Tracing the Trends in Sustainability and Social Media Research Using Topic Modeling
Abstract
1. Introduction
2. Methods
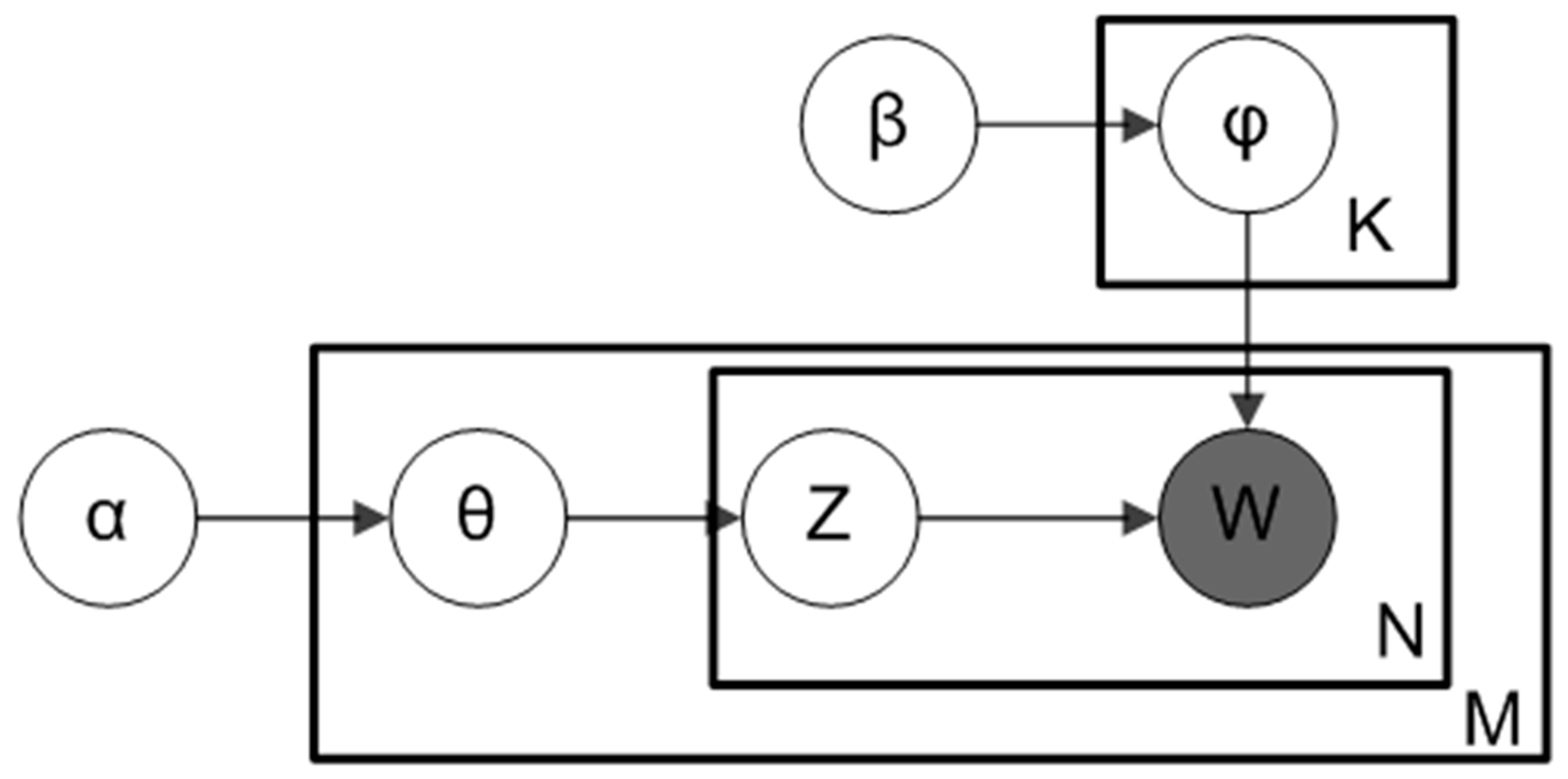
2.1. Research Method
2.2. Data
2.3. Preprocessing
3. Results and Discussion
3.1. Identifying Topics
3.2. Review of Topics
3.3. Trends in Topics
3.3.1. Topic Proportion over Time
3.3.2. Topic Proportion across Journals
4. Conclusions
Author Contributions
Funding
Institutional Review Board Statement
Informed Consent Statement
Data Availability Statement
Conflicts of Interest
References
- Eisenhardt, K.M.; Martin, J.A. Dynamic Capabilities: What Are They? Strateg. Manag. J. 2000, 21, 1105–1121. [Google Scholar] [CrossRef]
- Smits, M.; Mogos, S. The Impact Of Social Media On Business Performance. In Proceedings of the European Conference on Information Systems, Utrecht, The Netherlands, 25–27 June 2013. [Google Scholar]
- Kietzmann, J.H.; Hermkens, K.; McCarthy, I.P.; Silvestre, B.S. Social Media? Get Serious! Understanding the Functional Building Blocks of Social Media. Bus. Horiz. 2011, 54, 241–251. [Google Scholar] [CrossRef]
- Ramos-Rodríguez, A.-R.; Ruíz-Navarro, J. Changes in the Intellectual Structure of Strategic Management Research: A Bibliometric Study of the Strategic Management Journal, 1980–2000. Strateg. Manag. J. 2004, 25, 981–1004. [Google Scholar] [CrossRef]
- Rosen, M. Sustainability: A Crucial Quest for Humanity-Welcome to a New Open Access Journal for a Growing Multidisciplinary Community. Sustainability 2009, 1, 1–4. [Google Scholar] [CrossRef]
- Schoolman, E.D.; Guest, J.S.; Bush, K.F.; Bell, A.R. How Interdisciplinary Is Sustainability Research? Analyzing the Structure of an Emerging Scientific Field. Sustain. Sci. 2012, 7, 67–80. [Google Scholar] [CrossRef]
- Olawumi, T.O.; Chan, D.W.M. A Scientometric Review of Global Research on Sustainability and Sustainable Development. J. Clean. Prod. 2018, 183, 231–250. [Google Scholar] [CrossRef]
- White, M.A. Sustainability: I Know It When I See It. Ecol. Econ. 2013, 86, 213–217. [Google Scholar] [CrossRef]
- Brown, B.J.; Hanson, M.E.; Liverman, D.M.; Merideth, R.W. Global Sustainability: Toward Definition. Environ. Manag. 1987, 11, 713–719. [Google Scholar] [CrossRef]
- Modak, N.M.; Sinha, S.; Raj, A.; Panda, S.; Merigó, J.M.; Lopes de Sousa Jabbour, A.B. Corporate Social Responsibility and Supply Chain Management: Framing and Pushing Forward the Debate. J. Clean. Prod. 2020, 273, 122981. [Google Scholar] [CrossRef]
- Schöggl, J.-P.; Stumpf, L.; Baumgartner, R.J. The Narrative of Sustainability and Circular Economy-A Longitudinal Review of Two Decades of Research. Resour. Conserv. Recycl. 2020, 163, 105073. [Google Scholar] [CrossRef]
- Murphy, K. The Social Pillar of Sustainable Development: A Literature Review and Framework for Policy Analysis. Sustain. Sci. Pract. Policy 2012, 8, 15–29. [Google Scholar] [CrossRef]
- Albino, V.; Berardi, U.; Dangelico, R.M. Smart Cities: Definitions, Dimensions, Performance, and Initiatives. J. Urban Technol. 2015, 22, 3–21. [Google Scholar] [CrossRef]
- Seuring, S.; Müller, M. From a Literature Review to a Conceptual Framework for Sustainable Supply Chain Management. J. Clean. Prod. 2008, 16, 1699–1710. [Google Scholar] [CrossRef]
