A Symbiotic System of Irrigated Rice–Earthworm Improves Soil Properties and Rice Growth in Southern China
Abstract
1. Introduction
2. Materials and Methods
2.1. Experiment Site
2.2. Experiment Design
2.2.1. Field Experiment
2.2.2. Pot Experiment
2.3. Sampling and Measurement
2.3.1. Number and Distribution of Earthworms
2.3.2. Physical and Chemical Properties of Soil
2.3.3. Growth Characteristics of Rice
2.4. Data Processing
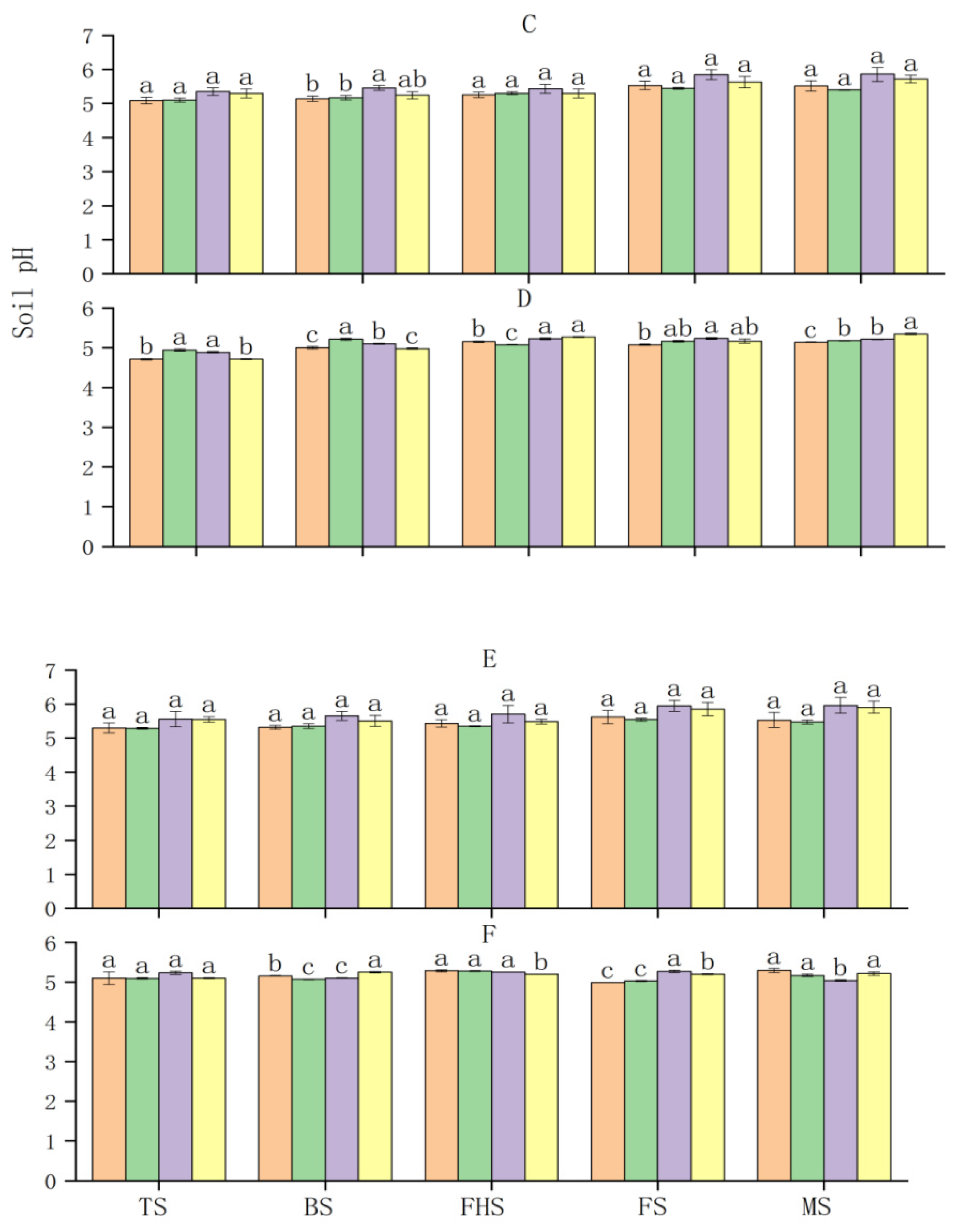
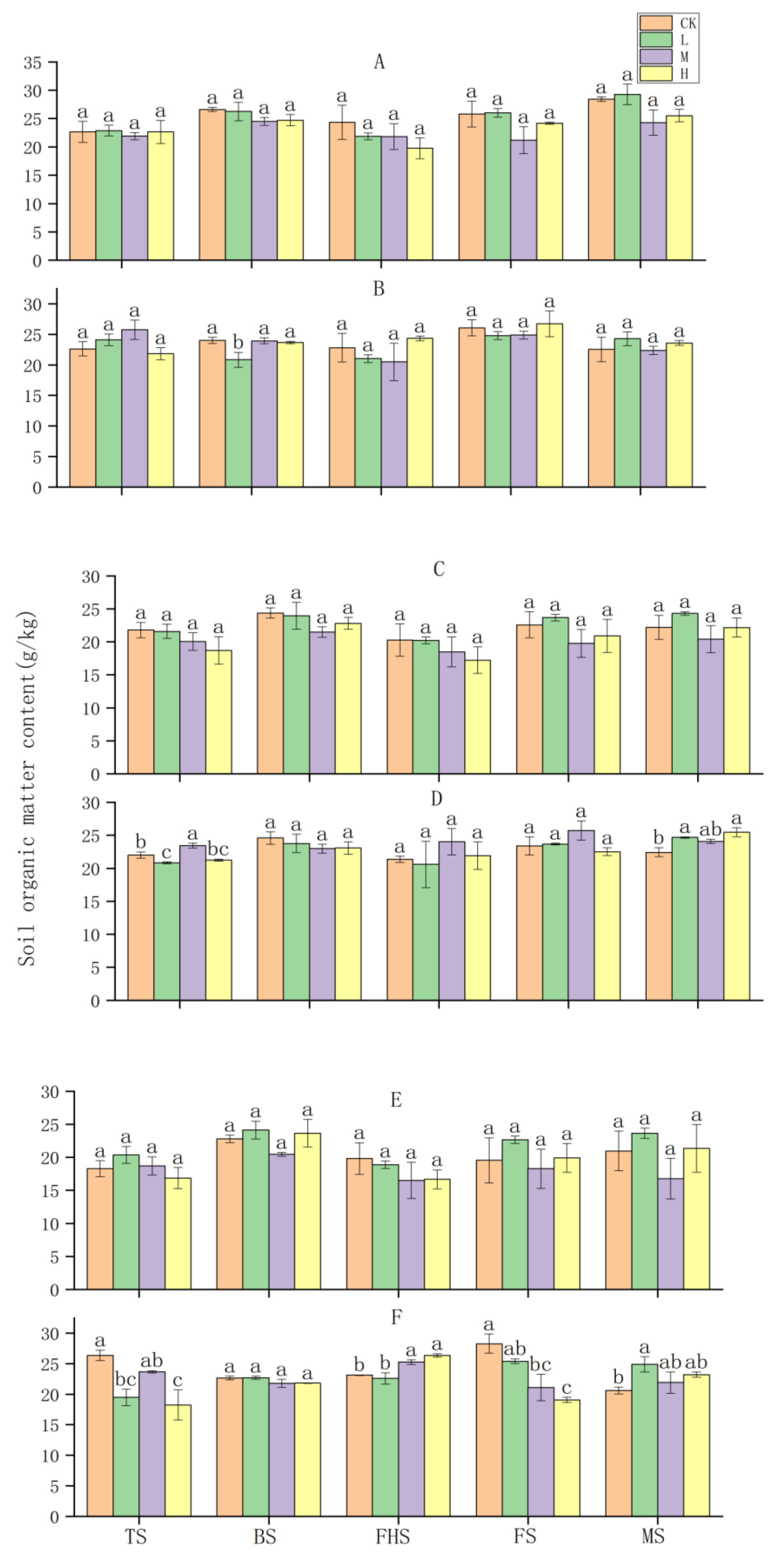
3. Results
3.1. Number and Distribution of Earthworms
3.2. Effects of Earthworm Inoculation on Soil Physical and Chemical Properties
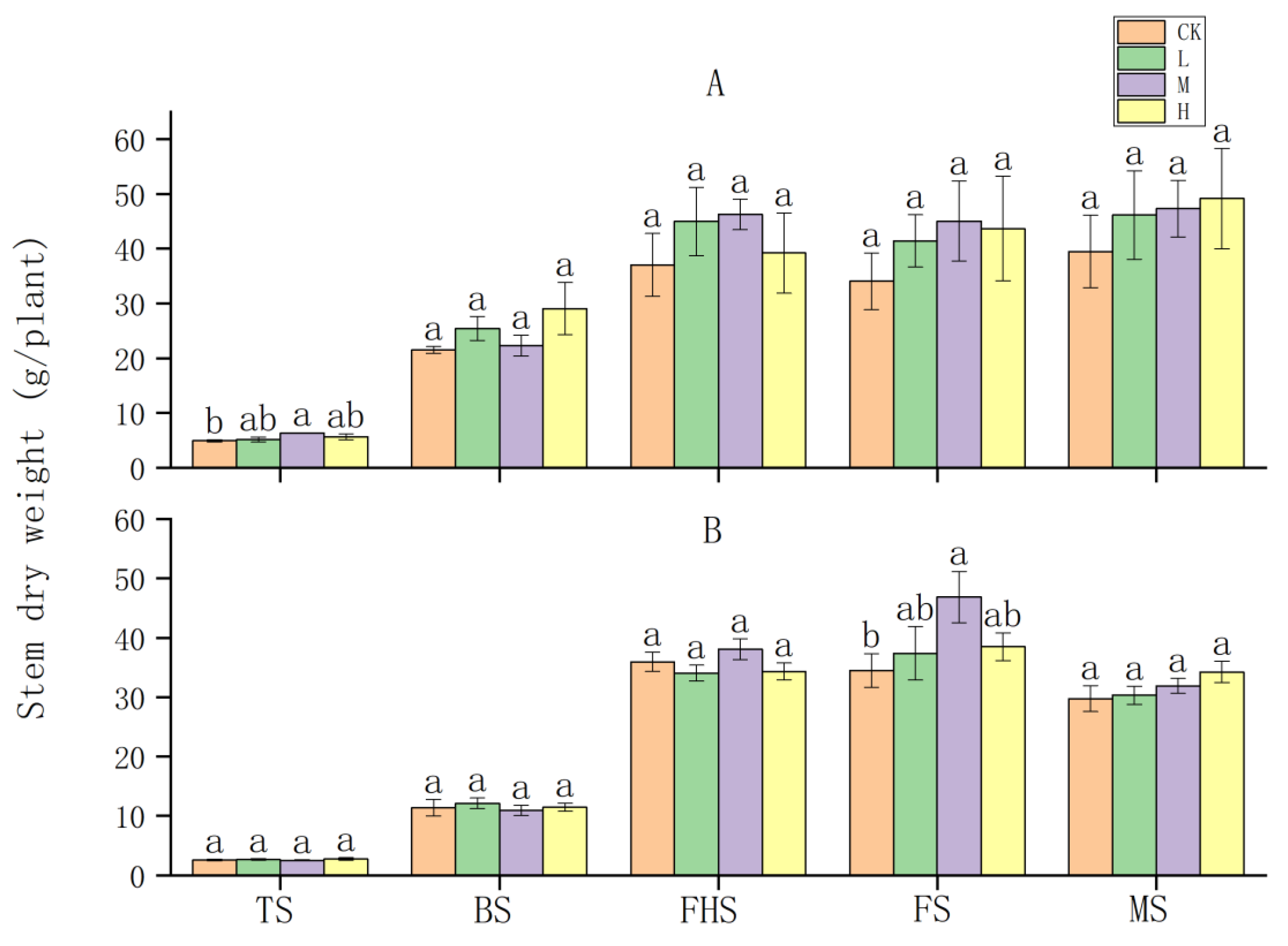
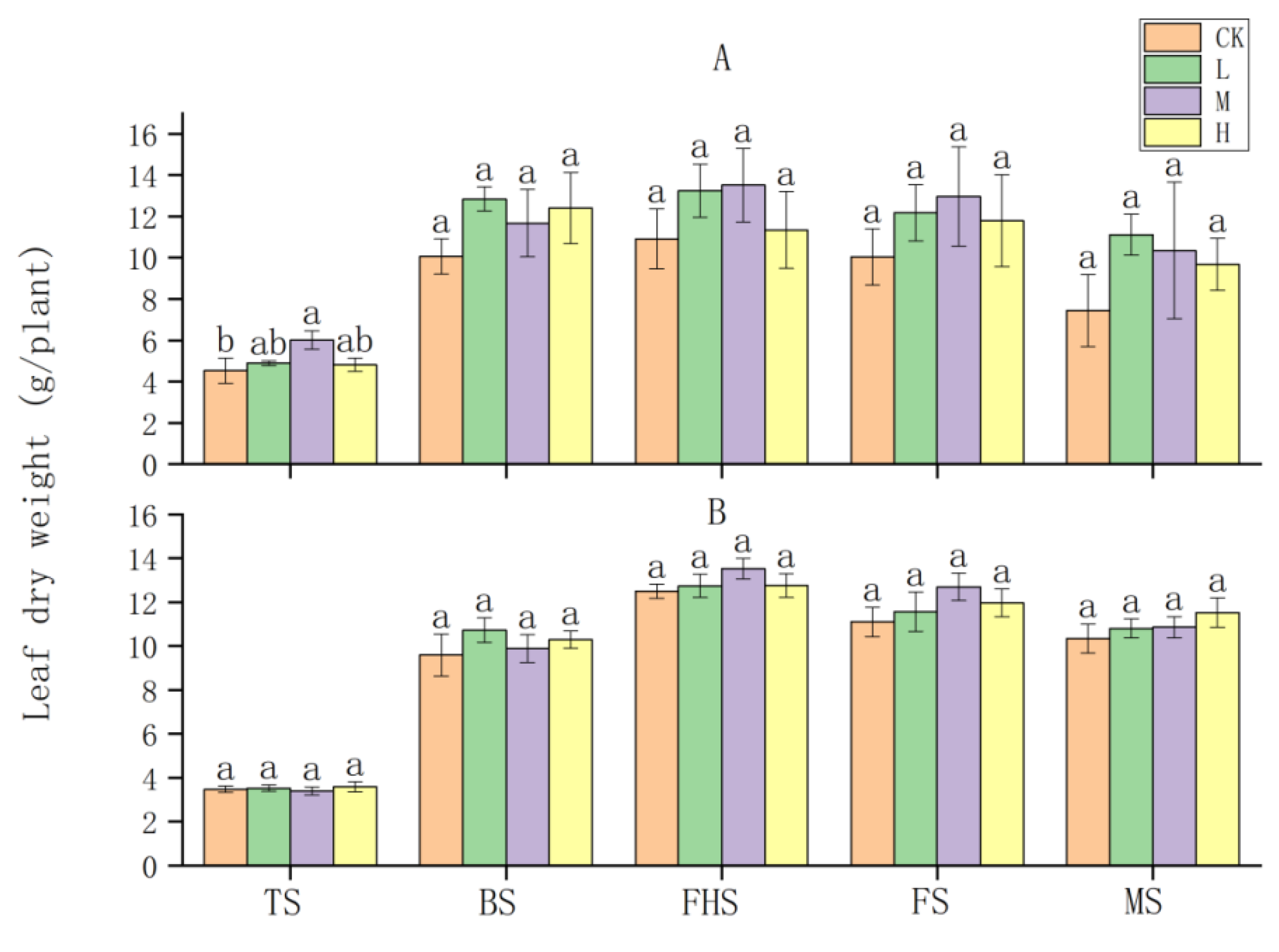
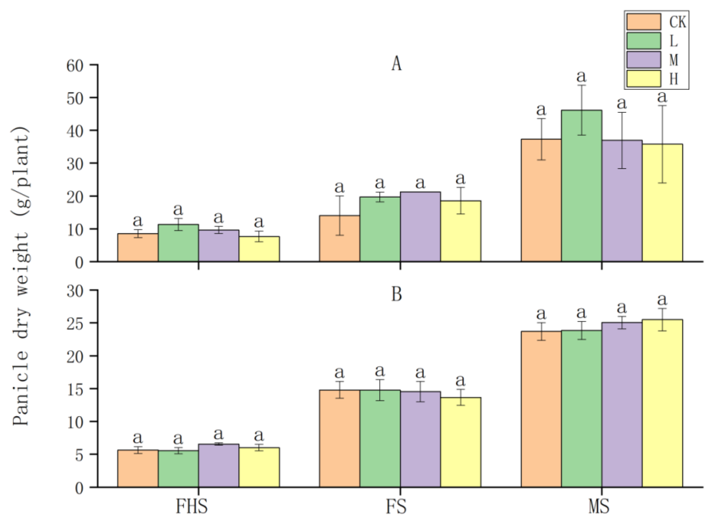
3.3. Effects of Earthworm Inoculation on Growth Characteristics of Rice
4. Discussion
4.1. Adaptability of Earthworm
4.2. Earthworm Inoculation Improved Paddy Soil Properties
4.3. Earthworm Inoculation Improved Irrigated Rice Growth
4.4. Prospect of Irrigated Rice–Earthworm Symbiotic System
5. Conclusions
Author Contributions
Funding
Institutional Review Board Statement
Informed Consent Statement
Data Availability Statement
Acknowledgments
Conflicts of Interest
References
