What Makes the River Chief System in China Viable? Examples from the Huaihe River Basin
Abstract
:1. Introduction
2. Materials and Methods
2.1. Study Area
2.2. Data
2.3. Methods
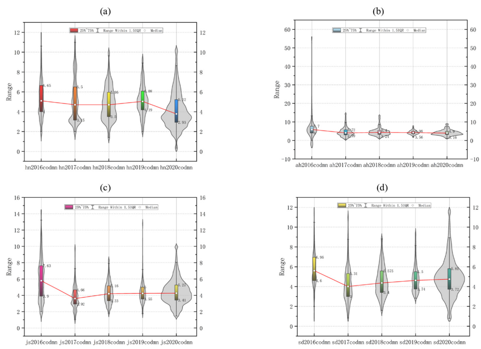
3. Results
4. Discussion
4.1. Spatial Embeddedness: The RCS Eliminates “Fragmented” Governance
4.1.1. RCS Highlighting the Holistic Nature of Watershed Governance
4.1.2. RCS Achieves Integration of Governance Subjects
4.2. Institutional Embeddedness: Drivers of the Implementation of the RCS
4.2.1. RCS Achieves Integration of Governance Subjects
4.2.2. The RCS Fits the Requirements of “Co-Responsibility of the Communist Party and the Government”
4.3. New Issues and Countermeasures of Watershed Governance in the Context of Embedded RCS
4.3.1. The RCS Causes the Re-Dividing of Watershed Governance
4.3.2. Dilemmas Exist in the Rule of Law of the RCS
4.3.3. Lack of Participation of Multiple Subjects in the RCS
5. Conclusions
Author Contributions
Funding
Institutional Review Board Statement
Informed Consent Statement
Data Availability Statement
Acknowledgments
Conflicts of Interest
References
- Su, J.; Ji, D.; Lin, M.; Chen, Y.; Sun, Y.; Huo, S.; Zhu, J.; Xi, B. Developing surface water quality standards in China. Resour. Conserv. Recycl. 2017, 117, 294–303. [Google Scholar] [CrossRef]
- Gao, X.; Shen, J.; He, W.; Sun, F.; Zhang, Z.; Zhang, X.; Zhang, C.; Kong, Y.; An, M.; Yuan, L.; et al. Changes in Ecosystem Services Value and Establishment of Watershed Ecological Compensation Standards. Int. J. Environ. Res. Public Health 2019, 16, 2951. [Google Scholar] [CrossRef] [PubMed] [Green Version]
- Yin, X.; Li, S. Research on dynamic characteristics of groundwater quality based on monitoring data in China. Acta Geol. Sin. 2021, 95, 1356–1365. [Google Scholar] [CrossRef]
- Haung, W.; Chen, F.; Me, Q.; Sun, Y.; Liu, J.; Wang, Z. Research Progress on Groundwater Pollution and Its Remediation Technology. Technol. Water Treat. 2021, 47, 12–18. [Google Scholar] [CrossRef]
- Chen, Z.; Kahn, M.E.; Liu, Y.; Wang, Z. The consequences of spatially differentiated water pollution regulation in China. J. Environ. Econ. Manag. 2018, 88, 468–485. [Google Scholar] [CrossRef]
- Wang, S.; Cai, M. Critique of the System of River-leader Based on the Perspective of New Institutional Economics. China Popul. Resour. Environ. 2011, 21, 8–13. [Google Scholar] [CrossRef]
- Head, B.W.; Alford, J. Wicked Problems. Adm. Soc. 2013, 47, 711–739. [Google Scholar] [CrossRef] [Green Version]
- Li, H.; Li, Z. Think of the River Chief System Legislation. Present Day Law Sci. 2018, 16, 15–23. [Google Scholar] [CrossRef]
- Li, Y.; Tong, J.; Wang, L. Full Implementation of the River Chief System in China: Outcome and Weakness. Sustainability 2020, 12, 3754. [Google Scholar] [CrossRef]
- Xi, J. Secure a decisive victory in building a moderately prosperous society in all respects and strive for the great success of socialism with Chinese characteristics for a new era-delivered at the 19th national congress of the communist party of China. Theory Study 2017, 12, 4–25. [Google Scholar]
- Jing, X.; Tian, G. Practice and path exploration of river chief system boosting river basin ecological management. China Water Resour. 2021, 8, 8–10, 17. Available online: http://qikan.cqvip.com/Qikan/Article/Detail?id=7104598739 (accessed on 2 November 2021).
