The Immobilisation of Heavy Metals from Sewage Sludge Ash in CO2-Cured Mortars
Abstract
1. Introduction
2. Materials and Methods
2.1. Materials
2.2. Mix Compositions
2.3. Specimens’ Preparation
2.4. Compressive Strength
2.5. TG-DTG
2.6. FT-IR
2.7. Leachability of Heavy Metals
3. Results and Discussion
3.1. Specimen Dimensions, Mass, and Bulk Density
3.2. Compressive Strength
3.3. TG-DTG
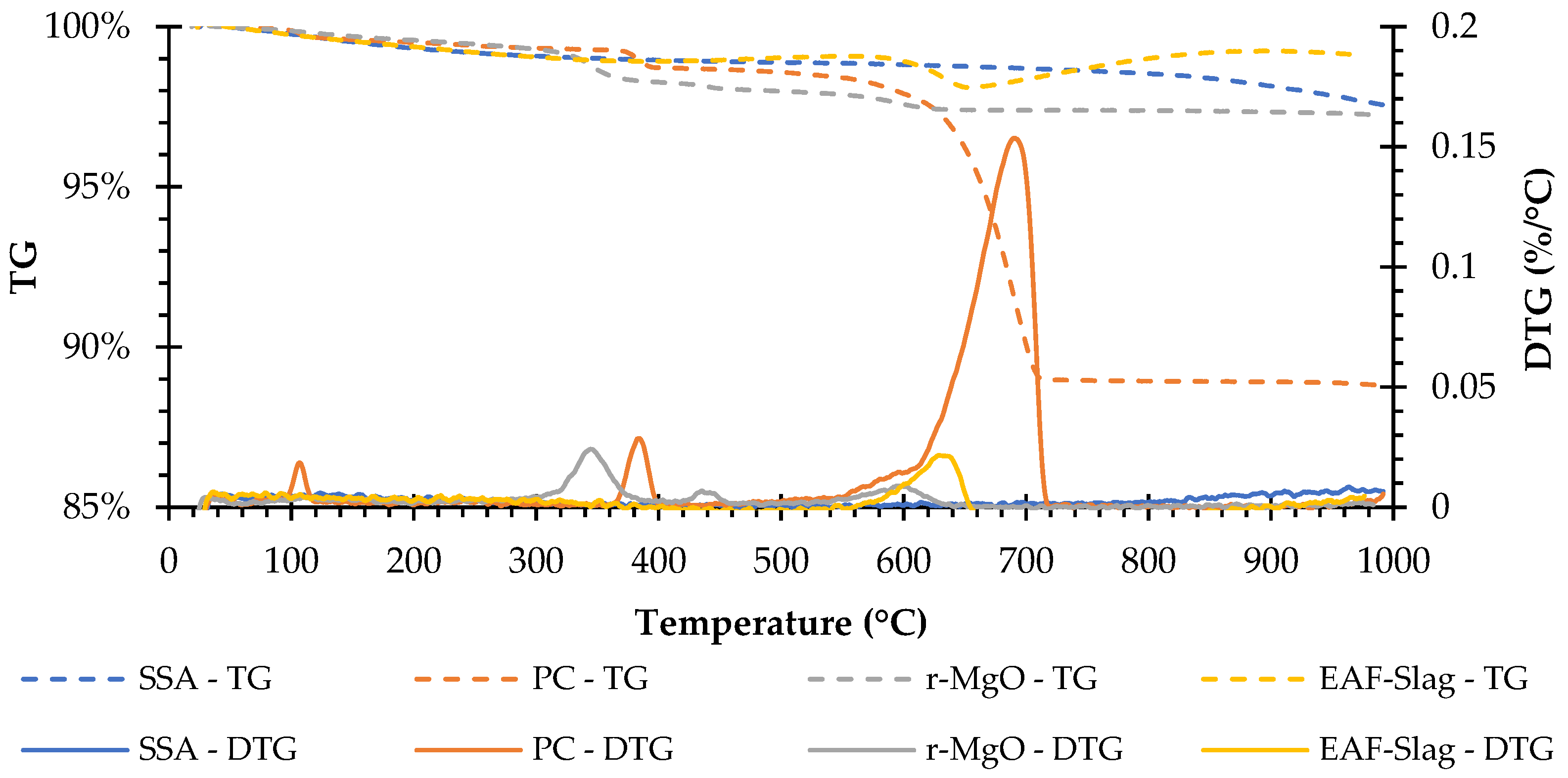
3.3.1. Raw Materials
3.3.2. Mixtures Design
3.4. FT-IR
3.5. Leachability of Heavy Metals
4. Conclusions
- The accelerated carbonation curing period led to a reduction of CO2-cured mortars bulk density at about 5%.
