Green Credit Financing Equilibrium under Government Subsidy and Supply Uncertainty
Abstract
:1. Introduction
- What is the green credit financing equilibrium under horizontal competition and horizontal cooperation, respectively?
- How do subsidy interest rate, supply uncertainty, and supply correlation affect the optimal green credit equilibrium?
- How do retailers’ order modes (i.e., order quantity under horizontal competition or cooperation) affect the optimal decisions and profits of the bank and GSC members, consumer surplus, and social welfare?
- We examined the effect of key parameters, including the subsidy interest rate, supply uncertainty, and supply correlation, on the equilibrium GCF decisions. We found that a higher subsidy rate (low supply correlation, low supply uncertainty) corresponds to a lower bank interest rate, a higher product green degree, a higher wholesale price, and higher order quantities. This suggests that the subsidy rate and supply correlation affect the bank and GSC members in opposite directions, while supply correlation and supply uncertainty affect the bank and GSC members in the same direction.
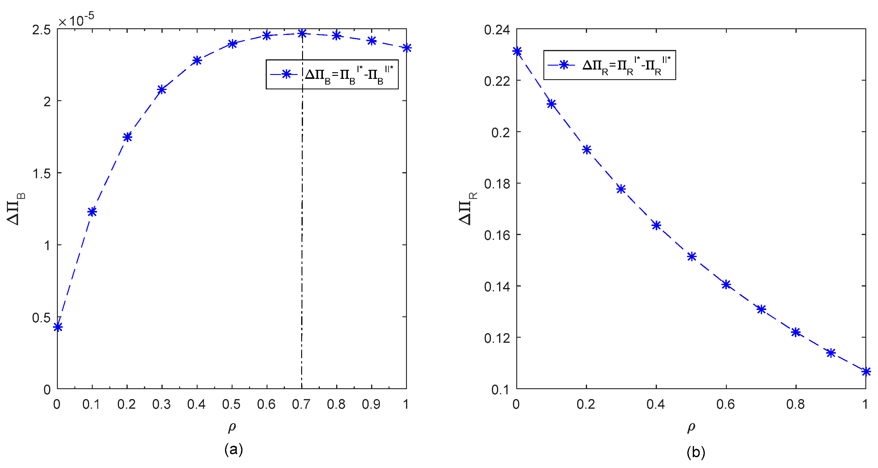
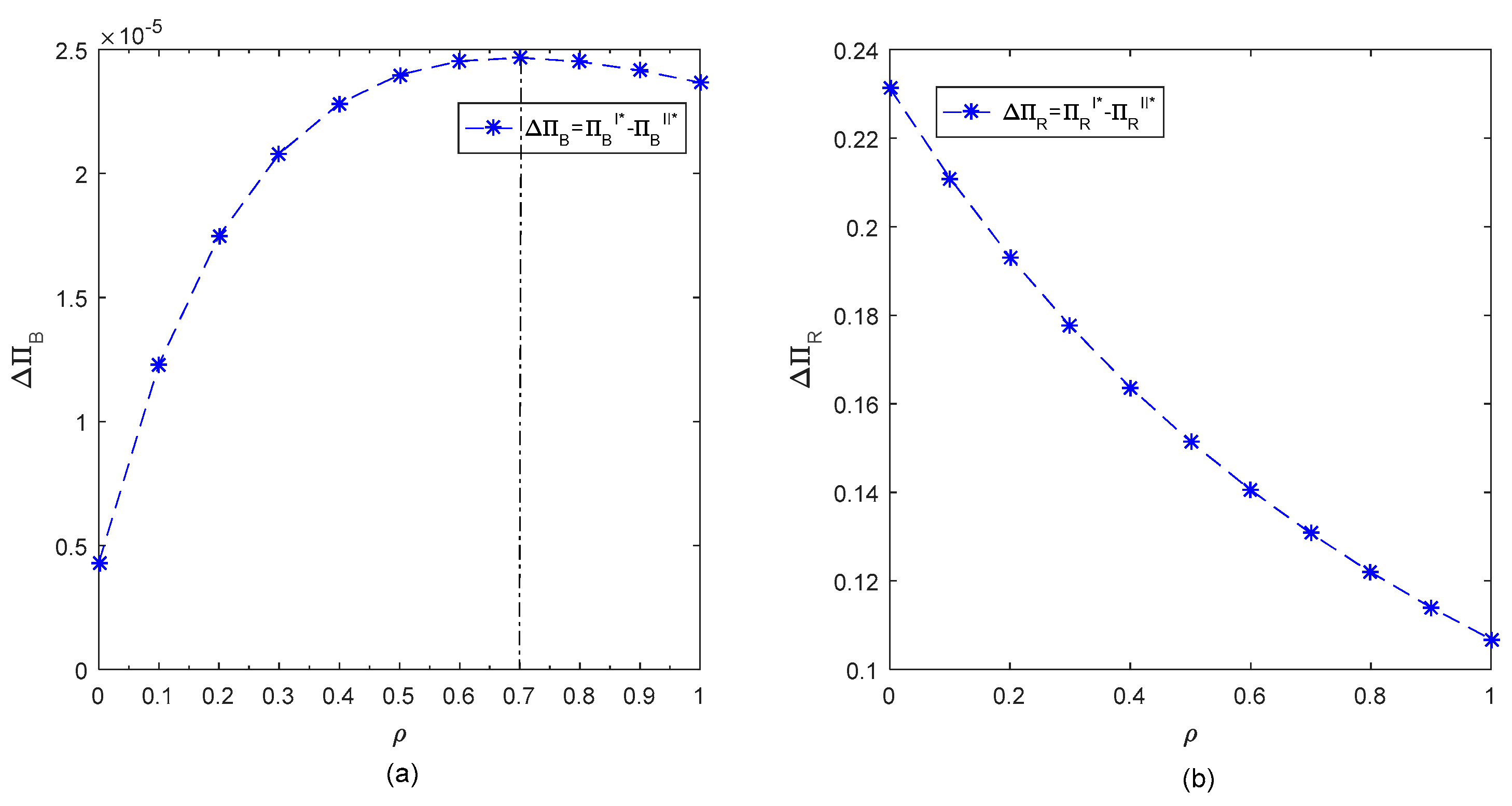
- By analyzing the retailers’ order modes choice (i.e., order quantity under horizontal cooperation or competition), we found that the manufacturer, the bank, and retailers gain more profits in Case I (i.e., the two retailers with horizontal cooperation) than in Case II (i.e., the two retailers with horizontal competition). This suggests that retailers who decide their order quantities independently can gain more profit than those who decide on the order quantity jointly with the alliance.