- Liu, D.; Richards, K. The He-Zhang (River chief/keeper) system: An innovation in China’s water governance and management. Int. J. River Basin Manag. 2018, 17, 263–270. [Google Scholar] [CrossRef]
- Li, Y.G. River chief system: Chinese characteristics and experience of water management system. Chongqing Soc. Sci. 2019, 5, 51–62. [Google Scholar] [CrossRef]
- Zhu, M. On the Development Practice and Promotion of River Length System. Environ. Prot. 2017, 45, 58–61. [Google Scholar] [CrossRef]
- Zhu, X. Review of achievements for ten years in the field that the river chief system established in Wuxi. Water Resour. Dev. Manag. 2018, 4, 16–22, 59. [Google Scholar] [CrossRef]
- Li, N.; Zhang, Y.; Wu, Z. Exploring the comprehensive and effective implementation of the River Chief System. China Popul. Resour. Environ. 2018, 28 (Suppl. S1), 164–168. [Google Scholar]
- Shi, Y. The Normative Construction of the River-Director System for Watershed Environment Governance: From the Two-fold Perspectives Based on Legal and Political Systems. Mod. Law Sci. 2018, 40, 95–109. [Google Scholar] [CrossRef]
- Ye, X. On cross-domain environmental governance—Take “river-chief system”as a sample. Soc. Sci. Beijing 2017, 5, 108–116. [Google Scholar] [CrossRef]
- Hao, Y.; Wan, T. Consensus Mobilization: A Framework Analysis for Activating Public Responsibility in the River Chief System. J. Guangxi Univ. Philos. Soc. Sci. 2019, 41, 133–140. [Google Scholar] [CrossRef]
- Heurtebise, J.-Y. Sustainability and Ecological Civilization in the Age of Anthropocene: An Epistemological Analysis of the Psychosocial and “Culturalist” Interpretations of Global Environmental Risks. Sustainability 2017, 9, 1331. [Google Scholar] [CrossRef] [Green Version]
- Hansen, M.H.; Li, H.; Svarverud, R. Ecological civilization: Interpreting the Chinese past, projecting the global future. Glob. Environ. Chang. 2018, 53, 195–203. [Google Scholar] [CrossRef]
- Zuo, Q.; Han, C.; Han, C.; Luo, Z. Study on the Theoretical Basis and Support System of River Governor System. Yellow River 2017, 39, 1–6, 15. [Google Scholar] [CrossRef]
- Min, R. River Chief System: A Sample Study of Cross-Sectoral Synergy in Chinese Government Watershed Governance. J. Beijing Adm. Inst. 2015, 3, 25–31. [Google Scholar] [CrossRef]
- Wang, L.; Tong, J.; Li, Y. River Chief System (RCS): An experiment on cross-sectoral coordination of watershed governance. Front. Environ. Sci. Eng. 2019, 13, 1–3. [Google Scholar] [CrossRef]
- Liu, C. Thinking on the Legal System Construction of River Governor System from the Perspective of Environ-mental Law. Environ. Prot. 2017, 45, 24–29. [Google Scholar] [CrossRef]
- Zhang, Z. Legislation of River Length System: Necessity, Mode and Difficulty. Hebei Law Sci. 2019, 37, 29–41. [Google Scholar] [CrossRef]
- Liu, F.; He, T.; Zhou, Y. The Legalization of River Chief System in the Context of Governance Modernization. Zhejiang Acad. J. 2016, 6, 120–123. [Google Scholar] [CrossRef]
- Zhan, G.; Xiong, F. Governance Dilemma and Path Selection in the Practice of the River Chief System. Reform Econ. Syst. 2019, 1, 188–194. [Google Scholar]
- Ouyang, J.; Zhang, K.; Wen, B.; Lu, Y. Top-Down and Bottom-Up Approaches to Environmental Governance in China: Evidence from the River Chief System (RCS). Int. J. Environ. Res. Public Health 2020, 17, 7058. [Google Scholar] [CrossRef]
- Shen, K.; Gang, J. The policy effects of local governments environmental governance in China—A study based on the evolution of the river-director system. Soc. Sci. China 2018, 5, 92–115, 206. Available online: http://qikan.cqvip.com/Qikan/Article/Detail?id=7000672621&from=Qikan_Search_Index (accessed on 25 October 2021).