- Winter, M.; Knemeyer, A.M. Exploring the Integration of Sustainability and Supply Chain Management: Current State and Opportunities for Future Inquiry. Int. J. Phys. Distrib. Logist. Manag. 2013, 43, 18–38. [Google Scholar] [CrossRef]
- Fahimnia, B.; Sarkis, J.; Davarzani, H. Green Supply Chain Management: A Review and Bibliometric Analysis. Int. J. Prod. Econ. 2015, 162, 101–114. [Google Scholar] [CrossRef]
- Engert, S.; Rauter, R.; Baumgartner, R.J. Exploring the Integration of Corporate Sustainability into Strategic Management: A Literature Review. J. Clean. Prod. 2016, 112, 2833–2850. [Google Scholar] [CrossRef]
- de Medeiros, J.F.; Ribeiro, J.L.D.; Cortimiglia, M.N. Success Factors for Environmentally Sustainable Product Innovation: A Systematic Literature Review. J. Clean. Prod. 2014, 65, 76–86. [Google Scholar] [CrossRef]
- Bui, T.D.; Ali, M.H.; Tsai, F.M.; Iranmanesh, M.; Tseng, M.-L.; Lim, M.K. Challenges and Trends in Sustainable Corporate Finance: A Bibliometric Systematic Review. J. Risk Financ. Manag. 2020, 13, 264. [Google Scholar] [CrossRef]
- Lee, H.; Seo, H.; Geum, Y. Uncovering the Topic Landscape of Product-Service System Research: From Sustainability to Value Creation. Sustainability 2018, 10, 911. [Google Scholar] [CrossRef]
- Sun, L.; Yin, Y. Discovering Themes and Trends in Transportation Research Using Topic Modeling. Transp. Res. Part C Emerg. Technol. 2017, 77, 49–66. [Google Scholar] [CrossRef]
- Blei, D.M.; Ng, A.Y.; Jordan, M.I. Latent Dirichlet Allocation. J. Mach. Learn. Res. 2003, 3, 993–1022. [Google Scholar]
- Griffiths, T.L.; Steyvers, M. Finding Scientific Topics. Proc. Natl. Acad. Sci. USA 2004, 101, 5228–5235. [Google Scholar] [CrossRef] [PubMed]
- Gond, J.-P.; Crane, A. Corporate Social Performance Disoriented: Saving the Lost Paradigm? Bus. Soc. 2010, 49, 677–703. [Google Scholar] [CrossRef]
- Strand, R.; Freeman, R.E.; Hockerts, K. Corporate Social Responsibility and Sustainability in Scandinavia: An Overview. J. Bus. Ethics 2015, 127, 1–15. [Google Scholar] [CrossRef]
- Schmiedel, T.; Müller, O.; vom Brocke, J. Topic Modeling as a Strategy of Inquiry in Organizational Research: A Tutorial With an Application Example on Organizational Culture. Organ. Res. Methods 2019, 22, 941–968. [Google Scholar] [CrossRef]
- Schubert, A.; Láng, I. The Literature Aftermath Of The Brundtland Report ‘Our Common Future′. A Scientometric Study Based On Citations In Science And Social Science Journals. Environ. Dev. Sustain. 2005, 7, 1–8. [Google Scholar] [CrossRef]
- Belz, F.-M.; Peattie, K. Sustainability Marketing: A Global Perspective, 2nd ed.; Wiley: Hoboken, NJ, USA, 2012; ISBN 978-1-119-96619-7. [Google Scholar]
- Turner, R.K. Sustainable Resource Conservation and Pollution Control: An Overview. In Sustainable Environmental Management: Principles and Practice; Turner, R.K., Ed.; Belhaven Press: London, England, 1988; pp. 1–25. [Google Scholar]
- Pizzi, S.; Caputo, A.; Corvino, A.; Venturelli, A. Management Research and the UN Sustainable Development Goals (SDGs): A Bibliometric Investigation and Systematic Review. J. Clean. Prod. 2020, 276, 124033. [Google Scholar] [CrossRef]
- Haan, G. de The BLK ‘21’ Programme in Germany: A ‘Gestaltungskompetenz’-based Model for Education for Sustainable Development. Environ. Educ. Res. 2006, 12, 19–32. [Google Scholar] [CrossRef]
