Safety-Critical Event Identification on Mountain Roads for Traffic Safety and Environmental Protection Using Support Vector Machine with Information Entropy
Abstract
:1. Introduction
2. Review
3. Materials and Methods
3.1. Naturalistic Driving Experiment
3.2. Identification Methods
3.2.1. Support Vector Machine
3.2.2. Back Propagation Neural Network
3.2.3. Convolutional Neural Network
3.3. Evaluation Metrics
- Identification accuracy ;
- False-positive rate ;
- False-negative rate ;
- (Area under Curve) of ROC curve.
4. Results and Model Enhancement
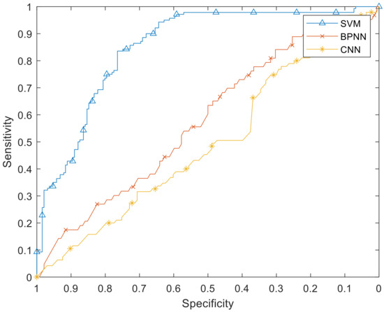
4.1. Identification Results
4.2. SVM Model Enhancement
5. Conclusions
Author Contributions
Funding
Data Availability Statement
Conflicts of Interest
References
- World Health Organization. Global Status Report on Road Safety 2018; World Health Organization: Geneva, Switzerland, 2018. [Google Scholar]
- Ubiergo, G.A.; Jin, W.L. Mobility and environment improvement of signalized networks through Vehicle-to-Infrastructure (V2I) communications. J. Transp. Eng. 2016, 128, 182–190. [Google Scholar] [CrossRef]
- Chakrabarti, U.K.; Parikh, J.K. Applying HAZAN methodology to hazmat transportation risk assessment. Process Saf. Environ. Prot. 2012, 90, 368–375. [Google Scholar]
- Yang, J.; Li, F.; Zhou, J.; Zhang, L.; Huang, L.; Bi, J. A survey on hazardous materials accidents during road transport in China from 2000 to 2008. J. Hazard. Mater. 2010, 184, 647–653. [Google Scholar] [CrossRef] [PubMed]
- Sikander, G.; Anwar, S. Driver fatigue detection systems: a review. IEEE Trans. Intell. Transport. Syst. 2019, 20, 2339–2352. [Google Scholar]
- Gao, Z.; Ren, H.; Chen, S.; Chen, Y.; Li, Z.; Zhang, H.; Liu, B. Prediction of Vehicle Rollover State Based on Online Learning of Limit Learning Machine. In Proceedings of the Annual Meeting of China Society of Automotive Engineers, Shanghai, China, 27 October 2020. [Google Scholar]
- Meng, X.H.; Guan, Z.Q.; Zheng, L. Safety evaluation of mountain expressway based on geometric alignment index. China J. Highway Transp. 2011, 24, 103–108. [Google Scholar]
- Trifunović, A.; Pešić, D.; Čičević, S.; Antić, B. The importance of spatial orientation and knowledge of traffic signs for children’s traffic safety. Accid. Anal. Prev. 2017, 102, 81–92. [Google Scholar] [CrossRef] [PubMed]
- Fitch, G.M.; Hanowski, R.J. Using Naturalistic Driving Research to Design, Test and Evaluate Driver Assistance Systems. In Handbook of Intelligent Vehicles; Springer: London, UK, 2012; pp. 559–580. [Google Scholar]
- Alexiadis, V.; Colyar, J.; Halkias, J.; Hranac, R.; McHale, G. The next generation simulation program. ITE J. 2004, 74, 22–26. [Google Scholar]
- Neale, V.L.; Dingus, T.A.; Klauer, S.G.; Sudweeks, J.; Goodman, M. An Overview of the 100-car Naturalistic Study and Findings; National Highway Traffic Safety Administration: Washington, DC, USA, 2005; pp. 1–10.
- Pedersen, N.J.; Noureldin, S. The Second Strategic Highway Research Program; Transportation Research Board: Washington, DC, USA, 2013. [Google Scholar]
- Zhu, X.; Liu, Z.; Li, L. Open-loop model of driver’s emergency lane changing behavior based on naturalistic driving data. Automot. J. Saf. Energy Conserv. 2015, 6, 328–332. [Google Scholar]
- Zhu, X.; Liu, Z.; Li, L. Steering collision avoidance control strategy based on dangerous conditions of vehicles and pedestrians. Automob. Saf. J. Energy Conserv. 2015, 6, 217–223. [Google Scholar]
- Li, L.; Zhu, X.; Dong, X.; Ma, Z. Research on collision avoidance strategy of autonomous emergency braking system. Autom. Eng. 2015, 37, 168–174. [Google Scholar]
- Wang, X.; Li, Y. Analysis of driver’s lane change characteristics based on naturalistic driving data. Traffic Inf. Saf. 2016, 34, 17–22. [Google Scholar]
- Zhu, M.; Wang, X.; Wang, X. Car-following headways in different driving situations: a naturalistic driving study. In Proceedings of the 16th COTA International Conference of Transportation Professionals, Shanghai, China, 1–6 July 2016; pp. 1419–1428. [Google Scholar]
- Dingus, T.A.; Klauer, S.G.; Neale, V.L. The 100-Car Naturalistic Driving Study. Phase 2: Results of the 100-Car Field Experiment; National Highway Traffic Safety Administration, Department of Transportation: Washington, DC, USA, 2006.
