Next Article in Journal
Urban Industrial Tourism: Cultural Sustainability as a Tool for Confronting Overtourism—Cases of Madrid, Brussels, and Copenhagen
Previous Article in Journal
Partial Discharge Online Detection for Long-Term Operational Sustainability of On-Site Low Voltage Distribution Network Using CNN Transfer Learning
 
 
Due to scheduled maintenance work on our servers, there may be short service disruptions on this website between 11:00 and 12:00 CEST on March 28th.
Font Type:
Arial Georgia Verdana
Font Size:
Aa Aa Aa
Line Spacing:
Column Width:
Background:
Article

Research on the Temporal and Spatial Distribution and Influencing Factors of Forestry Output Efficiency in China

School of Economics and Management, Beijing Forestry University, Beijing 100083, China
*
Author to whom correspondence should be addressed.
Sustainability 2021, 13(9), 4687; https://doi.org/10.3390/su13094687
Submission received: 24 March 2021 / Revised: 18 April 2021 / Accepted: 19 April 2021 / Published: 22 April 2021
(This article belongs to the Section Economic and Business Aspects of Sustainability)

Abstract

Forestry output efficiency is key to forestry development. China is now promoting the development of forestry, and thus the research on forestry output efficiency is of practical significance. Through the data envelopment analysis (DEA)-Malmquist index, spatial autocorrelation model, and fixed effect model of panel data, in this study, we analyzed the forestry output efficiency of China with indicators, such as the fixed asset input, employed personnel, total output value, and timber output, and drew the following conclusions. In the time series, the forestry total-factor productivity (TFP) in China saw a rapid increase, which is attributed to the technological progress change (TC), whereas the efficiency change (EC) imposed negative influences upon the forestry TFP. In the spatial distribution, there was a difference in the increase in the forestry output efficiency among the eastern, central, and western regions of China, with the eastern region having the fastest growth and the central region having the slowest growth. According to the spatial autocorrelation, there was spatial aggregation (high–high (HH) and low–low (LL)) with a significant positive correlation. Through the optimized fixed effect regression model, the fixed asset input, employed personnel, total output value, and timber output all had significant influences on the comprehensive technical efficiency of the forestry output, wherein the input indicators had negative influences, and the output indicators had positive influences.

1. Introduction

Forestry has always been a pillar for social and economic development, especially in the primary stage of modernization, and the complexity of forestry resources leads to the diversity of forestry output. Currently, one of the fundamental issues of forestry in China is how to improve quality while maintaining efficiency. Due to the various challenges faced by forestry at different developmental stages, output efficiency has not been given sufficient attention. However, the research on forestry input and output are not only important to sustainable forestry development but also related to stable social and economic development. The research on forestry output efficiency, with a special focus on spatial and temporal distribution as well as influencing factors, is thus crucial to the enhancement of the economic benefit of forestry and the high-quality development of forestry in China.
Concerning the forestry output efficiency of China, a number of studies have been conducted in the field of forest management and forest engineering [1], total factor productivity of forestry output efficiency [2], as well as sustainable forest development [3]. Research has also been conducted on the national forest output efficiency, with focuses on specific provinces, such as measurement of the forestry output efficiency, pure technical efficiency and scale efficiency of 21 prefecture-level cities in Guangdong Province [4], the assessment of the forestry output efficiency of Anhui Province from 1998 to 2013 [5], and the analysis of forestry output efficiency of Gansu Province [6] and Heilongjiang Province [7].
Research was also conducted on particular regions and subjects. Huang Ansheng and Xu Jiaxian (2014) calculated the forestry technical efficiency and total-factor productivity of forest regions in South China after the reform of the collectively owned forest property rights system [8]; Yang Xianyan, Deng Siyu, and Liu Weiping (2017) analyzed forestry output efficiency using individual households as decision-making units [9]; and Lv Jiehua, Fu Siqi, and Zhang Bin (2019) calculated the forestry economic output efficiency of Heilongjiang Province using data from 40 local forestry bureaus [10]. Taking 215 towns in the hilly area of Sichuan Province, which is abundant in forest resources and strong in forestry, Liao Guitang (2019) built a three-level classification system of production–living–ecological land (PLEL) to analyze the correlation between PLEL and natural–social–economic factors, which provided an important database for sustainable forestry development and spatial planning of Sichuan Province [11].
In terms of the research method, the DEA model, which is one of the most important mathematic models to analyze economic output efficiency, is also the key computing method in this paper. Research on technical and industrial output efficiency has been widely conducted both in [12] and out of China [13], which has given sufficient reference for the application of the DEA model to forestry output efficiency in this paper. In addition, initiatives have been taken to innovate the research methods, with DEA and modified DEA models [14] as well as the combination of DEA and the Malmquist index as the major research methods to analyze forestry output efficiency [15].
Moreover, research in terms of forestry development and the interaction between forestry and socioeconomic development provides a wider scope of reference for the research on forestry output. Martinho Vítor João Pereira Domingues and Ferreira António José Dinis (2020) explored indicators related to forest management, including land, employment, output, and net emissions, in order to obtain a forest sustainability index through factor analysis, and they found that forest indicators revealed a strong relationship between forest land, employment, and output, which is a significant support for the points of this paper [16]. Wang Chia-Nan and Lin Han-Sung (2016) proposed a hybrid model, including a grey model (GM) and a Malmquist productivity index (MPI), to assess the output efficiency of Vietnamese agro-forestry enterprises over several time periods, which verified the applicability of temporal analysis of output efficiency in forestry in this paper [17]. Yu Xiaohui and Ma Sai (2020) proposed an evaluation system for sustainable urban spatial development and applied the system to evaluate urban spatial development in Qin-Ba, Shangluo, and Qin-Ling mountain areas, where forestry played a leading role in boosting socioeconomic development and environmental protection, and the research results provided an important theoretical reference for the spatial research on forestry output in this paper [18].
So far, intensive studies have been conducted on forestry output efficiency both in and outside China, which have contributed to the improvement of forestry output efficiency and the enhancement of the forestry quality of China, and provided significant theoretical basis for this paper. These studies, however, did not deeply investigate or even predict the overall trend and regularity of forestry development, in spite of some intensive studies on regional forestry development or certain related subjects. At the same time, forestry output efficiency, which dynamically changes, is subject to geographic conditions and natural resources and has strong temporal and spatial characteristics, and no studies have carried out a combined research pattern of temporal and spatial approaches to explore the temporal fluctuations and geographical aggregation of forestry output efficiency. This is the key reason why we conducted this research and this paper is aimed at establishing a synthetic system of temporal and spatial approaches for forestry output efficiency, which is supposed to be widely applicable to research on forestry output efficiency.
The research on the temporal and spatial distribution of forestry output efficiency and its influencing factors will draw a whole picture of the overall developmental trend of forestry in China, and also provide a reference for policymaking for the enhancement of forestry quality. Through the annual forestry statistical data from 1998 until 2017, this paper analyzes the effectiveness of China’s forestry policies and puts forward suggestions for policy improvement in the future by investigating forestry output efficiency during that period.
We took the initiative to establish a combined system of innovative temporal and spatial approaches to analyze forestry output efficiency in multiple dimensions, which we believe is applicable to forestry output efficiency studies all over the world, on the condition that there is sufficient data for a sequent period of time in a certain region. This research pattern could also be applied to output efficiency studies in other industries with typical temporal and spatial characteristics.