- Liu, S. Analysis of rice production situation in the world and China. Xin Nongye 2020, 20, 14–16. [Google Scholar]
- Zhu, D.F.; Zhang, Y.P.; Chen, H.Z.; Wang, Y.L. Development and prospect of cultivation technology of rice in China. China Rice 2021, 27, 45–49. [Google Scholar] [CrossRef]
- Liu, H.T.; Guo, X.X.; Cheng, S.K.; Zhen, L.; Liu, X.J. Environment, Resource Properties and Corresponding Cost of Arable Land Resulted from Grain Production in China. Chin. J. Environ. Manag. 2019, 11, 67–70+78. [Google Scholar] [CrossRef]
- Liu, D.; Gong, Q.W.; Yang, W.J. The Evolution of Farmland Protection Policy and Optimization Path from 1978 to 2018. Chin. Rural Econ. 2018, 12, 37–51. [Google Scholar]
- Hu, Y.J.; Kong, X.B.; Zhang, Y.Z. Strategies for Soil Fertility Improvement of Arable Land in China. Strateg. Study CAE 2018, 20, 84–89. [Google Scholar] [CrossRef]
- Li, M.J.; Li, R.H.; Liu, S.W.; Zhang, J.E.; Luo, H.; Qiu, S.Q. Rice-duck co-culture benefits grain 2-acetyl-1-pyrroline accumulation and quality and yield enhancement of fragrant rice. Crop J. 2019, 7, 419–430. [Google Scholar] [CrossRef]
- Guo, L.; Hu, L.L.; Zhao, L.F.; Shi, X.Y.; Ji, Z.J.; Ding, L.L.; Ren, W.Z.; Zhang, J.; Tang, J.J.; Chen, X. Coupling Rice with Fish for Sustainable Yields and Soil Fertility in Chin. Chin. J. Rice Sci. 2021, 27, 175–184. [Google Scholar] [CrossRef]
