Determining the Factors Affecting the Boiling Heat Transfer Coefficient of Sintered Coated Porous Surfaces
Abstract
:1. Introduction
Aim and Motivation of the Study
2. Materials and Methods
2.1. Experimental Data Collection
2.2. Methodology
2.2.1. Bayesian Optimization (BO)
2.2.2. Gaussian Process Regression (GPR)
2.2.3. Gradient Boosting Regression Trees (GBRT)
2.2.4. Hyper-Parameters
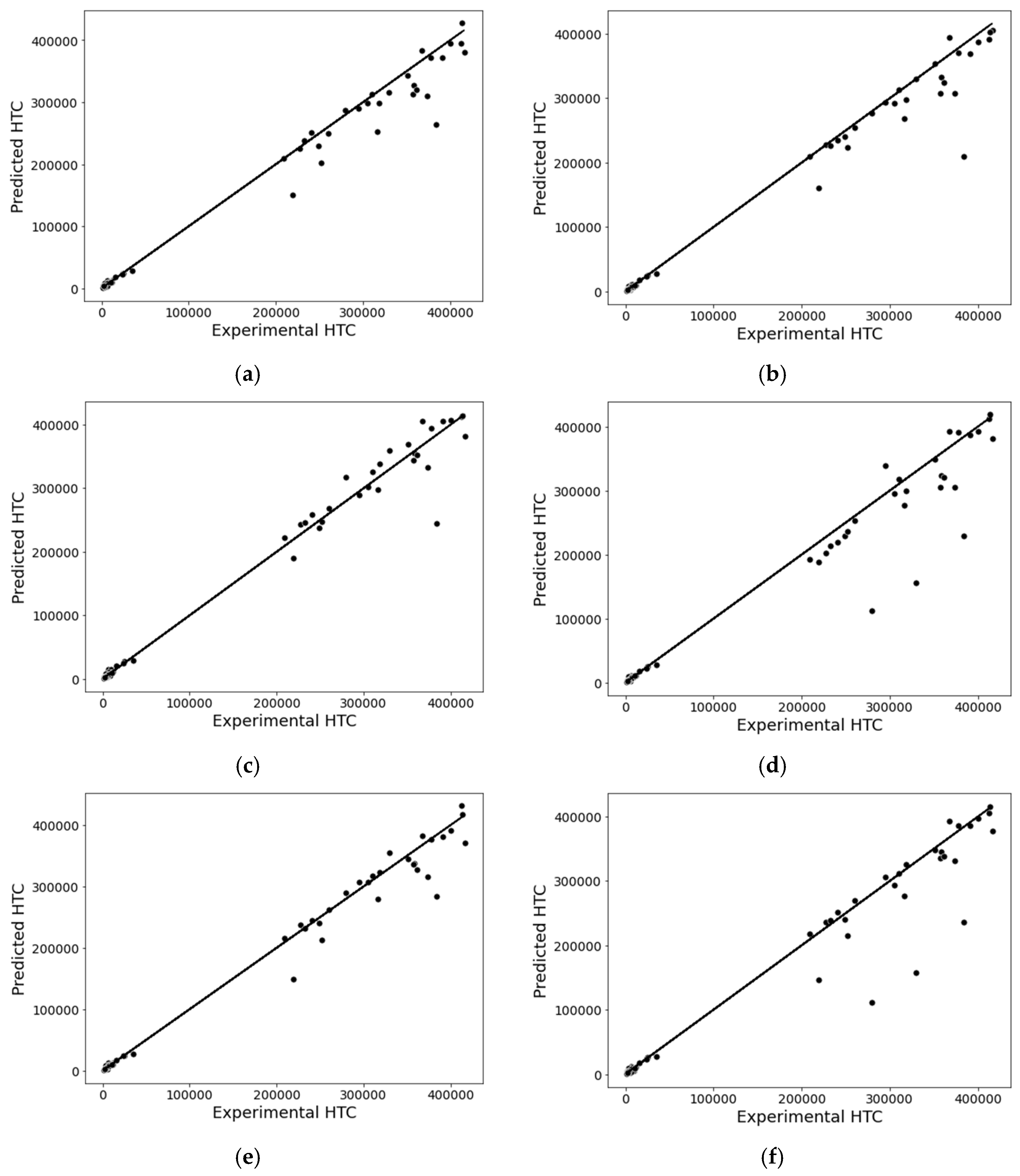
3. Results and Discussions
Factors Affecting the Boiling Heat Transfer Coefficient
4. Conclusions
- The model with all the surface morphological features, liquid thermophysical properties, and pool boiling testing parameters demonstrates the highest R2 = 0.985 for HTC prediction.
