Cultural Sustainability in University Students’ Flamenco Music Event Attendance: A Neural Networks Approach
Abstract
1. Introduction
2. Theoretical Framework
3. Methods
3.1. Sample Selection
3.2. Variables
3.3. Artificial Neural Networks Model
4. Analysis of Results
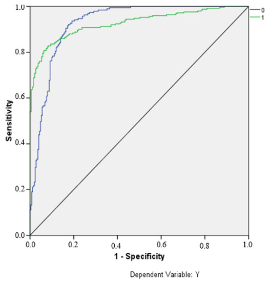
4.1. Model Estimations
4.2. Discussion
4.3. Limitations and Future Lines of Research
5. Conclusions
Author Contributions
Funding
Institutional Review Board Statement
Informed Consent Statement
Data Availability Statement
Acknowledgments
Conflicts of Interest
References
- Ortega, C. El Impacto Del Flamenco En Las Industrias Culturales Andaluzas; Universidad Complutense de Madrid: Madrid, Spain, 2006. [Google Scholar]
- Negrusa, A.L.; Toader, V.; Rus, R.V.; Cosma, S.A. Study of Perceptions on Cultural Events’ Sustainability. Sustainability 2016, 8, 1269. [Google Scholar] [CrossRef]
- Turismo Andaluz. La Demanda de Turismo de Flamenco En Andalucía; Junta de Andalucía: Málaga, Spain, 2004. [Google Scholar]
- Palma, L.; Palma, M.L.; Rodríguez, A.; Martín, J.L.; Cascajo, I. Live Flamenco in Spain: A Dynamic Analysis of Supply, with Managerial Implications. Int. J. Arts Manag. 2017, 19, 1–14. [Google Scholar]
- Ateca-Amestoy, V.; Villarroya, A. Measuring Participation in the Arts in Spain. In Enhancing Participation in the Arts in the EU; Springer: Berlin, Germany, 2017; pp. 19–33. [Google Scholar] [CrossRef]
- Katz-Gerro, T. Cultural Consumption Research: Review of Methodology, Theory, and Consequence. Int. Rev. Sociol. 2004, 14, 1–20. [Google Scholar] [CrossRef]
- Navarrete, T.; Borowiecki, K.J. Changes in Cultural Consumption: Ethnographic Collections in Wikipedia. Cult. Trends 2016, 25, 233–248. [Google Scholar] [CrossRef][Green Version]
- Zallo, R. La Economía de La Cultura (y de La Comunicación) Como Objeto de Estudio. Zer 2007, 22, 215–234. [Google Scholar]
- Chaparro, H.R.; Guzmán, C.M. Jóvenes y Consumo Cultural. Una Aproximación a La Significación de Los Aportes Mediáticos En La Preferencias Juveniles *. Anagramas 2017, 15, 121–142. [Google Scholar] [CrossRef][Green Version]
- Terrazas, F. Estudio Sobre Hábitos de Consumo Cultural y Musical En Estudiantes de La Universidad Autónoma de Chihuahua (México); Universidad de Granada: Granada, Spain, 2014. [Google Scholar]
- Hinojosa, L. Consumo y Prácticas Culturales de La Comunidad Universitaria de Una Universidad Mexicana. In III Congrés Internacional Associació Espanyola d’Investigació de la Comunicació; Universitat Rovira i Virgili: Tarragona, Spain, 2012; pp. 1–18. [Google Scholar]
- Fernández-Gutiérrez, M.; Calero, J. The Non-Monetary Effects of Education on Leisure: Analysis of the Use of Time in Spain. Estud. Sobre Educ. 2019, 36, 207–229. [Google Scholar] [CrossRef]
- Heredia-Carroza, J.; Palma, L.; Marín, A. Determinants of Attendance Frequency to Flamenco Shows. Rev. Metod. Cuantitativos Para la Econ. y la Empres. 2020, 29, 79–98. [Google Scholar]
- De Sancha-Navarro, J.M.; Palma, L.; Oliver-Alfonso, M.D. Explanatory Factors of University Student Participation in Flamenco. Econ. Sociol. 2019, 12, 130–148. [Google Scholar] [CrossRef] [PubMed]
