Dynamic Route Flow Estimation in Road Networks Using Data from Automatic Number of Plate Recognition Sensors
Abstract
1. Introduction
2. Literature Review and Contributions of This Paper
2.1. The Dynamic Traffic Assignment (DTA)
- First-in-first-out (FIFO) rule: vehicles that enter the link earlier will leave it sooner.
- Causality: speed and travel time of a vehicle on a link are only affected by the speed of vehicles ahead.
- Queue spillback: end of the queue spilling backwards in the network.
2.2. Dynamic O-D Matrix Estimation from Field Data
2.3. Contributions of This Paper
3. Notation
| Link. | |
| Set of links. | |
| Set of links associated to cumulative observed flow . | |
| Lower bound of link travel time for vehicles entering link at time . | |
| Travel time assuming the maximum allowed speed on link . | |
| Cumulative flow associated with the exit of link by time . | |
| Flow intensity associated with the exit of link by time . | |
| Cumulative flow associated with the exit of link and route by time . | |
| Flow intensity associated with the exit of link and route by time . | |
| Prior or out-of-date route flow intensity at the origin of each route at time . | |
| Route flow intensity at the origin of each route at time . | |
| Prior or out-of-date cumulative flow intensity at the origin of each route at time . | |
| Cumulative flow intensity at the origin of each route at time . | |
| Iteration of the CDNL approach. | |
| Iteration of the global approach. | |
| Set of nodes. | |
| Queue dissipation time. | |
| Route. | |
| Set of routes. | |
| Set of all links downstream of link . | |
| Exit time of the vehicle that enters the link at time . | |
| Link exit time of a user who enters link at time . | |
| Set of discrete times to be considered for . | |
| Tolerance. | |
| Registered travel time of the vehicle. | |
| Cumulative observed flow in set recorded with the sensor installed in link up to time . | |
| Number of vehicles (link volume) in link at time . | |
| Maximum number of vehicles (link capacity) in link leading to a travel time . | |
| Saturation factor of link . | |
| Saturation exponent of link . | |
| Saturation factor ahead of link . | |
| Control error of the CDNL approach. | |
| Control error of the global approach. | |
| Departure time of a vehicle that follows route and left the link at time . | |
| Route-set of scanned links incidence matrix. | |
| Relaxation factor. | |
| Entry time of a vehicle that exists in link at time . | |
| Exit time of a vehicle from link associated with entering it at time at iteration, . | |
| Observed flow proportion in set that used sub-route during the period of time from to | |
| Link-sub-route incidence matrix. |
4. Background
The CDNL Model
- The network topology.
- The route cumulative flow, , or alternatively, the flow intensity, at the origin of each route, .
- = {5, 10}, where the vehicles that transverse links 5 and 10 can be computed;
- = {10}, where the vehicles that use only in link 10 can be computed;
- = {3, 10}, where the vehicles to be scanned in links 3 and 10 can be computed;
- = {7, 10}, where the vehicles to be scanned only in links 7 and 10 can be computed.
5. The Proposed Model for Dynamic Route Flow Estimation Using Data from ANPR Sensors
5.1. Model Assumptions
- The link travel time has to be a continuous function to obtain the departure time of each identified vehicle in the ANPR sensor. Using a discretized function, this cannot be done.
- To guarantee that the FIFO rule holds, the link travel time function has to be monotonously increasing, and this spline guarantees that (see the Matlab manual for pchip function).
- During the data collection, one can find a high number of problems which may suggest that the used OCR (Optical Character Recognition) technique leads to a wrong or incomplete plate. Among these, we can name a few: high speed of the vehicles, a vehicle hiding the plate of another, blurry image, image with high brightness due to the sun position, the vehicle is far from the camera so the plate cannot be identified, the angle of the vehicle with respect to the sensor made the plate unreadable, etc. These problems can be mitigated using a sensor of high quality, installing replicated sensors (i.e., several sensors which register the same traffic flow) and/or with a detailed study of the sensor position in the scanned link or avoiding links where those problems are expected. In short, trying to minimize the probability of error in the data-collection phase (see, for example, Castillo et al. [58] and Álvarez-Bazo et al. [40], where the authors worked in this direction).
- Once the data are collected, if the plate number is wrong, the user cannot be correctly identified passing for the links of its(the same user may appear in several rows of a dataset, such as the one shown in Table 3). Therefore, this user will be assigned to a wrong(or even to several) and hence, computed as a user of another route (see, for example, Sánchez-Cambronero et al. [59] or Zhu et al. [60]). To deal with this problem, specific models are needed were data besides the license plate (such as, for example, the vehicle’s manufacturer, model, color, etc.) can be useful to assign each user to the correct.