- She, Y.; Liu, Y.; Jiang, L.; Yuan, H. Is China’s River Chief Policy effective? Evidence from a quasi-natural experiment in the Yangtze River Economic Belt, China. J. Clean. Prod. 2019, 220, 919–930. [Google Scholar] [CrossRef]
- Li, J.; Shi, X.; Wu, H.; Liu, L. Trade-off between economic development and environmental governance in China: An analysis based on the effect of river chief system. China Econ. Rev. 2019, 60, 101403. [Google Scholar] [CrossRef]
- Wang, L.; Sun, Z. An Empirical Study on the Double Dividend Effect of Environment and Economy of the River Chief Policy. Soft Sci. 2020, 34, 40–45. [Google Scholar] [CrossRef]
- Zhang, Z.; Li, Y.; Wang, X.; Xu, Y.; Liao, Y.; Wan, Z.; Tang, N. Investigating the spatiotemporal dynamic evolution and driving factors of wastewater treatment efficiency in the context of China’s River Chief system. Ecol. Indic. 2021, 129, 107991. [Google Scholar] [CrossRef]
- Zhou, L.; Li, L.-Z.; Huang, J.-K. The river chief system and agricultural non-point source water pollution control in China. J. Integr. Agric. 2021, 20, 1382–1395. [Google Scholar] [CrossRef]
- Guo, Y.; Qian, X.; Zhang, G. Analysis on the Problems of River Chief System in the River Pollution Control. Adm. Reform 2020, 8, 50–55. [Google Scholar] [CrossRef]
- Liu, X.; Pan, Y.; Zhang, W.; Ying, L.; Huang, W. Achieve Sustainable development of rivers with water resource management—Economic model of river chief system in China. Sci. Total Environ. 2019, 708, 134657. [Google Scholar] [CrossRef]
- Hu, C.; Zhou, F.; Zhou, X. How Did the System of River-Leader Succeed? J. Gansu Ad-Minist. Inst. 2020, 3, 19–28. Available online: http://www.cqvip.com/qk/85375x/202003/7102196072.html (accessed on 28 January 2022).
- Liu, H.; Chen, Y.D.; Liu, T.; Lin, L. The River Chief System and River Pollution Control in China: A Case Study of Foshan. Water 2019, 11, 1606. [Google Scholar] [CrossRef] [Green Version]
- Xu, X.; Wu, F.; Zhang, L.; Gao, X. Assessing the Effect of the Chinese River Chief Policy for Water Pollution Control under Uncertainty—Using Chaohu Lake as a Case. Int. J. Environ. Res. Public Health 2020, 17, 3103. [Google Scholar] [CrossRef]
- Wang, Y.; Zhao, K. Adaptation and Improvement of the River Manager System in the Yellow River Basin Governance System. Environ. Prot. 2020, 48, 56–60. [Google Scholar] [CrossRef]
- Chang, Y.; Yaun, S. Spatial Embeddedness and Governance Modernization of Local Government. Chin. Public Adm. 2018, 9, 74–78. [Google Scholar] [CrossRef]
- Hu, X.; Kong, F. Policy Innovation of Local Officials in China: The Administrative Choice. J. Chin. Political Sci. 2021, 26, 695–721. [Google Scholar] [CrossRef]
- Yu, K. Promote the Modernization of National Governance System and Governance Capability. Qianxian 2014, 1, 5–8, 13. Available online: http://www.cqvip.com/qk/83736a/201402/67757676504849524850484851.html (accessed on 13 February 2022).
- Guo, B. A Partocracy with Chinese Characteristics: Governance System Reform under Xi Jinping. J. Contemp. China 2020, 29, 809–823. [Google Scholar] [CrossRef] [Green Version]
- Cao, X.; Zhou, J. River Chief System for Watershed Good Governance: What is Possible and What Can be Done. Jianghai Acad. J. 2019, 6, 139–148. Available online: https://www.cnki.com.cn/Article/CJFDTotal-JHXK201906027.htm (accessed on 28 January 2022).
- Li, X. Tightly grasp the prevention and treatment of agricultural surface pollution to promote the ecological and economic development of the Huaihe river basin: A research report on the management of surface pollution in the Huaihe river basin. China Econ. Trade Her. 2019, 23, 48–52. Available online: https://www.cnki.com.cn/Article/CJFDTotal-ZJMD201923023.htm (accessed on 10 August 2021).
