Validation of the Velocity Optimization for a Ropeway Passing over a Support
Abstract
1. Introduction
2. Characterization of the System
Hauling Cable Dynamics, Three Velocities Model, and Cost Function
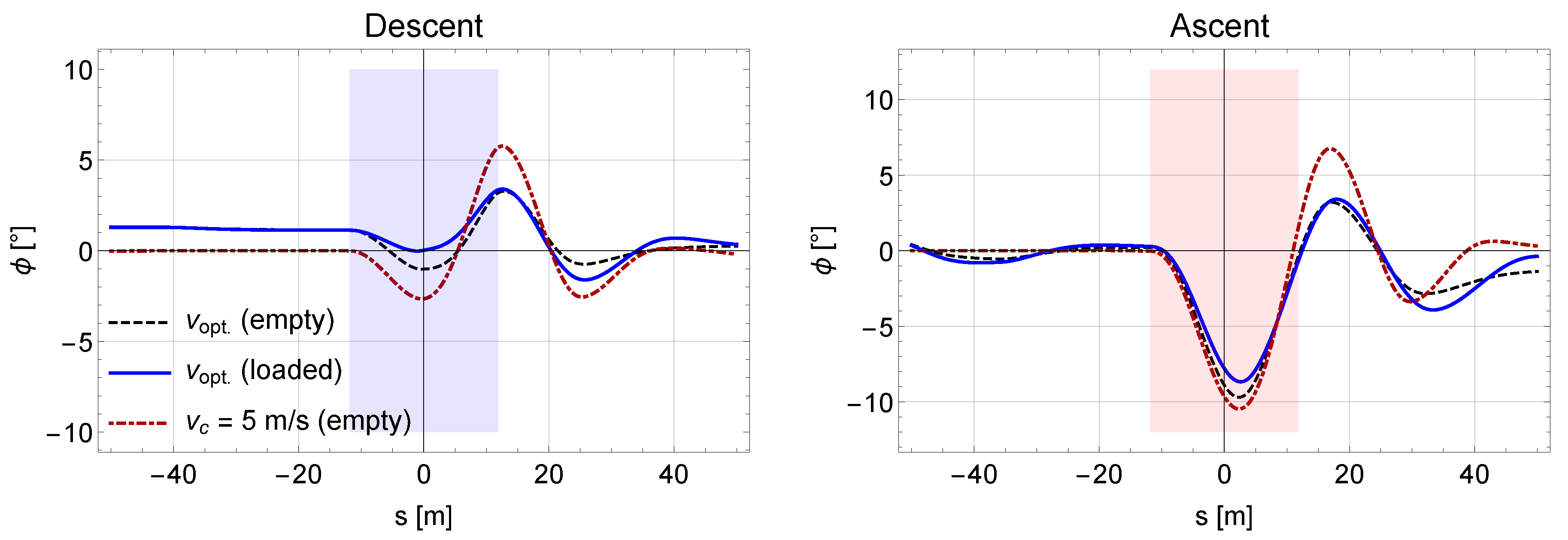
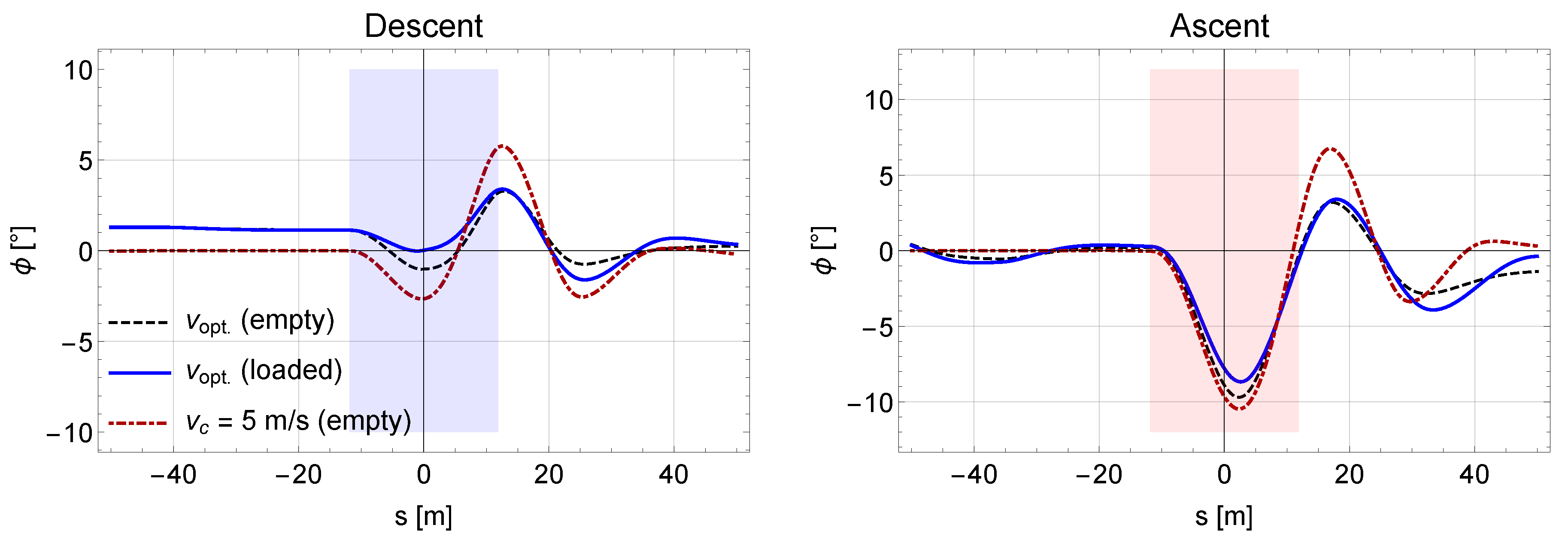
3. Experimental Validation and Discussion
4. Conclusions
Supplementary Materials
Author Contributions
Funding
Institutional Review Board Statement
Informed Consent Statement
Data Availability Statement
Acknowledgments
Conflicts of Interest
References
- Wenin, M.; Windisch, A.; Ladurner, S.; Bertotti, M.L.; Modanese, G. Optimal velocity profile for a cable car passing over a support. Eur. J. Mech. A/Solids 2019, 73, 366–372. [Google Scholar] [CrossRef]
- Bryja, D.; Knawa, M. Computational model of an inclined aerial ropeway and numerical method for analyzing nonlinear cable–car interaction. Comput. Struct. 2011, 98, 1895–1905. [Google Scholar] [CrossRef]
- Brownjohn, J.M. Dynamics of an aerial cableway system. Eng. Struct. 1998, 20, 826–836. [Google Scholar] [CrossRef]
- Yi, Z.; Wang, Z.; Zhou, Y.; Stanciulescu, I. Modeling and vibratory characteristics of a mass-carrying cable system with multiple pulley supports in span range. Appl. Math. Model. 2017, 49, 59–68. [Google Scholar] [CrossRef]
- Sofi, A. Nonlinear in-plane vibrations of inclined cables carrying moving oscillators. J. Sound Vib. 2013, 332, 1712–1724. [Google Scholar] [CrossRef]