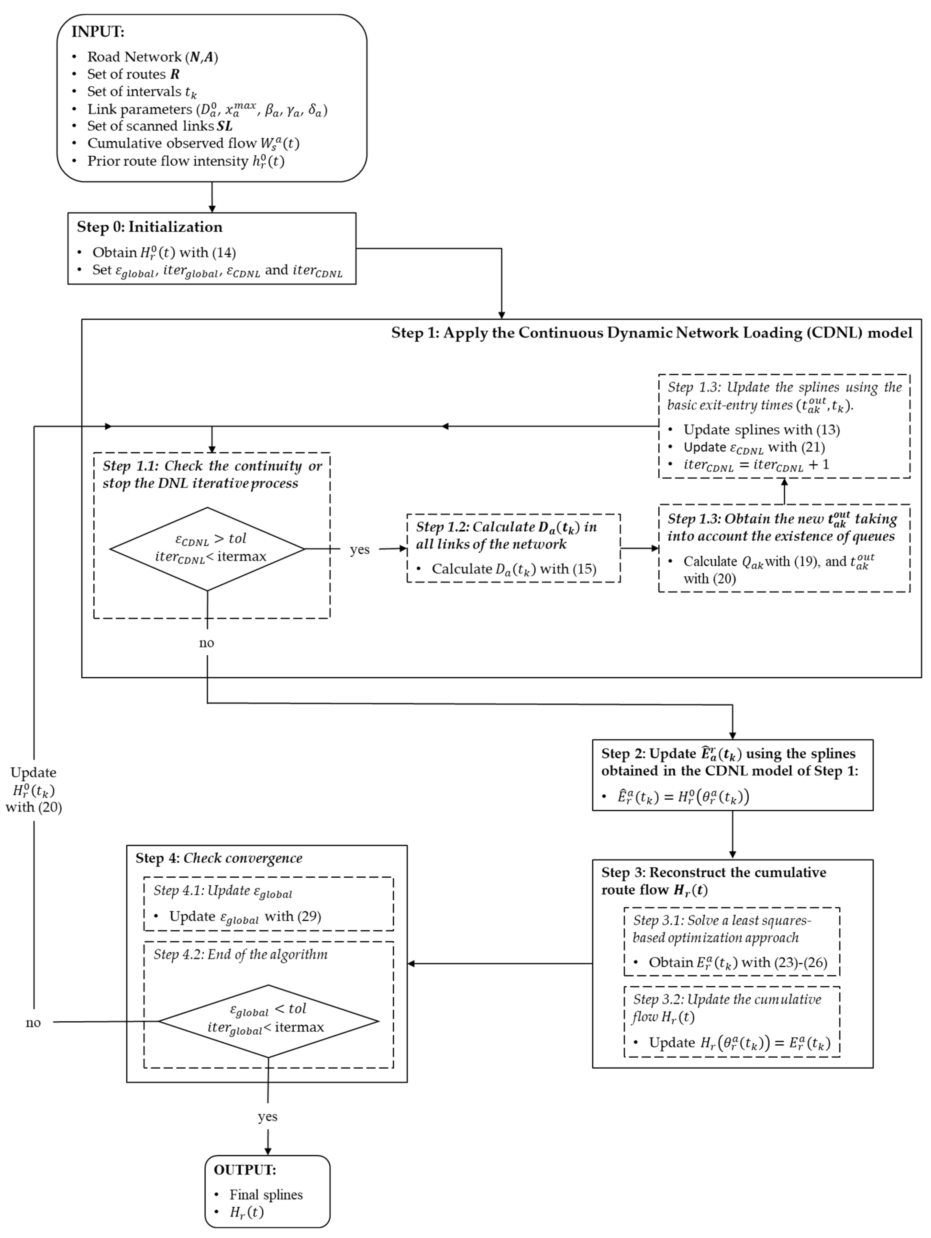
5.2. The Proposed Algorithm
- to control the differences in the results between two consecutive iterations of the global approach.
- to start the iteration process of the global approach.
- to control the differences in the results between two consecutive iterations of the CDNL approach.
- to start the iteration process of the CDNL approach.
6. Examples of Application
6.1. The Simple Illustrative Example
- The assumed “true” origin route flow intensities were obtained using the following parameters to compute Equation (31):
- ∘
- .
- ∘
- ; .
- ∘
- .
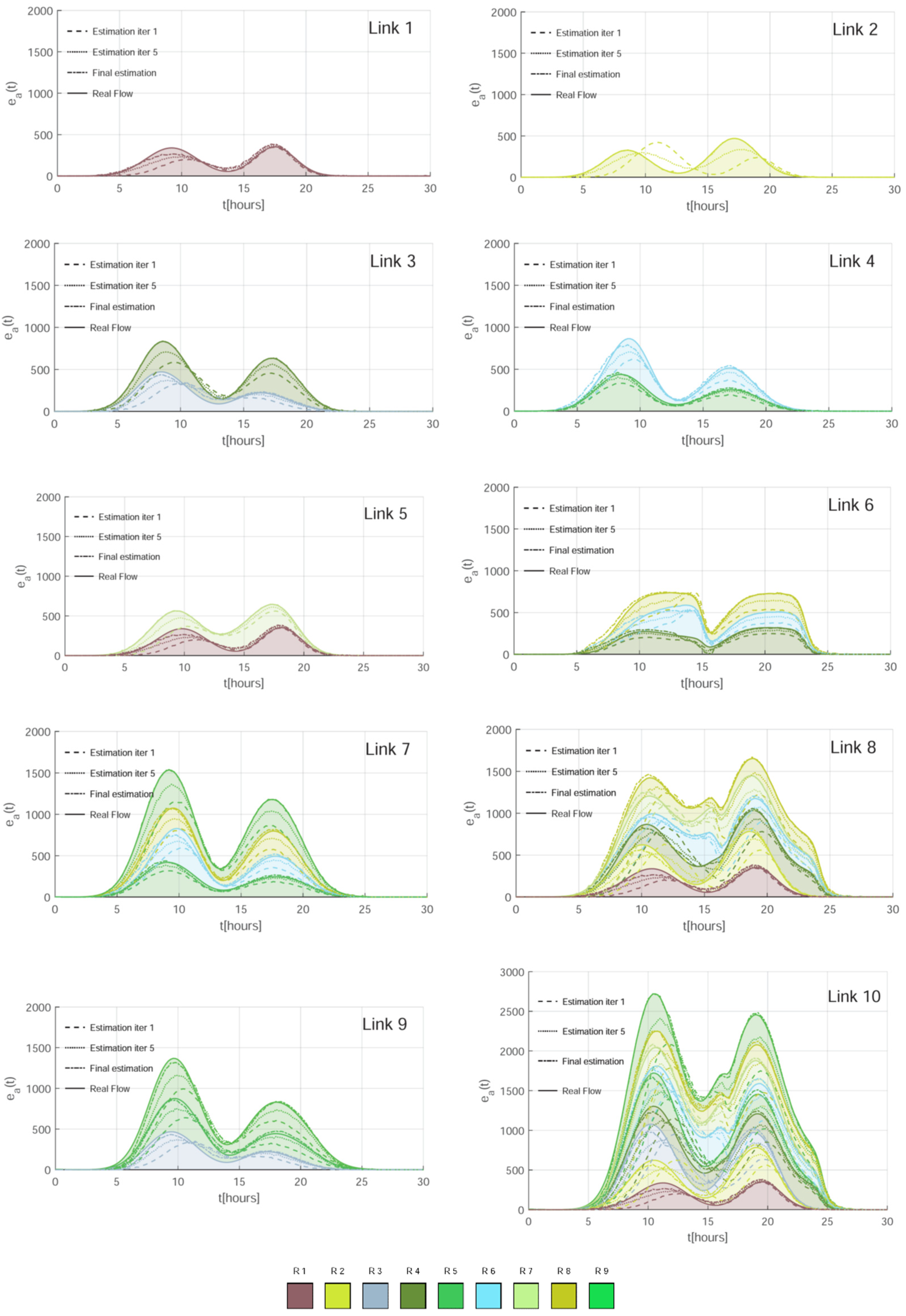
- The network was loaded using the model described in Step 1 of the proposed algorithm.