- Ateca-Amestoy, V. Determining Heterogeneous Behavior for Theater Attendance. J. Cult. Econ. 2008, 32, 127–151. [Google Scholar] [CrossRef]
- Levy-Garboua, L.; Montmarquette, C. A Microeconometric Study of Theater Demand. J. Cult. Econ. 1996, 20, 25–50. [Google Scholar] [CrossRef]
- Michael, R.; Becker, G.S. On the New Theory of Consumer Behavior. Swed. J. Econ. 1973, 75, 378–396. [Google Scholar] [CrossRef]
- Stigler, G.J.; Becker, G.S. De Gustibus Non Est Disputandum. Am. Econ. Rev. 1977, 67, 76–90. [Google Scholar] [CrossRef]
- Aguado, L.F.; Palma, L. Factores Que Limitan La Participación Cultural. Una Mirada Desde La Economía de La Cultura. Rev. Cienc. Soc. 2015, 21, 58–71. [Google Scholar]
- Favaro, D.; Frateschi, C. A Discrete Choice Model of Consumption of Cultural Goods: The Case of Music. J. Cult. Econ. 2007, 31, 205–234. [Google Scholar] [CrossRef]
- Gray, C. Hope for the Future? Early Exposure to the Arts and Adult Visits to Art Museums. J. Cult. Econ. 1998, 22, 87–98. [Google Scholar] [CrossRef]
- Ateca-Amestoy, V. El Capital Humano Como Determinante Del Consumo Cultural. Estud. Econ. Apl. 2009, 27, 89–112. [Google Scholar]
- Hager, M.A.; Winkler, M.K. Motivational and Demographic Factors for Performing Arts Attendance across Place and Form. Nonprofit Volunt. Sect. Q. 2012, 41, 474–496. [Google Scholar] [CrossRef]
- Falk, M.; Katz-Gerro, T. Cultural Participation in Europe: Can We Identify Common Determinants? J. Cult. Econ. 2016, 40, 127–162. [Google Scholar] [CrossRef]
- Martin, A.J.; Anderson, M.; Adams, R.-J. What Determines Young People’s Engagement with Performing Arts Events? Leis. Sci. 2012, 34, 314–331. [Google Scholar] [CrossRef]
- Aguado, L.F. Estadísticas Culturales: Una Mirada Desde La Economía de La Cultura. Cuad. Adm. 2010, 23, 107–141. [Google Scholar]
- Corning, J.; Levy, A. Demand for Live Theater with Market Segmentation and Seasonality. J. Cult. Econ. 2002, 26, 217–235. [Google Scholar] [CrossRef]
- Snowball, J. Festival Fringe Production and the Long Tail. Econ. Res. S. Afr. 2016, 576. Available online: https://www.econrsa.org/system/files/publications/working_papers/working_paper_576.pdf (accessed on 25 September 2020).
- Wen, W.J.; Cheng, T.C. Performing Arts Attendance in Taiwan: Who and How Often? J. Cult. Econ. 2013, 37, 309–325. [Google Scholar] [CrossRef]
- Muñiz, C.; Rodríguez, P.; Suárez, M.J. Participation in Cultural Activities: Specification Issues. J. Cult. Econ. 2015, 1–23. [Google Scholar] [CrossRef]
- Fernández, V.; Prieto, J. Análisis de Los Hábitos de Lectura Como Una Decisión Económica. Estud. Econ. Apl. 2009, 27, 111–135. [Google Scholar]
- Prieto, J.; Fernández, V. Are Popular and Classical Music Listeners the Same People? J. Cult. Econ. 2000, 24, 147–164. [Google Scholar] [CrossRef]
- Palocsay, S.W.; White, M.M. Neural Network Modeling in Cross-Cultural Research: A Comparison with Multiple Regression. Organ. Res. Methods 2004, 7, 389–399. [Google Scholar] [CrossRef]