- Hurel, G.; Laborde, J.; Jézéquel, L. Simulation of the Dynamic Behavior of a Bi-Cable Ropeway with Modal Bases. Top. Modal Anal. Test. 2019, 9, 43–54. [Google Scholar]
- Sofi, A.; Muscolino, G. Dynamic analysis of suspended cables carrying moving oscillators. Int. J. Solids Struct. 2007, 44, 6725–6743. [Google Scholar] [CrossRef]
- Wu, J.S.; Chen, C.C. The dynamic analysis of a suspended cable due to a moving load. Int. J. Numer. Methods Eng. 1989, 28, 2361–2381. [Google Scholar] [CrossRef]
- Arena, A.; Carboni, B.; Angeletti, F.; Babaz, M.; Lacarbonara, W. Ropeway roller batteries dynamics: Modeling, identification, and full-scale validation. Eng. Struct. 2019, 180, 793–808. [Google Scholar] [CrossRef]
- Wang, L.; Rega, G. Modelling and transient planar dynamics of suspended cables with moving mass. Int. J. Solids Struct. 2010, 47, 2733–2744. [Google Scholar] [CrossRef]
- Gattulli, V.; Alaggio, R.; Potenza, F. Analytical prediction and experimental validation for longitudinal control of cable oscillations. Int. J. Non-Linear Mech. 2008, 43, 36–52. [Google Scholar] [CrossRef]
- Petrova, R. Dynamic Analysis of a Chair Ropeway Exposed to Random Wind Loads. FME Trans. 2005, 33, 123–128. [Google Scholar]
- Research, W. NMinimize. [version 12.2.0]. 2014. Available online: https://reference.wolfram.com/language/ref/NMinimize.html (accessed on 8 March 2021).