- Feng, Y. A Study on the Coupled and Coordinated Development of Water-Energy-Food System. Master’s Thesis, Nanjing Forestry University, Nanjing, China, 2020. Available online: https://kns.cnki.net/KCMS/detail/detail.aspx?dbname=CMFD202101&filename=1020390986.nh (accessed on 15 August 2021).
- Tan, J.; Ye, J. The evolution and experience of Huaihe river regulation strategy during 60 years in Anhui. J. Anhui Agric. Sci. 2012, 40, 3354–3355, 3504. [Google Scholar] [CrossRef]
- Luo, Z. Discussion on the objectives and ideas of comprehensive treatment of the middle reaches of the Huaihe River in Anhui province. Water Resour. Plan. Des. 2019, 11, 20–23. [Google Scholar] [CrossRef]
- Xu, Z. Serious pollution of water resources in the Huaihe river basin cannot be ignored. Harnessing Huaihe River 1989, 4, 22–23. Available online: www.cnki.com.cn/Article/CJFDTotal-ZIHU198904012.htm (accessed on 25 October 2021).
- Yu, Z.; Xu, Q.; Wei, J.; Hu, S.; Li, A.; Xie, X.; Song, Y. 70 years’ governance pro-cess of Huaihe River and the prospect of the 14th Five-Year Plan period. J. Environ. Eng. Technol. 2020, 10, 746–757. [Google Scholar] [CrossRef]
- Cheng, X.; Li, J.; Shen, Z. Do a Good Job in Joint Prevention of Water Pollution Reduce the Harm of Huaihe Water Pollution. China Water Resour. 2005, 6, 21–24. Available online: http://www.cqvip.com/qk/90820x/2005006/15437824.html (accessed on 3 November 2021).
- Zhang, X. Research on the Huaihe River Basin Water Environment Government Management System. Master’s Thesis, Nanjing University of Technology, Nanjing, China, 2014. Available online: https://kns.cnki.net/KCMS/detail/detail.aspx?dbname=CMFD201501&filename=1015509191.nh (accessed on 5 October 2021).
- Xu, M.; Zhang, T.; Wang, D.; Zhao, Y.; Xie, Y.; Ma, L. Review and Prospect of Water Pollution Prevention and Control of China in the Forty Years of Reform and Opening-up. Chin. J. Environ. Manag. 2019, 11, 65–71. [Google Scholar] [CrossRef]
- Zhou, Z.; Wang, F. Causes for water pollution in Huai River basin and prevention measures. China Water Resour. 2005, 22, 24–26. Available online: http://www.cqvip.com/qk/71135x/201107/20895846.html (accessed on 6 November 2021).
- Tao, Z. The Study on Burden of Disease Attributing to Water in Cancer Village of Huaihe River Basin. Ph.D. Thesis, China Center for Disease Control and Prevention, Beijing, China, 2010. Available online: https://cdmd.cnki.com.cn/article/cdmd-84501-2010249562.htm (accessed on 27 January 2021).