2. Research Methods and Data Source

In order to reveal the temporal and spatial characteristics of forestry output efficiency, we collected the forestry statistic data from China Forestry Statistical Yearbooks from 1998 to 2017 (20 years) to guarantee the precision and continuity of data for temporal and spatial analysis. As for temporal analysis, the DEA-Malmquist index was used to analyze the temporal fluctuations of forestry input and output during the 20 years; the spatial autocorrelation model and fixed effects model were used to explore the spatial interrelation of the 31 provinces so as to unveil the national geographical aggregation of forestry output efficiency. With the analysis data, we drew the spatial aggregation figure and Moran’s index scatter diagrams to further investigate the geographical interrelation of the 31 provinces in terms of forestry output efficiency. Based on these analysis results, we finally put forward a series of suggestions on enhancing forestry output efficiency and maintaining a balanced national forestry development.
The DEA-Malmquist index and fixed effects model are among the most widely used methods for mathematical economics, and especially for research on multiple input and output indicators, and thus are the key models to pillar the mathematical framework of this paper. Spatial autocorrelation focuses on the spatial and geographical interrelations among all the research entities, and thus is the core method to analyze the spatial aggregation of the provinces in terms of forestry output efficiency. For further and similar studies, more methods could be involved according to the research focus and mathematical orientations.

2.1. Research Methods

(1)
DEA-Malmquist Index
The DEA-Malmquist index, which can avoid the difficulties in dealing with the cross-sectional data faced by traditional DEA models [19], was used to analyze the fluctuations of the forestry output efficiency of China from 1998 to 2017 and explore its temporal fluctuation trends. In the analysis process, the DEA-Malmquist index was used to investigate the total-factor productivity (TFP) of 31 provinces of China and divided into the technical efficiency change (EC) and technological progress change (TC). The EC is the relative efficiency change index, representing the technical efficiency changes of the decision-making units from period t to period t + 1, whereas the TC represents the technological changes of the decision-making units from period t to period t + 1. EC is further broken down into the pure technical efficiency change index (PC) and scale efficiency change index (SC).
Based on the decision-making units of 31 provinces of China, the C2R model is as follows:
( C 2 R ) = { min θ = V B j = 1 n λ j X j + S = θ X 0 j = 1 n λ j X j S + = Y 0 λ j 0 , j = 1 , , n S 0 S + 0
where VB stands for the minimum validity of output efficiency; Xj and Yj indicate the input and output, respectively; X0 and Y0 represent the initial input and output of the decision-making units, respectively; λ j is the unit combination coefficient; θ , S , S + are used to evaluate the relative effectiveness of the decision-making units; θ represents the relative efficiency calculated by the model; S , S + are slack variables; j is the serial number of the decision-making units; and n is the quantity of decision-making units.
Defined by the distance function, the Malmquist index measures the changes in the TFP between two production points by calculating the ratio of the distance between each production point and common technologies. The TFP from period t to period t + 1 is as follows:
M i , t + 1 ( x i t , y i t , x i t + 1 , y i t + 1 ) = D i t + 1 ( x i t + 1 , y i t + 1 ) D i t ( x i t , y i t ) E F i t + 1 [ D i t ( x i t + 1 , y i t + 1 ) D i t ( x i t , y i t ) × D i t + 1 ( x i t + 1 , y i t + 1 ) D i t + 1 ( x i t , y i t ) ] 1 / 2 E C i t + 1
On the right side of the equation, D i t + 1 ( x i t + 1 , y i t + 1 ) D i t ( x i t , y i t ) represents the changes of technical efficiency from period t to period t + 1, which is equal to the ratio by technical efficiency in period t + 1 and the technical efficiency in period t. The contents in the square brackets evaluate the technological changes from period t to period t + 1. Thus, the TFP could be presented as the product of EC and TC. If Mi,t+1 > 1, this indicates that the TFP increased from period t to period t + 1 and vice versa.
In addition, the EC could be further divided into the pure technical efficiency change index (PC) and scale efficiency change index (SC) as follows:
M v , c t , t + 1 = D v t + 1 ( x i t + 1 , y i t + 1 ) D v t ( x i t , y i t ) × [ D c t ( x i t + 1 , y i t + 1 ) / D v t ( x i t + 1 , y i t + 1 ) D c t ( x i t , y i t ) / D v t ( x i t , y i t ) × D i t + 1 ( x i t + 1 , y i t + 1 ) / D v t + 1 ( x i t + 1 , y i t + 1 ) D i t + 1 ( x i t , y i t ) / D v t + 1 ( x i t + 1 , y i t + 1 ) ] 1 / 2
In the equation, the subscript v represents the distance function defined by the best practice frontier, whereas the subscript c represents the distance function defined by the standard practice frontier.
(2)
Spatial Autocorrelation
Spatial autocorrelation was used to analyze the spatial statistical data and assess the relativity of the variables [20]. We used the Moran index of spatial autocorrelation as follows:
I = n S 0 × i = 1 n j = 1 n w i j ( x i x ¯ ) ( x j x ¯ ) i = 1 n ( x i x ¯ ) 2
In addition, the local indication of spatial autocorrelation (LISA) was used to precisely define the aggregation or abnormal locations of specific spaces. The formula is as follows:
I i = x i j = 1 n w i j x j
(3)
Fixed Effects Model
The fixed effects model utilizes only data on individuals that have multiple observations, and estimates effects only for those variables that change across these observations [21]. It assumes that the effects of unchanging unmeasured variables can be captured by time-invariant individual-specific dummy variables, and its formula is shown below, with α i as the fixed effect.
y i = a i I T + x i β + ε i
In the model y i = ( y i 1 , y i 1 , , y i T ) , x i = ( x i 1 , x i 1 , , x i T ) , ε i = ( ε i 1 , ε i 1 , , ε i T ) I T is a T × 1 column vector, with α i as a stochastic variable. α i is used to describe the differences of the models formed by different units. α i is unobservable and correlated with the changes of explanatory variable x i . Thus, this model is called the fixed effects regression model.