- Rieckmann, M. Future-Oriented Higher Education: Which Key Competencies Should Be Fostered through University Teaching and Learning? Futures 2012, 44, 127–135. [Google Scholar] [CrossRef]
- From Agenda 21 to Target 4.7: The Development of Education for Sustainable Development-UNESCO Digital Library. Available online: https://unesdoc.unesco.org/ark:/48223/pf0000261801 (accessed on 26 December 2020).
- Education for Sustainable Development. Available online: https://en.unesco.org/themes/education-sustainable-development (accessed on 26 December 2020).
- Hasan, H.; Molla, A.; Cooper, V. Towards a Green IS Taxonomy. In Proceedings of the SIGGreen Workshop, Barcelona, Spain, 1–22 June 2012. [Google Scholar]
- Prensky, M. Digital Natives, Digital Immigrants Part 1. Horizon 2001, 9, 1–6. [Google Scholar] [CrossRef]
- Isacsson, A.; Gretzel, U. Facebook as an Edutainment Medium to Engage Students in Sustainability and Tourism. J. Hosp. Tour. Technol. 2011, 2, 81–90. [Google Scholar] [CrossRef]
- Wang, S.; Wang, H. Social-Media-Based Knowledge Sharing: A Qualitative Analysis of Multiple Cases. Int. J. Knowl. Manag. (IJKM) 2018, 1, 19–29. [Google Scholar] [CrossRef]
- Brønn, P.S.; Vrioni, A.B. Corporate Social Responsibility and Cause-Related Marketing: An Overview. Int. J. Advert. 2001, 20, 207–222. [Google Scholar] [CrossRef]
- Dawkins, J.; Lewis, S. CSR in Stakeholde Expectations: And Their Implication for Company Strategy. J. Bus. Ethics 2003, 44, 185–193. [Google Scholar] [CrossRef]
- Capriotti, P.; Moreno, Á. Corporate Citizenship and Public Relations: The Importance and Interactivity of Social Responsibility Issues on Corporate Websites. Public Relat. Rev. 2007, 33, 84–91. [Google Scholar] [CrossRef]
- Fieseler, C.; Fleck, M.; Meckel, M. Corporate Social Responsibilityin the Blogosphere. J. Bus. Ethics 2010, 91, 599–614. [Google Scholar] [CrossRef]
- Reisch, L.; Eberle, U.; Lorek, S. Sustainable Food Consumption: An Overview of Contemporary Issues and Policies. Sustain. Sci. Pract. Policy 2013, 9, 7–25. [Google Scholar] [CrossRef]
- Kaplan, A.M.; Haenlein, M. Users of the World, Unite! The Challenges and Opportunities of Social Media. Bus. Horiz. 2010, 53, 59–68. [Google Scholar] [CrossRef]
- Waddock, S.; Googins, B. The Paradoxes of Communicating Corporate Social Responsibility. In The Handbook of Communication and Corporate Social Responsibility; Wiley-Blackwell: Hoboken, NJ, USA, 2011; pp. 23–43. ISBN 978-1-4443-3634-4. [Google Scholar]
- Cho, M.; Furey, L.D.; Mohr, T. Communicating corporate social responsibility on social media: Strategies, stakeholders, and public engagement on corporate Facebook. Bus. Prof. Commun. Q. 2017, 80, 52–69. [Google Scholar] [CrossRef]
- Bowen, G.; Appiah, D.; Okafor, S. The Influence of Corporate Social Responsibility (CSR) and Social Media on the Strategy Formulation Process. Sustainability 2020, 12, 6057. [Google Scholar] [CrossRef]
- Morsing, M. CSR Communication: What Is It? Why Is It Important? In Corporate Social Responsibility; Rasche, A., Morsing, M., Moon, J., Eds.; Cambridge University Press: Cambridge, UK, 2017; pp. 281–306. ISBN 978-1-107-11487-6. [Google Scholar]
- White, K.; Habib, R.; Haddisty, D.J. How to SHIFT consumer behaviors to be more sustainable: A literature review and guiding framework. J. Mark. 2019, 83, 22–49. [Google Scholar] [CrossRef]