- Shi, F.; Shen, L.; Yuan, Y. The role and dilemma of environmental NGO in water pollution control—Take Huaihe Guard as an example. Environ. Dev. 2019, 3–4, 6. [Google Scholar] [CrossRef]
- Kwak, S.K.; Kim, J.H. Statistical data preparation: Management of missing values and outliers. Korean J. Anesthesiol. 2017, 70, 407–411. [Google Scholar] [CrossRef]
- Chen, Q.; Lin, S.; Zhang, X. The Effect of China’s Incentive Policies for Technological Innovation: Incentivizing Quantity or Quality. China Ind. Econ. 2020, 4, 79–96. [Google Scholar] [CrossRef]
- Correll, M.; Gleicher, M. Error Bars Considered Harmful: Exploring Alternate Encodings for Mean and Error. IEEE Trans. Vis. Comput. Graph. 2014, 20, 2142–2151. [Google Scholar] [CrossRef]
- Allen, M.; Poggiali, D.; Whitaker, K.; Marshall, T.; Kievit, R.A. Raincloud plots: A multi-platform tool for robust data visualization. Wellcome Open Res. 2019, 4, 63. [Google Scholar] [CrossRef] [Green Version]
- Hintze, J.L.; Nelson, R.D. Violin Plots: A Box Plot-Density Trace Synergism. Am. Stat. 1998, 52, 181. [Google Scholar] [CrossRef]
- Sidiropoulos, N.; Sohi, S.H.; Pedersen, T.L.; Porse, B.T.; Winther, O.; Rapin, N.; Bagger, F.O. SinaPlot: An Enhanced Chart for Simple and Truthful Representation of Single Observations Over Multiple Classes. J. Comput. Graph. Stat. 2018, 27, 673–676. [Google Scholar] [CrossRef]
- Polanyi, K. The Great Transformation: The Political and Economic Origins of Our Time; Beacon Press: Boston, MA, USA, 1994. [Google Scholar]
- Granovetter, M. Economic Action and Social Structure: The Problem of Embeddedness. Am. J. Sociol. 1985, 91, 481–510. [Google Scholar] [CrossRef]
- Ma, Q.; Yuan, D. Embeddedness of Technological Action and Technological industrialization. Stud. Dialectics Nat. 2004, 5, 71–74, 93. [Google Scholar] [CrossRef]
- Gu, X.; Fang, L. Between Voluntary and Compulsory—Institutional Embeddedness and Sustainability of Cooperative Medical Care in Rural China. Sociol. Stud. 2004, 5, 1–18. [Google Scholar] [CrossRef]
- Zhihui, H. The Multiple Facets of ‘Embeddedness’—Crisis and Response of Developmentalism. Thinking 2016, 42, 96–104. Available online: http://www.sxzx.ynu.edu.cn/CN/Y2016/V6/I1/96 (accessed on 28 January 2021).
- Yang, Y.; Li, B.; Li, S. A Review of Embeddedness Theory Research: A Universal Connection-Based Perspective. Shandong Soc. Sci. 2014, 3, 172–176. [Google Scholar] [CrossRef]
- Wang, T.; Shi, Y. Chinese Watershed Governance in a Cross-Domain Governance Perspective. Expand. Horiz. 2013, 5, 51–54. Available online: http://www.cqvip.com/qk/90388x/201305/47335828.html (accessed on 15 February 2021).
- Xiong, C. China’s Ecological Environment Department Responsibilities Responsibility List Mechanism Construction. Acad. Forum 2020, 43, 43–53. [Google Scholar] [CrossRef]
- Ran, R. Unpacking the Decentralization Paradox of Environmental Governance: From the Perspective of Politics of Blame Avoidance. Comp. Econ. Soc. Syst. 2019, 4, 68–76. Available online: https://www.researchgate.net/publication/343615200 (accessed on 8 March 2021).
- van Rooij, B.; Zhu, Q.; Na, L.; Qiliang, W. Centralizing Trends and Pollution Law Enforcement in China. China Q. 2017, 231, 583–606. [Google Scholar] [CrossRef]
- Han, Z.; Li, C. How Responsibility is Constructed. Theor. Investig. 2021, 1, 137–145. [Google Scholar] [CrossRef]
- Sharon, Z.; DiMaggio, P. Structures of Capital: The Social Organization of the Economy; Cambridge University Press: Cambridge, UK, 1990. [Google Scholar]
- Xiao, L. Analysis of the Institutional Embeddedness of the Changes in Rural Five-Guarantee Support. Popul. Soc. 2009, 25, 62–67. [Google Scholar] [CrossRef]
- Abolafia, M.Y. Making Markets: Opportunism and Restraint on Wall Street; Harvard University Press: Cambridge, MA, USA, 1996. [Google Scholar]
- Yao, Z. Government Functions and Tiered Medical Services System: A Historical Analysis by the Perspective of Institutional Embeddedness. J. Public Manag. 2016, 13, 61–70, 155–156. [Google Scholar] [CrossRef]
- Hong, D. The Growth of China’s Civilian Environmental Power; People’s University of China Press: Beijing, China, 2007. [Google Scholar]
- Wang, T. Government and Civil Society in Environmental Protection: ‘From Dominance to Cooperation’—A Review of One Study. J. Tianjin Adm. Inst. 2012, 14, 64–69. [Google Scholar] [CrossRef]
- Qi, J.; Xu, H. On the “Central Environmental Protection Inspector System” as a Campaign-based Governance Mechanism. Theor. Investig. 2018, 2, 157–164. [Google Scholar] [CrossRef]
- Zhou, X.; Lian, H. Modes of Governance in the Chinese Bureaucracy: A ‘control rights’ theory. Sociol. Stud. 2012, 27, 69–93, 243. [Google Scholar] [CrossRef]
- Chen, H. The Institutional Logic of China’s Environmental Regulatory Transformation—An Examination Focusing on the Implementation of Environmental Law. Stud. Law Bus. 2019, 36, 3–13. [Google Scholar] [CrossRef]
- Zhang, M. Environmental Governance Logic of Grassroots Government under the Background of Environmental Supervision. J. Huazhong Agric. Univ. 2020, 4, 20–28, 174. [Google Scholar] [CrossRef]
- Huang, J.R. On Government’s Decision-Making Attention Resources. J. Jiangsu Adm. Inst. 2010, 6, 101–107. Available online: http://www.cqvip.com/qk/84084x/201006/35872371.html (accessed on 10 March 2022).