- Asensio-Cuesta, S.; Diego-Más, J.A.; Alcaide-Marzal, J.; González-Cruz, M.C. Aplicación de Redes Neuronales Para La Predicción de La Percepción, Por Parte de Los Usuarios, de La Funcionalidad de Un Producto; Asociación Española de Ingeniería de Proyectos (AEIPRO): Badajoz, Spain, 2009. [Google Scholar]
- Bashwiner, D.M.; Bacon, D.K.; Wertz, C.J.; Flores, R.A.; Chohan, M.O.; Jung, R.E. Resting State Functional Connectivity Underlying Musical Creativity. Neuroimage 2020, 218, 116940. [Google Scholar] [CrossRef]
- Shi, N.; Wang, Y. Symmetry in Computer-Aided Music Composition System with Social Network Analysis and Artificial Neural Network Methods. J. Ambient Intell. Humaniz. Comput. 2020, 1–16. [Google Scholar] [CrossRef]
- Wu, J.; Liu, X.; Hu, X.; Zhu, J. PopMNet: Generating Structured Pop Music Melodies Using Neural Networks. Artif. Intell. 2020, 286, 103303. [Google Scholar] [CrossRef]
- De Boom, C.; Agrawal, R.; Hansen, S.; Kumar, E.; Yon, R.; Chen, C.W.; Demeester, T.; Dhoedt, B. Large-Scale User Modeling with Recurrent Neural Networks for Music Discovery on Multiple Time Scales. Multimed. Tools Appl. 2018, 77, 15385–15407. [Google Scholar] [CrossRef]
- Getzner, M. Spatially Disaggregated Cultural Consumption: Empirical Evidence of Cultural Sustainability from Austria. Sustainability 2020, 12, 10023. [Google Scholar] [CrossRef]
- Loach, K.; Rowley, J.; Griffiths, J. Cultural Sustainability as a Strategy for the Survival of Museums and Libraries. Int. J. Cult. Policy 2017, 23, 186–198. [Google Scholar] [CrossRef]
- Nijkamp, P.; Riganti, P. Assessing Cultural Heritage Benefits for Urban Sustainable Development. Int. J. Serv. Technol. Manag. 2008, 10, 29–38. [Google Scholar] [CrossRef]
- Kinnunen, M.; Homi, H.; Honkanen, A. Social Sustainability in Adolescents’ Music Event Attendance. Sustainability 2020, 12, 9419. [Google Scholar] [CrossRef]
- Zhang, G.P.; Patuwo, B.E.; Hu, M.Y. Forecasting with Artificial Neural Networks: The State of the Art. Int. J. Forecast. 1998, 14, 35–62. [Google Scholar] [CrossRef]
- Zhang, L.; Zhu, J.; Liu, Q. A Meta-Analysis of Mobile Commerce Adoption and the Moderating Effect of Culture. Comput. Hum. Behav. 2012, 28, 1902–1911. [Google Scholar] [CrossRef]
- Veiga, J.F.; Lubatkin, M.; Calori, R.; Very, P.; Tung, A. Using Neural Network Analysis to Uncover the Trace Effects of National Culture. J. Int. Bus. Stud. 2000, 31, 223–238. [Google Scholar] [CrossRef]
- Baumol, W.J.; Bowen, W.G. Performing Arts: The Economic Dilemma.; Twentieth Century Found: New York, NY, USA, 1966. [Google Scholar]
- Ferilli, G.M.; Sacco, P.L. Nuevas Direcciones En Políticas Culturales. Los Distritos Culturales Sistémicos; Editorial Doble J. C.: Seville, Spain, 2012. [Google Scholar]
- Throsby, D. Culture, Economics and Sustainability. J. Cult. Econ. 1995, 19, 199–206. [Google Scholar] [CrossRef]
- Throsby, D. Cultural, Sustainability. In A Handbook of Cultural Economics; Towse, R., Ed.; Edward Elgar: Cheltenham, UK, 2003; pp. 183–186. ISBN 978-1-84064-338-2. [Google Scholar]
- Prieto, J.; Pérez, M.J.; Suárez, S. El Consumo Cultural: ¿Cuestión de Gusto o de Precio? 2018. Available online: https://observatoriosociallacaixa.org/es/-/el-consumo-cultural_cuestion-de-gusto-o-de-precio (accessed on 25 September 2020).
