Abstract
Currently, 21st century students need competences that enable them to adapt to a new type of individual information and individual knowledge relationship, and, therefore, the education system should contemplate new ways for learners to develop in accordance with this so-called information and knowledge society. One of special importance is so-called digital competency. This article presents the results of a research study to determine the influence that the variables of gender, age, and academic degree have on the acquisition of digital competence by pre-service educators, with a sample of 370 students from different education degrees from the University of Salamanca (Spain). A quantitative methodology was used, employing a non-experimental method and the electronic survey technique to collect information on the dimensions of knowledge, as well as the management of and attitude towards information and communication technologies (ICTs). Data were analyzed inferentially from a comparison of means using nonparametric tests. This analysis was completed with the incorporation of Receiver Operating Characteristic (ROC) curves, which allowed us to graphically verify the differences between the subsamples and thus compare the different groups in relation to the proposed dimensions. The main conclusion was that the three variables studied can be considered as influential, though not determinant, in the acquisition of digital competency.
1. Introduction
In our 21st century society, the emerging patterns of social and economic development require new skills and competences so that its citizens may carry out effective work and actively contribute to economic growth within a system where knowledge is the main asset [1,2,3]. One of the most remarkable features of society nowadays is the importance of information and communication technologies (ICT) [4]. In terms of education, ICT has adopted a relevant role in the processes of teaching and learning and has become an educational need for several social, cultural, and health factors in most societies all over the world [5]. Thus, the educational policies have favored the use of technology in and out of the classroom as a key support for training [6]. Therefore, 21st century students need competences that enable them to adapt to a new type of individual information and individual knowledge relationship, and, therefore, the education system should contemplate new ways for learners’ develop in accordance with this so-called information and knowledge society [7]. In this sense, the world’s educational policies have focused on the development of competences related to the use of ICT so that users may progress actively in a social and work global context. The digital competence, one of the eight key competences for permanent learning established by the European Union, has become a transversal skill in all Spanish universities [8].
Considering these social and educational premises, it is prioritized, in university studies of education, to train professionals to be prepared for the pedagogical integration of ICT in teaching and learning. Its main aim is to transform the training processes thanks to the pedagogical innovation supported with technological tools [9].
It is important to develop the digital competency of future education professionals, which has been previously discussed in the relevant literature [10,11,12,13,14,15], as has the influence of several variables in ICT acquisition [16,17,18,19].
The development of digital competency may be determined by several personal and contextual features [20]. To know its influence gives us useful knowledge for future educational policies to integrate ICT.
This article focuses on the study of influence that different variables have on pre-service educators acquiring digital competency. We aimed to understand the effect in terms of age, gender, and academic degree in relation with the acquisition of this competency.
Our main conclusion was that these variables could be considered influential, but not determinant, in the acquisition of digital competency.
The study is structured into five sections: an introduction, a presentation of the theoretical framework that provides its context, the methodology used, the main findings, the discussion, and conclusion.
2. Theoretical Foundation
We live in a society where knowledge constitutes the basis of productive processes, which shows to be a great articulator at both the local and global level [21]. “For the first time in history, the human mind is a direct productive force, not only a decisive element of the production system” [22] (p. 62).
Knowledge society information and communication technologies (ICT), especially the Internet, have profound changed learning and knowledge acquisition [23], thus evidencing the need for novel training processes that can develop new knowledge, skills, and competences different from those in industrial and post-industrial societies [24,25].
The characteristics of ICT and their implementation on a global scale have led to significant changes in different domains, especially in institutions. The possibility of collecting information, its rapid transmission, the disappearance of space barriers, the use of multiple media and supports are, among others, some of the features that explain the great potential for change that technologies provide. In this sense, there are authors who have presented four necessary areas when developing training programs [26]:
- A culture of participation, as well as new ways to participate and share with others, emerged after the rise of social networks.
- Access to information is one of the advantages of the Internet, as it brings countless possibilities to make a significant difference.
- Communication possibilities (e.g., e-mail, chats, instant messaging, online communities) have given rise to new conditions for communication and the development of communicative skills.
- Production of content make it possible for anyone to be a prosumer.
Higher education institutions must keep these ICT potentialities in mind when forming policies and training projects [27]. Compared with teacher-centered teaching models, ICTs favor student-centered models, transitioning from one culture of teaching to another of learning. Consequently, the key competencies of university students of this century should be: (a) the ability to understand complex concepts; (b) to become digitally literate; (c) be able to use ICTs in an advanced way; (d) have social and communicative skills necessary for personal, social, and professional development; (e) be able to work in groups and collaborate [28].
Although digital competence is an extended term in scientific research and it constitutes a wide field in educational research, its conceptualization is not standardized [29]. The words used to refer to this ability are different, i.e., media literacy [30], digital literacy [31], digital competence [32], etc., of which digital competence and digital literacy are used most in the scientific literature [29].
The European Union defines digital competence as the safe, critical, and sensible use of digital technologies to learn at work and to participate in society, as well as to interact with them. It includes information and data literacy, communication and collaboration, media literacy, digital content creation (including programming), security (including digital well-being, and cybersecurity-related skills), intellectual property issues, problem-solving, and critical thinking [33] (p. 9).
The digital competence is not an isolated ability that pre-service educators should develop, but rather they should develop knowledge, procedures, and attitudes in different areas and dimension of knowledge. The technological pedagogical content knowledge (TPACK) model [34] requires one to understand the complex relations among technology, content, and pedagogy. This model holds the development of digital competence in seven dimensions derived from the intersection of the main nucleus of technology, pedagogy, content: content knowledge (CK), pedagogical knowledge (PK), technological knowledge (TK), pedagogical content knowledge (PCK), technological content knowledge (TCK), technological pedagogical knowledge (TPK), and technological pedagogical content knowledge (TPACK).