- Mangold, W.G.; Faulds, D.J. Social Media: The New Hybrid Element of the Promotion Mix. Bus. Horiz. 2009, 52, 357–365. [Google Scholar] [CrossRef]
- Pop, R.-A.; Săplăcan, Z.; Alt, M.-A. Social Media Goes Green—The Impact of Social Media on Green Cosmetics Purchase Motivation and Intention. Information 2020, 11, 447. [Google Scholar] [CrossRef]
- Lee, K. Opportunities for Green Marketing: Young Consumers. Mark. Intell. Plan. 2008, 26, 573–586. [Google Scholar] [CrossRef]
- Murwaningtyas, F.; Harisudin, M.; Irianto, H. Effect of Celebrity Endorser Through Social Media on Organic Cosmetic Purchasing Intention Mediated with Attitude. KnE Soc. Sci. 2020, 4, 152–165. [Google Scholar] [CrossRef]
- Wood, J.; Khan, G.F. Social Business Adoption: An Empirical Analysis. Bus. Inf. Rev. 2016, 33, 28–39. [Google Scholar] [CrossRef]
- Singh, S.; Sonnenburg, S. Brand Performances in Social Media. J. Interact. Mark. 2012, 26, 189–197. [Google Scholar] [CrossRef]
- Heinonen, K. Consumer Activity in Social Media: Managerial Approaches to Consumers′ Social Media Behavior. J. Consum. Behav. 2011, 10, 356–364. [Google Scholar] [CrossRef]
- Li, Y.-M.; Lee, Y.-L.; Lien, N.-J. Online Social Advertising via Influential Endorsers. Int. J. Electron. Commer. 2012, 16, 119–154. [Google Scholar] [CrossRef]
- Rauniar, R.; Rawski, G.; Yang, J.; Johnson, B. Technology Acceptance Model (TAM) and Social Media Usage: An Empirical Study on Facebook. J. Enterp. Inf. Manag. 2014, 27, 6–30. [Google Scholar] [CrossRef]
- Chwialkowska, A. How Sustainability Influnencers Drive Green Lifestyle Adoption On Social Media: The Process Of Green Lifestyle Adoption Explained Through The Lenses of The Minority Influence Model and Social Learning Theory. Manag. Sustain. Dev. Sibiu Rom. 2019, 11, 33–42. [Google Scholar]
- Ingenbleek, P.T.M.; Meulenberg, M.T.G.; Trijp, H.C.M.V. Buyer Social Responsibility: A General Concept and Its Implications for Marketing Management. J. Mark. Manag. 2015, 31, 1428–1448. [Google Scholar] [CrossRef]
- Minton, E.; Lee, C.; Orth, U.; Kim, C.-H.; Kahle, L. Sustainable Marketing and Social Media. J. Advert. 2012, 41, 69–84. [Google Scholar] [CrossRef]
- Chabowski, B.R.; Mena, J.A.; Gonzalez-Padron, T.L. The Structure of Sustainability Research in Marketing, 1958–2008: A Basis for Future Research Opportunities. J. Acad. Mark. Sci. 2011, 39, 55–70. [Google Scholar] [CrossRef]
- Lučić, A. Measuring Sustainable Marketing Orientation—Scale Development Process. Sustainability 2020, 12, 1734. [Google Scholar] [CrossRef]
- Brown, T.J.; Dacin, P.A. The Company and the Product: Corporate Associations and Consumer Product Responses. J. Mark. 1997, 61, 68–84. [Google Scholar] [CrossRef]
- Luo, X.; Bhattacharya, C.B. Corporate Social Responsibility, Customer Satisfaction, and Market Value. J. Mark. 2006, 70, 1–18. [Google Scholar] [CrossRef]
- Olsen, M.C.; Slotegraaf, R.J.; Chandukala, S.R. Green Claims and Message Frames: How Green New Products Change Brand Attitude. J. Mark. 2014, 78, 119–137. [Google Scholar] [CrossRef]
- IT and Sustainability: Bringing Best Practices to the Business. Available online: http://www.oracle.com/us/products/applications/green/056899.pdf (accessed on 26 December 2020).