- Ladurner, S.; Wenin, M.; Reiterer, D.; Bertotti, M.L.; Modanese, G. Experimental Investigation of the dynamics of a ropeway passing over a support. In Engineering Design Applications III; Öchsner, A., Altenbach, H., Eds.; Springer: Berlin/Heidelberg, Germany, 2020. [Google Scholar]
- Wenin, M.; Windisch, A.; Ladurner, S.; Bertotti, M.L.; Modanese, G. Optimization of the Head Geometry for a Cable Car Passing over a Support. In Engineering Design Applications II; Öchsner, A., Altenbach, H., Eds.; Springer: Berlin/Heidelberg, Germany, 2020. [Google Scholar]
- Czitary, E. Seilschwebebahnen (2. Auflage); Springer: Berlin/Heidelberg, Germany, 1962. [Google Scholar]
- Landau, L.D.; Lifschitz, E.M. Lehrbuch der Theoretischen Physik I, Klassische Mechanik (14.Auflage); Verlag Harry Deutsch: Frankfurt am Main, Germany, 2011. [Google Scholar]
- Canale, R. Schwingungen bei Seilbahnen (5. Teil). Int. Seilb. Rundsch. 2010, 6, 24–26. [Google Scholar]
- Volmer, M. Stochastische Schwingungen an Ausgedehnten Seilfeldern und ihre Anwendung zur Spurweitenberechnung an Seilbahnen; Dissertation am Inst. f. Leichtbau und Seilbahntechnik ETH, CH-8092 Zürich, Nr. 13379; 1999. Available online: https://www.research-collection.ethz.ch/handle/20.500.11850/144468 (accessed on 8 March 2021).
- Hoffmann, K. Oscillation Effects of Ropeways Caused by Cross–Wind and Other Influences. FME Trans. 2009, 175, 175–184. [Google Scholar]
- Szlosarek, R.; Yan, C.; Kröger, M.; Nußbaumer, C. Energy efficiency of ropeways: A model-based analysisi. Public Transp. 2019. [Google Scholar] [CrossRef]






| [] | [] | [m] | l [m] | [m/s] | [m/s] | [m/s] | [m] |
|---|---|---|---|---|---|---|---|
| 44.5 | 6.3 | 28 | 23.76 | (kg) | 5 | 10 | (kg) |
| - | J (Empty) | J (Loaded) | Descent (Meas.*/simul.) [] | Ascent (Meas. */simul.) [] |
|---|---|---|---|---|
| original | 11.4 | 14.3 | 9.5/11.6 | 23.5/22.8 |
| optimized | 3.9 | 4.0 | 6.0/4.3 | 13.0/12.9 |
Publisher’s Note: MDPI stays neutral with regard to jurisdictional claims in published maps and institutional affiliations. |
© 2021 by the authors. Licensee MDPI, Basel, Switzerland. This article is an open access article distributed under the terms and conditions of the Creative Commons Attribution (CC BY) license (http://creativecommons.org/licenses/by/4.0/).
Share and Cite
Wenin, M.; Ladurner, S.; Reiterer, D.; Bertotti, M.L.; Modanese, G. Validation of the Velocity Optimization for a Ropeway Passing over a Support. Sustainability 2021, 13, 2986. https://doi.org/10.3390/su13052986
Wenin M, Ladurner S, Reiterer D, Bertotti ML, Modanese G. Validation of the Velocity Optimization for a Ropeway Passing over a Support. Sustainability. 2021; 13(5):2986. https://doi.org/10.3390/su13052986
Chicago/Turabian StyleWenin, Markus, Siegfried Ladurner, Daniel Reiterer, Maria Letizia Bertotti, and Giovanni Modanese. 2021. "Validation of the Velocity Optimization for a Ropeway Passing over a Support" Sustainability 13, no. 5: 2986. https://doi.org/10.3390/su13052986
APA StyleWenin, M., Ladurner, S., Reiterer, D., Bertotti, M. L., & Modanese, G. (2021). Validation of the Velocity Optimization for a Ropeway Passing over a Support. Sustainability, 13(5), 2986. https://doi.org/10.3390/su13052986