- Each scanned vehicle was simulated using the previous results to obtain the curves shown in Figure 3.
6.2. The Nguyen-Dupuis Network
6.3. The Eastern Massachusetts Network
7. Conclusions and Future Research
7.1. Conclusions
- The proposed model is based on the interesting results of Castillo et al. [22] (continuous dynamic estimation of travel times, traffic flows in links and routes, etc.). One of the steps forward in this paper is the use of field data from ANPR sensors to estimate the dynamic route flows. In addition, the examples of applications exposed in this paper have proven the good performance of the estimations.
- Because the link exit–entry time functions were approximated by monotone cubic-spline functions, the model, which satisfies the FIFO rule, is able to model the link travel time at any time, which allows to easily introduce the field data (i.e., data of each single scanned vehicle) in order to reconstruct the dynamic route flow and to evaluate its travel time. In any case, if the approximation is not enough, the number of basic points can be increased.
- The knowledge of the dynamic traffic intensities during the day is very useful for authorities and transportation engineers and planners to know the mobility guidelines (i.e., departure times, routes, speeds, etc.). For example, for a peak hour of a given link, the proposed model allows (using to identify the worst time to start each route. This information can be used to develop sustainable policies which, for example, persuade certain users to modify their mobility patterns in order to improve the global performance of the network (switch to a sustainable mode, create a new bus route, etc.).
- The model developed in this paper is not proposed to provide results in real-time. On the contrary, the aim of the proposed model is to estimate the flows of a network using some observed variables which do not need to be obtained with a low CPU time. In any case, the used code was not optimized, and a more careful programming may lead to a faster development.
- The model has been applied to medium-sized networks, which made it useful in the engineering practice. For example, regarding sustainable transportation applications, the proposed approach can be integrated in a model to quantify the vehicle emissions throughout the day, which is a topic of great interest in many recent works (see Wang et al. [5] for more detail). The results can also be used to provide the basic historical day-by-day data, which can be used to predict (in real time) traffic conditions in the near future (see Castillo et al. [64] as an example).
7.2. Future Research
- The existing models to locate ANPR sensors (such as the one used to locate the sensors in Figure 10) do not consider the advantages of considering restriction (25). The results shown in this paper prove the advantages of taking into account the travel time information to improve the dynamic traffic flow estimation. Therefore, a sensor location model to take even more advantage of the data from ANPR is needed.
- The results of the GLS-based optimization model proposed in this paper (Step 3 of the algorithm) is greatly influenced by the prior information, which may be very different to the real flow performance. Therefore, it is necessary to explore other models capable of reconstructing the cumulative route flow.
- The examples of applications shown in this paper are based on simulated traffic flows, including the vehicles’ plates and passing times. However, it is true that since we have used the proposed Continuous Dynamic Network Loading to simulate those plates, a real experiment needs to demonstrate the real power of the model. In particular, the real data should be used to calibrate the parameters of the used density-flow function and to evaluate the errors in the field data collected by the ANPR sensors. In any case, since the real intensity flows usually look like those simulated in the examples, we expect that the model would reproduce the real situation fairly well.
- There is a proven interest in quantifying the emissions of the vehicles in a network. For that reason, it would be interesting to combine the proposed model with an emission model, such that the estimated flows can be introduced as input to quantify the vehicle emissions throughout a day.