- Lv, G.D.; Huang, H.; Liang, Y.G.; Wang, R.; Zhou, J.; Long, B.Q.; Yang, F.X. Effects of Chinese Milk Vent Returning to Field Coupled with Rice-Fish Symbiosis on Soil Nutrients and Rice Yield. Southwest China J. Agric. Sci. 2020, 33, 1729–1735. [Google Scholar] [CrossRef]
- Lan, G.J.; Hu, X.F.; Cheng, C.; Luo, F.; Lu, S.W.; Zhao, J.L.; Zhang, W.J. Effects of Raising Duck in Paddy Field on Soil Nutrients and Rice Pests and Diseases Control. Acta Pedol. Sin. 2021, 58, 1299–1310. [Google Scholar] [CrossRef]
- Yu, J.X.; Li, W.; Liu, J.S.; Xiong, F.; Yuan, J.; Zhang, T.L. Effects of rice and shrimp integrated cultivation on soil fertility and metal elements content in paddy fields. J. Fish. China 2021, 45, 453–461. [Google Scholar] [CrossRef]
- Lim, S.L.; Wu, T.Y.; Lim, P.N.; Shak, K.P. The use of vermicompost in organic farming: Overview, effects on soil and economics. J. Sci. Food Agric. 2015, 95, 1143–1156. [Google Scholar] [CrossRef] [PubMed]
- Cai, S.M.; Xu, S.X.; Zhang, D.S.; Gu, F.J.; Lv, W.G.; Zheng, X.Q.; Zhu, H.T. Effect of cauliflower-earthworm cooperation on soil ecological quality in saline-alkali land of intertidal zone. Chin. J. Soil Sci. 2018, 49, 1191–1197. [Google Scholar] [CrossRef]