2.2. Data Source

Focused on forestry output efficiency, this paper utilized the fixed asset input and employed personnel as two major input indicators, and the output indicators consisted of the economic output and physical output. The forestry total output value is the primary indicator of regional forestry economic development, which objectively demonstrates the value produced by forestry sectors. The forestry output flows into different industrial sectors; therefore, in this paper, the forestry total output value was further categorized as the primary, secondary, and tertiary forestry output values. The primary forestry output is generated by plantations and the logging industry, the secondary forestry output is derived from the production of forestry processing and manufacturing enterprises, and forest tourism, recreation and leisure services constitute the tertiary forestry output. As for the physical output, timber output is the major physical forestry output, and the timber output is made up of the log output and fuelwood output.
All of the data in this paper were collected from the China Forestry Statistical Yearbook (1998–2017), including forestry economic indicators from 31 provinces and cities of China, as shown in Table 1.

3. Result and Analysis

Total factor productivity (TFP) is a measure of productivity calculated by dividing economy-wide total production by the weighted average of inputs, i.e., labor and capital. It represents growth in real output that is in excess of the growth in inputs, such as labor and capital. In this sense, the TFP of forestry represents the interrelation of forestry input and forestry output, which is a significant parameter to assess forestry output efficiency.

3.1. Temporal Total-Factor Productivity (TFP) Index Analysis

Using DEA-Malmquist, we calculated the total-factor productivity (TFP), including the technical efficiency change index (EC) and technological progress change index (TC), as well as the components of the EC, including the pure technical efficiency change index (PC) and scale technical efficiency change index (SC), as shown in Table 2.
Based on Table 2, we drew the following conclusions.
First, during the 20 years from 1998 to 2017, the forestry TFP of China arrived at a relatively high level, with an average of 1.131, and reached an optimum relative efficiency. There were 16 years of the optimum, taking up 80% of all 20 years.
Second, China’s forestry TFP saw a strong rise during the 20 years, with an annual increase of 1.67%.
Third, the increase in the TFP was attributed to TC. During the 20 years, the average TC was 1.171, which means the total increase in TC was 17.1%, whereas the EC decreased by 3.4%, but the TFP saw a total increase of 13.1%. Thus, the increase in TFP was attributed to TC, which means that the enhancement of the forestry output efficiency was closely related to technological innovation and progress.
Fourth, during the 20 years, the EC was at a low level in most cases with a total decrease of 3.4% (PC decreased by 2.7% and SC decreased by 0.7%) from 1998 to 2017, which was the major cause lowering forestry TFP. This may be because China did not give sufficient significance to the promotion and application of advanced technologies while increasing the factor input, which led to a low utilization rate of new technologies; in addition, the low utilization rate of the production factors also led to heavy waste of production factors, in spite of the continued increased input.

3.2. Spatial Total-Factor Productivity (TFP) Index Analysis

On the basis of the geographic distribution, we analyzed the forestry TFP at the provincial level by the DEA-Malmquist, with each province as a decision-making unit. To conduct more precise calculations, all of the provinces were divided into three regions, namely, the eastern region (Beijing, Tianjin, Hebei, Liaoning, Shanghai, Jiangsu, Zhejiang, Fujian, Shandong, Guangdong, and Hainan), central region (Shanxi, Jilin, Heilongjiang, Anhui, Jiangxi, Henan, Hubei, and Hunan), and western region (Sichuan, Chongqing, Guizhou, Yunnan, Tibet, Shaanxi, Gansu, Qinghai, Ningxia, Xinjiang, Guangxi, and Inner Mongolia). The regional forestry TFP of China (1998–2017) is shown in Table 3 below.
Based on Table 3, we drew the following conclusions.
First, all three regions reached the optimum TFP, with the average of the eastern TFP at 1.177, central TFP at 1.090, and western TFP at 1.125, and only three provinces did not reach optimum TFP. Of all three regions, the eastern region had the highest TFP at 1.171 (a total increase of 17.1%), the TFP of the western region was 1.125 (a total increase of 12.5%), and the central region saw the lowest increase in TFP of 9%.
The central and western regions saw similar increases in TFP, whereas the increase in the TFP of the eastern region was almost 5% higher than that of the western region and almost twice that of the central region. Across the whole country, the national increase in the TFP was 13.1%, with the eastern region higher than the national average, the western region almost as high as the national average, and the central region slightly below the national average.
Second, the increase in the TFP in the eastern region was attributed to the quick increase in the TC in that region. The total increase in the TFP in the eastern region was 0.188, and Hebei (28.3%), Shanghai (23.6%), Beijing (22.8%), and Hainan (20.5%) all had increases of over 20%.
Third, the decrease in the EC in the central region led to a slow increase in the TFP in that region. Of all eight provinces in the central region, only Hubei achieved an increase in EC during the 20 years, which was a severely negative impact on the TFP in the region and caused a decrease of 6% in the TFP.
Fourth, the PCs of all three regions were below 1, and the SCs of the eastern and western regions were also below 1. This is the major reason for the low ECs of all three regions. Specifically, the PC and SC of the eastern region were slightly below 1, and decreased by 0.7% and 0.1%, respectively. The central region had big differences, with the PC decreasing by 6.3% and the SC increasing by 0.5%, and the western region saw sharp decreases of both the PC and SC by 1.8%.