- Finally, we compared consumer surplus and welfare between the horizontal competition and the horizontal cooperation settings. We found that consumer surplus and social welfare in Case I were higher than those in Case II.
2. Literature Review
2.1. GCF in a Capital-Constrained GSC
2.2. Government Subsidy in a GSC
3. Research Framework
3.1. Green Credit Financing with Government Subsidy
3.2. The Sequences of Events
- (1)
- The bank determines the interest rate.
- (2)
- The manufacturer concurrently determines the green level of the product and wholesale price.
- (3)
- The retailers decide order quantities independently (i.e., retailers with horizontal competition) or jointly through horizontal cooperation.
- (4)
- The manufacturer produces products and distributes them.
- (5)
- Supply-side uncertainty is realized.
4. Green Credit Financing Equilibrium Decisions
4.1. Green Credit Financing Equilibrium Decisions under Horizontal Competition (Case I)
- (1)
- The bank’s optimal interest rate is
- (2)
- The manufacturer’s optimal product green degree and the wholesale price are
- (3)
- The two retailers’ optimal order quantities are
- (1)
- The optimal interest rate () decreases with(i.e.,);
- (2)
- The optimal product green level () increases with(i.e.,);
- (3)
- The optimal wholesale price () increases with(i.e.,);
- (4)
- The optimal order quantities (and) increase with(i.e.,).
- (1)
- The optimal interest rate () increases with(i.e.,);
- (2)
- The optimal product green level () decreases with(i.e.,);
- (3)
- The optimal wholesale price () decreases with(i.e.,);
- (4)
- The optimal order quantities (and) decrease with(i.e.,).
- (1)
- The optimal interest rate () increases with(i.e.,);
- (2)
- The optimal product green level () decreases with(i.e.,);
- (3)
- The optimal wholesale price () decreases with(i.e.,);
- (4)
- The optimal order quantities (and) decrease with(i.e.,).