- Yuan, X.H.; Zhou, Y.L.; Song, Q.Z.; Tuo, H.M.; Ma, Q.Q.; Wang, Y.D. Variations of soil physical-chemical properties and the diversity of actinomycetes during the process of swallowing of earthworms. Acta Ecol. Sin. 2017, 37, 1199–1210. [Google Scholar] [CrossRef][Green Version]
- Dong, Z.J.; Zhang, D.H.; Yang, Y.Y.; Hou, L.; Zhang, S.L. Effects of earthworm activities on soil nutrients in forest lands of the Qinling Mountains. J. Southwest For. Univ. 2020, 40, 100–107. Available online: http://en.cnki.com.cn/Article_en/CJFDTotal-YNLX202005014.htm (accessed on 5 April 2022).
- Lucero, M.; Juan, J.J.; Neuza, A.; Richard, J.T.; Thibaud, D. What happens to earthworm casts in the soil? A field study of carbon and nitrogen dynamics in Neotropical savannah. Soil Biol. Biochem. 2006, 39, 757–767. [Google Scholar] [CrossRef]
- Li, Y.J.; Xie, X.F.; Kong, L.Z.; Feng, M. Effect of earthworm raising on soil available nutrient, soil enzyme activity and density of fine roots of Hevea brasiliensis in rubber plantations. Chin. J. Trop. Agric. 2019, 39, 61–65. Available online: http://en.cnki.com.cn/Article_en/CJFDTotal-RDNK201902012.htm (accessed on 6 April 2022).
- Wu, Y.F.; Ju, J.; Fu, W.H.; Xia, S.Q.; Wei, J.; Sun, P.P.; Zhang, K.M.; Zhao, H.T.; Feng, K. Effect of earthworm swallowing on the tetracycline degradation and accumulation of macro-mineral element in sewage sludge. Chin. J. Environ. Eng. 2019, 13, 2990–2997. [Google Scholar] [CrossRef]