Author Contributions
Funding
Institutional Review Board Statement
Informed Consent Statement
Data Availability Statement
Acknowledgments
Conflicts of Interest
References
- Sheffi, Y. Urban Transportation Networks: Equilibrium Analysis with Mathematical Programming Methods; Prentice Hall: Engelwood Cliffs, NJ, USA, 1985. [Google Scholar]
- Ben-Akiva, M.; Bierlaire, M. Discrete choice methods and their applications to short term travel decisions. In Handbook of Transportation Science; Hall, R., Ed.; Springer: Boston, MA, USA, 1992; pp. 5–33. [Google Scholar]
- Daganzo, C.F. The cell transmission model, part II: Network traffic. Transp. Res. Part B Methodol. 1995, 29, 79–93. [Google Scholar] [CrossRef]
- Yperman, I. The link transmission model for dynamic network loading. Ph.D. Thesis, Katholieke Universiteit, Leuven, Belgium, June 2007. [Google Scholar]
- Wang, Y.; Szeto, W.; Han, K.; Friesz, T. Dynamic traffic assignment: A review of the methodological advances for environmentally sustainable road transportation applications. Transp. Res. Part B Methodol. 2018, 111, 370–394. [Google Scholar] [CrossRef]
- Smith, M.J. The stability of a dynamic model for traffic assignment–An application of a method of Lyapunov. Transp. Sci. 1984, 18, 245–252. [Google Scholar] [CrossRef]
- Daganzo, C.F. The Cell Transmission Model. Part I: A Simple Dynamic Representation of Highway Traffic; Institute of Transportation Studies, University of California: Berkeley, CA, USA, 1992. [Google Scholar]
- Cantarella, G.; Watling, D. A general stochastic process for day-to-day dynamic traffic assignment: Formulation, asymptotic behaviour, and stability analysis. Transp. Res. Part B Methodol. 2016, 92, 3–21. [Google Scholar] [CrossRef]
- Iryo, T. Day-to-day dynamical model incorporating an explicit description of individuals’ information collection behaviour. Transp. Res. Part B Methodol. 2016, 92, 88–103. [Google Scholar] [CrossRef]
- Lighthill, M.J.; Whitham, G.B. On kinematic waves. I: Flow movement in long rivers. Proc. R. Soc. A Math. Phys. Sci. 1955, 229, 281–316. [Google Scholar]
- Lighthill, M.J.; Whitham, G.B. On kinematic waves. II: A theory of traffic flow on long crowded roads. Proc. R. Soc. A Math. Phys. Sci. 1955, 229, 317–345. [Google Scholar]
- Newell, G.F. A simplified theory on kinematic wave in highway traffic, part I: General theory. Transp. Res. Part B Methodol. 1993, 27, 281–287. [Google Scholar] [CrossRef]
- Newell, G.F. A simplified theory on kinematic wave in highway traffic, part II: Queuing at freeway bottlenecks. Transp. Res. Part B Methodol. 1993, 27, 289–303. [Google Scholar] [CrossRef]
- Newell, G.F. A simplified theory on kinematic wave in highway traffic, part III: Multi-destination flows. Transp. Res. Part B Methodol. 1993, 27, 305–313. [Google Scholar] [CrossRef]
- Nogal, M. Mathematical Methods for Traffic Prediction. Ph.D. Thesis, University of Cantabria, Santander, Spain, 2011. [Google Scholar]
- Cantarella, G.; Watling, D.; de Luca, S.; Di Pace, R. Dynamics and Stochasticity in Transportation Systems. Tools for Transportation Network Modeling; Elsevier: Amsterdam, The Netherlands, 2019. [Google Scholar]
- Han, K.; Eve, G.; Friesz, T.L. Computing dynamic user equilibria on large-scale networks with software implementation. Netw. Spat. Econ. 2019, 19, 869–902. [Google Scholar] [CrossRef]
- Szeto, W.; Lo, H. Dynamic traffic assignment: Properties and extensions. Transportmetrica 2006, 2, 31–52. [Google Scholar] [CrossRef]
- Dell’Orco, M. A Dynamic network loading model for simulation of pollution phenomena. In Mathematical Methods on Optimization in Transportation Systems; Pursula, M., Niittymaki, J., Eds.; Springer: Boston, MA, USA, 2001; pp. 187–201. [Google Scholar]
- Osorio, C.; Flötteröd, G.; Bierlaire, M. Dynamic network loading: A stochastic differentiable model that derives link state distributions. Transp. Res. Part B Methodol. 2011, 45, 1410–1423. [Google Scholar] [CrossRef]
- Di Gangi, M.; Cantarella, G.E.; Di Pace, R.; Memoli, S. Network traffic control based on a mesoscopic dynamic flow model. Transp. Res. Part C Emerg. Technol. 2016, 66, 3–26. [Google Scholar] [CrossRef]
- Castillo, E.; Menendez, J.; Nogal, M.; Jiménez, P.; Sanchez-Cambronero, S. A FIFO rule consistent model for the continuous dynamic network loading problem. IEEE Trans. Intell. Transp. Syst. 2012, 13, 264–283. [Google Scholar] [CrossRef]
- Ge, Q.; Fukuda, D. A macroscopic dynamic network loading model for multiple-reservoir system. Transp. Res. Part B Methodol. 2019, 126, 502–527. [Google Scholar] [CrossRef]
- Smith, M.J. The existence, uniqueness and stability of traffic equilibria. Transp. Res. Part B Methodol. 1979, 13, 295–304. [Google Scholar] [CrossRef]
- Janson, B.N. Dynamic traffic assignment for urban networks. Transp. Res. Part B Methodol. 1991, 25, 43–61. [Google Scholar] [CrossRef]
- Chiu, Y.; Bottom, J.; Mahut, M.; Paz, A.; Balakrishna, R.; Waller, T.; Hicks, J. Dynamic Traffic Assignment: A Primer (E-C153); Transportation Research Board: Washington, DC, USA, 2011. [Google Scholar]
