Cryptand-Functionalized Highly Oriented Pyrolytic Graphite Electrodes
Abstract
1. Introduction
2. Materials and Methods
2.1. Potential Cycling Using Synthesized Diazonium Salts (HOPG-Br and HOPG-TMS)
2.2. Applying a Reduction Single Step Potential Using 4-TMS-NH2 (HOPG-TMS)
2.3. Silyl Deprotection of HOPG-TMS to HOPG-H
2.4. Sonogashira Coupling for HOPG-Crypt
2.5. HOPG-Crypt-Co
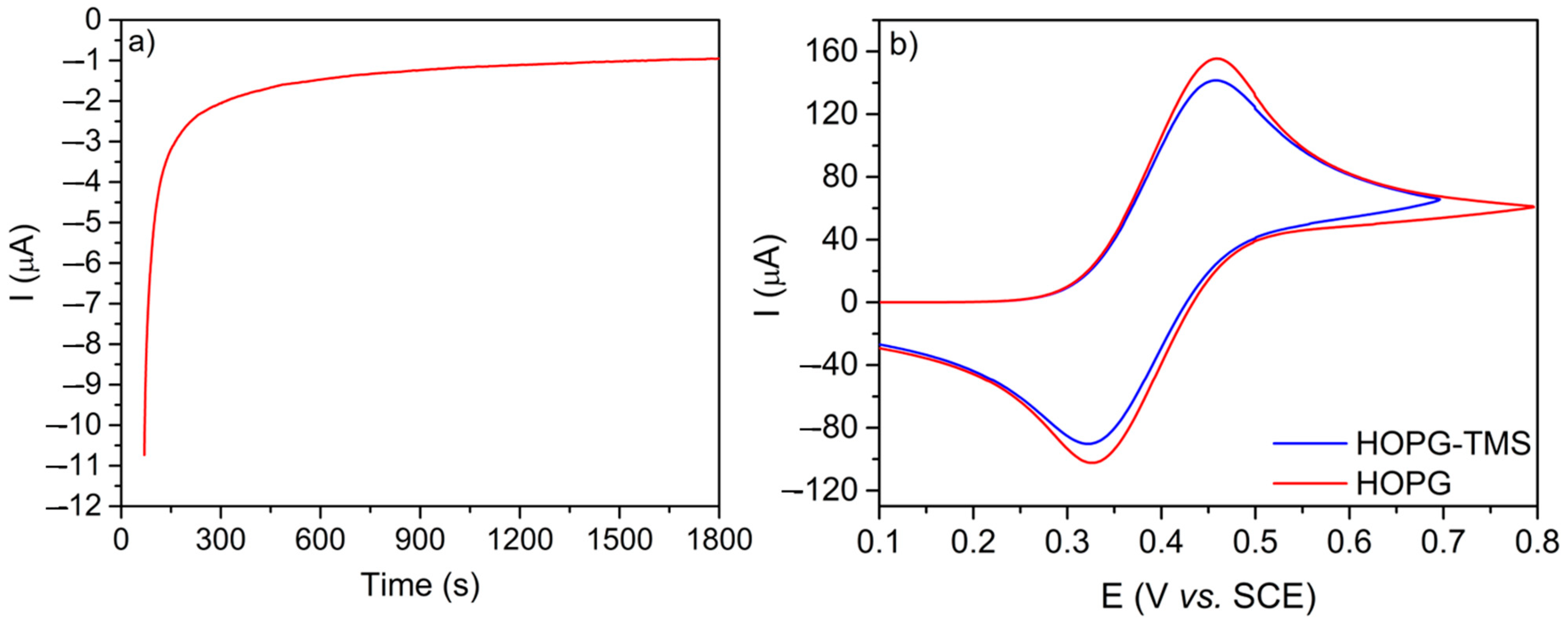
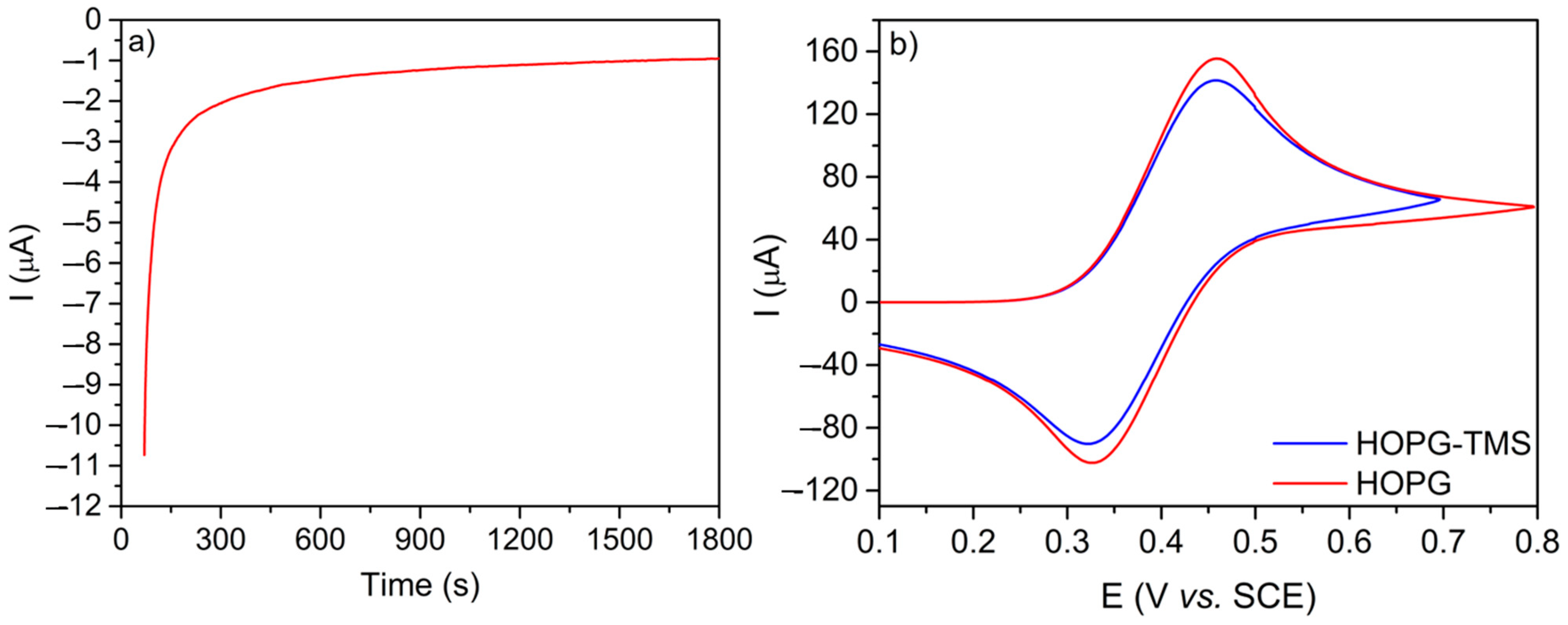
3. Results and Discussion
4. Conclusions
Supplementary Materials
Author Contributions
Funding
Institutional Review Board Statement
Informed Consent Statement
Data Availability Statement
Acknowledgments
Conflicts of Interest
References
- Maduraiveeran, G.; Sasidharan, M.; Ganesan, V. Electrochemical sensor and biosensor platforms based on advanced nanomaterials for biological and biomedical applications. Biosens. Bioelectron. 2018, 103, 113–129. [Google Scholar] [CrossRef] [PubMed]
- Schroeder, T.B.H.; Houghtaling, J.; Wilts, B.D.; Mayer, M. It’s Not a Bug, It’s a Feature: Functional Materials in Insects. Adv. Mater. 2018, 30, 1705322. [Google Scholar] [CrossRef]
- Joshi, A.; Kim, K.-H. Recent advances in nanomaterial-based electrochemical detection of antibiotics: Challenges and future perspectives. Biosens. Bioelectron. 2020, 153, 112046. [Google Scholar] [CrossRef]
- Elique, A.; Etard, B.; Fischer, R.A. Metal-Organic Framework Thin Films: From Fundamentals to Applications. Chem. Rev. 2011, 112, 1055–1083. [Google Scholar]
- Hein, R.; Beer, P.D.; Davis, J.J. Electrochemical Anion Sensing: Supramolecular Approaches. Chem. Rev. 2020, 120, 1888–1935. [Google Scholar] [CrossRef]
- Alam, M.T.; Gooding, J.J. Modification of Carbon Electrode Surfaces. In Advances in Electrochemical Science and Engineering; Wiley: Hoboken, NJ, USA, 2015; Volume 16, pp. 211–240. [Google Scholar]
- Li, F.; Yang, H.; Li, W.; Sun, L. Device Fabrication for Water Oxidation, Hydrogen Generation, and CO2 Reduction via Molecular Engineering. Joule 2018, 2, 36–60. [Google Scholar] [CrossRef]
- Tanaka, H.; Aramata, A. Aminopyridyl cation radical method for bridging between metal complex and glassy carbon: Cobalt(II) tetraphenylporphyrin bonded on glassy carbon for enhancement of CO2 electroreduction. J. Electroanal. Chem. 1997, 437, 29–35. [Google Scholar] [CrossRef]