- The compressive strength results achieved reached up to 12.7 MPa. Due to the high carbonation ability of CaO and MgO, the quantity of these compounds seems to be directly related to the strength development in the CO2-cured mortars. Although SSA.E specimens presented the lowest compressive strength, they are nevertheless promising since the paste in this mortar composition is produced only from waste materials (sewage sludge ash and electric arc furnace slag).
- The TG-DTG and FT-IR analyses indicated that the carbonation reached the inner parts of these forming carbonate products, such as calcium carbonates (CaCO3) and hydrated magnesium carbonates (HMCs), which are mainly responsible for the binding properties of the CO2-cured mortar compositions devised.
- The observed CO2-cured mortars’ heavy metals leachability was at a very good level, generally not exceeding 5%. Moreover, although the low compressive strength results observed in SSA.E mortar, it presented the highest heavy metal immobilisation degree among the three designed mortars, especially regarding arsenic, chromium, copper, nickel, and mercury. Finally, the criteria for inert waste and post-industrial wastewater according to Polish ministerial regulations, based on European Commission directives was met.
Author Contributions
Funding
Institutional Review Board Statement
Informed Consent Statement
Data Availability Statement
Acknowledgments
Conflicts of Interest
References
- Walling, S.A.; Provis, J.L. Magnesia-based cements: A journey of 150 years, and cements for the future? Chem. Rev. 2016, 116, 4170–4204. [Google Scholar] [CrossRef] [PubMed]
- International Energy Agency. Technology Roadmap: Low-Carbon Transition in the Cement Industry; OECD/IEA: Paris, France, 2018; pp. 1–66. [CrossRef]
- Gartner, E.; Sui, T. Alternative cement clinkers. Cem. Concr. Res. 2018, 114, 27–39. [Google Scholar] [CrossRef]
- Shi, C.; Qu, B.; Provis, J.L. Recent progress in low-carbon binders. Cem. Concr. Res. 2019, 122, 227–250. [Google Scholar] [CrossRef]
- Huntzinger, D.N.; Gierke, J.S.; Kawatra, S.K.; Eisele, T.C.; Sutter, L.L. Carbon dioxide sequestration in cement kiln dust through mineral carbonation. Environ. Sci. Technol. 2009, 43, 1986–1992. [Google Scholar] [CrossRef] [PubMed]
- Humbert, P.S.; Castro-Gomes, J.P.; Savastano, H. Clinker-free CO2 cured steel slag based binder: Optimal conditions and potential applications. Constr. Build. Mater. 2019, 210, 413–421. [Google Scholar] [CrossRef]
- Ruan, S.; Unluer, C. Influence of mix design on the carbonation, mechanical properties and microstructure of reactive MgO cement-based concrete. Cem. Concr. Compos. 2017, 80, 104–114. [Google Scholar] [CrossRef]
- Unluer, C.; Al-Tabbaa, A. The role of brucite, ground granulated blastfurnace slag, and magnesium silicates in the carbonation and performance of MgO cements. Constr. Build. Mater. 2015, 94, 629–643. [Google Scholar] [CrossRef]
- Unluer, C.; Al-Tabbaa, A. Enhancing the carbonation of MgO cement porous blocks through improved curing conditions. Cem. Concr. Res. 2014, 59, 55–65. [Google Scholar] [CrossRef]
- Vandeperre, L.J.; Al-Tabbaa, A. Accelerated carbonation of reactive MgO cements. Adv. Cem. Res. 2007, 19, 67–79. [Google Scholar] [CrossRef]