In the last few years, various researchers have studied self-evaluated digital competences in the field of higher education [35,36,37,38,39], as well as the influence or relationship between different factors and the acquisition of digital competence, digital inclusion, or literacy in ICT.
One of the more studied personal variables is gender variety. Traditionally, most research shows that male gender considers itself more competent than females [40,41]. Likewise, more recent studies underline that this variable constitutes a significant predictor in digital competency [42], whereas women show an inferior competence level [43]. However, it is common belief that men are perceived to have a lower competence level than women [44].
The influence of age in the acquisition and development of digital competency has also been a personal variable previously studied. More recent research shows that this variable influences (not in a determined way) competence level. People over the age of 25, 30, and 40, show a better capacity and attitude toward using ICT [43,45,46]. Other works concluded that age differentiates the attitude and actions of educators. People aged over 40 are less confident when using ICT, especially regarding information, digital literacy, and educational content management [47]. There are also studies that state that young people are the more competent with digital technology [42].
Regarding the influence of academic degree, research is scarce. There are works that indicate that this variable does not influence one’s digital competence [45]. Others show that there is a significant influence [43], concluding that students in early childhood education are perceived to have a minor digital competency level compared to students in primary education [9].
The present article presents the results of an investigation carried out with the purpose of better understanding influence of several variables that determine self-aquired digital competency: gender, age, and academic qualification.
3. Methodology
A quantitative methodology was used with an ex-post-facto non-experimental design. The relationships between the variables were sought without direct manipulation [48,49]. For data collection, an electronic survey was used.
All the actions of this research are based on the observation of the ethical code proposed by the British Educational Research Association [50].
3.1. Goal and Hypothesis
The main goal of this research was to determine the influence that gender, age, and academic qualification had on the perceived acquisition of digital competency (knowledge, usage, and attitude towards ICT).
Hypothesis 1 (H1).
Pre-service educators show different levels of digital competence in the dimensions of knowledge, usage, and attitude according to the personal variable of gender.
Hypothesis 2 (H2).
Pre-service educators show different levels of digital competence in the dimensions of knowledge, usage, and attitude in terms of age.
Hypothesis 3 (H3).
Pre-service educators show different levels of digital competence in the dimensions of knowledge, usage, and attitude regarding the personal variety of academic degree.
3.2. Sample
The sample consisted of 370 intentional students of different education degrees at the University of Salamanca (Spain), of which 7.4% were men and 92.5% were women, between the ages of 17 and 38.
With regard to the possession of ICT devices, most participants were classified as “multi-device users”, i.e., 93% owned a desktop computer, 97.3% owned a laptop computer, 98% owned a smartphone, 89.9% owned a digital camera, and 60.8% and 64.9% owned a tablet and GPS device, respectively. Moreover, only 41.9% of participants owned a digital video camera and even less (39.9%) owned a device for reading e-books. Only 4.1% had some type of wearable or electronic device incorporated into their body, wherein a device interacts continuously with the user and other devices to perform a specific function.
3.3. Instrument
For the collection of information, a direct response questionnaire, pre-coded and cross-sectional, was designed ad-hoc to study the perceived knowledge, management, and attitudes manifested toward ICTs. This questionnaire was completed anonymously and contained personal and academic variables in order to establish a relationship between these and the acquisition of digital competence.
The questionnaire consisted of 87 descriptors, 4 of which were identification variables (personal and academic). Two scales were used, one dichotomous (yes or no) and one with a Likert-type assessment of 1 to 10. The questionnaires content validation was carried out by expert judges who improved the initial version of the questionnaire based on the opinions of specialists. To ensure the correct and independent completion by students, it was applied directly by the researchers. The instrument was called “Digital Competency for University Students” and it presented psychometrical adequate properties. The reliability of the scale, measured through the Cronbach’s α statistic, was very satisfactory (α = 0.91; for every dimension—α knowledge = 0.92, α usage = 0.83, and α attitude = 0.91). Considering the structural equations model (SEM), the validity of the tool was made using a confirmation factor analysis (CFA) to check the tridimensional structure proposed and found by the exploratory factor analysis (AFE). The indexes showed that the model was adjusted to the required values and confirmed a tridimensional structure (i.e., knowledge, usage, and attitude). Most items contained an important load or high values (>0.4) when interpreting the value, which led to consider them as determinants. A more detailed description of the validation of the instrument can be found in [51].
These competences studied from the different items were structured into five general blocks: identification (ID), owning (OW), knowledge (KN), usage (US), and attitude (AT) (Table 1).
Table 1.
Final specifications of the questionnaire. ICT: information and communication technologies.
3.4. Data Analysis
Data was organized, analyzed, and treated statistically through the Statistical Package for Social Sciences (SPSS v.22) program. Previously, an initial exploratory analysis was performed. To do so, we applied adjustment tests, checking the parametric assumptions of normality using the Kolmogorov–Smirnov test [52,53] and the Levene homoscedasticity test [54]. From these tests we verified the normality in the results, which allowed us to decide on the application of parametric or non-parametric tests [55].
The treatment of data consisted of an inferential type of analysis obtained from a comparison of means, deciding to use nonparametric tests. A comparison of heterogeneous subsets with the Mann–Whitney U test for independent samples (<0.05) and a comparison of homogeneous subsets using the Kruskal–Wallis test (<0.05) was applied. It should be noted that the size of the groups formed by the various predictor variables used for the study (age, gender, and academic degree) was homogeneous in all cases, which allowed us to comprehensively assess intergroup comparisons.