- Yao, S.A.; Ruther, R.E.; Zhang, L.; Franking, R.A.; Hamers, R.J.; Berry, J.F. Covalent attachment of catalyst molecules to conductive diamond: CO2 reduction using “smart” electrodes. J. Am. Chem. Soc. 2012, 134, 15632–15635. [Google Scholar] [CrossRef]
- Leroux, Y.R.; Fei, H.; Noël, J.M.; Roux, C.; Hapiot, P. Efficient covalent modification of a carbon surface: Use of a silyl protecting group to form an active monolayer. J. Am. Chem. Soc. 2010, 132, 14039–14041. [Google Scholar] [CrossRef]
- Maurin, A.; Robert, M. Catalytic CO2-to-CO conversion in water by covalently functionalized carbon nanotubes with a molecular iron catalyst. Chem. Commun. 2016, 52, 12084–12087. [Google Scholar] [CrossRef]
- Mesnage, A.; Lefèvre, X.; Jégou, P.; Deniau, G.; Palacin, S. Spontaneous Grafting of Diazonium Salts: Chemical Mechanism on Metallic Surfaces. Langmuir 2012, 28, 11767–11778. [Google Scholar] [CrossRef]
- Bullock, R.M.; Das, A.K.; Appel, A.M. Surface Immobilization of Molecular Electrocatalysts for Energy Conversion. Chem. Eur. J. 2017, 23, 7626–7641. [Google Scholar] [CrossRef]
- Lyskawa, J.; Bélanger, D. Direct modification of a gold electrode with aminophenyl groups by electrochemical reduction of in situ generated aminophenyl monodiazonium cations. Chem. Mater. 2006, 18, 4755–4763. [Google Scholar] [CrossRef]
- Santos, L.; Mattiuzzi, A.; Jabin, I.; Vandencasteele, N.; Reniers, F.; Reinaud, O.; Hapiot, P.; Lhenry, S.; Leroux, Y.; Lagrost, C. One-pot electrografting of mixed monolayers with controlled composition. J. Phys. Chem. C 2014, 118, 15919–15928. [Google Scholar] [CrossRef]
- Jane, R.T.; Gaudemer, E.; Lomoth, R. Surface modification of carbon and metal electrodes with bistable molecular redox switches by click and amide coupling. J. Mater. Chem. C 2015, 3, 10023–10030. [Google Scholar] [CrossRef]
- Elgrishi, N.; Griveau, S.; Chambers, M.B.; Bedioui, F.; Fontecave, M. Versatile functionalization of carbon electrodes with a polypyridine ligand: Metallation and electrocatalytic H+ and CO2 reduction. Chem. Commun. 2015, 51, 2995–2998. [Google Scholar] [CrossRef] [PubMed]
- Laviron, E. A multilayer model for the study of space distributed redox modified electrodes. J. Electroanal. Chem. Interfacial Electrochem. 1980, 112, 1–9. [Google Scholar] [CrossRef]