- Grünhäuser Soares, E.; Castro-Gomes, J. Preliminary study on the influence of different carbonation curing processes on binders based on magnesium oxide-rich powder blended with tungsten mining waste mud. KnE Eng. 2020, 2020, 215–227. [Google Scholar] [CrossRef]
- Grünhäuser Soares, E.; Castro-Gomes, J. Early age compressive strength of waste-based-glass-powder magnesium silicate binders on initial carbonation curing. KnE Eng. 2020, 61–73. [Google Scholar] [CrossRef]
- Grünhäuser Soares, E.; Castro-Gomes, J. Carbonation curing influencing factors of Carbonated Reactive Magnesia Cements (CRMC)—A review. J. Clean. Prod. 2021, 305, 127210. [Google Scholar] [CrossRef]
- Cyr, M.; Coutand, M.; Clastres, P. Technological and environmental behavior of sewage sludge ash (SSA) in cement-based materials. Cem. Concr. Res. 2007, 37, 1278–1289. [Google Scholar] [CrossRef]
- Cheeseman, C.R.; Virdi, G.S. Properties and microstructure of lightweight aggregate produced from sintered sewage sludge ash. Resour. Conserv. Recycl. 2005, 45, 18–30. [Google Scholar] [CrossRef]
- Ottosen, L.M.; Jensen, P.E.; Kirkelund, G.M. Electrodialytic separation of phosphorus and heavy metals from two types of sewage sludge ash. Sep. Sci. Technol. 2014, 49, 1910–1920. [Google Scholar] [CrossRef]
- Fraissler, G.; Jöller, M.; Mattenberger, H.; Brunner, T.; Obernberger, I. Thermodynamic equilibrium calculations concerning the removal of heavy metals from sewage sludge ash by chlorination. Chem. Eng. Process. Process. Intensif. 2009, 48, 152–164. [Google Scholar] [CrossRef]
- Giergiczny, Z.; Król, A. Immobilization of heavy metals (Pb, Cu, Cr, Zn, Cd, Mn) in the mineral additions containing concrete composites. J. Hazard. Mater. 2008, 160, 247–255. [Google Scholar] [CrossRef]
- Chen, Q.Y.; Tyrer, M.; Hills, C.D.; Yang, X.M.; Carey, P. Immobilisation of heavy metal in cement-based solidification/stabilisation: A review. Waste Manag. 2009, 29, 390–403. [Google Scholar] [CrossRef]
- Sitarz, M.; Zdeb, T.; Castro Gomes, J.; Grünhäuser Soares, E.; Hager, I. The immobilisation of heavy metals from sewage sludge ash in geopolymer mortars. MATEC Web Conf. 2020, 322, 01026. [Google Scholar] [CrossRef]
- PN-EN 12457-4:2006; Characterisation of Waste—Leaching—Compliance Test for Leaching of Granular Waste Materials and Sludges—Part 4: One Stage BATCH Test at a Liquid to Solid Ratio of 10 L/kg for Materials with Particle Size below 10 mm (without or with Size Reduction); European Committee for Standardization: Brussels, Belgium, 2006.
- EN 13346:2001; Characterization of Sludge—Determination of Trace Elements and Phosphorus—Aqua Regia Extraction Methods; European Committee for Standardization: Brussels, Belgium, 2001.
- ISO 11885:2007; Water Quality. Determination of Selected Elements by Inductively Coupled Plasma Optical Emission Spectrometry (ICP-OES); European Committee for Standardization: Brussels, Belgium, 2007.
- ISO 9174:1998; Water Quality-Determination of Chromium-Atomic Absorption Spectrometric Methods; European Committee for Standardization: Brussels, Belgium, 1998.
- ISO 8288:1986; Water Quality. Determination of Cobalt, Nickel, Copper, Zinc, Cadmium and Lead—Flame Atomic Absorption Spectrometric Methods; European Committee for Standardization: Brussels, Belgium, 1986.