3.3. Spatial Aggregation Analysis of the Comprehensive Technical Efficiency of the Forestry Output

Due to the regional characteristics of forestry, such as the geographic environment and the distribution of different forest resources, the comprehensive technical efficiency of the forestry output falls into different forestry output belts. In this paper, the change diagram of the comprehensive technical efficiency of the forestry output of the 31 provinces and cities was drawn (Figure 1) based on the spatial aggregation analysis during the 20 years. To better demonstrate the comprehensive technical efficiency over the years, all provinces and cities were divided into five groups (≤0.2, 0.2–0.5, 0.5–0.7, 0.7–0.9, and ≥0.9). The provinces or cities with a deeper color had a higher comprehensive technical efficiency of forestry output.
Figure 1 shows the calculation of the comprehensive technical efficiency of forestry output of all 31 provinces and cities from 1998 to 2017. All the results fell into five intervals, namely, low efficiency (0~0.2), relatively low efficiency (0.2~0.5), medium efficiency (0.5~0.7), relatively high efficiency (0.7~0.9), and high efficiency (0.9~∞). The five intervals are highlighted by five colors, and the provinces with darker colors present a higher comprehensive technical efficiency of forestry output. On the basis of the data distribution, Figure 1 can be divided into three stages, namely, stage I (1998~2004), stage II (2005~2009), and stage III (2010~2017).
Based on Figure 1, we can draw the following conclusions.
First, there was spatial aggregation in the comprehensive technical efficiency: The provinces and cities with a light color tended to be clustered together, and those with a deep color also tended to be clustered together. During the 20 years, most of the eastern provinces, such as Shandong, Jiangsu, Shanghai, Zhejiang, Fujian, and Guangdong, remained a deep color, which indicates that these regions remained high in their comprehensive technical efficiency of forestry output.
This is because these regions were the most economically developed, enjoyed the best human and technological resources, and thus maintained a high level of forestry output efficiency. The central regions, including Anhui, Jiangxi, Hunan, and Hubei, which were not as developed as the eastern regions, demonstrated a lighter color and remained on an intermediate level of comprehensive technical efficiency. The less developed western regions, such as Inner Mongolia, Qinghai, and Gansu, had the lightest colors.
Second, the comprehensive technical efficiency demonstrated obvious differences in different periods. From 1998 to 2002, Inner Mongolia, Anhui, Heilongjiang, Liaoning, Sichuan, and Yunnan all experienced varying degrees of decreases in comprehensive technical efficiency. From 2003 to 2007, Henan, Hubei, and Hunan in the central region saw fast increases in the comprehensive technical efficiency of forestry output, and became deep colors, whereas Xijiang and Heilongjiang decreased to the lowest level. From 2008 to 2010, the technical efficiency of Shandong, Jiangsu, and Sichuan increased, whereas Inner Mongolia saw a sharp decrease. From 2012, however, the national comprehensive technical efficiency retained an upward trend, with the color gradually becoming light from east to west.
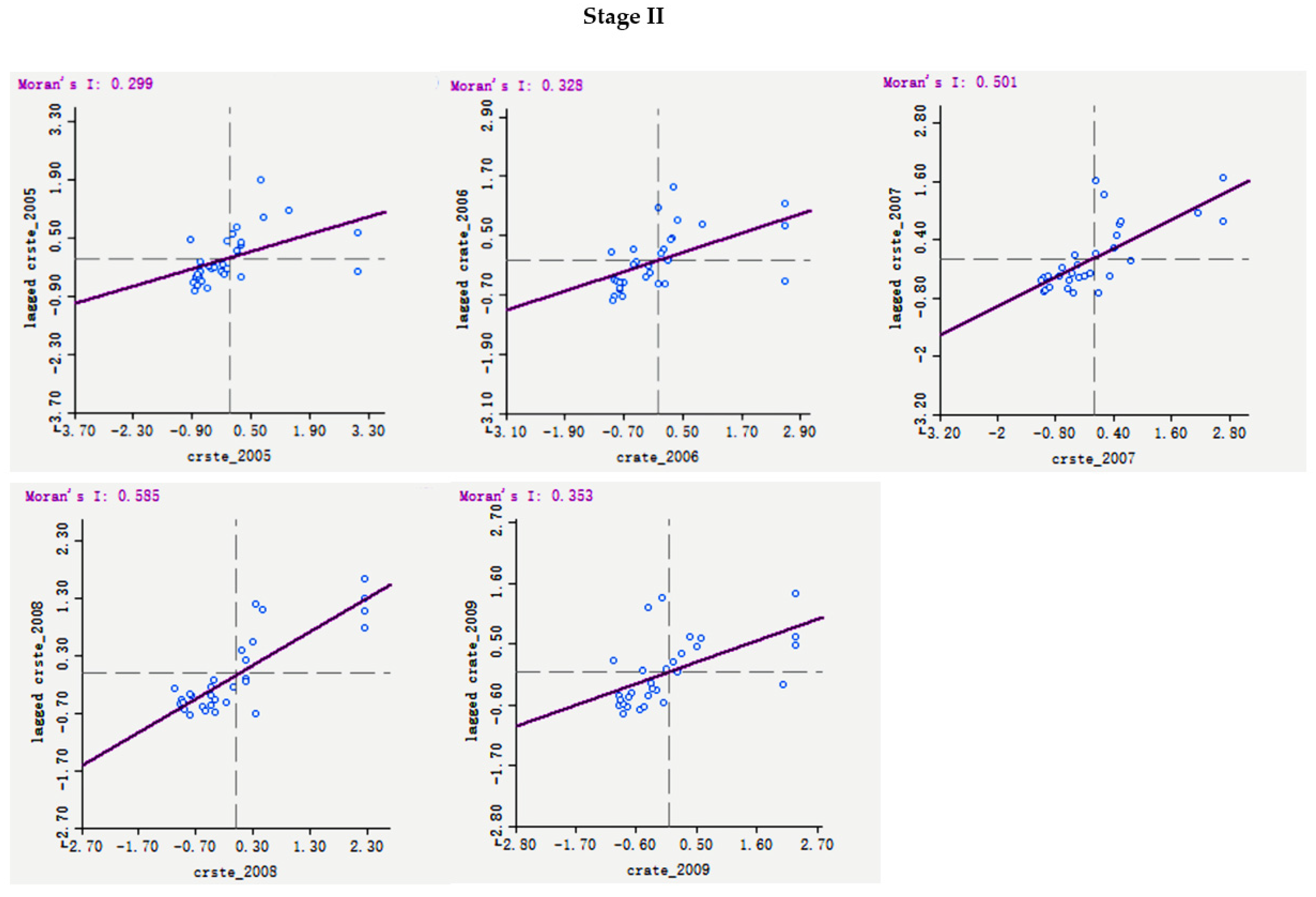
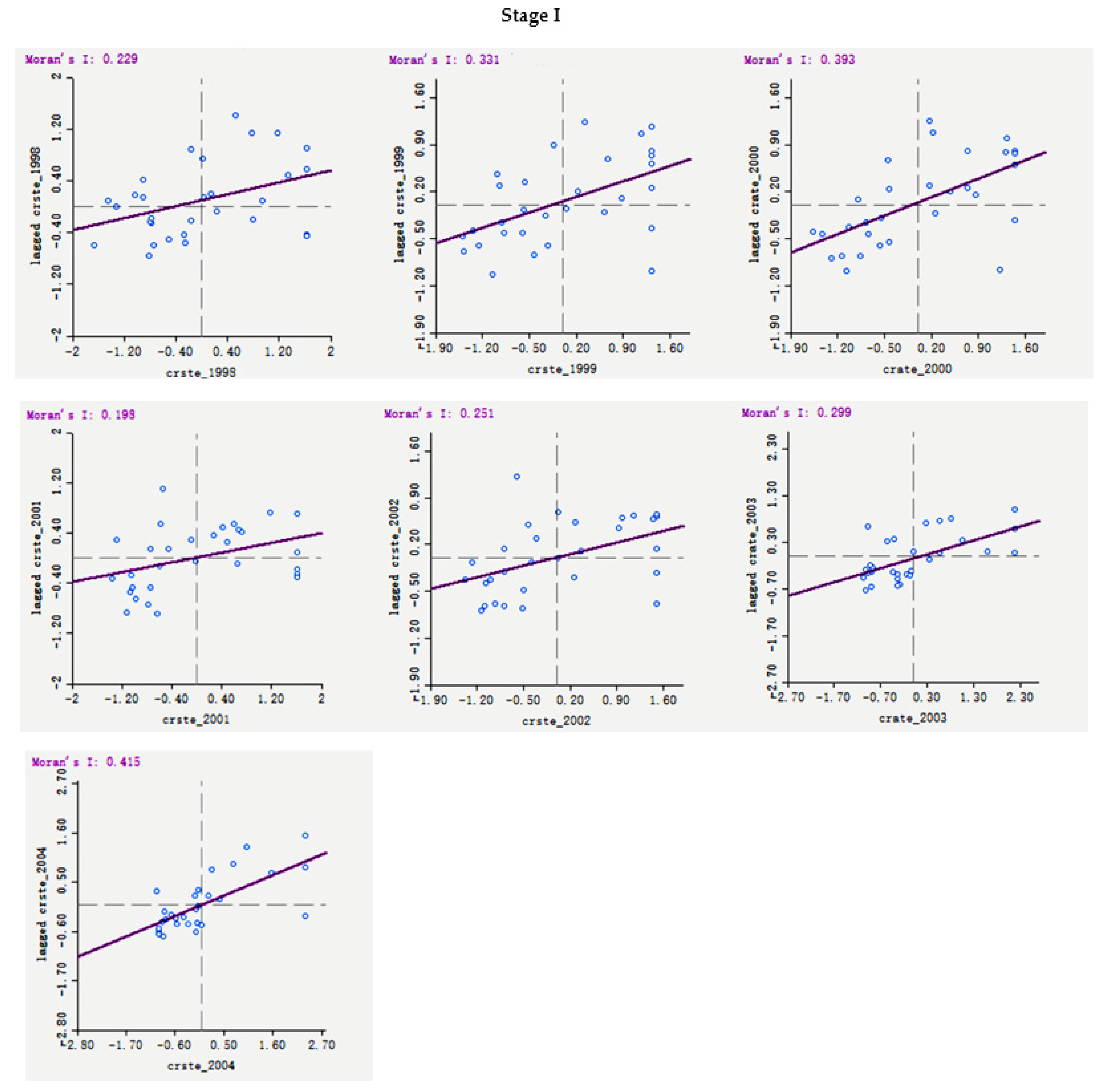
Due to the spatial aggregation of the comprehensive technical efficiency of forestry output, we further conducted spatial correlation analysis of the spatial aggregation to explore the forestry development trend in different regions. The local Moran’s index was used to investigate the changing trend of spatial aggregation of comprehensive technical efficiency of the forestry output in the 31 provinces and cities, and the results are demonstrated by scatter diagrams in Figure 2. We used variable Z and the spatial lag vector Wz to form the coordinate systems. The details of the four quadrants are as follows:
