supply Chain Considering Consumer Perceived Levels of the Quality. Ind. Eng. Manag. 2020, 25, 161–170. [Google Scholar]
Figure 1. Network externality and profit relationship diagram.
Figure 1. Network externality and profit relationship diagram.
Sustainability 14 07790 g001
Figure 2. The relationship between network externality and sales price.
Figure 2. The relationship between network externality and sales price.
Sustainability 14 07790 g002
Figure 3. Influence of quality additivity on product quality.
Figure 3. Influence of quality additivity on product quality.
Sustainability 14 07790 g003
Figure 4. Influence of quality additivity on service quality.
Figure 4. Influence of quality additivity on service quality.
Sustainability 14 07790 g004
Figure 5. Influence of quality additivity on profit.
Figure 5. Influence of quality additivity on profit.
Sustainability 14 07790 g005
Figure 6. Influence of revenue compensation amount on profit.
Figure 6. Influence of revenue compensation amount on profit.
Sustainability 14 07790 g006
Figure 7. The effect of share ratio on profit.
Figure 7. The effect of share ratio on profit.
Sustainability 14 07790 g007
Figure 8. Changes in optimal decisions before and after coordination. (a) The impact of the complementarity of product quality and service quality on decision variables. (b) The effect of network externality strength on decision variables.
Figure 8. Changes in optimal decisions before and after coordination. (a) The impact of the complementarity of product quality and service quality on decision variables. (b) The effect of network externality strength on decision variables.
Sustainability 14 07790 g008
Table 1. Description of parameters.
Table 1. Description of parameters.
ParametersDescription
D market demand
p sales price of contract products
a potential market demand
k sensitivity of consumers to the quality of contract products
w wholesale price
c unit cost of production by a manufacturer
β mass - additive   factor   ( β     1 )
q 1 , q 2 terminal product/telecommunications service quality
u 1 , u 2 product/service quality-effort cost coefficient
δ network   externality   strength   ( 0 < δ < 1 )
n marginal profit
π m , π e manufacturer profit/operator profit
θ 1 the manufacturer’s share of the operator’s cost ratio
θ 2 operator’s share of manufacturer’s cost ratio
F operator-to-manufacturer compensation
Publisher’s Note: MDPI stays neutral with regard to jurisdictional claims in published maps and institutional affiliations.

Share and Cite

MDPI and ACS Style

Gao, Z.; Zhao, L.; Wang, H. Supply Chain Coordination of Product and Service Bundling Based on Network Externalities. Sustainability 2022, 14, 7790. https://doi.org/10.3390/su14137790

AMA Style

Gao Z, Zhao L, Wang H. Supply Chain Coordination of Product and Service Bundling Based on Network Externalities. Sustainability. 2022; 14(13):7790. https://doi.org/10.3390/su14137790

Chicago/Turabian Style

Gao, Zhenhua, Luyao Zhao, and Hongjun Wang. 2022. "Supply Chain Coordination of Product and Service Bundling Based on Network Externalities" Sustainability 14, no. 13: 7790. https://doi.org/10.3390/su14137790

APA Style

Gao, Z., Zhao, L., & Wang, H. (2022). Supply Chain Coordination of Product and Service Bundling Based on Network Externalities. Sustainability, 14(13), 7790. https://doi.org/10.3390/su14137790

Note that from the first issue of 2016, this journal uses article numbers instead of page numbers. See further details here.

Article Metrics

Back to TopTop