This analysis was completed with the incorporation of ROC (receiver operating characteristic) curves, which allowed us to see in a graphical way the differences between subsamples and to compare the different subgroups in relation to the variables raised. The ROC curve is a graphical curve that allows for the representation of an effective classifier (or several of them) to be visualized via two-dimensional representations. It is based on specificity and sensitivity points. In them, the difference area between different subgroups can be observed.
4. Results
Next, we present all the main differences found in the digital competence analysis in terms of the three variables: gender, age, and academic qualifications. For each variable, the differences found in each dimension (KN, US, and AT) are presented. In general, there are significant differences.
4.1. Previous Data Analysis
Similar to a previous analysis, we tested the parametric assumptions of normality and homoscedasticity using the Kolmogorov–Smirnov and Levene tests (Table 2).
Table 2.
Parametric assumptions of normality and homoscedasticity. K-S: Kolmogorov–Smirnov.
Confidence intervals obtained (p > 0.05) for knowledge dimensions (KN) and attitude (AT) were at a significance level of <0.05, thus the distribution was not considered normal. However, the management variable (US) had a significance level of >0.05, and the distribution was considered normal. In addition, the Kolmogorov–Smirnov test, in both KN and AT, indicated a highly significant lack of normality (p < 0.05).
For the homogeneity of the variances between the groups, the Levene test was used. The probability associated with this statistic was >0.05 in all cases, so we assumed that the variances were equal. Therefore, considering the obtained evidence, it was considered that the sample distributions of the variables studied did not come from a normal distribution, and therefore it was decided to use the hypothesis contrast from non-parametric tests.
4.2. Digital Competence and Gender
To verify the existence of significant differences according to gender, we applied the Mann–Whitney U test for independent samples, which allowed us to confirm the existence of those differences in some KN, US, and AT indicators (Table 3). In one of the concepts about KN (i.e., “I know what the interactive whiteboard (IWB) is” (U = 634 p = 0.014)), they did not know the difference between the ratings, which were significant for women. On the other hand, women managed their social networks better (U = 490; p = 0.03) and used Twitter more than men (U = 453 p = 0.027). In the evaluated aspect about the publication in wikis, both genders were suspended, and male educators were given significantly higher scores than future women educators.
Table 3.
Significant differences for independent samples (Mann–Whitney U test).
Regarding the attitudes block (AT), we obtained a value equal to 0.05 in one of the descriptors studied, so we did not have enough evidence to affirm that there were significant differences. In this case, the assessment was in favor of women (U = 497, p = 0.05).
The parameters referring to the ROC curve are shown in the table below.
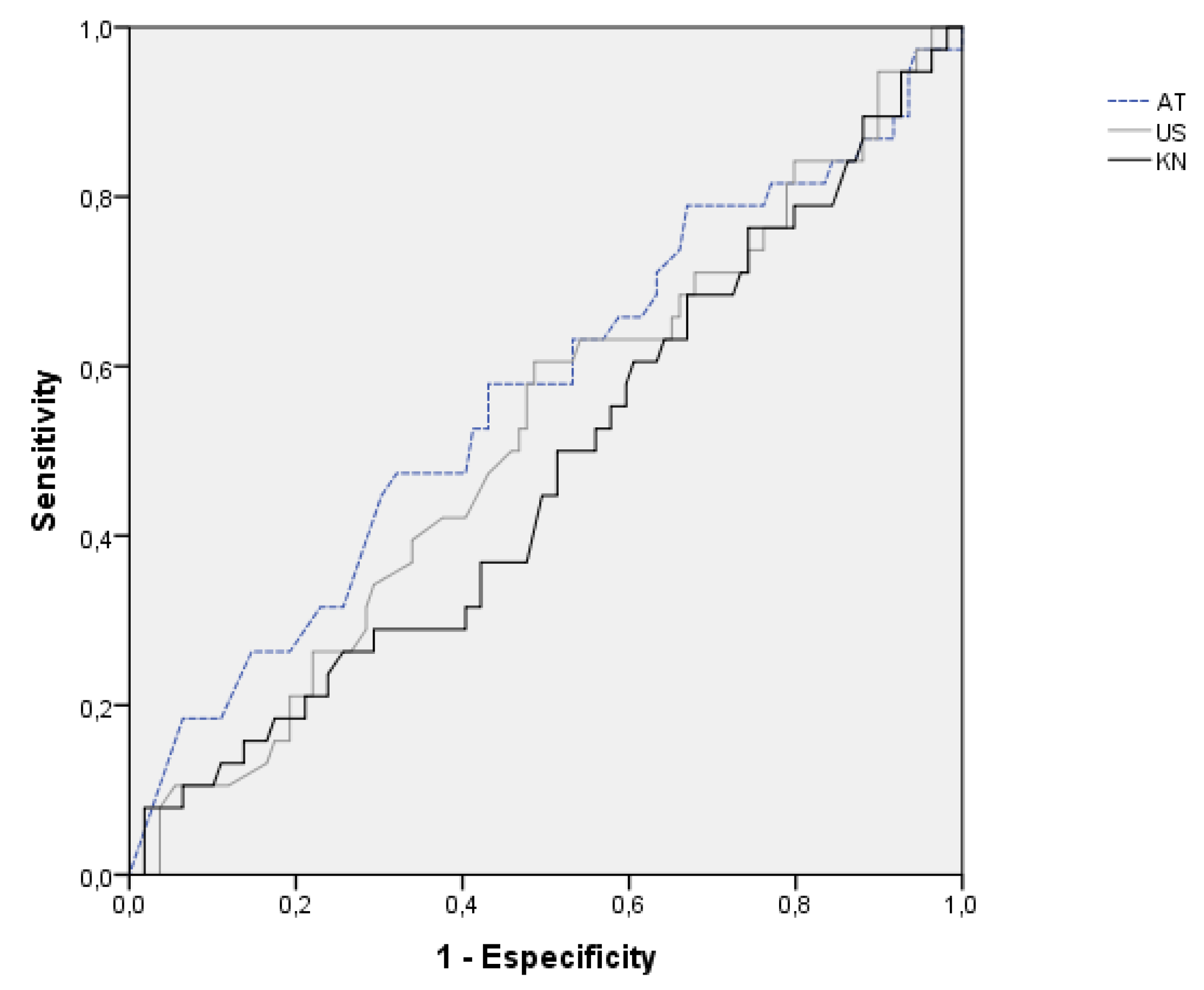
Female educators scored significantly better than male educators in KN and US, and slightly lower in AT. No significant differences were observed in any of the blocks (Figure 1 and Table 4).