- Al Naimi, K.M.; Delclos, T.; Calvet, N. Industrial waste produced in the uae, valuable high-temperature materials for thermal energy storage applications. Energy Procedia 2015, 75, 2087–2092. [Google Scholar] [CrossRef]
- Costa, T.C.; Vazzoler, A.; de Araújo, W.P.; Gomes, E.A. Estimation of kinetic parameters during the treatment of steelmaking slag expansibility data. Mater. Res. 2018, 21, e20170665. [Google Scholar] [CrossRef][Green Version]
- Mota, R.M.; Silva, A.S.; Ramos, V.H.S.; Rezende, J.C.T.; de Jesus, E. Effects of storage temperature and time on false setting behavior of CPI-S Portland cement. Ceramica 2020, 66, 321–329. [Google Scholar] [CrossRef]
- Dweck, J.; Buchler, P.M.; Coelho, A.C.V.; Cartledge, F.K. Hydration of a Portland cement blended with calcium carbonate. Thermochim. Acta 2000, 346, 105–113. [Google Scholar] [CrossRef]
- He, Z.; Li, Z.; Shao, Y. Effect of carbonation mixing on co2 uptake and strength gain in concrete. J. Mater. Civ. Eng. 2017, 29, 04017176. [Google Scholar] [CrossRef]
- Gabrovšek, R.; Vuk, T.; Kaučič, V. Evaluation of the hydration of Portland cement containing various carbonates by means of thermal analysis. Acta Chim. Slov. 2006, 53, 159–165. [Google Scholar]
- Lago, F.R.; Gonçalves, J.P.; Dweck, J.; Da Cunha, A.L.C. Evaluation of influence of salt in the cement hydration to oil wells. Mater. Res. 2017, 20, 743–747. [Google Scholar] [CrossRef]
- Mo, L.; Zhang, F.; Deng, M. Mechanical performance and microstructure of the calcium carbonate binders produced by carbonating steel slag paste under CO2 curing. Cem. Concr. Res. 2016, 88, 217–226. [Google Scholar] [CrossRef]
- Ren, H.; Chen, Z.; Wu, Y.; Yang, M.; Chen, J.; Hu, H.; Liu, J. Thermal characterization and kinetic analysis of nesquehonite, hydromagnesite, and brucite, using TG–DTG and DSC techniques. J. Therm. Anal. Calorim. 2014, 115, 1949–1960. [Google Scholar] [CrossRef]
- Jin, F.; Al-Tabbaa, A. Thermogravimetric study on the hydration of reactive magnesia and silica mixture at room temperature. Thermochim. Acta 2013, 566, 162–168. [Google Scholar] [CrossRef]
- Dung, N.T.; Lesimple, A.; Hay, R.; Celik, K.; Unluer, C. Formation of carbonate phases and their effect on the performance of reactive MgO cement formulations. Cem. Concr. Res. 2019, 125, 105894. [Google Scholar] [CrossRef]
- Soriano, L.; Tashima, M.M.; Bonilla, M.; Payá, J.; Monzó, J.; Borrachero, M.V. Use of high-resolution thermogravimetric analysis (HRTG) technique in spent FCC catalyst/Portland cement pastes. J. Therm. Anal. Calorim. 2015, 120, 1511–1517. [Google Scholar] [CrossRef]
- Castro-Gomes, J. Methematical Models for Assessing Hydration and Microstructure of Cement Pastes; University of Leeds: Leeds, UK, 1997. [Google Scholar]
- Bhagath Singh, G.V.P.; Sonat, C.; Yang, E.H.; Unluer, C. Performance of MgO and MgO–SiO2 systems containing seeds under different curing conditions. Cem. Concr. Compos. 2020, 108, 103543. [Google Scholar] [CrossRef]
- Abdel-Gawwad, H.A.; Hassan, H.S.; Vásquez-García, S.R.; Israde-Alcántara, I.; Ding, Y.C.; Martinez-Cinco, M.A.; Abd El-Aleem, S.; Khater, H.M.; Tawfik, T.A.; El-Kattan, I.M. Towards a clean environment: The potential application of eco-friendly magnesia-silicate cement in CO2 sequestration. J. Clean. Prod. 2020, 252, 119875. [Google Scholar] [CrossRef]
- Botha, A.; Strydom, C.A. DTA and FT-IR analysis of the rehydration of basic magnesium carbonate. J. Therm. Anal. Calorim. 2003, 71, 987–996. [Google Scholar] [CrossRef]
- Journal of Laws of the Republic of Poland Item 1277/1.09.2015. Available online: http://isap.sejm.gov.pl/isap.nsf/DocDetails.xsp?id=WDU20150001277 (accessed on 11 February 2021).