- Iteb, B.; Sabrine, H.; Vanessa, A.; Alexandre, L.; Stéphanie, G.M.; Hamadi, B.; Mohamed, B.; Noureddine, B. Use of earthworms Eisenia andrei on the bioremediation of contaminated area in north of Tunisia and microbial soil enzymes as bioindicator of change on heavy metals speciation. J. Soils Sediments 2019, 19, 296–309. [Google Scholar] [CrossRef]
- Van Groenigen, J.W.; Lubbers, I.M.; Vos, H.M.J.; Brown, G.G.; De Deyn, G.B.; van Groenigen, K.J. Earthworms increase plant production: A meta-analysis. Sci. Rep. 2014, 4, 6365. [Google Scholar] [CrossRef]
- Mo, Y.X.; Zhang, H.H.; Tian, H.Y.; Deng, B.N.; Huang, J.; Luo, A.X.; Fan, Y.J. Effects of vermicompost on antioxidant capacity and secondary metabolites of Dendrobium officinale. Chin. J. Appl. Environ. Biol. 2017, 23, 642–647. Available online: http://en.cnki.com.cn/Article_en/CJFDTotal-YYHS201704008.htm (accessed on 8 April 2022).
- Zhang, J.Q.; Li, S.X.; Zheng, X.Q.; Zhang, H.L.; Bai, N.L.; Zhang, H.Y.; Lv, W.G. Effects of earthworms on watermelon Fusarium wilt and its mechanism. Jiangsu J. Agric. Sci. 2020, 36, 70–76. Available online: http://en.cnki.com.cn/Article_en/CJFDTotal-JSNB202001011.htm (accessed on 7 April 2022).