Figure 1.
ROC (receiver operating characteristic) curve (female gender).
Table 4.
ROC curve parameters (female gender).
4.3. Digital Competence and Age
In the multi-group analysis performed from the Kruskal–Wallis statistical test, we compared the means obtained in attention to the age variable. Significant differences were found in some respects regarding KN and US, but no differences were found regarding AT, in relation to the age of the educators.
As can be seen in Table 5, future education professionals acknowledged not knowing most of the ICT concepts raised in the KN block, with differences in favor of the older ones, which were the best evaluated. In the case of the e-book device, the opposite happens, i.e., the older ones claimed to know less about this device. However, the significant difference found in the management of social networks was in favor of the younger ones. Older people said that they handle social networks worse than younger people, specifically with regards to Twitter. However, for Facebook, those aged between 21 to 24 years who consider handling it better. When asked if they have a website, although with very low ratings in all cases, older people gave a higher rating. In the case of AT, there were no significant differences depending on the age variable.
Table 5.
Significant differences according to age.
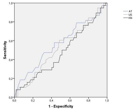
To know among which pair of groups differences were found, we performed a post-hoc analysis and a correction of significance was used from the Bonferroni test. It was verified that, in the KN and US dimensions, significant differences were established between the two groups: those between 21 and 24 years and those older than 25 years (K: p. 0.05) and (M: p. 0.004); among the other groups these differences did not occur. As for the block on attitude, no significant differences were found (Figure 2 and Table 6).
Figure 2.
ROC curve (21–24 years).
Table 6.
Parameters ROC curve (21–24 years).
There was an insignificant tendency, in the population aged 21 and 24, for a lesser knowledge of concepts related to digital competence (KN). In the US, no significant differences were found either in the age variable or in the AT variable (AUC = 0.566, p = 0.230, 95% CI = 0.455–0.676). Those of the groups that present the ROC curve (21–24 years) showed a more positive attitude towards technology.
4.4. Digital Competence and Academic Qualification
This variable influences significantly the evaluation of the digital competence of future educators (Table 7).
Table 7.
Significant differences in the academic qualification function.
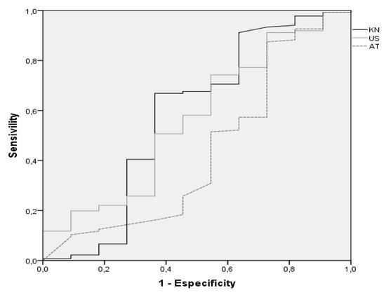
Looking for differences in a more global way, we grouped the academic qualification variable into two: Degree in early childhood education (ECh) and Degree in social education (SE). In all cases, we found differences in favor of those who studied the degree of ECh, being significant in the aspects related to KN, which was similar to the US. However, these students showed a much less positive attitude than SE students, as can be seen in the ROC curve presented below, with a very low index in the AUC (0.074) (Figure 3 and Table 8).
Figure 3.
ROC curve (degree in early childhood education).
Table 8.
Parameters ROC curve (Master’s Degree).
5. Discussion
Various studies have examined the influence or relationship between different dimensions and the acquisition of digital competence, digital inclusion, or ICT literacy [56,57,58]. In our work, the influence of three personal variables were analyzed: gender, age, and academic qualification.
Gender was one of the most present variables in the scientific research. Some works can have posited significant differences depending on the variable [59,60,61], but others have shown otherwise [62,63,64]. Although some research has shown that the female gender has a better digital competence level [65,66,67], traditionally, men have shown a better digital competence level than women [40,41,44]. Recent research highlighted that women have lower digital competence than men [42,43,68]. Our work shows differences between the genders. Students have a better competence level in the knowledge, usage, and attitude towards ICT. Taking this into account, we accept our first hypothesis.
Regarding age, most studies indicate that young people value their digital competency [69,70]. Some studies have even concluded that as age increases, there is a decrease in the domain and attitude towards ICT [71]. Most recent studies indicate that this variable influences, in a determinant way, digital competence level. There are works that show that people aged over 30 and 40 have a better digital competence level and a more positive attitude toward the use of ICT [43,46,72]. On the contrary, other research concludes that young people have a higher digital competence level than older people [42,47]. In our investigation, we found some significant differences related to knowledge and usage, but none regarding attitude. People older than 25 self-evaluate with the best scores, whereas younger people (17–20 years old) use social networks more frequently. Taking this into account, we partially accept the second hypothesis.