  • The first quadrant (high–high, HH): Regions with high observed value are surrounded by other regions with high value.
  • The second quadrant (low–high, LH): Regions with low observed value are surrounded by other regions with high value.
  • The third quadrant (low–low, LL): Regions with low observed value are surrounded by other regions with low value.
  • The fourth quadrant (high–low, HL): Regions with high observed value are surrounded by other regions with low value.
The first and third quadrants represent positive spatial correlations, which are the spatial relations of similar observed values. The second and fourth quadrants represent negative spatial correlations, which are the spatial relations of different observed values.
Moran’s index verifies whether there is correlation among the entities in a specific space, and the index varies from −1 to 1. If the value falls into [0, 1], it means the entities are positively correlated; if the value falls into [−1, 0], the entities are negatively correlated; and if the value is 0, the entities are not correlated to each other. Therefore, in this paper Moran’s index was used to evaluate the spatial correlation of the 31 provinces in terms of forestry output efficiency and reveal the geographical features of those correlating provinces.
Figure 2 shows the local Moran’s index scatter diagrams of the comprehensive technical efficiency of forestry output of the 31 provinces and cities. Moran’s index was used to depict the correlation between variable Z and the spatial lag vector Wz. In the diagram, the horizontal axis (Z) represents the Moran’s index of the comprehensive technical efficiency of neighboring provinces; the vertical axis (Wz) represents the spatial weighted average of the comprehensive technical efficiency of neighboring provinces. On the basis of the data distribution, Figure 2 can be divided into three stages, namely, stage I (1998~2004), stage II (2005~2009), and stage III (2010~2017).
Based on Figure 2, we can draw the following conclusions.
First, the average Moran’s index of the 31 provinces and cities was 0.371, with the highest at 0.585 in 2008 and the lowest at 0.198 in 2001. As shown in the scatter diagrams, there were positive spatial correlations in the comprehensive technical efficiency of the forestry output in different provinces and cities. All of the indexes went through the statistical test, which indicated positive spatial correlations among the comprehensive technical efficiency of the forestry output. The Moran’s index and the test value p are shown in Table 4.
Second, according to Figure 2, the points were mainly scattered in the first and third quadrants of each scatter diagram, which means the comprehensive technical efficiency of the forestry output of the 31 provinces and cities fell into the high–high (HH) or low–low (LL) clusters, and the neighboring regions shared similar characteristics. From 1998 to 2017, the comprehensive technical efficiencies of the forestry output of all provinces and cities were on an upward trend of high aggregation, with the indices in 2007, 2008, and 2010 above 0.5. In 2008 in particular, there were nine and 17 provinces or cities scattered in the first and third quadrants, respectively. From 2012 to 2017, except for the decrease in 2015, the Moran’s indices of the other years were all over 0.4 and maintained stable spatial aggregation, which means the regional aggregation of forestry in China was in a stabilized state.