- Auberlet, J.M.; Bhaskar, A.; Ciuffo, B.; Farah, H.; Hoogendoorn, R.; Leonhardt, A. Data collection techniques. In Traffic Simulation and Data. Validation Methods and Applications; CRC Press: Boca Raton, FL, USA, 2014; pp. 5–32. [Google Scholar]
- Bernás, M.; Płaczek, B.; Korski, W.; Loska, P.; Smyła, J.; Szymała, P. A survey and comparison of low-cost sensing technologies for road traffic monitoring. Sensors 2018, 18, 3243. [Google Scholar] [CrossRef]
- Guerrero-Ibáñez, J.; Zeadally, S.; Contreras-Castillo, J. Sensor technologies for intelligent transportation systems. Sensors 2018, 18, 1212. [Google Scholar] [CrossRef] [PubMed]
- Pulugurtha, S.S.; Nambisan, S.S. Estimating time dependent O-D trip tables during peak periods. J. Adv. Transp. 2020, 34, 369–389. [Google Scholar] [CrossRef]
- Won, M. Intelligent traffic monitoring systems for vehicle classification: A survey. IEEE Access 2020, 8, 73340–73358. [Google Scholar] [CrossRef]
- Krivda, V.; Petru, J.; Macha, D.; Plocova, K.; Fibich, D. An analysis of traffic conflicts as a tool for sustainable road transport. Sustainability 2020, 12, 7198. [Google Scholar] [CrossRef]
- Wang, Y.; Rong, J.; Zhou, C.; Chang, X.; Liu, S. An analysis of the interactions between adjustment factors of saturation flow rates at signalized intersections. Sustainability 2020, 12, 665. [Google Scholar] [CrossRef]
- Bert, E. Dynamic Urban Origin-Destination Matrix Estimation Methodology. Ph.D. Thesis, Faculté Environnment Naturel, Architectural et Construit, École Polytechnique Fédérale de Lausanne, Laussane, Switzerland, 2009. [Google Scholar]
- Balakrishna, R.; Morgan, D.; Rabinowicz, A.; Slavin, H. Advances in origin-destination trip table estimation for transportation planning and traffic simulation. In European Transport Conference Proceedings, Proceedings of the European Transport Conference, Noordwijkerhout, The Netherlands, 6–8 October 2008; PTRC Education and Research Services Ltd.: London, UK, 2008. [Google Scholar]
- Kim, K.; Jayakrishnan, R. The estimation of a time-dependent OD trip table with vehicle trajectory samples. Transp. Plan. Technol. 2010, 33, 747–768. [Google Scholar] [CrossRef]
- Castillo, E.; Menéndez, J.M.; Jiménez, P. Trip matrix and path flow reconstruction and estimation based on plate scanning and link observations. Transp. Res. Part B 2008, 42, 455–481. [Google Scholar] [CrossRef]
- Mínguez, R.; Sánchez-Cambronero, S.; Castillo, E.; Jiménez, P. Optimal traffic plate scanning location for OD trip matrix and route estimation in road networks. Transp. Res. Part B 2010, 44, 282–298. [Google Scholar] [CrossRef]
- Djukic, T.; Barcelò, J.; Bullejos, M.; Montero, L.; Cipriani, E.; van Lint, H.; Hoogendoorn, S.P. Advanced traffic data for dynamic OD demand estimation: The state of the art and benchmark study. In Proceedings of the 94th Annual Meeting of the Transportation Research Board, Washington, DC, USA, 11–15 January 2015. [Google Scholar]
- Álvarez-Bazo, F.; Sánchez-Cambronero, S.; Vallejo, D.; Glez-Morcillo, C.; Rivas, A.; Gallego, I. A low-cost automatic vehicle identification sensor for traffic networks analysis. Sensors 2020, 20, 5589. [Google Scholar] [CrossRef] [PubMed]
- Dixon, M.; Rilett, L. Real-time OD estimation using automatic vehicle identification and traffic count data. Comput. Aided Civil Infrastruct. Eng. 2002, 17, 7–21. [Google Scholar] [CrossRef]
- Vaze, V.; Antoniou, C.; Wen, Y.; Ben-Akiva, M. Calibration of dynamic traffic assignment models with point-to-point traffic surveillance. Transp. Res. Rec. 2009, 2090, 1–9. [Google Scholar] [CrossRef]
- Robinson, A.; Venter, C. Validating traffic models using large-scale Automatic Number Plate Recognition (ANPR) data. J. S. Afr. Inst. Civil Eng. 2019, 61, 45–57. [Google Scholar] [CrossRef]
- Liu, J.; Zheng, F.; Li, J. A dynamic OD prediction approach for urban networks based on automatic number plate recognition data. Transp. Res. Proc. 2020, 47, 601–608. [Google Scholar] [CrossRef]
- Hadavi, S.; Rai, H.B.; Verlinde, S.; Huang, H.; Macharis, C.; Guns, T. Analyzing passenger and freight vehicle movements from automatic-Number plate recognition camera data. Eur. Transp. Res. Rev. 2020, 12, 1–17. [Google Scholar] [CrossRef]
- Song, S.; Hong, R.; Zhang, W.; Zhou, D. Dynamic vehicle OD flow estimation for urban road network using multi-source heterogeneous data. In Proceedings of the International Conference on Transportation and Development 2020, Seattle, WA, USA, 26–29 May 2020. [Google Scholar]
- Rao, W.; Wu, Y.; Xia, J.; Ou, J.; Kluger, R. Origin-destination pattern estimation based on trajectory reconstruction using automatic license plate recognition data. Transp. Res. Part C Emerg. Technol. 2018, 95, 29–46. [Google Scholar] [CrossRef]
- Chen, C.; Cao, Y.; Tang, K.; Li, K. Dynamic path flow estimation using automatic vehicle identification and probe vehicle trajectory data: A 3D convolutional neural network model. J. Adv. Transp. 2021, 2021. [Google Scholar] [CrossRef]
- Cerrone, C.; Cerulli, R.; Gentili, M. Vehicle-ID sensor location for route flow recognition: Models and algorithms. Eur. J. Oper. Res. 2015, 247, 618–629. [Google Scholar] [CrossRef]
- United States. Bureau of Public Roads. Traffic Assignmet Manual; U.S. Department of Commerce, Bureau of Public Road: Washington, DC, USA, 1964.