- (1)
- The manufacturer’s profit is
- (2)
- The retailers’ profits are
- (3)
- The bank’s profit is
- (4)
- The total subsidy of government is
- (5)
- Consumer surplus and social welfare are
4.2. Green Credit Financing Equilibrium under Horizontal Cooperation (Case II)
- (1)
- The optimal interest rate of bank is
- (2)
- The manufacturer’s optimal wholesale price and product green level are
- (3)
- The retailers’ optimal order quantities are
- (1)
- The optimal interest rate () decreases with(i.e.,);
- (2)
- The optimal level of green product () increases with(i.e.,);
- (3)
- The optimal wholesale price () increases with(i.e.,);
- (4)
- Bothandincrease with(i.e.,).
- (1)
- The optimal interest rate () increases with(i.e.,);
- (2)
- The optimal level of green innovation () decreases with(i.e.,);
- (3)
- The optimal wholesale price () decreases with(i.e.,);
- (4)
- Optimal order quantities (and) decrease with(i.e.,).
- (1)
- The optimal interest rate () increases with(i.e.,);
- (2)
- The optimal level of green innovation () decreases with(i.e.,);
- (3)
- The optimal wholesale price () decreases with(i.e.,);
- (4)
- The optimal order quantities (and) decrease with(i.e.,).
- (1)
- The manufacturer’s ex-ante payoff is
- (2)
- The retailers’ profits are
- (3)
- The bank’s profit is
- (4)
- The total government subsidy is
- (5)
- Consumer surplus and social welfare are
5. Comparative Analysis
5.1. The Optimal Operation Decision
- (1)
- The optimal interest rate of the bank in Case I is smaller than that in Case II (i.e.,).
- (2)
- The optimal green level of the product in Case I is larger than that in Case II (i.e.,).
- (3)
- The optimal wholesale price of the manufacturer in Case I is larger than that in Case II (i.e.,).
- (4)
- The optimal order quantities of retailers in Case I is larger than in Case II (i.e.,).
5.2. The Profits of Bank and SC Member
5.3. Social Welfare and Consumer Surplus
6. Conclusions and Contributions
Author Contributions
Funding
Institutional Review Board Statement
Informed Consent Statement
Data Availability Statement
Conflicts of Interest
Appendix A. Proofs
References
- An, S.; Li, B.; Song, D.; Chen, X. Green credit financing versus trade credit financing in a supply chain with carbon emission limits. Eur. J. Oper. Res. 2021, 292, 125–142. [Google Scholar] [CrossRef]
- Huang, S.; Fan, Z.-P.; Wang, X. Optimal financing and operational decisions of capital-constrained manufacturer under green credit and subsidy. J. Ind. Manag. Optim. 2021, 17, 261–277. [Google Scholar] [CrossRef] [Green Version]
- Ling, S.; Han, G.; An, D.; Hunter, W.C.; Li, H. The Impact of Green Credit Policy on Technological Innovation of Firms in Pollution-Intensive Industries: Evidence from China. Sustainability 2020, 12, 4493. [Google Scholar] [CrossRef]
- Deng, L.; Yang, L.; Li, W. Impact of Green Credit Financing and Carbon Emission Limits on the Supply Chain Based on POF. Sustainability 2021, 13, 5814. [Google Scholar] [CrossRef]
- Jung, S.H. Offshore versus Onshore Sourcing: Quick Response, Random Yield, and Competition. Prod. Oper. Manag. 2019, 29, 750–766. [Google Scholar] [CrossRef]
- Tang, R.; Yang, L. Impacts of financing mechanism and power structure on supply chains under cap-and-trade regulation. Transp. Res. Part E Logist. Transp. Rev. 2020, 139, 101957. [Google Scholar] [CrossRef]
- Shen, B.; Wang, X.; Cao, Y.; Li, Q. Financing decisions in supply chains with a capital-constrained manufacturer: Competition and risk. Int. Trans. Oper. Res. 2019, 27, 2422–2448. [Google Scholar] [CrossRef]
- Deng, S.; Gu, C.; Cai, G.; Li, Y. Financing Multiple Heterogeneous Suppliers in Assembly Systems: Buyer Finance vs. Bank Finance. Manuf. Serv. Oper. Manag. 2018, 20, 53–69. [Google Scholar] [CrossRef]
- Lu, X.; Wu, Z. How taxes impact bank and trade financing for Multinational Firms. Eur. J. Oper. Res. 2020, 286, 218–232. [Google Scholar] [CrossRef]