3.4. Influencing Factor Analysis of Comprehensive Technical Efficiency of Forestry Output

In this section, a panel data model was used to analyze the influencing factors for the comprehensive technical efficiency of the forestry output, and a fixed effect model was utilized for the analysis, based on a simple effect test. In accordance with the statistical features, the model was optimized for the comparative data analysis between the fixed effect model (fe) and robust fixed effect model (fe robust).
According to the calculations in Table 5, we drew the following conclusions.
First, the overall degree of fitting and the level of significance indicate that the parameters were generally very significant. The degree of fitting was 0.2914, and the F-value was 24.06.
Second, all four variables were significant under the significance level of 0.05, which indicates the fixed asset input, employed personnel, total output value, and timber output were all significant in influencing the comprehensive technical efficiency of the forestry output.
Third, the fixed asset input and employed personnel imposed negative influences upon the comprehensive technical efficiency of the forestry output. According to the regression coefficient, the change in employed personnel had bigger influences upon the comprehensive technical efficiency of forestry output compared to the change in the fixed asset input.
Fourth, the total output value and timber output imposed positive influences upon the comprehensive technical efficiency of the forestry output. When the total output value and timber output increased, the comprehensive technical efficiency of the forestry output also went up. The regression coefficient of the total output value (0.184) to the comprehensive technical efficiency of forestry output was higher than that of the timber output (0.125), which indicates that the total output value was more influential on the comprehensive technical efficiency of forestry output.

3.5. Analysis and Discussion

Based on the previous calculation of the forestry TFP of China, it is clear that the forestry output efficiency of China in the 20 years from 1998 to 2017 experienced temporal fluctuations and spatial differences and unevenness in geographic distribution. The detailed analysis is as follows.
In the temporal dimension, the forestry TFP showed obvious periodical changes alternatively between fluctuation and stability in different stages. From 1998 to 2004 (stage I), the TFP showed an increasing trend while fluctuating around the optimal value 1, and the year of the biggest fluctuation was 2003 with an increase of 0.489, almost 50.46% higher than the previous year. Stage I was characterized by fluctuation, which was a result of China’s major forestry policy adjustment and change during that time. From 2005 to 2009 (stage II), the TFP basically maintained a stable and optimal status and experienced slight fluctuations. In this stage, China’s forestry experienced steady development as a result of clear developmental targets and smooth implementation of forestry policy. From 2010 to 2017 (stage III), the TFP saw occasional fluctuations in optimal status. The first fluctuation started in 2010 and lasted until 2013, when the TFP underwent a sharp increase (of 53.32%) and decrease (of 28.5%); the second fluctuation continued from 2015 to 2017, when the TFP underwent a sharp decrease (of 18.73%) and increase (50.27%). During this period, the forestry policy was stable, but the implementation and administration were extremely strict, which caused unstable development expectations for forestry.
In the spatial dimension, the TFP of each province presented regional differences and an uncertain variation trend. The eastern region saw the biggest increase in the TFP and led the national development of forestry; the increase in the TFP in the central region was below the national average; there was a big difference among the provinces in the western region, and two of the three provinces that did not reach optimum TFP were located in the western region. This spatial distribution of TFP accorded with the advantage distribution of the three regions. The eastern region is abundant in capital and human resources, and the technological progress gave a strong boost to the forestry development and hence the increase in the TFP in this region. Lacking in human resources and capital, the western region is abundant in forest resources, and thus maintained a relatively high TFP. The central region, however, had no advantages of capital, human resources, or forest resources, and therefore suffered the lowest TFP among the three regions.
Moreover, during the 20 years from 1998 to 2017, the TFP of the forestry output in China reached a relatively high level, with more than 80% of the years being above the optimal status. The increase in the TFP is attributed to the fast growth of the TC, which reached optimal status for 19 years, but the EC, on the other hand, was generally on a declining trend. In this sense, during the 20 years, the forestry output efficiency in China was on an upward trend, which was a result of technological innovation; however, the technology promotion and application lagged and did not contribute to the enhancement of the forestry output efficiency.
Finally, the four influencing factors, including the fixed asset input, employed personnel, total output value, and timber output, all had significant influences upon the comprehensive technical efficiency of the forestry output. The fixed asset input and employed personnel had negative influences, whereas the total output value and timber output had positive influences. This indicates that the increased input did not contribute to the increase in the comprehensive technical efficiency of the forestry output, and the surplus fixed asset input caused a waste of resources. The influence of the employed personnel was also negative, likely due to the surplus of forestry personnel, which lowered the efficiency of forestry development.

4. Conclusions

Based on the previous analysis, the research results of this paper can be concluded as follows.
First, during the 20 years from 1998 to 2017, the TFP of the forestry output in China reached a relatively high level, with three characteristic stages of fluctuating increase (1998–2004), steady development (2005–2009), and occasional sharp fluctuations (2010–2017). The periodic changes in the TFP are correlated with China’s forestry policy adjustment and development trend, and accorded with the forestry policy preference.
Second, the increase in the TFP is attributed to the fast growth of the TC, but the EC, on the other hand, was generally on a declining trend. In this sense, during the 20 years, forestry output efficiency in China was on an upward trend, which was a result of technological innovation. However, the technology promotion and application lagged and did not contribute as much to the enhancement of the forestry output efficiency.
Third, forestry output efficiency presented regional differences and an uncertain variation trend in each province. In terms of the TFP of forestry, the eastern region was the highest, the central region was the lowest, and the western region was in the middle. These regional differences are closely related to the socioeconomic development and the abundance of forest resources, as well as the implementation of forestry policy in each region.
Fourth, the comprehensive technical efficiency of forestry output was influenced by the fixed asset input, employed personnel, total output value, and timber output. These four influencing factors affected the efficiency through different input and output paths.
Finally, in order to tackle the problems mentioned above, substantial actions should be taken accordingly. (1) The government and forestry authorities should establish a relatively stable system of forestry policies and maintain continued implementation of those policies to guarantee coherent and sustainable forestry development. (2) More efforts should be made to promote and popularize the latest and innovative forestry technologies so as to further increase forestry output efficiency. (3) More resources (policy, capital, personnel, technology, etc.) should be allocated to provinces with low and medium TFP to narrow the gap between the eastern, western, and central regions, and facilitate balanced national forestry development, thus contributing to global sustainable forestry development. (4) A mechanism should be initiated to adjust the interaction of fixed asset input, employed personnel, total output value, and timber output so as to reach optimal forestry output efficiency.

Author Contributions

Conceptualization, W.C.; methodology, W.C.; formal analysis, Y.L.; investigation, Y.L.; resources, Y.L.; writing—original draft preparation, Y.L.; writing—review and editing, Y.L.; supervision, J.L.; project administration, W.C. All authors have read and agreed to the published version of the manuscript.