- Castillo, E.; Gallego, I.; Sanchez-Cambronero, S.; Rivas, A. Matrix tools for general observability analysis in traffic networks. IEEE Trans. Intell. Transp. Syst. 2010, 11, 799–813. [Google Scholar] [CrossRef]
- Castillo, E.; Nogal, M.; Rivas, A.; Sánchez-Cambronero, S. Observability of traffic networks. Optimal location of counting and scanning devices. Transp. B Transp. Dyn. 2013, 1, 68–102. [Google Scholar] [CrossRef]
- Sánchez-Cambronero, S.; Álvarez-Bazo, F.; Rivas, A.; Gallego, I. A new model for locating plate recognition devices to minimize the impact of the uncertain knowledge of the routes on traffic estimation results. J. Adv. Transp. 2020, 2020. [Google Scholar] [CrossRef]
- Sanchez-Cambronero, S.; Jimenez, P.; Rivas, A.; Gallego, I. Plate scanning tools to obtain travel times in traffic networks. J. Intell. Transp. Syst. 2017, 21, 390–408. [Google Scholar] [CrossRef]
- Gentili, M.; Mirchandani, P. Review of optimal sensor location models for travel time estimation. Transp. Res. Part C Emerg. Technol. 2018, 90, 74–96. [Google Scholar] [CrossRef]
- Peeta, S.; Ziliaskopoulos, A. Foundations of dynamic traffic assignment: The past, the present and the future. Netw. Spat. Econ. 2001, 1, 233–265. [Google Scholar] [CrossRef]
- Carey, M.; Bar-Gera, H.; Watling, D.; Balijepalli, C. Implementing first-in–first-out in the cell transmission model for networks. Transp. Res. Part B Methodol. 2014, 65, 105–118. [Google Scholar] [CrossRef]
- Castillo, E.; Gallego, I.; Menéndez, J.M.; Rivas, A. Optimal use of plate-scanning resources for route flow estimation in traffic networks. IEEE Trans. Intell. Transp. Syst. 2010, 11, 380–391. [Google Scholar] [CrossRef]
- Sanchez-Cambronero, S.; Castillo, E.; Menendez, J.; Jimenez, P. Dealing with error recovery in traffic flow prediction using Bayesian networks based on license plate scanning data. J. Transp. Eng. 2011, 137, 615–629. [Google Scholar] [CrossRef]
- Zhu, N.; Ma, S.; Zheng, L. Travel time estimation oriented freeway sensor placement problem considering sensor failure. J. Intell. Transp. Syst. 2017, 21, 26–40. [Google Scholar] [CrossRef]
- Zhang, J.; Pourazarm, S.; Cassandras, C.G.; Paschalidis, I.C. The price of anarchy in transportation networks by estimating user cost functions from actual traffic data. In Proceedings of the IEEE 55th Conference on Decision and Control (CDC), Las Vegas, NV, USA, 12–14 December 2016. [Google Scholar]
- Liang, Y.; Wu, Z.; Hu, J. Road side unit location optimization for optimum link flow determination. Comput. Aided Civil Infrastruct. Eng. 2019, 35, 61–79. [Google Scholar] [CrossRef]
- Stabler, B. Transportation Networks. GitHub. Available online: https://github.com/bstabler/TransportationNetworks (accessed on 9 February 2021).
- Castillo, E.; Nogal, M.; Menéndez, J.; Sánchez-Cambronero, S.; Jiménez, P. Stochastic demand dynamic traffic models using generalized beta-Gaussian Bayesian networks. IEEE Trans. Intell. Transp. Syst. 2011, 13, 565–581. [Google Scholar] [CrossRef]











| Network | O-D | ||||||
|---|---|---|---|---|---|---|---|
![]() | 1–4 | 1 | 1 | 5 | 8 | 10 | |
| 2 | 2 | 8 | 10 | ||||
| 3 | 3 | 9 | 10 | ||||
| 4 | 3 | 6 | 8 | 10 | |||
| 5 | 4 | 7 | 9 | 10 | |||
| 6 | 4 | 7 | 6 | 8 | 10 | ||
| 2–4 | 7 | 5 | 8 | 10 | |||
| 3–4 | 8 | 7 | 6 | 8 | 10 | ||
| 9 | 7 | 9 | 10 | ||||
| Scanning Map | Components of Λ Matrix | ||||||||||||
|---|---|---|---|---|---|---|---|---|---|---|---|---|---|
| X | X | 1 | 0 | 0 | 0 | 0 | 0 | 1 | 0 | 0 | |||
| X | 0 | 1 | 0 | 0 | 0 | 0 | 0 | 0 | 0 | ||||