- Noguera, D.; Barot, S.; Laossi, K.R.; Cardoso, J.; Lavelle, P.; Carvalho, M.H.C.D. Biochar but not earthworms enhances rice growth through increased protein turnover. Soil Biol. Biochem. 2012, 52, 13–20. [Google Scholar] [CrossRef]
- Agapit, C.; Gigon, A.; Blouin, M. Earthworm effect on root morphology in a split root system. Plant Biosyst. 2017, 152, 780–786. [Google Scholar] [CrossRef]
- Zhang, J.; Hu, F.; Li, H.; Gao, Q.; Song, X.; Ke, X.; Wang, L. Effects of earthworm activity on humus composition and humic acid characteristics of soil in a maize residue amended rice–wheat rotation agroecosystem. Appl. Soil Ecol. 2011, 51, 1–8. [Google Scholar] [CrossRef]
- John, K.; Janz, B.; Kiese, R.; Wassmann, R.; Zaitsev, A.S.; Wolters, V. Earthworms offset straw-induced increase of greenhouse gas emission in upland rice production. Sci. Total Environ. 2020, 710, 136352. [Google Scholar] [CrossRef] [PubMed]
- Ratsiatosika, O.; Razafindrakoto, M.; Razafimbelo, T.; Rabenarivo, M.; Becquer, T.; Bernard, L.; Trap, J.; Blanchart, E. Earthworm Inoculation Improves Upland Rice Crop Yield and Other Agrosystem Services in Madagasca. Agriculture 2021, 11, 60. [Google Scholar] [CrossRef]
- Jouquet, P.; Hartmann, C.; Choosai, C.; Hanboonsong, Y.; Brunet, D.; Montoroi, J.P. Different effects of earthworms and ants on soil properties of paddy fields in North-East Thailand. Paddy Water Environ. 2008, 6, 381–386. [Google Scholar] [CrossRef]
- Choosai, C.; Jouquet, P.; Hanboonsong, Y.; Hartmann, C. Effects of earthworms on soil properties and rice production in the rainfed paddy fields of Northeast Thailand. Appl. Soil Ecol. 2010, 45, 298–303. [Google Scholar] [CrossRef]
- Liang, Y.G.; Chen, L.; Liao, X.; Chen, Y.S.; Hu, Y.L.; Yu, Z.J.; Chen, C.; Huang, H. Effects of earthworm breeding under rice ridge cultivation on the growth and yield of rice. Chin. J. Ecol. 2020, 39, 3285–3294. [Google Scholar] [CrossRef]
- Chen, B.; Ao, H.J.; Zeng, X.S. Analysis of changes in sown area and yield of rice in China from 2009 to 2018. J. Hunan Agric. Univ. Nat. Sci. 2021, 47, 495–500. [Google Scholar] [CrossRef]
- Bao, S.D. Soil and Agricultural Chemistry Analysis; China Agriculture Press: Beijing, China, 2000. [Google Scholar]
- Huang, G.Q.; Yang, B.J.; Wang, S.B.; Huang, X.Y.; Zhang, Z.F.; Yao, Z.; Huang, L.X.; Zhao, Q.G. Effect of Rice Field Conservation Tillage on Rice Yield, Soil Physical and Chemical and Biological Properties. Acta Ecol. Sin. 2015, 35, 1225–1234. [Google Scholar] [CrossRef][Green Version]
- Zhang, Y.; Yu, Z.J.; Lv, G.D.; Wang, R.; Chen, C.; Huang, H.; Chen, Z.F. Effects of Duck Varieties on Growth Characteristics of Rice in Rice-Duck Symbiosis System. Chin. J. Ecol. 2022, 41, 58–65. [Google Scholar] [CrossRef]
- Lang, Y.S.; Zheng, F.Q. Breeding Technology and Application of Earthworm; Science and Technology Literature Press: Beijing, China, 2009. [Google Scholar]
- Shan, J. Degradation and Transformation of Soil Organic Matter and Phenolic Organic Pollutants by Geophagous Earthworms; Nanjing University: Nanjing, China, 2011. [Google Scholar]
- Li, H.X.; Hu, F.; Shen, Q.R.; Chen, X.Y.; Cang, L.; Wang, X. Effect of earthworm inoculation on soil carbon and nitrogen dynamics and on crop yield with application of corn residues. Chin. J. Appl. Ecol. 2002, 13, 1637–1641. [Google Scholar] [CrossRef]