- Wang, Y.Y.; Li, M.Z. Study on Local Government Attention of Ecological Environment Governance. China Popul. Resour. Environ. 2017, 27, 28–35. [Google Scholar] [CrossRef]
- Wang, X. The Leadership of the Communist Party of China is the Greatest National Condition and the Most Essential Feature of China. Red Flag Manuscr. 2016, 23, 12–14. Available online: http://www.cqvip.com/qk/81256x/201623/670794970.html (accessed on 12 March 2021).
- Ren, H. Analyses of the Idea of the ‘Co-responsibility of the Communist Party and Government’ in the Construction of the Environmental Accountability in China. J. Beijing Univ. Technol. 2018, 18, 49–55. Available online: http://www.cqvip.com/qk/84139x/201802/674303141.html (accessed on 31 October 2021).
- Zhong, Y. Governmental Responsibility: Political Responsibility and Administrative Responsibility. J. Jishou Univ. 2015, 36, 42–47. [Google Scholar] [CrossRef]
- Fewsmith, J. and Andrew J.N. Authoritarian Resilience Revisited: Joseph Fewsmith with Response from Andrew J. Nathan. J. Contemp. China 2019, 28, 167–179. [Google Scholar] [CrossRef]
- Jiang, X.H. Gendered Pathways to the County-Level People’s Congress in China. China Q. 2021, 249, 68–90. [Google Scholar] [CrossRef]
- Yang, Z.; Zhang, N. On the Chaotic Phenomena of Government Environmental Accountability and the Countermeasures. J. Jishou Univ. 2015, 36, 1–12. [Google Scholar] [CrossRef]
- Chang, J. Issues of the Party and Government Accountability in Ecological Civilization Assessment. Chin. J. Environ. Manag. 2016, 8, 16–23. [Google Scholar] [CrossRef]
- Ren, S.; Zhou, J. Policy tool model of river-leader in the local government: Choice preference and optimization path—Empirical study on policy text based on Grounded Theory. J. Cent. South Univ. Soc. Sci. 2021, 27, 145–157. [Google Scholar] [CrossRef]
- Weiss, J.A.; Osborne, D.; Gaebler, T.; Review, N.P. Reinventing Government: How the Entrepreneurial Spirit is Transforming the Public Sector. Acad. Manag. Rev. 1995, 20, 229. [Google Scholar] [CrossRef]
- Zhou, J.; Xiong, Y. The River Chief System: How Is Continuous Innovation Possible?—A Two-Dimension Analysis based on Both Policy Text and Reform Practice. Jiangsu Soc. Sci. 2017, 4, 38–47. [Google Scholar] [CrossRef]
- Ren, Z.P.; Hao, Q.P. From Patriarchy, One Voice to Power Cor-ruption: Generative Logic and Governance Countermeasures. Leadersh. Sci. 2015, 31, 4–6. [Google Scholar] [CrossRef]
- Marinelli, M. Names and Reality in Mao Zedong’s Political Discourse on Intellectuals. J. Glob. Cult. Stud. 2009, 5, 491–501. [Google Scholar] [CrossRef] [Green Version]
- Downs, A. Inside Bureaucracy; Guo, X., Ed.; People’s University of China Press: Beijing, China, 2017. [Google Scholar]
- Li, Y.; Yang, X. How the river chief system realizes long-term river governance-Analysis perspective based on street bureaucracy theory. J. Party Sch. Tianjin Comm. CPC 2021, 23, 86–95. [Google Scholar] [CrossRef]
- Cheng, Z.G. Institutional innovation and performance optimization of cross-regional governance: A case study of the river-chief mechanism. Gov. Mod. Stud. 2021, 37, 79–88. Available online: https://www.cnki.com.cn/Article/CJFDTotal-ZLXD202104011.htm (accessed on 25 October 2021).