- Martin, C.J.; Upham, P.; Budd, L. Commercial Orientation in Grassroots Social Innovation: Insights from the Sharing Economy. Ecol. Econ. 2015, 118, 240–251. [Google Scholar] [CrossRef]
- Martin, C.J. The Sharing Economy: A Pathway to Sustainability or a Nightmarish Form of Neoliberal Capitalism? Ecol. Econ. 2016, 121, 149–159. [Google Scholar] [CrossRef]
- Huang, L.; Zhao, Y.; Mei, L.; Wu, P.; Zhao, Z.; Mao, Y. Structural Holes in the Multi-Sided Market: A Market Allocation Structure Analysis of China′s Car-Hailing Platform in the Context of Open Innovation. Sustainability 2019, 11, 5813. [Google Scholar] [CrossRef]
- TRUFFER, B. User-Led Innovation Processes: The Development of Professional Car Sharing by Environmentally Concerned Citizens. Innov. Eur. J. Soc. Sci. Res. 2003, 16, 139–154. [Google Scholar] [CrossRef]
- Ornetzeder, M.; Rohracher, H. Of Solar Collectors, Wind Power, and Car Sharing: Comparing and Understanding Successful Cases of Grassroots Innovations. Glob. Environ. Chang. 2013, 23, 856–867. [Google Scholar] [CrossRef]
- Meelen, T.; Truffer, B.; Schwanen, T. Virtual User Communities Contributing to Upscaling Innovations in Transitions: The Case of Electric Vehicles. Environ. Innov. Soc. Transit. 2019, 31, 96–109. [Google Scholar] [CrossRef]
- Shneor, R.; Zhao, L.; Flåten, B.-T. Advances in Crowdfunding: Research and Practice; Springer Nature: Berlin/Heidelberg, Germany, 2020. [Google Scholar]
- Reilly, A.H.; Hynan, K.A. Corporate Communication, Sustainability, and Social Media: It′s Not Easy (Really) Being Green. Bus. Horiz. 2014, 57, 747–758. [Google Scholar] [CrossRef]
- Mercade Mele, P.; Molina Gomez, J.; Garay, L. To Green or Not to Green: The Influence of Green Marketing on Consumer Behaviour in the Hotel Industry. Sustainability 2019, 11, 4623. [Google Scholar] [CrossRef]
- Norton, B.G. Sustainability: A Philosophy of Adaptive Ecosystem Management; University of Chicago Press: Chicago, IL, USA, 2005; ISBN 978-0-226-59521-4. [Google Scholar]
- Daigle, C.; Vasseur, L. Is It Time to Shift Our Environmental Thinking? A Perspective on Barriers and Opportunities to Change. Sustainability 2019, 11, 5010. [Google Scholar] [CrossRef]
- Verweij, P.; Cormont, A.; Hoetjes, P.; de Meyer, K.; van Bussel, T.; Roosenschoon, O.; Henkens, R.; Schmidt, A.; Janssen, S. Co-Designing a Data Platform to Impact Nature Policy and Management: Experiences from the Dutch Caribbean. Environ. Sci. Policy 2019, 100, 13–20. [Google Scholar] [CrossRef]
- Riley, P.; Wang, R.; Wang, Y.; Feng, L. Global Warming: Chinese Narratives of the Future. Glob. Media China 2016, 1, 12–31. [Google Scholar] [CrossRef]
- Ghazali, Z.; Zahid, M.; Kee, T.S.; Ibrahim, M.Y. A Step towards Sustainable Society: The Awareness of Carbon Dioxide Emissions, Climate Change and Carbon Capture in Malaysia. Int. J. Econ. Financ. Issues 2016, 6, 179–187. [Google Scholar]
- Bain, J.; Chaban, N. An Emerging EU Strategic Narrative? Twitter Communication during the EU′s Sustainable Energy Week. Comp. Eur. Polit. 2017, 15, 135–155. [Google Scholar] [CrossRef]
- Gupta, A. Business and Globalisation the New Face of Micro Lending in India: A Case Study. Int. J. Bus. Glob. 2014, 12, 485–495. [Google Scholar] [CrossRef]
- Roseland, M. Sustainable Community Development: Integrating Environmental, Economic, and Social Objectives. Prog. Plan. 2000, 54, 73–132. [Google Scholar] [CrossRef]
- Wong, C.; Wood, J.; Paturi, S. Vertical Farming: An Assessment of Singapore City. Etropic Electron. J. Stud. Trop. 2020, 19, 228–248. [Google Scholar] [CrossRef]
- Ciuccarelli, P.; Lupi, G.; Simeone, L. Visualizing the Data City: Social Media as A Source of Knowledge for Urban. Planning and Management; Springer Science & Business Media: Berlin/Heidelberg, Germany, 2014; ISBN 978-3-319-02195-9. [Google Scholar]