- Zhang, C.; Zhou, B.; Wu, J.L.; Lv, M.R.; Chen, X.F.; Yuan, Z.Y.; Xiao, L.; Dai, J. Application of earthworms on soil remediation in southern China. Chin. Biodivers. 2018, 26, 1091–1102. [Google Scholar] [CrossRef][Green Version]
- Liu, Y.F.; Yang, L.J.; Wang, H.; Wang, X.X. Application effect and research progress of vermicompost in agricultural production. Chin. J. Soil Sci. 2021, 52, 474–484. [Google Scholar] [CrossRef]
- Butt, K.R.; Lowe, C.N. Controlled Cultivation of Endogeic and Anecic Earthworms; Springer: Berlin/Heidelberg, Germany, 2011. [Google Scholar] [CrossRef]
- Van Groenigen, J.W.; Van Groenigen, K.J.; Koopmans, G.F.; Stokkermans, L.; Vos, H.M.J.; Lubbers, I.M. How fertile are earthworm casts? A meta-analysis. Geoderma 2018, 338, 525–535. [Google Scholar] [CrossRef]
- Wang, X.; Wang, S.; Teng, M.J.; Lin, X.F.; Wu, D.; Sun, J.; Jiao, J.G.; Liu, M.Q.; Hu, F. Impacts of two typical earthworms on soil microbial community structure and physicochemical properties in a greenhouse vegetable field. Acta Ecol. Sin. 2017, 37, 5146–5156. [Google Scholar] [CrossRef]
- Cao, W. Occurrence characteristics and control of Branchiura sowerbyi Beddard in rice paddy. Nong Min Zhi Fu Zhi You 2013, 12, 68. [Google Scholar]
- Wu, D.; Liu, M.Q.; Jiao, J.G.; Xue, L.H.; Yang, L.Z. Effects of inoculating earthworm into facility vegetable field on spinach yield and quality following organic manure amendments. Jiangsu J. Agric. Sci. 2018, 34, 411–417. [Google Scholar] [CrossRef]
- Kong, L.Y.; Li, G.; Li, Y.; Wang, T.; Liu, M.Q.; Jiao, J.G.; Hu, F.; Li, H.X. Effects of Earthworm and Bacteria-feeding Nematodes on Soil Quality and Peanut Yield in Upland Red Soil. Soils 2013, 45, 1306–1312. [Google Scholar] [CrossRef]
- Song, k.; Sun, L.J.; Lv, W.G.; Zheng, X.Q.; Sun, Y.F.; William, T.; Qin, Q.; Xue, Y. Earthworms accelerate rice straw decomposition and maintenance of soil organic carbon dynamics in rice agroecosystems. PeerJ 2020, 8, e9870. [Google Scholar] [CrossRef] [PubMed]
- Huang, M.; Zhou, X.F.; Xie, X.B.; Zhao, C.R.; Chen, J.N.; Cao, F.B.; Zou, Y.B. Rice Yield and the Fate of Fertilizer Nitrogen as Affected by Addition of Earthworm Casts Collected from Oilseed Rape Fields: A Pot Experiment. PLoS ONE 2017, 11, e0167152. [Google Scholar] [CrossRef] [PubMed]
- Zhang, H.C.; Hu, Y.J.; Yang, J.C.; Dai, Q.G.; Huo, Z.Y.; Xu, K.; Wei, H.Y.; Gao, H.; Guo, B.W.; Xing, Z.P.; et al. Development and Prospect of Rice Cultivation in China. Chin. Agric. Sci. 2021, 54, 1301–1321. [Google Scholar] [CrossRef]
- Huang, H.; Fu, Z.Q.; Liu, X.Y.; Chen, C.; Huang, X.G.; Wang, H.; Dai, Z.Y.; Yu, Z.J.; Liao, X.L.; Zhang, Y.; et al. On Farmland Ecological Planting and Breeding Project. Crop Res. 2019, 33, 339–345. [Google Scholar] [CrossRef]
















| Experiment Type | Soil Depth (cm) | pH | Total Nitrogen (g/kg) | Total Phosphorus (g/kg) | Total Potassium (g/kg) | Available Nitrogen (mg/kg) | Available Phosphorus (mg/kg) | Available Potassium (mg/kg) | Organic Matter (g/kg) |
|---|---|---|---|---|---|---|---|---|---|
| Field experiment | 0–5 | 5.23 | 0.14 | 0.36 | 7.8 | 151.73 | 5.86 | 130.0 | 23.18 |
| 5–10 | 5.53 | 0.15 | 0.36 | 7.8 | 130.43 | 4.69 | 83.3 | 21.28 | |
| 10–20 | 5.65 | 0.14 | 0.32 | 8.0 | 139.77 | 6.38 | 70.0 | 18.44 | |
| Pot experiment | 0–5 | 5.68 | 0.22 | 0.65 | 7.5 | 128.10 | 18.41 | 96.7 | 22.29 |
| 5–10 | 5.63 | 0.19 | 0.61 | 7.7 | 137.78 | 16.38 | 120.0 | 22.01 | |
| 10–20 | 5.47 | 0.18 | 0.68 | 7.7 | 145.60 | 15.86 | 136.7 | 25.04 |