- Jing, B.; Chen, X.; Cai, G.G. Equilibrium Financing in a Distribution Channel with Capital Constraint. Prod. Oper. Manag. 2012, 21, 1090–1101. [Google Scholar] [CrossRef]
- Cai, G.G.; Chen, X.; Xiao, Z. The Roles of Bank and Trade Credits: Theoretical Analysis and Empirical Evidence. Prod. Oper. Manag. 2014, 23, 583–598. [Google Scholar] [CrossRef]
- Chen, X. A model of trade credit in a capital-constrained distribution channel. Int. J. Prod. Econ. 2015, 159, 347–357. [Google Scholar] [CrossRef]
- Gao, G.-X.; Fan, Z.-P.; Fang, X.; Lim, Y.F. Optimal Stackelberg strategies for financing a supply chain through online peer-to-peer lending. Eur. J. Oper. Res. 2018, 267, 585–597. [Google Scholar] [CrossRef]
- Jin, W.; Zhang, Q.; Luo, J. Non-collaborative and collaborative financing in a bilateral supply chain with capital constraints. Omega 2019, 88, 210–222. [Google Scholar] [CrossRef]
- Kang, H.; Jung, S.-Y.; Lee, H. The impact of Green Credit Policy on manufacturers’ efforts to reduce suppliers’ pollution. J. Clean. Prod. 2020, 248, 119271. [Google Scholar] [CrossRef]
- Ding, W.; Wan, G. Financing and coordinating the supply chain with a capital-constrained supplier under yield uncertainty. Int. J. Prod. Econ. 2020, 230, 107813. [Google Scholar] [CrossRef]
- Zou, T.; Zou, Q.; Hu, L. Joint decision of financing and ordering in an emission-dependent supply chain with yield uncertainty. Comput. Ind. Eng. 2021, 152, 106994. [Google Scholar] [CrossRef]
- Yuan, X.; Bi, G.; Fei, Y.; Liu, L. Supply chain with random yield and financing. Omega 2021, 102, 102334. [Google Scholar] [CrossRef]
- Fang, L.; Xu, S. Financing equilibrium in a green supply chain with capital constraint. Comput. Ind. Eng. 2020, 143, 106390. [Google Scholar] [CrossRef]
- Huang, Z.; Liao, G.; Li, Z. Loaning scale and government subsidy for promoting green innovation. Technol. Forecast. Soc. Chang. 2019, 144, 148–156. [Google Scholar] [CrossRef]
- Li, Z.; Pan, Y.; Yang, W.; Ma, J.; Zhou, M. Effects of government subsidies on green technology investment and green marketing coordination of supply chain under the cap-and-trade mechanism. Energy Econ. 2021, 101, 105426. [Google Scholar] [CrossRef]
- Bian, J.; Zhao, X. Tax or subsidy? An analysis of environmental policies in supply chains with retail competition. Eur. J. Oper. Res. 2020, 283, 901–914. [Google Scholar]
- Yang, R.; Tang, W.; Zhang, J. Technology improvement strategy for green products under competition: The role of government subsidy. Eur. J. Oper. Res. 2021, 289, 553–568. [Google Scholar] [CrossRef]
- Bai, Y.; Song, S.; Jiao, J.; Yang, R. The impacts of government R&D subsidies on green innovation: Evidence from Chinese energy-intensive firms. J. Clean. Prod. 2019, 233, 819–829. [Google Scholar]
- Sun, H.; Wan, Y.; Zhang, L.; Zhou, Z. Evolutionary game of the green investment in a two-echelon supply chain under a government subsidy mechanism. J. Clean. Prod. 2019, 235, 1315–1326. [Google Scholar] [CrossRef]
- Zhang, J.; Wang, Z.; Zhao, H. The Impact of Consumer Subsidy on Green Technology Innovations for Vehicles and Environmental Impact. Int. J. Environ. Res. Public Health 2020, 17, 7518. [Google Scholar] [CrossRef]
- Li, Y.; Tong, Y.; Ye, F.; Song, J. The choice of the government green subsidy scheme: Innovation subsidy vs. product subsidy. Int. J. Prod. Res. 2020, 58, 4932–4946. [Google Scholar] [CrossRef]
- Dong, C.; Liu, Q.; Shen, B. To be or not to be green? Strategic investment for green product development in a supply chain. Transp. Res. Part E Logist. Transp. Rev. 2019, 131, 193–227. [Google Scholar] [CrossRef]
- Jung, S.H.; Feng, T. Government subsidies for green technology development under uncertainty. Eur. J. Oper. Res. 2020, 286, 726–739. [Google Scholar] [CrossRef]