- Fang, L.; Huang, J.; Zhang, Z.; Nitivattananon, V. Data-Driven Framework for Delineating Urban Population Dynamic Patterns: Case Study on Xiamen Island, China. Sustain. Cities Soc. 2020, 62, 102365. [Google Scholar] [CrossRef]
- Neilson, A.; Indratmo; Daniel, B.; Tjandra, S. Systematic Review of the Literature on Big Data in the Transportation Domain: Concepts and Applications. Big Data Res. 2019, 17, 35–44. [Google Scholar] [CrossRef]
- Wang, Z.; Ke, L.; Cui, X.; Yin, Q.; Liao, L.; Gao, L.; Wang, Z. Monitoring Environmental Quality by Sniffing Social Media. Sustainability 2017, 9, 85. [Google Scholar] [CrossRef]
- Kleinhans, R.; Van Ham, M.; Evans-Cowley, J. Using Social Media and Mobile Technologies to Foster Engagement and Self-Organization in Participatory Urban Planning and Neighbourhood Governance. Plan. Pract. Res. 2015, 30, 237–247. [Google Scholar] [CrossRef]
- Sullivan, J.; Xie, L. Environmental Activism, Social Networks and the Internet. China Q. 2009, 198, 422–432. [Google Scholar] [CrossRef]
- Shim, K. Impact of Social Media on Power Relations of Korean Health Activism. Media Commun. 2014, 2, 72–83. [Google Scholar] [CrossRef]
- Vu, H.T.; Blomberg, M.; Seo, H.; Liu, Y.; Shayesteh, F.; Do, H.V. Social Media and Environmental Activism: Framing Climate Change on Facebook by Global NGOs. Sci. Commun. 2020, 1075547020971644. [Google Scholar] [CrossRef]
- Ganglbauer, E.; Reitberger, W.; Fitzpatrick, G. An Activist Lens for Sustainability: From Changing Individuals to Changing the Environment. In Persuasive Technology; Berkovsky, S., Freyne, J., Eds.; Springer: Berlin, Heidelberg, Germany, 2013; pp. 63–68. [Google Scholar]
- Uldam, J. Social Media Visibility: Challenges to Activism. Media Cult. Soc. 2018, 40, 41–58. [Google Scholar] [CrossRef]
- Liu, Z. Sustainable Tourism Development: A Critique. J. Sustain. Tour. 2003, 11, 459–475. [Google Scholar] [CrossRef]
- Sustainable Development | UNWTO. Available online: https://www.unwto.org/sustainable-development (accessed on 26 December 2020).
- Williams, D.R. Sustainability and Public Access to Nature: Contesting the Right to Roam. J. Sustain. Tour. 2001, 9, 361–371. [Google Scholar] [CrossRef]
- Mkono, M. Sustainability and Indigenous Tourism Insights from Social Media: Worldview Differences, Cultural Friction and Negotiation. J. Sustain. Tour. 2016, 24, 1315–1330. [Google Scholar] [CrossRef]
- Contemporary Issues in Tourism Development, 1st ed; Butler, R.W., Pearce, D.G., Eds.; Routledge: Abingdon, UK, 2003. [Google Scholar]
- Hawkins, R.; Middleton, V.T.C. Sustainable Tourism; Routledge: Abingdon, UK, 2016; ISBN 978-1-138-14650-1. [Google Scholar]
- Khan, A.; Bibi, S.; Lorenzo, A.; Lyu, J.; Babar, Z.U. Tourism and Development in Developing Economies: A Policy Implication Perspective. Sustainability 2020, 12, 1618. [Google Scholar] [CrossRef]
- Kim, J.; Wood, J. Service Sector Development in Asia: An Important Instrument of Growth. Asian-Pac. Econ. Lit. 2020, 34, 12–25. [Google Scholar] [CrossRef]
- Cohen, E. The Impact of Tourism on the Physical Environment. Ann. Tour. Res. 1978, 5, 215–237. [Google Scholar] [CrossRef]
- Sarkar, S.K.; George, B. Social Media Technologies in the Tourism Industry: An Analysis with Special Reference to Their Role in Sustainable Tourism Development. Int. J. Tour. Sci. 2018, 18, 269–278. [Google Scholar] [CrossRef]
- Ayeh, J.K.; Leung, D.; Au, N.; Law, R. Perceptions and Strategies of Hospitality and Tourism Practitioners on Social Media: An Exploratory Study. In Information and Communication Technologies in Tourism 2012; Fuchs, M., Ricci, F., Cantoni, L., Eds.; Springer: Vienna, Austria, 2012; pp. 1–12. [Google Scholar]
- Hays, S.; Page, S.J.; Buhalis, D. Social Media as a Destination Marketing Tool: Its Use by National Tourism Organisations. Curr. Issues Tour. 2013, 16, 211–239. [Google Scholar] [CrossRef]