- Journal of Laws of the Republic of Poland Item 984 n˚. 137/2006 KM 1. Available online: http://isap.sejm.gov.pl/isap.nsf/download.xsp/WDU20061370984/O/D20060984.pdf (accessed on 11 February 2021).
- Journal of Laws of the Republic of Poland Item 1747/29.08.2019. Available online: https://isap.sejm.gov.pl/isap.nsf/download.xsp/WDU20190001747/O/D20191747.pdf (accessed on 11 February 2021).
- Journal of Laws of the Republic of Poland Item 2294/7.12.2017. Available online: http://isap.sejm.gov.pl/isap.nsf/DocDetails.xsp?id=WDU20170002294 (accessed on 10 February 2021).







| Oxide Composition (% wt.) and Physical Properties | Material | |||
|---|---|---|---|---|
| SSA | PC | r-MgO | EAFS | |
| Na2O | 0.8 | 0.5 | ||
| MgO | 3.6 | 2.1 | 87.2 | 4.1 |
| Al2O3 | 10.3 | 2.8 | 1.2 | 12.0 |
| SiO2 | 28.9 | 11.1 | 3.4 | 13.9 |
| P2O5 | 18.4 | |||
| SO3 | 1.7 | 3.5 | ||
| K2O | 2.0 | |||
| CaO | 14.9 | 78.0 | 4.4 | 34.2 |
| TiO2 | 1.2 | |||
| Cr2O3 | 2.7 | |||
| MnO | 4.0 | |||
| Fe2O3 | 17.2 | 2.6 | 3.3 | 29.1 |
| ZnO | 0.9 | |||
| Loss on ignition (%) | 2.5 | 11.2 | 2.7 | 0.9 |
| True density (g/cm3) | 2.9 | 3.0 | 3.5 | 3.8 |
| Powder appearance | ![]() | ![]() | ![]() | ![]() |
| Raw Material | SSA.P | SSA.M | SSA.E | ||||
|---|---|---|---|---|---|---|---|
| Mass (%) | Volume (%) | Mass (%) | Volume (%) | Mass (%) | Volume (%) | ||
| Reactive compound | PC | 10.0 | 9.0 | ||||
| r-MgO | 10.0 | 8.0 | |||||
| EAFS | 10.0 | 7.2 | |||||
| SSA | 16.9 | 16.0 | 17.7 | 17.0 | 18.1 | 17.5 | |
| RS | 73.1 | 75.0 | 72.3 | 75.0 | 71.9 | 75.0 | |
| w/s | 0.10 | 0.10 | 0.10 | ||||
| Mix Design | Mass | Bulk Density (g/cm3) | |
|---|---|---|---|
| Loss (%) | Before CC | After RC | |
| SSA.P | 4.5 | 2.01 | 1.92 |
| SSA.M | 4.9 | 2.04 | 1.94 |
| SSA.E | 6.8 | 2.05 | 1.92 |
| Metal | SSA | SSA.P | SSA.M | SSA.E |
|---|---|---|---|---|
| Antimony | 14 | <4 | <4 | <4 |
| Arsenic | 9.3 | 6.4 | 3.9 | 8.5 |
| Chromium | 446 | 50 | 101 | 507 |
| Zinc | 3532 | 670 | 511 | 723 |
| Cadmium | <8 | <8 | <8 | <8 |
| Copper | 668 | 115 | 84 | 127 |
| Nickel | 156 | <40 | <40 | 47 |
| Lead | 124 | <40 | <40 | <40 |
| Mercury | 0.371 | 0.257 | 0.314 | 0.442 |
| Selenium | <2 | <4 | <4 | <4 |
| Metal | SSA | SSA.P | SSA.M | SSA.E |
|---|---|---|---|---|
| Antimony | 0.042 | <0.02 | <0.02 | <0.02 |
| Arsenic | 0.037 | <0.02 | <0.02 | <0.02 |
| Chromium | <0.2 | <0.2 | <0.2 | <0.2 |
| Zinc | <0.08 | <0.08 | <0.08 | <0.08 |
| Cadmium | <0.04 | <0.04 | <0.04 | <0.04 |
| Copper | <0.06 | <0.06 | <0.06 | <0.06 |
| Nickel | <0.2 | <0.2 | <0.2 | <0.2 |
| Lead | <0.2 | <0.2 | <0.2 | <0.2 |
| Mercury | <0.0003 | <0.0004 | <0.0004 | <0.0004 |