- Guo, F.; Klauer, S.G.; Hankey, J.M.; Dingus, T.A. Near crashes as crash surrogate for naturalistic driving studies. Transp. Res. Rec. 2010, 2147, 66–74. [Google Scholar]
- Wu, K.F.; Aguero-Valverde, J.; Jovanis, P.P. Using naturalistic driving data to explore the association between traffic safety-related events and crash risk at driver level. Accid. Anal. Prev. 2014, 72, 210–218. [Google Scholar]
- Perez, M.A.; Sudweeks, J.D.; Sears, E.; Antin, J.; Lee, S.; Hankey, J.M.; Dingus, T.A. Performance of basic kinematic thresholds in the identification of crash and near-crash events within naturalistic driving data. Accid. Anal. Prev. 2017, 103, 10–19. [Google Scholar] [PubMed]
- Wu, K.F.; Jovanis, P. Screening naturalistic driving study data for safety-critical events. J. Transp. Res. Board 2013, 2386, 137–146. [Google Scholar]
- Kluger, R.; Smith, B.L.; Park, H.; Dailey, D.J. Identification of safety-critical events using kinematic vehicle data and the discrete Fourier transform. Accid. Anal. Prev. 2016, 96, 162–168. [Google Scholar]
- Zhang, Y.; Xie, Y. Forecasting of short-term freeway volume with v-support vector machines. Transp. Res. Rec. 2007, 2024, 92–99. [Google Scholar]
- Chen, S.; Wang, W.; Van Zuylen, H. Construct support vector machine ensemble to detect traffic incident. Expert Syst. Appl. 2009, 36, 10976–10986. [Google Scholar]
- Li, X.; Lord, D.; Zhang, Y.; Xie, Y. Predicting motor vehicle crashes using support vector machine models. Accid. Anal. Prev. 2008, 40, 1611–1618. [Google Scholar]
- Duan, L. Driver Mental Workload Evaluation and Application in Driver Assistance System. Ph.D. Thesis, Jilin University, Changchun, China, 8 December 2013. [Google Scholar]
- Gao, Z.; Liu, Y.; Zheng, J.Y.; Yu, R.; Wang, X.; Sun, P. Predicting hazardous driving events using multi-modal deep learning based on video motion profile and kinematics data. In Proceedings of the 21st International Conference on Intelligent Transportation Systems (ITSC), Maui, HI, USA, 4–7 November 2018; pp. 3352–3357. [Google Scholar]
- Ma, D.; Song, X.; Li, P. Daily traffic flow forecasting through a contextual convolutional recurrent neural network modeling inter-and intra-day traffic patterns. IEEE Trans. Intell. Transp. 2020, 99, 1–10. [Google Scholar]
- Breiman, L. Random forests. Mach. Learn. 2001, 45, 5–32. [Google Scholar]
- Cortes, C.; Vapnik, V. Support-vector networks. Mach. Learn. 1995, 20, 273. [Google Scholar]
- Chuan, S. Identification and Control for Driving Risk of Vehicle Using Naturalistic Driving Data. Ph.D. Thesis, Wuhan University of Technology, Wuhan, China, 29 November 2016. [Google Scholar]
- Wang, X.; Xu, X. Dangerous event recognition method based on naturalistic driving data. J. Tongji Univ. 2020, 48, 51–59. [Google Scholar]
- Zhang, R.H.; He, Z.C.; Wang, H.W.; You, F.; Li, K.N. Study on self-tuning tyre friction control for developing main-servo loop integrated chassis control system. IEEE Access 2017, 5, 6649–6660. [Google Scholar]
- Sudweeks, J.D. Using Functional Classification to Enhance Naturalistic Driving Data Crash/near Crash Algorithms; Virginia Tech Transportation Institute: Blacksburg, VA, USA, 2015. [Google Scholar]







| Equipment | Specification |
|---|---|
| Cameras | 1080P image clarity |
| Inertial Navigation | Acceleration resolution: 0.001 g 1 Angular velocity resolution: 0.5°/s 2 |
| Millimeter-wave Radar | Measuring range: 1~175 m 3 |
| GPS | The error radius: 1 m 3 |