| X | X | 0 | 0 | 1 | 1 | 0 | 0 | 0 | 0 | 0 | |||
| X | X | 0 | 0 | 0 | 0 | 1 | 1 | 0 | 1 | 1 | |||
| Item | Plate # | Time Stamps in Each Link | Travel Time (Tveh) | SCSL | |||
|---|---|---|---|---|---|---|---|
| 3 | 5 | 7 | 10 | ||||
| … | … | … | … | … | … | … | … |
| 13,548 | 1226AQU | 09:59:59 | 14:10:09 | 04:10:11 | |||
| 13,549 | 3332AQO | 10:00:04 | 11:22:11 | 01:22:08 | |||
| 13,550 | 7539UII | 10:00:05 | 11:23:04 | 01:22:59 | |||
| 13,551 | 4095EEA | 10:00:05 | 11:22:12 | 01:22:08 | |||
| 13,552 | 7558IEE | 10:00:07 | |||||
| 13,553 | 9208QAU | 10:00:08 | 14:10:19 | 04:10:11 | |||
| 13,554 | 6179QZO | 10:00:08 | 11:22:16 | 01:22:08 | |||
| 13,555 | 8266IAU | 10:00:11 | 11:23:10 | 01:22:59 | |||
| 13,556 | 2349QQE | 10:00:11 | 14:10:23 | 04:10:11 | |||
| 13,557 | 0195UIZ | 10:00:17 | 14:10:29 | 04:10:12 | |||
| 13,558 | 1840UEI | 10:00:18 | 11:22:26 | 01:22:07 | |||
| 13,559 | 5891QIQ | 10:00:19 | 11:22:26 | 01:22:07 | |||
| 13,560 | 6282OUA | 10:00:19 | 14:10:31 | 04:10:12 | |||
| 13,561 | 2272QIZ | 10:00:21 | |||||
| 13,562 | 7420UAQ | 10:00:21 | 11:22:28 | 01:22:07 | |||
| 13,563 | 4068AIA | 10:00:23 | 11:23:23 | 01:22:59 | |||
| 13,564 | 6073UQU | 10:00:23 | 11:23:23 | 01:22:59 | |||
| 13,565 | 7390UEA | 10:00:26 | 14:10:38 | 04:10:12 | |||
| 13,566 | 2716UAI | 10:00:28 | 14:10:40 | 04:10:12 | |||
| 13,567 | 0959IAU | 10:00:32 | 11:22:39 | 01:22:07 | |||
| 13,568 | 2977IAI | 10:00:33 | 11:22:40 | 01:22:07 | |||
| … | … | … | … | … | … | … | … |
| Components of Γ | Components of Φ Matrix | ||||||||||||||||
|---|---|---|---|---|---|---|---|---|---|---|---|---|---|---|---|---|---|
| Sub-Route | Links | ||||||||||||||||
| 3 | 9 | 10 | 0 | 0 | 1 | 0 | 0 | 0 | 0 | 0 | 0 | 0 | 0 | 0 | |||
| 3 | 6 | 8 | 10 | 0 | 0 | 0 | 1 | 0 | 0 | 0 | 0 | 0 | 0 | 0 | 0 | ||
| 7 | 9 | 10 | 0 | 0 | 0 | 0 | 1 | 0 | 0 | 0 | 1 | 0 | 0 | 0 | |||
| 7 | 6 | 8 | 10 | 0 | 0 | 0 | 0 | 0 | 1 | 0 | 1 | 0 | 0 | 0 | 0 | ||
| Parameters Used to Obtain the Route Flow Intensity | Parameters Used in the Density-Cost Function (9) | ||||||||||||
|---|---|---|---|---|---|---|---|---|---|---|---|---|---|
| Route | Link | Length (km) | (veh) | ||||||||||
| 1 | 1000 | 9.50 | 2.00 | 1300 | 16.50 | 1.50 | 1 | 111.80 | 0.93 | 1.00 | 2.00 | 0.33 | 7826.24 |
| 2 | 1900 | 10.00 | 1.80 | 900 | 18.00 | 1.50 | 2 | 111.80 | 0.93 | 1.00 | 2.00 | 0.33 | 7826.24 |
| 3 | 1700 | 9.00 | 1.90 | 800 | 15.00 | 2.00 | 3 | 111.80 | 0.93 | 1.00 | 2.00 | 0.33 | 7826.24 |
| 4 | 1380 | 7.90 | 1.90 | 1500 | 16.60 | 1.70 | 4 | 111.80 | 0.93 | 1.00 | 2.00 | 0.33 | 7826.24 |
| 5 | 1600 | 7.50 | 1.90 | 1100 | 16.00 | 2.30 | 5 | 70.71 | 0.59 | 1.00 | 2.00 | 0.33 | 4949.75 |
| 6 | 1300 | 9.00 | 1.50 | 800 | 16.00 | 1.80 | 6 | 100.00 | 1.67 | 1.00 | 2.00 | 0.33 | 2500.00 |
| 7 | 800 | 9.00 | 1.70 | 1600 | 15.50 | 2.20 | 7 | 70.71 | 0.59 | 1.00 | 2.00 | 0.33 | 4949.75 |
| 8 | 1100 | 9.00 | 1.80 | 1180 | 16.50 | 2.00 | 8 | 111.80 | 0.93 | 1.00 | 2.00 | 0.33 | 7826.24 |
| 9 | 1700 | 8.50 | 1.80 | 1800 | 16.60 | 2.40 | 9 | 111.80 | 0.93 | 1.00 | 2.00 | 0.33 | 7826.24 |
| 10 | 50.00 | 0.42 | 1.00 | 2.00 | 0.33 | 10,000.00 | |||||||
| Route | Links | Route | Links | ||||||||||
|---|---|---|---|---|---|---|---|---|---|---|---|---|---|
| 1 | 1 | 11 | 14 | 18 | 20 | 26 | 6 | 38 | 24 | 9 | |||
| 2 | 2 | 35 | 14 | 18 | 20 | 27 | 5 | 33 | 28 | 23 | |||
| 3 | 2 | 36 | 20 | 28 | 6 | 38 | 23 | ||||||
| 4 | 1 | 11 | 14 | 19 | 31 | 29 | 5 | 32 | 17 | 16 | |||
| 5 | 1 | 11 | 15 | 29 | 31 | 30 | 5 | 33 | 27 | 16 | |||