Funding

This research was funded by the National Natural Science Foundation of China (NSFC) (No. 71573018).

Institutional Review Board Statement

Not applicable.

Informed Consent Statement

Not applicable.

Data Availability Statement

Not applicable.

Conflicts of Interest

The authors declare no conflict of interest.

References

  1. Yang, W. Practical Research on the Total Factor Productivity of Forestry of China Based on DEA. Master’s Thesis, Beijing Forestry University, Beijing, China, 2010. [Google Scholar]
  2. Zhou, Y.; Liang, X. Convergence Analysis of Total Factor Productivity of Forestry in China. China For. Econ. 2020, 4, 48–52. [Google Scholar] [CrossRef]
  3. Li, C.; Li, N.; Luo, H.; Wang, B. Analysis and Optimization on the Forestry Output Efficiency of China Based on DEA. China Agric. J. 2011, 27, 55–59, CNKI:SUN:ZNTB.0.2011-19-015. [Google Scholar]
  4. Lai, Z.; Zhang, Z. Analysis on Forestry Output Efficiency in Guangdong Province Based on DEA. For. Econ. Issues 2008, 4, 323–326. [Google Scholar] [CrossRef]
  5. Tian, S.; Xu, W. Assessment on Forestry Output Efficiency of China based on DEA. Resour. Sci. 2012, 34, 1944–1950, CNKI:SUN:ZRZY.0.2012-10-020. [Google Scholar]
  6. Mi, F.; Liu, Z.; Li, Z.; Ji, Y. Practical Analysis on Forestry Output Efficiency and Influencing Factors of Gansu Province Based on DEA. For. Econ. 2013, 37, 100–104. [Google Scholar] [CrossRef]
  7. Bian, J.; Zhao, G. Assessment on Forestry Output Efficiency of Heilongjiang Province Based on DEA. For. Econ. 2019, 41, 63–68. [Google Scholar] [CrossRef]
  8. Huang, A.; Xu, J.; Su, S.; Liu, Z. Research on Forestry Output Efficiency of South China after Reform of Collectively-owned Forest Right System. For. Econ. 2014, 36, 109–113, 124. [Google Scholar] [CrossRef]
  9. Yang, X.; Deng, S.; Liu, W. Analysis on Forestry Output Efficiency of Fujian Province Based on DEA. China For. Econ. 2017, 1–5. [Google Scholar] [CrossRef]
  10. Lv, J.; Fu, S.; Zhang, B. Research on Forestry Output Efficiency of Key National Forest Zones in Heilongjiang Province. For. Econ. Issues 2019, 39, 300–306. [Google Scholar] [CrossRef]
  11. Liao, G.; He, P.; Gao, X.; Deng, L.; Zhang, H.; Feng, N.; Zhou, W.; Deng, O. The Production–Living–Ecological Land Classification System and Its Characteristics in the Hilly Area of Sichuan Province, Southwest China Based on Identification of the Main Functions. Sustainability 2019, 11, 1600. [Google Scholar] [CrossRef]
  12. Chen, J.; Zhang, Y.; Tian, X. Research on the R&D Input-Output Efficiency Based on DEA Model. Shanxi Technol. 2018, 33, 41–44, CNKI:SUN:SXKJ.0.2018-02-013. [Google Scholar]
  13. Moutinho, V.; Madaleno, M. A Two-Stage DEA Model to Evaluate the Technical Eco-Efficiency Indicator in the EU Countries. Int. J. Environ. Res. Public Health 2021, 18, 3038. [Google Scholar] [CrossRef] [PubMed]
  14. Wei, J.; Zhang, L. Analysis on Forestry Input and Output Efficiency in Guangxi. J. Cent. South Univ. Forest. Technol. 2016, 10, 55–60. [Google Scholar] [CrossRef]
  15. Ying, Z.; Guihong, Y.; Zhuowei, L. Analysis on Forestry Input and Output Efficiency in Beijing Based on DEA mode. J. Beijing Forest. Univ. 2016, 38, 105–112. [Google Scholar] [CrossRef]
  16. Domingues, M.V.J.P.; Dinis, F.A.J. Forest Resources Management and Sustainability: The Specific Case of European Union Countries. Sustainability 2020, 13, 58. [Google Scholar] [CrossRef]
  17. Wang, C.-N.; Lin, H.-S.; Hsu, H.-P.; Le, V.-T.; Lin, T.-F. Applying Data Envelopment Analysis and Grey Model for the Productivity Evaluation of Vietnamese Agro-forestry Industry. Sustainability 2016, 8, 1139. [Google Scholar] [CrossRef]
  18. Yu, X.; Ma, S.; Kang, C.; Kyriakopoulos, G.L. An Evaluation System for Sustainable Urban Space Development Based in Green Urbanism Principles—A Case Study Based on the Qin-Ba Mountain Area in China. Sustainability 2020, 12, 5703. [Google Scholar] [CrossRef]
  19. Wang, R.; Xia, B.; Dong, S.; Li, Y.; Li, Z.; Ba, D.; Zhang, W. Research on the Spatial Differentiation and Driving Forces of Eco-Efficiency of Regional Tourism in China. Sustainability 2021, 13, 280. [Google Scholar] [CrossRef]
  20. Simões, P.; Carvalho, M.L.; Aleixo, S.; Gomes, S.; Natário, I. A Spatial Econometric Analysis of the Calls to the Portuguese National Health Line. Econometrics 2017, 5, 24. [Google Scholar] [CrossRef]
  21. Álvarez-Herranz, A.; Macedo-Ruíz, E. An Evaluation of the Three Pillars of Sustainability in Cities with High Airbnb Presence: A Case Study of the City of Madrid. Sustainability 2021, 13, 3220. [Google Scholar] [CrossRef]
Figure 1. Comprehensive technical efficiency of forestry output of 31 provinces and cities (1998–2017).
Figure 1. Comprehensive technical efficiency of forestry output of 31 provinces and cities (1998–2017).
Sustainability 13 04687 g001aSustainability 13 04687 g001b
Figure 2. Local Moran’s Index scatter diagrams (1998–2017).
Figure 2. Local Moran’s Index scatter diagrams (1998–2017).
Sustainability 13 04687 g002aSustainability 13 04687 g002bSustainability 13 04687 g002c
Table 1. Forestry output efficiency indicators. 1 All the data is collected from China Forestry Statistical Yearbook (1998–2017).
Table 1. Forestry output efficiency indicators. 1 All the data is collected from China Forestry Statistical Yearbook (1998–2017).
Indicator CategoryIndicator TypeIndicator SelectionUnit