- Tregubov, A.A.; Vuong, K.Q.; Luais, E.; Gooding, J.J.; Messerle, B.A. Rh(I) complexes bearing N,N and N,P ligands anchored on glassy carbon electrodes: Toward recyclable hydroamination catalysts. J. Am. Chem. Soc. 2013, 135, 16429–16437. [Google Scholar] [CrossRef]
- Sun, C.; Rotundo, L.; Garino, C.; Nencini, L.; Yoon, S.S.; Gobetto, R.; Nervi, C. Electrochemical CO2 Reduction at Glassy Carbon Electrodes Functionalized by MnI and ReI Organometallic Complexes. ChemPhysChem 2017, 18, 3219–3229. [Google Scholar] [CrossRef] [PubMed]
- Zhang, L.; Vilà, N.; Kohring, G.W.; Walcarius, A.; Etienne, M. Covalent Immobilization of (2,2′-Bipyridyl) (Pentamethylcyclopentadienyl)-Rhodium Complex on a Porous Carbon Electrode for Efficient Electrocatalytic NADH Regeneration. ACS Catal. 2017, 7, 4386–4394. [Google Scholar] [CrossRef]
- O’Donoghue, C.S.J.N.; Shumba, M.; Nyokong, T. Electrode Modification through Click Chemistry Using Ni and Co Alkyne Phthalocyanines for Electrocatalytic Detection of Hydrazine. Electroanalysis 2017, 29, 1731–1740. [Google Scholar] [CrossRef]
- Leroux, Y.R.; Hapiot, P. Nanostructured monolayers on carbon substrates prepared by electrografting of protected aryldiazonium salts. Chem. Mater. 2013, 25, 489–495. [Google Scholar] [CrossRef]
- Dussart, Y.; Harding, C.; Dalgaard, P.; McKenzie, C.; Kadirvelraj, R.; McKee, V.; Nelson, J. Cascade chemistry in azacryptand cages: Bridging carbonates and methylcarbonates. J. Chem. Soc. Dalt. Trans. 2002, 1704–1713. [Google Scholar] [CrossRef]
- Alibrandi, G.; Amendola, V.; Bergamaschi, G.; Fabbrizzi, L.; Licchelli, M. Bistren cryptands and cryptates: Versatile receptors for anion inclusion and recognition in water. Org. Biomol. Chem. 2015, 13, 3510–3524. [Google Scholar] [CrossRef] [PubMed]
- Deraedt, C.; Astruc, D. Supramolecular nanoreactors for catalysis. Coord. Chem. Rev. 2016, 324, 106–122. [Google Scholar] [CrossRef]
- Delgado-Pinar, E.; García-España, E.; Verdejo, B.; Pitarch-Jarque, J. Metal Complexes as Receptors. In Comprehensive Supramolecular Chemistry II; Elsevier Inc.: Amsterdam, The Netherlands, 2017; Volume 3, pp. 437–477. [Google Scholar]
- Realista, S.; Almeida, J.C.; Milheiro, S.A.; Bandeira, N.A.G.; Alves, L.G.; Madeira, F.; Calhorda, M.J.; Martinho, P. Co(II) cryptates convert CO₂ into CO and CH₄ under visible light. Chem. Eur. J. 2019, 25, 11670–11679. [Google Scholar] [CrossRef]