| 6 | 1 | 12 | 25 | 29 | 31 | 31 | 7 | 11 | 14 | 18 | 20 | ||
| 7 | 1 | 12 | 26 | 37 | 32 | 8 | 25 | 29 | 30 | ||||
| 8 | 2 | 35 | 14 | 19 | 31 | 33 | 8 | 25 | 29 | 32 | 18 | 20 | |
| 9 | 2 | 35 | 15 | 29 | 31 | 34 | 8 | 25 | 29 | 31 | |||
| 10 | 1 | 11 | 14 | 18 | 35 | 8 | 26 | 37 | |||||
| 11 | 2 | 35 | 14 | 18 | 36 | 7 | 11 | 14 | 18 | ||||
| 12 | 2 | 36 | 37 | 8 | 25 | 29 | 32 | 18 | |||||
| 13 | 3 | 21 | 17 | 13 | 9 | 38 | 21 | 17 | 13 | 9 | |||
| 14 | 3 | 21 | 17 | 16 | 34 | 39 | 21 | 17 | 16 | 34 | |||
| 15 | 3 | 22 | 34 | 40 | 22 | 34 | |||||||
| 16 | 3 | 21 | 17 | 13 | 10 | 41 | 21 | 17 | 13 | 10 | |||
| 17 | 3 | 21 | 19 | 33 | 28 | 23 | 42 | 21 | 19 | 33 | 28 | 23 | |
| 18 | 4 | 33 | 28 | 23 | 43 | 21 | 17 | 16 | |||||
| 19 | 3 | 21 | 17 | 16 | 44 | 22 | |||||||
| 20 | 3 | 22 | 45 | 35 | 14 | 18 | 20 | ||||||
| 21 | 5 | 32 | 17 | 13 | 9 | 46 | 36 | 20 | |||||
| 22 | 5 | 32 | 17 | 16 | 34 | 47 | 35 | 14 | 19 | 31 | |||
| 23 | 5 | 33 | 27 | 13 | 9 | 48 | 35 | 15 | 29 | 31 | |||
| 24 | 5 | 33 | 27 | 16 | 34 | 49 | 35 | 14 | 18 | ||||
| 25 | 5 | 33 | 28 | 24 | 9 | 50 | 36 | ||||||
| Equilibrium Flow (2) | |||||||||||
|---|---|---|---|---|---|---|---|---|---|---|---|
| X | X | ||||||||||
| X | X | ||||||||||
| X | X | ||||||||||
| X | |||||||||||
| X | X | ||||||||||
| X | |||||||||||
| X | X | ||||||||||
| X | X | X | |||||||||
| X | X | ||||||||||
| X | |||||||||||
| X | X | ||||||||||
| X | X | ||||||||||
| X | X | X | |||||||||
| X | |||||||||||
| X | |||||||||||
| X | X | ||||||||||
| X | |||||||||||
| X | |||||||||||
| X | X | ||||||||||
| X | X | ||||||||||
| X | X | ||||||||||
| X | |||||||||||
| X | |||||||||||
| X | |||||||||||
| sr | Sub-Route Links | |||||
|---|---|---|---|---|---|---|
| 2 | 35 | 14 | 18 | 20 | ||
| 2 | 36 | 20 | ||||
| 1 | 11 | 14 | 19 | 31 | ||
| 1 | 11 | 15 | 29 | 31 | ||
| 1 | 12 | 25 | 29 | 31 | ||
| 2 | 35 | 14 | 19 | 31 | ||
| 2 | 35 | 15 | 29 | 31 | ||
| 5 | 32 | 17 | 13 | 9 | ||
| 5 | 33 | 27 | 13 | 9 | ||
| 5 | 33 | 28 | 24 | 9 | ||
| 5 | 32 | 17 | 16 | 34 | ||
| 5 | 33 | 27 | 16 | 34 | ||
| 5 | 32 | 17 | 16 | |||
| 5 | 33 | 27 | 16 | |||
Publisher’s Note: MDPI stays neutral with regard to jurisdictional claims in published maps and institutional affiliations. |
© 2021 by the authors. Licensee MDPI, Basel, Switzerland. This article is an open access article distributed under the terms and conditions of the Creative Commons Attribution (CC BY) license (https://creativecommons.org/licenses/by/4.0/).
Share and Cite
Sánchez-Cambronero, S.; Álvarez-Bazo, F.; Rivas, A.; Gallego, I. Dynamic Route Flow Estimation in Road Networks Using Data from Automatic Number of Plate Recognition Sensors. Sustainability 2021, 13, 4430. https://doi.org/10.3390/su13084430
Sánchez-Cambronero S, Álvarez-Bazo F, Rivas A, Gallego I. Dynamic Route Flow Estimation in Road Networks Using Data from Automatic Number of Plate Recognition Sensors. Sustainability. 2021; 13(8):4430. https://doi.org/10.3390/su13084430
Chicago/Turabian StyleSánchez-Cambronero, Santos, Fernando Álvarez-Bazo, Ana Rivas, and Inmaculada Gallego. 2021. "Dynamic Route Flow Estimation in Road Networks Using Data from Automatic Number of Plate Recognition Sensors" Sustainability 13, no. 8: 4430. https://doi.org/10.3390/su13084430
APA StyleSánchez-Cambronero, S., Álvarez-Bazo, F., Rivas, A., & Gallego, I. (2021). Dynamic Route Flow Estimation in Road Networks Using Data from Automatic Number of Plate Recognition Sensors. Sustainability, 13(8), 4430. https://doi.org/10.3390/su13084430