- Guo, S.; Choi, T.-M.; Shen, B. Green product development under competition: A study of the fashion apparel industry. Eur. J. Oper. Res. 2020, 280, 523–538. [Google Scholar] [CrossRef]
- Ren, D.; Guo, R.; Lan, Y.; Shang, C. Shareholding strategies for selling green products on online platforms in a two-echelon supply chain. Transp. Res. Part E Logist. Transp. Rev. 2021, 149, 102261. [Google Scholar] [CrossRef]






| Authors | Supply Uncertainty | Supply Correlation | Green Innovation | Government Subsidy | Green Credit Financing | Endogenous Interest Rate of the Bank | Competition |
|---|---|---|---|---|---|---|---|
| This paper | √ | √ | √ | √ | √ | √ | √ |
| An et al. [1] | √ | √ | |||||
| Huang et al. [2] | √ | √ | √ | √ | √ | ||
| Ling et al. [3] | √ | √ | |||||
| Deng et al. [4] | √ | √ | √ | ||||
| Jung [5] | √ | √ | √ | ||||
| Tang and Yang [6] | √ | √ | |||||
| Shen et al. [7] | √ | √ | √ | ||||
| Lu and Wu [9] | √ | √ | |||||
| Jing et al. [10] | √ | √ | |||||
| Cai et al. [11] | √ | √ | |||||
| Chen [12] | √ | √ | |||||
| Ding and Wan [16] | √ | √ | √ | ||||
| Zou et al. [17] | √ | √ | √ | √ | |||
| Yuan et al. [18] | √ | √ | √ | ||||
| Fang and Xu [19] | √ | √ | √ | √ | |||
| Huang et al. [20] | √ | √ | √ | ||||
| Li et al. [21] | √ | √ | |||||
| Bian and Zhao [22] | √ | √ | √ | ||||
| Yang et al. [23] | √ | √ | √ | ||||
| Bai et al. [24] | √ | √ | |||||
| Sun et al. [25] | √ | √ | |||||
| Zhang et al. [26] | √ | √ | |||||
| Li et al. [27] | √ | √ | |||||
| Dong et al. [28] | √ | ||||||
| Jung and Feng [29] | √ | √ | |||||
| Guo et al. [30] | √ | √ |
| Variables | Descriptions |
| The retailer i’s order quantity under case ; (a decision variable); | |
| The manufacturer’s green level of product under case (a decision variable); | |
| The manufacturer’s wholesale price under case (a decision variable); | |
| The bank’s interest rate under case (a decision variable); | |
| Supply yield variability factor, , (a random variable), , ; | |
| The retailer i’s profit under case ; | |
| The bank’s profit under case ; | |
| The manufacturer’s profit under case ; | |
| The total subsidy of government under case ; | |
| Consumer surplus under case ; | |
| Social welfare under case . | |
| Parameters | Descriptions |
| Potential market size, ; | |
| Supply uncertainty, , and ; | |
| Supply correlation, and ; | |
| Consumer’s green preference, ; | |
| The investment cost coefficient of green technology, . | |
| Indices | Descriptions |
| Subscript | and B represent the manufacturer and the bank; represents retailer i; |
| Superscript | Case I represents the retailers with horizontal competiton; Case II represents the retailers with horizontal cooperation; * denotes the value is “optimal” or “equilibrium”. |
Publisher’s Note: MDPI stays neutral with regard to jurisdictional claims in published maps and institutional affiliations. |
© 2021 by the authors. Licensee MDPI, Basel, Switzerland. This article is an open access article distributed under the terms and conditions of the Creative Commons Attribution (CC BY) license (https://creativecommons.org/licenses/by/4.0/).
Share and Cite
Wu, J.; Shang, J. Green Credit Financing Equilibrium under Government Subsidy and Supply Uncertainty. Sustainability 2021, 13, 12917. https://doi.org/10.3390/su132212917
Wu J, Shang J. Green Credit Financing Equilibrium under Government Subsidy and Supply Uncertainty. Sustainability. 2021; 13(22):12917. https://doi.org/10.3390/su132212917
Chicago/Turabian StyleWu, Junjian, and Jennifer Shang. 2021. "Green Credit Financing Equilibrium under Government Subsidy and Supply Uncertainty" Sustainability 13, no. 22: 12917. https://doi.org/10.3390/su132212917
APA StyleWu, J., & Shang, J. (2021). Green Credit Financing Equilibrium under Government Subsidy and Supply Uncertainty. Sustainability, 13(22), 12917. https://doi.org/10.3390/su132212917