- Zieba, M. Determinants of Demand for Theatre Tickets in Austria and Switzerland. Austrian J. Stat. 2011, 40, 209–219. [Google Scholar] [CrossRef]
- Wu, J.; Jiang, K.; Yuan, C. Determinants of Demand for Traditional Chinese Opera. Empir. Econ. 2019, 57, 2129–2148. [Google Scholar] [CrossRef]
- Scitovsky, T. The Joyless Economy: The Psychology of Human Satisfaction; Oxford University Press: New York, NY, USA, 1976. [Google Scholar]
- Herrera-Usagre, M. El Impacto Del Intercambio de Música Sobre La Compra de Discos y La Asistencia a Conciertos. El Caso de España. Papers 2012, 97, 751–772. [Google Scholar] [CrossRef][Green Version]
- Herrera-Usagre, M. El Consumo Cultural En España. Una Aproximación Al Análisis de La Estratificación Social de Los Consumos Culturales y Sus Dificultades Metodológicas. Empiria. Rev. Metodol. Cienc. Soc. 2011, 22, 141–172. [Google Scholar] [CrossRef][Green Version]
- Ateca-Amestoy, V.; Ginsburgh, V.; Mazza, I.; Prieto-Rodríguez, J.; O Hagan, J. Enhancing Participation in the Arts in the EU; Springer: Berlin, Germany, 2017. [Google Scholar] [CrossRef]
- Gujarati, D.N.; Porter, D.C. Econometría; Mc Graw Hill: Mexico D.F., Mexico, 2010. [Google Scholar]
- López-Roldán, P.; Fachelli, S. Metodología de La Investigación Social Cuantitativa; Creative Commons: Barcelona, Spain, 2015. [Google Scholar] [CrossRef]
- Rositas, J. Los Tamanos de Las Muestras En Encuestas de Las Ciencias Sociales y Su Repercusion En La Generacion Del Conocimiento (Sample Sizes for Social Science Surveys and Impact on Knowledge Generation). Innov. de Neg. 2014, 11, 235–268. [Google Scholar]
- Bishop, C.M. Neural Networks for Pattern Recognition; University Press: New York, NY, USA, 1995. [Google Scholar]
- Rumelhart, D.E.; Hinton, G.E.; Williams, R.J. Learning Representations by Back-Propagating Errors. Nature 1986, 323, 533–536. [Google Scholar] [CrossRef]
- Kim, K.J. Financial time series forecasting using support vector machines. Neurocomputing 2003, 55, 307–319. [Google Scholar] [CrossRef]
- Venables, W.N.; Ripley, B.D. Modern Applied Statistics with S; Springer: New York, NY, USA, 2002. [Google Scholar]
- Hastie, T.; Tibshirani, R.; Friedman, J.H. The Elements of Statistical Learning: Data Mining, Inference, and Prediction; Springer Series in Statistics: New York, NY, USA, 2009. [Google Scholar]
- Demuth, H.; Beale, M. Neural network toolbox for use with Matlab. In User’s Guide; The Math Works Inc.: Natick, MA, USA, 1997. [Google Scholar]
- Blanco, A.; Pino-Mejías, R.; Lara, J.; Rayo, S. Credit scoring models for the microfinance industry using neural networks: Evidence from Peru. Expert Syst. Appl. 2013, 40, 356–364. [Google Scholar] [CrossRef]
- Cubiles-De-La-Vega, M.D.; Blanco-Oliver, A.; Pino-Mejías, R.; Lara-Rubio, J. Improving the management of microfinance institutions by using credit scoring models based on Statistical Learning techniques. Expert Syst. Appl. 2013, 40, 6910–6917. [Google Scholar] [CrossRef]
- Liébana-Cabanillas, F.; Lara-Rubio, J. Predictive and explanatory modeling regarding adoption of mobile payment systems. Technol. Forecast. Soc. Chang. 2017, 120, 32–40. [Google Scholar] [CrossRef]
- Jones, F.L. Current Techniques in Bankruptcy Prediction. J. Account. Lit. 1987, 6, 131–164. [Google Scholar]



| Factors | References |
|---|---|
| Personal characteristics | [16,20,24,25,32] |
| Socioeconomic factors | [20,24,25,32,46,50,51,52] |
| Human and cultural capital | [5,12,13,14,15,16,17,21,22,53,54] |
| External factors | [5,6,7,8,19,23] |
| Porcentage of Students in Each Area | Questionnaires Needed | Questionnaires Finally Answered per Programme |
|---|---|---|
| Health Sciences 8069 students (14.57%) | 58 | Odontology (41) Pharmacy (44) |
| Sciences 3532 students (6.39%) | 26 | Mathematics (35) |
| Social and Legal Sciences 21,987 students (39.7%) | 158 | Primary Education (44) Finance-Accounting (53) Economics (14) Pedagogy (50) Business Administration (22) |
| Engineering and Architecture 16,278 students (29.39%) | 118 | Engineering (80) Architecture (20) |
| Arts and Humanities 5516 students (9.96%) | 40 | Fine Arts (49) |
| TOTAL 55,382 students (100%) | 400 | 452 |