- Markey, L.; Stievenard, D.; Devos, A.; Lannoo, M.; Demol, F.; de Backer, M. STM observations of self-assembled 1D and 2D nanoclusters of aromatic cryptand molecules deposited on highly oriented pyrolytic graphite. Supramol. Sci. 1997, 4, 375–379. [Google Scholar] [CrossRef]
- Pramoda, K.; Kumar, R.; Rao, C.N.R. Graphene / Single-Walled Carbon Nanotube Composites Generated by Covalent Cross-Linking. Chem. Asian J. 2015, 10, 2147–2152. [Google Scholar] [CrossRef]
- Gietter, A.A.S.; Pupillo, R.C.; Yap, G.P.A.; Beebe, T.P.; Rosenthal, J.; Watson, D.A. On-surface cross-coupling methods for the construction of modified electrode assemblies with tailored morphologies. Chem. Sci. 2013, 4, 437–443. [Google Scholar] [CrossRef] [PubMed][Green Version]
- Sonogashira, K. Development of Pd–Cu catalyzed cross-coupling of terminal acetylenes with sp2-carbon halides. J. Organomet. Chem. 2002, 653, 46–49. [Google Scholar] [CrossRef]
- Anariba, F.; DuVall, S.H.; McCreery, R.L. Mono- and Multilayer Formation by Diazonium Reduction on Carbon Surfaces Monitored with Atomic Force Microscopy “Scratching”. Anal. Chem. 2003, 75, 3837–3844. [Google Scholar] [CrossRef] [PubMed]
- Tsyganov, D.; Bundaleska, N.; Henriques, J.; Felizardo, E.; Dias, A.; Abrashev, M.; Kissovski, J.; Botelho do Rego, A.M.; Ferraria, A.M.; Tatarova, E. Simultaneous Synthesis and Nitrogen Doping of Free-Standing Graphene Applying Microwave Plasma. Materials 2020, 13, 4213. [Google Scholar] [CrossRef]
- Patel, A.N.; Collignon, M.G.; O’connell, M.A.; Hung, W.O.Y.; Mckelvey, K.; Macpherson, J.V.; Unwin, P.R. A New View of Electrochemistry at Highly Oriented Pyrolytic Graphite. J. Am. Chem. Soc. 2012, 134, 20117–20130. [Google Scholar] [CrossRef]
- Müri, M.; Gotsmann, B.; Leroux, Y.; Trouwborst, M.; Lörtscher, E.; Riel, H.; Mayor, M. Modular functionalization of electrodes by cross-coupling reactions at their surfaces. Adv. Funct. Mater. 2011, 21, 3706–3714. [Google Scholar] [CrossRef]
- Zhong, D.C.; Lu, T.B. Molecular recognition and activation by polyaza macrocyclic compounds based on host-guest interactions. Chem. Commun. 2016, 52, 10322–10337. [Google Scholar] [CrossRef] [PubMed]