Academic qualification was the least studied variable. In our investigations, several works were identified where this variable indicated that it did not determine digital competence level [45]. Others have shown that it significantly contributes to digital competence level [43], concluding that ECh students are perceived to have a lower level of ICT development [9]. Our results contradict this conclusion; ECh students qualified with the best grades in knowledge and usage, but showed a lesser positive attitude towards ICT. Taking this into account, we accept the third hypothesis.
This research has some limitations. The use of a convenient sampling to collect the information limits the possibility of generalizing the results. Furthermore, the participants belong to the same University and consequently all share similar cultural characteristics. Therefore, in future research on the subject, we recommended the inclusion of samples from different educational institutions and cultural contexts to increase the possibility of achieving generalized results. On the other hand, the sample is not equilibrated in terms of gender, something which is set in many studies in the area of education is that the number of women in education is higher than the number of men. Thus, our results must be properly contextualized.
This research sets possibilities to continue studying the subject of digital competence in pre-service educators.
6. Conclusions
In our current digital society, digital competence is key for achieving social participation and better social interaction [73]. It is important to understand the influence that different variables may have in the acquisition and development of this competence in order to develop educational policies with ICT integration.
The International Computer and Information Literacy Study (ICILS) [74] collected different variables and grouped them into four factors: personal, household relative, school, and contextual or community. Taking this in mind, this research focused on the personal variables of gender, age, and academic qualification.
This work focused on self-evaluated digital competence in future education professionals. Its main contribution to this field of research lies in relating that competence with these three personal variables determines their influence on its acquisition.
Regarding the obtained results, gender, age, and academic degree could be considered influential, but not determinant, in the acquisition of digital competency. The inclusion of personal variables cause little variations in the results, and in most caswes were not significant. This reaffirms the influence of technological factors on the achievement of digital competence [75].
To improve digital competence of pre-service educators and advance in their professional development, we propose some practical strategies.
First, the digital literacy should avoid gaps that may exist. Second, the digitalization of the educational sector increases the number of professionals in ICT; therefore, free online training should be offered, as it is elsewhere [76]. Third, there should be a national net of centers specializing in digital literacy and a national net of certified ICT professionals. Fourth, there should be open educational resources for teaching with digital media, with national digital training for educators. Likewise, there has been a lack of coordination over the past few years among digital competence development initiatives from groups led by councils, organizations, foundations, study centers, technological companies, etc. A common strategy should be to examine reference initiatives with a high pedagogical value supported by Universities (DigiCraft) [77].
Author Contributions
M.C.-G. edited the paper and wrote Section 1, Section 2 and Section 5. S.C.-M. structured the paper and wrote Section 3 and Section 4. F.J.G.-P. supervised the process and wrote Section 4 and Section 5. All authors equally contributed to the writing and reviewing of this paper. All authors have read and agreed to the published version of the manuscript.
Funding
This research received no external funding.
Institutional Review Board Statement
Ethical review and approval were waived for this study because did not require ethical approval.
Informed Consent Statement
Informed consent was obtained from all subjects involved in the study.
Data Availability Statement
The data presented in this study are available on request from the corresponding author. The data are not publicly available due to privacy.
Conflicts of Interest
The authors declare no conflict of interest.
References
- Ananiadou, K.; Claro, M. 21st Century Skills and Competences for New Millenniumm Learners in OECD Countries; OECD Publishing: París, France, 2009. [Google Scholar] [CrossRef]
- Chai, C.S.; Tan, L.; Deng, F.; Koh, J.H.L. Examining pre-service teachers′ design capacities for webbased 21st century new culture of learning. Australas. J. Educ. Technol. 2017, 33, 129–142. [Google Scholar] [CrossRef]
- Juškevičienė, A.; Dagienė, V. Computational Thinking Relationship with Digital Competence. Inform. Educ. 2018, 17, 265–284. [Google Scholar] [CrossRef]
- Kali, Y.; Baram-Tsabari, A.; Schejter, A. Learning in a Networked Society: Spontaneous and Designed Technology Enhanced Learning Communities; Springer International Publishing: Cham, Switzerland, 2019. [Google Scholar] [CrossRef]
- Bernate, J.; Vargas, J. Challenges and trends of the 21st century in higher education. Rev. Cienc. Soc. 2020, 26, 141–154. [Google Scholar]