| Experiment Type | Treatment | Soil Depth (cm) | TS | BS | FHS | FS | MS |
|---|---|---|---|---|---|---|---|
| Field experiment | CK | 0–5 | 0 | 0 | 0 | 0 | 0 |
| 5–10 | 0 | 0 | 0 | 0 | 0 | ||
| 10–20 | 0 | 0 | 0 | 0 | 0 | ||
| L | 0–5 | 97 | 10 | 0 | 0 | 0 | |
| 5–10 | 0 | 0 | 0 | 0 | 0 | ||
| 10–20 | 0 | 0 | 0 | 0 | 0 | ||
| M | 0–5 | 206 | 45 | 0 | 0 | 0 | |
| 5–10 | 0 | 0 | 0 | 0 | 0 | ||
| 10–20 | 0 | 0 | 0 | 0 | 0 | ||
| H | 0–5 | 265 | 55 | 0 | 0 | 0 | |
| 5–10 | 0 | 0 | 0 | 0 | 0 | ||
| 10–20 | 0 | 0 | 0 | 0 | 0 | ||
| Pot experiment | CK | 0–5 | 0 | 0 | 0 | 0 | 0 |
| 5–10 | 0 | 0 | 0 | 0 | 0 | ||
| 10–20 | 0 | 0 | 0 | 0 | 0 | ||
| L | 0–5 | 57 | 14 | 14 | 14 | 0 | |
| 5–10 | 0 | 0 | 0 | 0 | 0 | ||
| 10–20 | 0 | 0 | 0 | 0 | 0 | ||
| M | 0–5 | 113 | 71 | 14 | 14 | 14 | |
| 5–10 | 14 | 0 | 0 | 0 | 0 | ||
| 10–20 | 0 | 0 | 0 | 0 | 0 | ||
| H | 0–5 | 198 | 71 | 57 | 28 | 28 | |
| 5–10 | 14 | 0 | 0 | 0 | 0 | ||
| 10–20 | 0 | 0 | 0 | 0 | 0 |
| Experiment Type | Treatment | Effective Panicles (×104/ha) | Grain Number per Panicle | Seed Setting Rate (%) | 1000-Grain Weight (g) | Theoretical Yield (t/ha) | Actual Yield (t/ha) |
|---|---|---|---|---|---|---|---|
| Field experiment | CK | 206.77 ± 6.67 a | 176.83 ± 6.67 a | 73.07 ± 3.41 a | 24.14 ± 0.55 a | 6.57 ± 1.19 a | 5.33 ± 0.77 a |
| L | 246.80 ± 26.70 a | 197.67 ± 26.70 a | 73.93 ± 2.62 a | 22.67 ± 0.90 a | 8.17 ± 1.33 a | 7.20 ± 1.04 a | |
| M | 226.77 ± 24.04 a | 179.23 ± 24.04 a | 66.87 ± 8.90 a | 23.56 ± 0.45 a | 6.70 ± 1.89 a | 7.40 ± 0.38 a | |
| H | 213.43 ± 29.06 a | 174.70 ± 29.06 a | 66.47 ± 10.44 a | 23.37 ± 0.56 a | 6.17 ± 2.28 a | 5.27 ± 2.02 a | |
| Pot experiment | CK | 448.22 ± 16.00 a | 130.33 ± 8.08 a | 65.47 ± 4.51 a | 23.67 ± 0.27 b | 8.90 ± 0.06 b | |
| L | 448.22 ± 17.50 a | 126.47 ± 4.51 a | 71.13 ± 0.67 a | 23.70 ± 0.15 b | 9.50 ± 0.47 ab | ||
| M | 424.63 ± 15.82 a | 129.17 ± 3.07 a | 71.77 ± 1.09 a | 24.40 ± 0.25 a | 9.50 ± 0.31 ab | ||
| H | 471.81 ± 17.97 a | 129.23 ± 8.65 a | 73.00 ± 5.76 a | 23.53 ± 0.12 b | 10.27 ± 0.32 a |
Publisher’s Note: MDPI stays neutral with regard to jurisdictional claims in published maps and institutional affiliations. |
© 2022 by the authors. Licensee MDPI, Basel, Switzerland. This article is an open access article distributed under the terms and conditions of the Creative Commons Attribution (CC BY) license (https://creativecommons.org/licenses/by/4.0/).
Share and Cite
Zhang, Y.; Guan, M.; Chen, C.; Wang, R.; Lv, G.; Huang, H.; Guan, C. A Symbiotic System of Irrigated Rice–Earthworm Improves Soil Properties and Rice Growth in Southern China. Sustainability 2022, 14, 6448. https://doi.org/10.3390/su14116448
Zhang Y, Guan M, Chen C, Wang R, Lv G, Huang H, Guan C. A Symbiotic System of Irrigated Rice–Earthworm Improves Soil Properties and Rice Growth in Southern China. Sustainability. 2022; 14(11):6448. https://doi.org/10.3390/su14116448
Chicago/Turabian StyleZhang, Yin, Mei Guan, Can Chen, Ren Wang, Guangdong Lv, Huang Huang, and Chunyun Guan. 2022. "A Symbiotic System of Irrigated Rice–Earthworm Improves Soil Properties and Rice Growth in Southern China" Sustainability 14, no. 11: 6448. https://doi.org/10.3390/su14116448
APA StyleZhang, Y., Guan, M., Chen, C., Wang, R., Lv, G., Huang, H., & Guan, C. (2022). A Symbiotic System of Irrigated Rice–Earthworm Improves Soil Properties and Rice Growth in Southern China. Sustainability, 14(11), 6448. https://doi.org/10.3390/su14116448