| Code | Acronym | Definition |
|---|---|---|
| Personal characteristics | ||
| X1 | Gender | Gender. Dummy variable. 0 = Female, 1 = Male |
| X2 | Age | Age of attendant. Numerical variable. |
| X3 | Zone | Residence. Dummy variable. 0 = Andalusia, 1 = Other. |
| SOcioeconomic factors | ||
| X4 | M_Stud | Educational level of mother. Categorical variable. 0 = no formal education, 1 = basic education, 2 = intermediate education, 3 = higher education. |
| X5 | F_Stud | Educational level of father. Categorical variable. 0 = no formal education, 1 = basic education, 2 = intermediate education, 3 = higher education. |
| X6 | Income | Monthly income. Categorical variable. 0 = €0–50, 1 = €51–100, 2 = €101–200, 3 = +€200. |
| Human and cultural capital | ||
| X7 | Flam_cult | Flamenco understood as culture. Dummy variable. 0 = Yes, 1 = No. |
| X8 | Flam_art | Flamenco understood as art. Dummy variable. 0 = Yes, 1 = No. |
| X9 | Flam_music | Flamenco understood as dance music. Dummy variable. 0 = Yes, 1 = No. |
| X10 | Flam_waylife | Flamenco understood as a way of life. Dummy variable. 0 = Yes, 1 = No. |
| X11 | Flam_business | Flamenco understood as a synonym of Andalusia. Dummy variable. 0 = Yes, 1 = No. |
| X12 | Flam_andal | Flamenco understood as a business. Dummy variable. 0 = Yes, 1 = No. |
| X13 | Flam_know | Level of knowledge of Flamenco. Categorical variable. 0 = none, 1 = poor, 2 = average, 3 = good, 4 = very good. |
| X14 | Flam_interes | Level of personal interest. Categorical variable. 0 = none, 1 = poor, 2 = average, 3 = good, 4 = very good. |
| X15 | Previous | Attended shows as a child. Dummy variable. 0 = Yes, 1 = No. |
| X16 | Flam_contact | Contact though family. Categorical variable. 0 = none, 1 = poor, 2 = average, 3 = good, 4 = very good. |
| X17 | Flam_clothes | Buys flamenco clothes. Dummy variable. 0 = Yes, 1 = No. |
| External factors | ||
| X18 | Flam_humanity | Knows that Flamenco is a world heritage treasure. Dummy variable. 0 = Yes, 1 = No. |
| X19 | Flam_read | Has read about Flamenco. Dummy variable. 0 = Yes, 1 = No. |
| X20 | Others | Attends other music shows. Dummy variable. 0 = Yes, 1 = No. |
| X21 | Flam_listen | Listens regularly to Flamenco music. Dummy variable. 0 = Yes, 1 = No. |
| X22 | Flam_contribution | Contribution of Flamenco to culture. Categorical variable. 0 = none or little, 1 = average, 2 = large or very large. |
| Classification | ||||
|---|---|---|---|---|
| Sample | Observed | Predicted | ||
| 0 | 1 | Percent Correct | ||
| Training | 0 | 135 | 17 | 88.8% |
| 1 | 30 | 168 | 84.8% | |
| Overall Percent | 86.6% | |||
| Testing | 0 | 34 | 3 | 91.9% |
| 1 | 11 | 41 | 78.8% | |
| Overall Percent | 84.4% | |||
Publisher’s Note: MDPI stays neutral with regard to jurisdictional claims in published maps and institutional affiliations. |
© 2021 by the authors. Licensee MDPI, Basel, Switzerland. This article is an open access article distributed under the terms and conditions of the Creative Commons Attribution (CC BY) license (http://creativecommons.org/licenses/by/4.0/).
Share and Cite
De Sancha-Navarro, J.M.; Lara-Rubio, J.; Oliver-Alfonso, M.D.; Palma-Martos, L. Cultural Sustainability in University Students’ Flamenco Music Event Attendance: A Neural Networks Approach. Sustainability 2021, 13, 2911. https://doi.org/10.3390/su13052911
De Sancha-Navarro JM, Lara-Rubio J, Oliver-Alfonso MD, Palma-Martos L. Cultural Sustainability in University Students’ Flamenco Music Event Attendance: A Neural Networks Approach. Sustainability. 2021; 13(5):2911. https://doi.org/10.3390/su13052911
Chicago/Turabian StyleDe Sancha-Navarro, Jesús Manuel, Juan Lara-Rubio, María Dolores Oliver-Alfonso, and Luis Palma-Martos. 2021. "Cultural Sustainability in University Students’ Flamenco Music Event Attendance: A Neural Networks Approach" Sustainability 13, no. 5: 2911. https://doi.org/10.3390/su13052911
APA StyleDe Sancha-Navarro, J. M., Lara-Rubio, J., Oliver-Alfonso, M. D., & Palma-Martos, L. (2021). Cultural Sustainability in University Students’ Flamenco Music Event Attendance: A Neural Networks Approach. Sustainability, 13(5), 2911. https://doi.org/10.3390/su13052911