- Hu, Y.; Rao, Y.; Sun, Y.; Long, D.; Li, J.; Geng, R. Study on countermeasures of public participation in river and lake management in Hubei Province under background of River Chief System. Yangtze River 2021, 52, 1–5, 75. [Google Scholar] [CrossRef]










| Descriptive Statistics | |||||
|---|---|---|---|---|---|
| (1) | (2) | (3) | (4) | (5) | |
| Variables | Number | Mean | sd | Min | Max |
| pH*2016 | 31,330 | 7.816 | 0.570 | 6.590 | 9.240 |
| DO2016 | 30,670 | 8.594 | 3.034 | 2.740 | 15.29 |
| CODMn2016 | 23,298 | 6.105 | 3.830 | −2 | 20.50 |
| NH3-N2016 | 27,853 | 0.609 | 0.896 | 0 | 4.210 |
| pH*2017 | 43,796 | 7.761 | 0.595 | 6.510 | 8.890 |
| DO2017 | 43,224 | 7.897 | 3.162 | 2.220 | 15 |
| CODMn2017 | 40,467 | 4.464 | 2.085 | 1.300 | 10.23 |
| NH3-N2017 | 37,394 | 0.366 | 0.524 | 0 | 2.430 |
| pH*2018 | 52,386 | 7.865 | 0.483 | 6.820 | 8.800 |
| DO2018 | 52,318 | 8.575 | 3.175 | 2.910 | 15.90 |
| CODMn2018 | 50,529 | 4.589 | 1.670 | 1.900 | 9.400 |
| NH3-N 2018 | 50,964 | 0.320 | 0.345 | 0.0300 | 1.630 |
| pH*2019 | 32,609 | 8.057 | 0.493 | 6.900 | 8.910 |
| DO2019 | 32,561 | 9.600 | 3.207 | 3.970 | 17.48 |
| CODMn2019 | 31,760 | 4.629 | 1.307 | 2.400 | 8.130 |
| NH3-N2019 | 29,536 | 0.270 | 0.310 | 0.0100 | 1.380 |
| pH*2020 | 110,904 | 7.920 | 0.447 | 6.990 | 8.830 |
| DO2020 | 110,824 | 9.265 | 2.746 | 3.840 | 15.91 |
| CODMn2020 | 109,774 | 4.385 | 1.607 | 1.640 | 8.630 |
| NH3-N2020 | 107,148 | 0.237 | 0.299 | 0.0160 | 1.390 |
Publisher’s Note: MDPI stays neutral with regard to jurisdictional claims in published maps and institutional affiliations. |
© 2022 by the authors. Licensee MDPI, Basel, Switzerland. This article is an open access article distributed under the terms and conditions of the Creative Commons Attribution (CC BY) license (https://creativecommons.org/licenses/by/4.0/).
Share and Cite
Zhang, Z.; Xiong, C.; Yang, Y.; Liang, C.; Jiang, S. What Makes the River Chief System in China Viable? Examples from the Huaihe River Basin. Sustainability 2022, 14, 6329. https://doi.org/10.3390/su14106329
Zhang Z, Xiong C, Yang Y, Liang C, Jiang S. What Makes the River Chief System in China Viable? Examples from the Huaihe River Basin. Sustainability. 2022; 14(10):6329. https://doi.org/10.3390/su14106329
Chicago/Turabian StyleZhang, Zihao, Chao Xiong, Yu Yang, Chunyan Liang, and Shaoping Jiang. 2022. "What Makes the River Chief System in China Viable? Examples from the Huaihe River Basin" Sustainability 14, no. 10: 6329. https://doi.org/10.3390/su14106329
APA StyleZhang, Z., Xiong, C., Yang, Y., Liang, C., & Jiang, S. (2022). What Makes the River Chief System in China Viable? Examples from the Huaihe River Basin. Sustainability, 14(10), 6329. https://doi.org/10.3390/su14106329