- Bosangit, C.; McCabe, S.; Hibbert, S. What Is Told in Travel Blogs? Exploring Travel Blogs for Consumer Narrative Analysis. In Information and Communication Technologies in Tourism 2009; Höpken, W., Gretzel, U., Law, R., Eds.; Springer: Vienna, Austria, 2009; pp. 61–71. [Google Scholar]
- Lee, H.A.; Law, R.; Murphy, J. Helpful Reviewers in TripAdvisor, an Online Travel Community. J. Travel Tour. Mark. 2011, 28, 675–688. [Google Scholar] [CrossRef]
- O′Connor, P. User-Generated Content and Travel: A Case Study on Tripadvisor.Com. In Information and Communication Technologies in Tourism 2008; O′Connor, P., Höpken, W., Gretzel, U., Eds.; Springer: Vienna, Austria, 2008; pp. 47–58. ISBN 978-3-211-77279-9. [Google Scholar]
- Broek-Serlé, F.N.V. Green Supply Chain Management, Marketing Tool or Revolution; NHTV Breda University of Applied Sciences: Breda, The Netherlands, 2010. [Google Scholar]
- Fadeeva, Z. Promise of Sustainability Collaboration—Potential Fulfilled? J. Clean. Prod. 2005, 13, 165–174. [Google Scholar] [CrossRef]
- Henriques, I.; Sadorsky, P. The Relationship Between Environmental Commitment and Managerial Perceptions of Stakeholder Importance. Acad. Manage. J. 1999, 42, 87–99. [Google Scholar] [CrossRef]
- Tseng, M.-L.; Lim, M.K.; Wu, K.-J.; Peng, W.-W. Improving Sustainable Supply Chain Capabilities Using Social Media in a Decision-Making Model. J. Clean. Prod. 2019, 227, 700–711. [Google Scholar] [CrossRef]
- Sigala, M. Customer Involvement in Sustainable Supply Chain Management: A Research Framework and Implications in Tourism. Cornell Hosp. Q. 2014, 55, 76–88. [Google Scholar] [CrossRef]
- Zoeteman, B.C.J. What Is behind the Leadership Shift in Sustainable Development from Politicians to CEOs? Environ. Dev. 2013, 8, 113–130. [Google Scholar] [CrossRef]
- Abbas, J.; Aman, J.; Nurunnabi, M.; Bano, S. The Impact of Social Media on Learning Behavior for Sustainable Education: Evidence of Students from Selected Universities in Pakistan. Sustainability 2019, 11, 1683. [Google Scholar] [CrossRef]




| Rank | Source | The Number of Articles |
|---|---|---|
| 1 | Sustainability (MDPI, Switzerland) | 152 |
| 2 | Journal of Cleaner Production | 21 |
| 3 | Journal of Business Ethics | 16 |
| 4 | Journal of Sustainable Tourism | 14 |
| 5 | Developments in Corporate Governance and Responsibility | 12 |
| 5 | Public Relations Review | 12 |
| 7 | Corporate Communications | 9 |
| 7 | Corporate Social Responsibility and Environmental Management | 9 |
| 9 | Journal of Business Research | 8 |
| 10 | Media and Communication | 7 |
| 1st Topic | 2nd Topic | 3rd Topic | 4th Topic | 5th Topic | 6th Topic | 7th Topic | 8th Topic | 9th Topic | 10th Topic |
|---|---|---|---|---|---|---|---|---|---|
| 0.019 | 0.002 | 0.004 | 0.111 | 0.024 | 0.003 | 0.007 | 0.103 | 0.002 | 0.724 |
| 1st Keyword | 1st Prob. | 2nd Keyword | 2nd Prob. | 3rd Keyword | 3rd Prob. | ... | 7505th Keyword | 7505th Prob. |
|---|---|---|---|---|---|---|---|---|
| CSR | 0.119 | communication | 0.053 | social media | 0.048 | ... | 3D | 0.000 |
| Topic | Top 10 Relevant Words | Share |
|---|---|---|
| (T1) Education for sustainability | sustainability, social media, community, development, education, practice, student, information, communication, medium | 0.1568 |
| (T2) Sustainable communication | CSR, communication, social media, firm, stakeholder, message, engagement, strategy, Facebook, Twitter | 0.1461 |
| (T3) Sustainable consumer behavior | consumer, social media, brand, behavior, intention, effect, influence, attitude, factor, theory | 0.1263 |
| (T4) Sustainable marketing | marketing, business, social media, firm, sustainability, management, performance, strategy, product, medium | 0.1141 |