- Möller, F.; Merz, K.; Herrmann, C.; Apfel, U.-P. Bimetallic nickel complexes for selective CO2 carbon capture and sequestration. Dalton Trans. 2016, 45, 904–907. [Google Scholar] [CrossRef]
- Amendola, V.; Bergamaschi, G.; Miljkovic, A. Azacryptands as molecular cages for anions and metal ions. Supramol. Chem. 2018, 30, 236–242. [Google Scholar] [CrossRef]
- Ouyang, T.; Huang, H.; Wang, J.; Zhong, D.; Lu, T. A Dinuclear Cobalt Cryptate as a Homogeneous Photocatalyst for Highly Selective and Efficient Visible-Light Driven CO2 Reduction to CO in CH3CN/H2O Solution. Angew. Chem. Int. Ed. 2017, 56, 738–743. [Google Scholar] [CrossRef]
- NIST X-ray Photoelectron Spectroscopy (XPS) Database, Version 3.5. Available online: https://srdata.nist.gov/xps/ (accessed on 2 March 2021).
- Nunes, B.; Franco, N.; Botelho Do Rego, A.M.; Alves, E.; Colaço, R. Structural characterization of dual ion implantation in silicon. Nucl. Instrum. Methods Phys. Res. Sect. B Beam Interact. Mater. Atoms 2015, 365, 39–43. [Google Scholar] [CrossRef]






| Publisher’s Note: MDPI stays neutral with regard to jurisdictional claims in published maps and institutional affiliations. | 
© 2021 by the authors. Licensee MDPI, Basel, Switzerland. This article is an open access article distributed under the terms and conditions of the Creative Commons Attribution (CC BY) license (https://creativecommons.org/licenses/by/4.0/).
Share and Cite
Bento, M.A.; Realista, S.; Viana, A.S.; Ferraria, A.M.; Martinho, P.N. Cryptand-Functionalized Highly Oriented Pyrolytic Graphite Electrodes. Sustainability 2021, 13, 4158. https://doi.org/10.3390/su13084158
Bento MA, Realista S, Viana AS, Ferraria AM, Martinho PN. Cryptand-Functionalized Highly Oriented Pyrolytic Graphite Electrodes. Sustainability. 2021; 13(8):4158. https://doi.org/10.3390/su13084158
Chicago/Turabian StyleBento, Marcos A., Sara Realista, Ana S. Viana, Ana M. Ferraria, and Paulo N. Martinho. 2021. "Cryptand-Functionalized Highly Oriented Pyrolytic Graphite Electrodes" Sustainability 13, no. 8: 4158. https://doi.org/10.3390/su13084158
APA StyleBento, M. A., Realista, S., Viana, A. S., Ferraria, A. M., & Martinho, P. N. (2021). Cryptand-Functionalized Highly Oriented Pyrolytic Graphite Electrodes. Sustainability, 13(8), 4158. https://doi.org/10.3390/su13084158
 
         
                                                