Input IndicatorAsset inputFixed asset input10,000 RMB
Human inputEmployed personnelPerson
Output IndicatorEconomic outputtotal output10,000 RMB
Primary forestry output10,000 RMB
Secondary forestry output10,000 RMB
Tertiary forestry output10,000 RMB
Physical outputTimber output10,000 m3
Table 2. The total factor productivity (TFP) of forestry in China (1998–2017), including the technical efficiency change index (EC) and technological progress change index (TC), as well as the components of the EC, including the pure technical efficiency change index (PC) and scale technical efficiency change index (SC).
Table 2. The total factor productivity (TFP) of forestry in China (1998–2017), including the technical efficiency change index (EC) and technological progress change index (TC), as well as the components of the EC, including the pure technical efficiency change index (PC) and scale technical efficiency change index (SC).
YearPCSCECTCTFP
1998–19990.8670.9940.8621.1040.952
1999–20000.8590.9750.8371.0430.873
2000–20010.8871.1260.9991.1381.137
2001–20020.7760.9330.7241.3390.969
2002–20030.7841.1080.8691.6791.458
2003–20041.0070.9840.9911.0811.071
2004–20051.3150.7510.9871.0541.04
2005–20060.8521.1220.9551.1421.091
2006–20071.2750.8031.0251.0261.052
2007–20080.8531.1871.0121.1451.159
2008–20091.0191.0231.0430.9781.02
2009–20100.9341.0991.0261.1751.206
2010–20111.4150.8251.1671.5851.849
2011–20120.981.0060.9871.341.322
2012–20131.0960.9251.0141.1591.175
2013–20140.921.0780.9921.081.071
2014–20151.0990.9361.0291.0891.121
2015–20160.8930.9180.821.1110.911
2016–20170.9231.2351.1411.21.369
Average0.9730.9930.9661.1711.131
Table 3. The regional forestry TFP of China (1998–2017).
Table 3. The regional forestry TFP of China (1998–2017).
RegionPCSCECTCTFP
Beijing0.9370.9680.9081.2281.115
Tianjin1.0021.0251.0271.1461.177
Hebei0.9790.9940.9721.2831.247
Shanghai1.0001.0061.0061.2361.243
Jiangsu0.9821.0000.9821.1881.167
Liaoning0.9420.9830.9271.1751.089
Shandong1.0140.9901.0041.1761.180
Zhejiang1.0001.0001.0001.1781.178
Fujian1.0001.0031.0031.1041.108
Guangdong1.0311.0031.0331.1481.186
Hainan1.0351.0121.0481.2051.262
Average of the Eastern Region0.9930.9990.9921.1881.177
Anhui0.9630.9990.9631.1051.063
Shanxi0.9890.9370.9271.3251.228
Jilin0.8851.0420.9221.1541.063
Heilongjiang0.8111.0630.8621.0830.933
Jiangxi0.9761.0010.9771.1331.106
Henan0.9341.0000.9341.1901.112
Hubei1.0081.0011.0091.1841.195
Hunan0.9301.0000.9291.0951.018
Average of the Central Region0.9371.0050.9401.1591.090
Sichuan0.9701.0050.9751.2321.201
Chongqing1.0200.9871.0071.2381.247
Guizhou1.0351.0031.0381.0561.096
Yunan1.0010.9991.0001.0911.091
Tibet0.9400.9390.8831.0970.969
Shaanxi0.9490.9870.9361.1761.101
Gansu0.9670.9530.9221.2291.132
Qinghai0.9980.9170.9151.1961.094
Ningxia1.0130.9810.9941.2721.264
Xinjiang0.9841.0020.9861.1821.165
Guangxi1.0221.0131.0361.1131.153
Inner Mongolia0.8840.9940.8791.1270.991
Average of the Western Region0.9820.9820.9641.1671.125
Average0.9730.9930.9661.1711.131
Table 4. Moran’s index and p-values (1998–2017).
Table 4. Moran’s index and p-values (1998–2017).
YearMoran’s Ip-Value
19980.2290.018
19990.3310.002
20000.3930.001
20010.1980.028
20020.2510.022
20030.2990.004
20040.4150.001
20050.2990.008
20060.3280.01
20070.5010.001
20080.5850.001
20090.3530.004
20100.5170.001
20110.2140.021
20120.4650.001
20130.4570.001
20140.4250.002
20150.3090.003
20160.420 0.002
20170.4270.001
Table 5. Calculation of the optimized fixed effect model and robust fixed effect model. 2 All the data is collected from China Forestry Statistical Yearbook (1998–2017).
Table 5. Calculation of the optimized fixed effect model and robust fixed effect model. 2 All the data is collected from China Forestry Statistical Yearbook (1998–2017).
VariableFixed Effect Regression (fe)Robust Fixed Effect Regression (fe Robust)
Fixed asset input (t)−0.116 ***−0.116 ***
(−7.15)(−2.90)
Employed personnel (t)−0.290 ***−0.290 ***
(−5.09)(−3.88)
Total output value (t)0.184 **0.184
(2.21)(1.87)
Timber output (t)0.123 ***0.123 **
(4.79)(2.35)
Intercept1.995 ***1.995 ***
(7.49)(7.22)
** p < 0.05 and *** p < 0.01.
Publisher’s Note: MDPI stays neutral with regard to jurisdictional claims in published maps and institutional affiliations.

Share and Cite

MDPI and ACS Style

Lin, Y.; Chen, W.; Liu, J. Research on the Temporal and Spatial Distribution and Influencing Factors of Forestry Output Efficiency in China. Sustainability 2021, 13, 4687. https://doi.org/10.3390/su13094687

AMA Style

Lin Y, Chen W, Liu J. Research on the Temporal and Spatial Distribution and Influencing Factors of Forestry Output Efficiency in China. Sustainability. 2021; 13(9):4687. https://doi.org/10.3390/su13094687

Chicago/Turabian Style

Lin, Yu, Wenhui Chen, and Junchang Liu. 2021. "Research on the Temporal and Spatial Distribution and Influencing Factors of Forestry Output Efficiency in China" Sustainability 13, no. 9: 4687. https://doi.org/10.3390/su13094687

APA Style

Lin, Y., Chen, W., & Liu, J. (2021). Research on the Temporal and Spatial Distribution and Influencing Factors of Forestry Output Efficiency in China. Sustainability, 13(9), 4687. https://doi.org/10.3390/su13094687

Note that from the first issue of 2016, this journal uses article numbers instead of page numbers. See further details here.

Article Metrics

Back to TopTop