| (T5) IT and finance for sustainability | network, information, medium, technology, sustainability, user, news, system, content, internet | 0.1093 |
| (T6) Sustainable development | change, economy, person, country, health, development, world, policy, impact, year | 0.0730 |
| (T7) Sustainable community | system, social media, management, service, traffic, planning, sentiment, data, quality, review | 0.0721 |
| (T8) Sustainable activism | food, social media, government, citizen, movement, health, governance, medium, activism, citizenship | 0.0711 |
| (T9) Sustainable tourism | tourism, tourist, city, destination, development, place, social media, sustainability, travel, visitor | 0.0700 |
| (T10) Sustainable supply chains | customer, value, chain, industry, social media, supply, relationship, activity, language, service | 0.0612 |
| Topic | Slope(*1000) | p-Value | Type |
|---|---|---|---|
| (T1) Education for sustainability | −14.356 | 0.0043 *** | Cold |
| (T2) Sustainable communication | 1.156 | 0.8942 | |
| (T3) Sustainable consumer behavior | 12.947 | 0.0021 *** | Hot |
| (T4) Sustainable marketing | −9.234 | 0.0538 * | |
| (T5) IT and finance for sustainability | −0.326 | 0.8974 | |
| (T6) Sustainable development | −1.681 | 0.1316 | |
| (T7) Sustainable community | 2.968 | 0.0311 *** | Hot |
| (T8) Sustainable activism | 1.321 | 0.4138 | |
| (T9) Sustainable tourism | 5.626 | 0.0126 *** | Hot |
| (T10) Sustainable supply chains | 1.58 | 0.2776 |
| (T1) | (T2) | (T3) | (T4) | (T5) | (T6) | (T7) | (T8) | (T9) | (T10) | |
|---|---|---|---|---|---|---|---|---|---|---|
| Sustainability (MDPI, Switzerland) | 14.9% | 4.4% | 19.8% | 10.8% | 13.3% | 7.9% | 7.0% | 4.7% | 11.5% | 5.6% |
| Journal of Cleaner Production | 7.6% | 1.6% | 10.6% | 12.0% | 17.3% | 7.9% | 18.8% | 7.9% | 1.5% | 14.8% |
| Journal of Business Ethics | 6.7% | 48.6% | 13.9% | 3.7% | 7.6% | 3.6% | 1.8% | 6.7% | 1.2% | 6.3% |
| Journal of Sustainable Tourism | 6.1% | 4.7% | 16.8% | 7.8% | 8.3% | 3.7% | 11.4% | 7.2% | 29.3% | 4.9% |
| Developments in Corporate Governance and Responsibility | 5.0% | 58.2% | 3.2% | 9.9% | 2.8% | 6.3% | 0.9% | 10.6% | 1.0% | 2.2% |
| Public Relations Review | 4.9% | 56.5% | 12.5% | 2.6% | 5.4% | 4.1% | 1.7% | 1.0% | 1.1% | 10.1% |
| Corporate Communications | 4.7% | 67.1% | 9.3% | 4.5% | 6.1% | 0.6% | 2.1% | 0.6% | 1.0% | 4.0% |
| Corporate Social Responsibility and Environmental Management | 5.8% | 53.8% | 11.8% | 8.3% | 3.6% | 1.6% | 2.0% | 1.6% | 5.4% | 6.1% |
| Journal of Business Research | 10.6% | 27.8% | 36.1% | 10.5% | 0.7% | 1.0% | 0.4% | 6.0% | 1.7% | 5.1% |
| Media and Communication | 18.4% | 3.8% | 4.6% | 12.9% | 26.3% | 6.9% | 4.2% | 13.9% | 7.9% | 1.4% |
Publisher’s Note: MDPI stays neutral with regard to jurisdictional claims in published maps and institutional affiliations. |
© 2021 by the authors. Licensee MDPI, Basel, Switzerland. This article is an open access article distributed under the terms and conditions of the Creative Commons Attribution (CC BY) license (http://creativecommons.org/licenses/by/4.0/).
Share and Cite
Lee, J.H.; Wood, J.; Kim, J. Tracing the Trends in Sustainability and Social Media Research Using Topic Modeling. Sustainability 2021, 13, 1269. https://doi.org/10.3390/su13031269
Lee JH, Wood J, Kim J. Tracing the Trends in Sustainability and Social Media Research Using Topic Modeling. Sustainability. 2021; 13(3):1269. https://doi.org/10.3390/su13031269
Chicago/Turabian StyleLee, Jee Hoon, Jacob Wood, and Jungsuk Kim. 2021. "Tracing the Trends in Sustainability and Social Media Research Using Topic Modeling" Sustainability 13, no. 3: 1269. https://doi.org/10.3390/su13031269
APA StyleLee, J. H., Wood, J., & Kim, J. (2021). Tracing the Trends in Sustainability and Social Media Research Using Topic Modeling. Sustainability, 13(3), 1269. https://doi.org/10.3390/su13031269