- Vázquez-Cano, E.; Gómez-Galán, J.; Infante-Moro, A.; López-Meneses, E. Incidence of a NonSustainability Use of Technology on Students’ Reading Performance in Pisa. Sustainability 2020, 12, 749. [Google Scholar] [CrossRef]
- Bas, G.; Kubiatko, M.; Murat, A. Teachers perceptions towards ICT in teaching-learning process: Scale validity and reliability study. Comput. Hum. Behav. 2016, 61, 176–185. [Google Scholar] [CrossRef]
- Ordóñez EVázquez-Cano, E.; Arias-Sánchez, S.; López-Meneses, E. Competences in the use of Information Technologies and Communication in university students. Píxel-Bit 2021, 60, 153–167. [Google Scholar] [CrossRef]
- Flores-Lueg, C.; Roig-Vila, R. Personal factors influencing future teachers′ self-assessment about the pedagogical dimension of ict use. Iisue 2019, 10, 151–171. [Google Scholar] [CrossRef]
- Casillas-Martín, S.; Cabezas-González, M. Are early childhood education teachers prepared for educating in the network society? Opción 2019, 35, 1317–1348. [Google Scholar]
- Silva, J.; Usart, M.; Lázaro Cantabrana, J.L. Competencia digital docente en estudiantes de último año de Pedagogía en Chile y Uruguay. Comunicar 2019, 27, 33–43. [Google Scholar] [CrossRef]
- Záhorec, J.; Hašková, A.; Nagyová, A. Innovations of teacher trainees pregradual training aimed at forming their digital competences. J. Technol. Inf. Educ. 2020, 10, 1–12. [Google Scholar] [CrossRef]
- Reisoglu, I.; Çebi, A. How can the digital competences of pre-service teachers be developed? Examining a case study through the lens of DigComp and DigCompEdu. Comput. Educ. 2020, 156, 103940. [Google Scholar] [CrossRef]
- McGarr, O.; McDonagh, A. Exploring the digital competence of pre-service teachers on entry onto an initial teacher education programme in Ireland. Irish Educ. Stud. 2020, 1–14. [Google Scholar] [CrossRef]
- Varela-Ordorica, S.A.; Valenzuela-González, J.R. Use of Information and Communication Technologies as a Transversal Competence in Teacher Training. Rev. Electrón. Educ. 2020, 24, 1–20. [Google Scholar] [CrossRef]
- González García, E.; Amaro Agudo, A.; Martínez Heredia, N. Comparative study of Competences 2.0 between young and senior people. Present time and challenges for their inclusion. Espacios 2019, 40, 1–9. [Google Scholar]
- Juhaňák, L.; Zounek, J.; Záleská, K.; Bárta, O.; Vlčková, K. The relationship between the age at first computer use and students′ perceived competence and autonomy in ICT usage: A mediation analysis. Comput. Educ. 2019, 141, 103614. [Google Scholar] [CrossRef]
- Grande de Prado, M.; Cañón, R.; García-Martín, S.; Cantón, I. Digital Competence and Gender: Teachers in Training. A Case Study. Future Internet 2020, 12, 204. [Google Scholar] [CrossRef]
- Moreno-Morilla, C.; Guzmán-Simón, F.; García-Jiménez, E. Digital and information literacy inside and outside Spanish primary education schools. Learn. Cult. Soc. Interact. 2021, 28, 100455. [Google Scholar] [CrossRef]
- Cebrián-Cifuentes, S.; Almerich, G.; Suárez-Rodríguez, J.M.; Pedró, F. Incidence of personal and contextual factors on the use of technological resources by students in Latin America. Arch. Analíticos Políticas Educ. 2021, 29, 1–40. [Google Scholar] [CrossRef]
- García, B.C.; Martínez, A. Knowledge-based citizenship: A capitals system perspective. Int. J. Knowl. Based Dev. 2015, 6, 152–173. [Google Scholar] [CrossRef]
- Castells, M. La Era de la Información: Economía, Sociedad y Cultura. La Sociedad Red; Alianza Editorial: Madrid, Spain, 1996. [Google Scholar]
- Casillas-Martín, S.; Cabezas-González, M.; García-Peñalvo, F.J. Digital competence of early childhood education teachers: Attitude, knowledge and use of ICT. Eur. J. Teach. Educ. 2020, 43, 210–223. [Google Scholar] [CrossRef]
- Cabero, J. University teacher training in ICT. Application of delphi method for the selection of training content. Educ. XXI 2014, 17, 111–132. [Google Scholar] [CrossRef]
- Chang, C.C.; Liang, C.; Tseng, K.H.; Tseng, J.S.; Chen, T.Y. Were knowledge management abilities of university students enhanced after creating personal blog-based portfolios? Australas. J. Educ. Technol. 2013, 29, 916–931. [Google Scholar] [CrossRef]
- Erstad, O. Educating the digital generation. Exploring media literacy for the 21st century. Nord. J. Digit. Lit. 2010, 5, 56–72. [Google Scholar]
- García-Peñalvo, F.J. Reference model for virtual education at face-to-face universities. Campus Virtuales 2020, 9, 41–56. [Google Scholar]
- Dumont, H.; Istance, D.; Benavides, F. The Nature of Learning. Using Research to Inspire Practice; OECD Publications: Paris, France, 2010. [Google Scholar]
- Pöntinen, S.; Räty-Záborszky, S. Pedagogical aspects to support students’ evolving digital competence at school. Eur. Early Child. Educ. Res. J. 2020, 28, 182–196. [Google Scholar] [CrossRef]
- Rasi, P.; Vuojärvi, H.; Rivinen, S. Promoting Media Literacy Among Older People: A Systematic Review. Adult Educ. Q. 2021, 71, 37–54. [Google Scholar] [CrossRef]
- Çetin, E. Digital storytelling in teacher education and its effect on the digital literacy of pre-service teachers. Think. Skills Creat. 2021, 39, 100760. [Google Scholar] [CrossRef]
- Kurnikova, M.V.; Dodorina, I.V.; Litovchenko, V.B. Technological Paradigms of Digital Competences Development. Lect. Notes Netw. Syst. 2021, 133, 113–122. [Google Scholar] [CrossRef]
- European Union (2018, 22 de Mayo). Recomendación C 189 Relativa a las Competencias Clave Para el Aprendizaje Permanente. Diario Oficial de la Unión Europea, 4 de junio de 2018. Available online: https://eur-lex.europa.eu/legal-content/ES/TXT/PDF/?uri=CELEX:32018H0604&from=EN (accessed on 25 October 2020).