| Industrial Computer | Supply voltage: 12 V 4 |
| Vehicle Dynamic Parameters | Input Variables |
|---|---|
| Xaccel, Yaccel, V | Xaccel_avg, Xaccel_std, Xaccel_max, Xaccel_min, Xaccel_amp; Yaccel_avg, Yaccel_std, Yaccel_max, Yaccel_min, Yaccel_amp; V_avg, V_std, V_max, V_min, V_amp. |
| Actual Outcomes | Predicted Outcomes | |
|---|---|---|
| 1 (Safety-Critical Events) | 0 (General Events) | |
| 1 (safety-critical events) | True positive, TP | False negative, FN |
| 0 (general events) | False positive, FP | True negative, TN |
| Models | Predictive Performance Metrics | |||
|---|---|---|---|---|
| ACC/% | AUC | RFN/% | RFP/% | |
| SVM | 75.66 | 0.8055 | 32.28 | 17.14 |
| BPNN | 66.34 | 0.7020 | 55.56 | 53.97 |
| CNN | 60.09 | 0.6336 | 68.42 | 27.37 |
| Model | Vehicle Dynamic Parameters | Input Variables |
|---|---|---|
| SVM | Xaccel, Yaccel, V | Xaccel_avg, Xaccel_std, Xaccel_max, Xaccel_min, Xaccel_amp; Yaccel_avg, Yaccel_std, Yaccel_max, Yaccel_min, Yaccel_amp; V_avg, V_std, V_max, V_min, V_amp; |
| SVM(Y) | Xaccel, Yaccel, V, Z | Xaccel_avg, Xaccel_std, Xaccel_max, Xaccel_min, Xaccel_amp; Yaccel_avg, Yaccel_std, Yaccel_max, Yaccel_min, Yaccel_amp; V_avg, V_std, V_max, V_min, V_amp; Z_avg, Z_std, Z_max, Z_min, Z_amp; |
| SVM(E) | Xaccel, Yaccel, V | Xaccel_avg, Xaccel_std, Xaccel_max, Xaccel_min, Xaccel_amp, Xaccel_entropy; Yaccel_avg, Yaccel_std, Yaccel_max, Yaccel_min, Yaccel_amp, Yaccel_entropy; V_avg, V_std, V_max, V_min, V_amp, V_entropy; |
| SVM(Y&E) | Xaccel, Yaccel, V, Z | Xaccel_avg, Xaccel_std, Xaccel_max, Xaccel_min, Xaccel_amp, Xaccel_entropy; Yaccel_avg, Yaccel_std, Yaccel_max, Yaccel_min, Yaccel_amp, Yaccel_entropy; V_avg, V_std, V_max, V_min, V_amp, V_entropy; Z_avg, Z_std, Z_max, Z_min, Z_amp, Z_ entropy. |
| Models | Predictive Performance Metrics | |||
|---|---|---|---|---|
| ACC/% | AUC | RFN/% | RFP/% | |
| SVM | 75.66 | 0.8055 | 32.28 | 17.14 |
| SVM(Y) | 79.03 | 0.8515 | 28.35 | 14.29 |
| SVM(E) | 83.52 | 0.8749 | 23.62 | 10.00 |
| SVM(Y&E) | 90.64 | 0.9585 | 11.81 | 7.14 |
Publisher’s Note: MDPI stays neutral with regard to jurisdictional claims in published maps and institutional affiliations. |
© 2021 by the authors. Licensee MDPI, Basel, Switzerland. This article is an open access article distributed under the terms and conditions of the Creative Commons Attribution (CC BY) license (https://creativecommons.org/licenses/by/4.0/).
Share and Cite
Wen, Z.; Zhang, H.; Zhang, R. Safety-Critical Event Identification on Mountain Roads for Traffic Safety and Environmental Protection Using Support Vector Machine with Information Entropy. Sustainability 2021, 13, 4426. https://doi.org/10.3390/su13084426
Wen Z, Zhang H, Zhang R. Safety-Critical Event Identification on Mountain Roads for Traffic Safety and Environmental Protection Using Support Vector Machine with Information Entropy. Sustainability. 2021; 13(8):4426. https://doi.org/10.3390/su13084426
Chicago/Turabian StyleWen, Zihao, Hui Zhang, and Ronghui Zhang. 2021. "Safety-Critical Event Identification on Mountain Roads for Traffic Safety and Environmental Protection Using Support Vector Machine with Information Entropy" Sustainability 13, no. 8: 4426. https://doi.org/10.3390/su13084426
APA StyleWen, Z., Zhang, H., & Zhang, R. (2021). Safety-Critical Event Identification on Mountain Roads for Traffic Safety and Environmental Protection Using Support Vector Machine with Information Entropy. Sustainability, 13(8), 4426. https://doi.org/10.3390/su13084426