| Selenium | 0.3 | <0.02 | <0.02 | <0.02 |
| Metal | SSA800 | SSA.P | SSA.M | SSA.E |
|---|---|---|---|---|
| Antimony | 3.02 | <5.03 | <5.06 | <5.01 |
| Arsenic | 4 | <3.14 | <5.19 | <2.36 |
| Chromium | <0.45 | <4.02 | <2.00 | <0.40 |
| Zinc | <0.02 | <0.12 | <0.16 | <0.11 |
| Cadmium | <5.03 | <5.03 | <5.06 | <5.01 |
| Copper | <0.09 | <0.52 | <0.72 | <0.47 |
| Nickel | <1.29 | <5.03 | <5.06 | <4.26 |
| Lead | <1.62 | <5.03 | <5.06 | <5.01 |
| Mercury | <0.81 | <1.57 | <1.29 | <0.91 |
| Selenium | 100 | <5.03 | <5.06 | <5.01 |
| Metal (Symbol) | Inert Waste [42] | Non-Inert Waste. Adapted from Ref. [42] | Hazardous Waste. Adapted from Ref. [42] | Waste Water. Adapted from Ref. [43] | Water Over Cat. A3. Adapted from Ref. [44] | Potable Water. Adapted from Ref. [45] |
|---|---|---|---|---|---|---|
| Sb | <0.06 | <0.7 | <5 | <0.3 | - | <0.005 |
| As | <0.5 | <2 | <25 | <0.1 | <0.05 | <0.01 |
| Cr | <0.5 | <10 | <70 | <0.5 | <0.05 | <0.05 |
| Zn | <4 | <50 | <200 | <2 | <5 | - |
| Cd | <0.04 | <1 | <5 | <0.2 | <0.005 | <0.005 |
| Cu | <2 | <50 | <100 | <0.5 | <0.5 | <2 |
| Ni | <0.4 | <10 | <40 | <0.5 | <0.2 | <0.02 |
| Pb | <0.5 | <10 | <50 | <0.5 | <0.05 | <0.01 |
| Hg | <0.01 | <0.2 | <2 | <0.03 | <0.001 | <0.001 |
| Se | <0.1 | <0.5 | <7 | <1 | <0.01 | <0.01 |
Publisher’s Note: MDPI stays neutral with regard to jurisdictional claims in published maps and institutional affiliations. |
© 2021 by the authors. Licensee MDPI, Basel, Switzerland. This article is an open access article distributed under the terms and conditions of the Creative Commons Attribution (CC BY) license (https://creativecommons.org/licenses/by/4.0/).
Share and Cite
Grünhäuser Soares, E.; Castro-Gomes, J.; Sitarz, M.; Zdeb, T.; Hager, I. The Immobilisation of Heavy Metals from Sewage Sludge Ash in CO2-Cured Mortars. Sustainability 2021, 13, 12893. https://doi.org/10.3390/su132212893
Grünhäuser Soares E, Castro-Gomes J, Sitarz M, Zdeb T, Hager I. The Immobilisation of Heavy Metals from Sewage Sludge Ash in CO2-Cured Mortars. Sustainability. 2021; 13(22):12893. https://doi.org/10.3390/su132212893
Chicago/Turabian StyleGrünhäuser Soares, Erick, João Castro-Gomes, Mateusz Sitarz, Tomasz Zdeb, and Izabela Hager. 2021. "The Immobilisation of Heavy Metals from Sewage Sludge Ash in CO2-Cured Mortars" Sustainability 13, no. 22: 12893. https://doi.org/10.3390/su132212893
APA StyleGrünhäuser Soares, E., Castro-Gomes, J., Sitarz, M., Zdeb, T., & Hager, I. (2021). The Immobilisation of Heavy Metals from Sewage Sludge Ash in CO2-Cured Mortars. Sustainability, 13(22), 12893. https://doi.org/10.3390/su132212893