- Mishra, P.; Koehler, M. Technological Pedagogical Content Knowledge: A Framework for Teacher Knowledge; Michigan State University: East Lansing, MI, USA, 2006. [Google Scholar]
- Islas Torres, C.; Franco Casillas, S. Detection of patterns competency digital expressed college students. EDUTEC Rev. Electrón. Tecnol. Educ. 2018, 64, 51–67. [Google Scholar] [CrossRef]
- Hernández Rivero, V.M.; San Nicolás Santos, M.B. Perception of university students about their level of digital competence. Hamut’ay 2019, 6, 7–18. [Google Scholar] [CrossRef]
- Leví-Orta, G.; Sevillano-García, L.; Vázquez-Cano, E. An evaluation of university students′ latent and self-perceived digital competence in the use of mobile devices. Eur. J. Educ. Res. Dev. Policy 2020, 55, 441–455. [Google Scholar] [CrossRef]
- Vázquez-Cano, E.; León Urrutia, M.; Parra-González, M.E.; López Meneses, E. Analysis of Interpersonal Competences in the Use of ICT in the Spanish University Context. Sustainability 2020, 12, 476. [Google Scholar] [CrossRef]
- García-Peñalvo, F.J. Avoiding the Dark Side of Digital Transformation in Teaching. An Institutional Reference Framework for eLearning in Higher Education. Sustainability 2021, 13, 23. [Google Scholar] [CrossRef]
- Hatlevik, I.K.R.; Hatlevik, O.E. Examining the relationship between teachers′ ICT self-efficacy for educational purposes, collegial collaboration, lack of facilitation and the use of ICT in teaching practice. Front. Psychol. 2018, 9, 935. [Google Scholar] [CrossRef]
- Tondeur, J.; Aesaert, K.; Pynoo, B.; van Braak, J.; Fraeyman, N.; Erstad, O. Developing a validated instrument to measure preservice teachers’ ICT competencies: Meeting the demands of the 21st century. Br. J. Educ. Technol. 2017, 48, 462–472. [Google Scholar] [CrossRef]
- Lucas, M.; Bem-Haja, P.; Siddiq, F.; Moreira, A. The relation between in-service teachers′ digital competence and personal and contextual factors: What matters most? Comput. Educ. 2021, 160, 104052. [Google Scholar] [CrossRef]
- Jiménez-Hernández, D.; González-Calatayud, V.; Torres-Soto, A.; Martínez Mayoral, A.; Morales, J. Digital Competence of Future Secondary School Teachers: Differences According to Gender, Age, and Branch of Knowledge. Sustainability 2020, 12, 9473. [Google Scholar] [CrossRef]
- Cabezas-González, M.; Casillas-Martín, S.; Sanches-Ferreira, M.; Teixeira Diogo, F.L. Do Gender and Age Affect the Level of Digital Competence? A Study with University Students. Fonseca J. Commun. 2017, 15, 109–125. [Google Scholar]
- Moreno Guerrero, A.J.; Fernández Mora, M.A.; Godino Fernández, A.L. Information and teaching digital literacy: Influence of the training branch. J. Educ. Teach. Train. 2020, 10, 140–151. [Google Scholar]
- Cabero-Almenara, J.; Barroso-Osuna, J.; Palacios-Rodríguez, A. Digital competences of educators in Health Sciences: Their relationship with some variables. Educ. Méd. 2021. [Google Scholar] [CrossRef]
- López Belmonte, J.; Pozo Sánchez, S.; Vázquez Cano, E.; López Meneses, E.J. Analysis of the incidence of age in the digital competence of Spanish pre-university teachers. Rev. Fuentes 2020, 22, 75–87. [Google Scholar] [CrossRef]
- Arnal, J.; Del Rincón, D.; Latorre, A. Investigación Educativa. Fundamentos y Metodología; Labor: Barcelona, Spain, 1992. [Google Scholar]
- Kerlinger, F.; Lee, H. Investigación del Comportamiento. Métodos de Investigación en Ciencias Sociales; McGrawHill: Ciudad de Mexico, Mexico, 2002. [Google Scholar]
- BERA. Ethical Guidelines for Educational Research. 2011. Available online: https://www.bera.ac.uk/wp-content/uploads/2014/02/BERA-Ethical-Guidelines-2011.pdf?noredirect=1 (accessed on 10 April 2020).
- Casillas-Martín, S.; Cabezas-González, M.; Sanches-Ferreira, M.; Teixeira, F.L. Psychometric Study of a Questionnaire to Measure the Digital Competence of University Students (CODIEU). Educ. Knowl. Soc. 2018, 19, 69–81. [Google Scholar] [CrossRef]
- Lilliefors, H.W. On the Kolmogorov-Smirnov test for normality with mean and variance unknown. J. Am. Stat. Assoc. 1967, 62, 399–402. [Google Scholar] [CrossRef]
- Massey, F.J. The Kolmogorov-Smirnov Test for Goodness of Fit. J. Am. Stat. Assoc. 1951, 46, 68–78. [Google Scholar] [CrossRef]
- Levene, H. Robust tests for equality of variances. In Contributions to Probability and Statistics: Essays in Honor of Harold Hotelling; Olkin, I., Ghurye, S.G., Hoeffding, W., Madow, W.G., Mann, H.B., Eds.; Stanford University Press: Palo Alto, CA, USA, 1960; pp. 278–292. [Google Scholar]
- Hernández, R.; Fernández, C.; Baptista, P. Research Methodology; McGraw-Hill: Ciudad de Mexico, Mexico, 2003. [Google Scholar]
- González, M.P.; Galvis, E.A.; Sánchez, J.M. Identifying Factors that Affect the Development of Digital Inclusion. Rev. Virtual Univ. Católica Norte 2015, 44, 175–191. [Google Scholar]
- Nasah, A.; DaCosta, B.; Kinsell, C.; Seok, S. The digital literacy debate: An investigation of digital propensity and information and communication technology. Educ. Technol. Res. Dev. 2010, 58, 531–555. [Google Scholar] [CrossRef]
- Owens, J.; Flavius, L. The influence of academic discipline, race, and gender on web-use skills among graduate-level students. J. Comput. High. Educ. 2017, 29, 286–308. [Google Scholar] [CrossRef]
- Basantes-Andrade, A.V.; Cabezas-González, M.; Casillas-Martín, S. Digital Competences Relationship between Gender and Generation of University Professors. IJASEIT Int. J. Adv. Sci. Eng. Inf. Technol. 2020, 10, 205–211. [Google Scholar] [CrossRef]
- Ong, C.h.S.; Lai, J.Y. Gender differences in perceptions and relationships among dominants of e-learning acceptance. Comput. Hum. Behav. 2006, 22, 816–829. [Google Scholar] [CrossRef]
- Volman, M.; van Eck, E.; Heemskerk, I.; Kuiper, E. New technologies, new differences. Gender and ethic differences in pupils′ use of ICT in primary and secondary education. Comput. Educ. 2005, 45, 35–55. [Google Scholar] [CrossRef]
- Palomares-Ruiz, A.; Cebrián, A.; López-Parra, E.; García-Toledano, E. ICT Integration into Science Education and Its Relationship to the Digital Gender Gap. Sustainability 2020, 12, 5286. [Google Scholar] [CrossRef]
- Ruíz-Cabezas, A.; Medina, M.C.; Pérez, E. University teachers′ training: The Digital Competence. Pixel-Bit 2020, 58, 181–215. [Google Scholar] [CrossRef]
- Sánchez Prieto, J.; Trujillo Torres, J.M.; Gómez García, M.; Gómez García, G. Gender and Digital Teaching Competence in Dual Vocational Education and Training. Educ. Sci. 2020, 10, 84. [Google Scholar] [CrossRef]
- Arras, A.M.G.; Torres, C.A.; García-Valcárcel, A. Students’ perceptions about their competencies in Information and Communication Technologies (ICT). Rev. Lat. Comun. Soc. 2011, 66, 130–152. [Google Scholar] [CrossRef]
- Cózar, R.; Roblizo, M.J. Digital skill in wouldbe teachers: Perceptions from the Teacher Training Degree students at the Faculty of Education in Albacete. RELATEC Rev. Latinoam. Tecnol. Educ. 2014, 13, 119–133. [Google Scholar] [CrossRef]
- Araiza, M.J.; Pedraza, E. Discernment of teachers by gender in the use of ICT in the classroom based on digital competences. Espacios 2019, 40, 21–28. [Google Scholar]
- Ortega-Sánchez, D.; Gómez-Trigueros, I.M.; Trestini, M.; Pérez-González, C. Self-Perception and Training Perceptions on Teacher Digital Competence (TDC) in Spanish and French University Students. Multimodal Technol. Interact. 2020, 4, 74. [Google Scholar] [CrossRef]
- García, R.; Ramírez, A.; Rodríguez, M.M. Media Literacy Education for a New Prosumer Citizenship. Comunicar 2014, 22, 15–23. [Google Scholar] [CrossRef]
- Martos Sánchez, E.; Pérez-García, P.; Bernal Vázquez, J. The relationship between the age of music teachers in Andalucíaand the developmentoftheIT program EscuelaTIC 2.0. Rev. Complut. Educ. 2016, 27, 757–777. [Google Scholar] [CrossRef]
- Vera, J.A.; Torres, L.E.; Martínez, E.M. Assessment of basic ICT competencias in teachers of higher education in Mexico. Píxel-Bit 2014, 44, 143–155. [Google Scholar] [CrossRef]
- Moreno Guerrero, A.J.; Fernández Mora, M.A.; Godino Fernández, A.L. Digital Teacher competence. Area of information and information literacy and its influence with age. ACADEMO 2020, 7, 45–57. [Google Scholar] [CrossRef]
- Sánchez-Antolín, P.; Andrés, C.; Paredes, J. The role of the family in the development of digital competence. Analysis of four cases. Digit. Educ. Rev. 2018, 34, 44–58. [Google Scholar]
- Frailon, J.; Ainley, J.; Schulz, W.; Friedman, T.; Duckworth, D. Preparing for Life in a Digital World. IEA. 2019. Available online: https://research.acer.edu.au/ict_literacy/23/ (accessed on 25 January 2021).
- Cubillo, M.D.; Torres, J.J. Do ICT improve the academic results of Spanish students? eXtoikos 2013, 9, 51–58. [Google Scholar]
- Basantes-Andrade, A.V.; Cabezas-González, M.; Casillas-Martín, S. Nano-MOOCs as a Training Tool for Digital Competence. Rev. Ibérica Sist. Tecnol. Inf. RISTI 2020, E32, 202–214. [Google Scholar]
- Casillas-Martín, S.; Cabezas-González, M.; García-Valcárcel Muñoz-Repiso, A. DigiCraft: A pedagogical innovative proposal for the development of the digital competence in vulnerable children. Sustainability 2020, 12, 9865. [Google Scholar] [CrossRef]
Publisher’s Note: MDPI stays neutral with regard to jurisdictional claims in published maps and institutional affiliations. |
© 2021 by the authors. Licensee MDPI, Basel, Switzerland. This article is an open access article distributed under the terms and conditions of the Creative Commons Attribution (CC BY) license (http://creativecommons.org/licenses/by/4.0/).