- The wall superheat is noted to have the maximum impact on the predictive accuracy of the boiling heat transfer coefficient. For example, if the wall superheat is dropped from the modeling parameters, the lowest prediction of R2 (0.893) is achieved.
- The surface morphological features show relatively less influence compared to the liquid thermophysical properties, e.g., liquid thermophysical properties are much more sensitive to the pool boiling phenomenon of sintered coated porous surfaces compared to the morphology of the heater surfaces.
- Particle diameter showed the strongest influence on the heat transfer coefficient compared to the rest of the morphological parameters.
- The BHTC is strongly influenced by the surface inclination angle of the heater surface.
- By dropping the surface inclination angle from the modeled parameters, R2 is reduced to 0.967.
- The proposed methodology can be applied to a wider range of data in order to determine the highly influential surface and liquid parameters for boiling heat transfer assessment.
Author Contributions
Funding
Institutional Review Board Statement
Informed Consent Statement
Data Availability Statement
Acknowledgments
Conflicts of Interest
References
- Sajjad, U.; Hussain, I.; Wang, C.-C. A high-fidelity approach to correlate the nucleate pool boiling data of roughened surfaces. Int. J. Multiph. Flow 2021, 142, 103719. [Google Scholar] [CrossRef]
- Sajjad, U.; Sadeghianjahromi, A.; Ali, H.M.; Wang, C.-C. Enhanced pool boiling of dielectric and highly wetting liquids-A review on surface engineering. Appl. Therm. Eng. 2021, 195, 117074. [Google Scholar] [CrossRef]
- Sajjad, U.; Sadeghianjahromi, A.; Ali, H.M.; Wang, C.-C. Enhanced pool boiling of dielectric and highly wetting liquids-a review on enhancement mechanisms. Int. Commun. Heat Mass Transf. 2020, 119, 104950. [Google Scholar] [CrossRef]
- Sajjad, U.; Sadeghianjahromi, A.; Wang, C.-C. Enhancing Boiling Heat Transfer for Electronics Cooling by Embedding an Array of Microgrooves into Sandblasted Surfaces. Heat Trans. Res. 2021, 52, 71–89. [Google Scholar] [CrossRef]
- Tran, N.; Sajjad, U.; Lin, R.; Wang, C.-C. Effects of surface inclination and type of surface roughness on the nucleate boiling heat transfer performance of HFE-7200 dielectric fluid. Int. J. Heat Mass Transf. 2020, 147, 119015. [Google Scholar] [CrossRef]
- Manetti, L.L.; Ribatski, G.; de Souza, R.R.; Cardoso, E.M. Pool boiling heat transfer of HFE-7100 on metal foams. Exp. Therm. Fluid Sci. 2020, 113, 110025. [Google Scholar] [CrossRef]
- Sajjad, U.; Wang, C.-C. Nucleate pool boiling of high flux sintered coated porous surfaces with dielectric liquid, HFE-7200. J. Enhanc. Heat Transf. 2020, 27, 767–784. [Google Scholar] [CrossRef]
- Pastuszko, R.; Wójcik, T.M. Experimental investigations and a simplified model for pool boiling on micro-fins with sintered perforated foil. Exp. Therm. Fluid Sci. 2015, 63, 34–44. [Google Scholar] [CrossRef]
- Halon, T.; Zajaczkowski, B.; Michaie, S.; Rulliere, R.; Bonjour, J. Enhanced tunneled surfaces for water pool boiling heat transfer under low pressure. Int. J. Heat Mass Transf. 2018, 116, 93–103. [Google Scholar] [CrossRef]
- Jaikumar, A.; Kandlikar, S.G. Enhanced pool boiling heat transfer mechanisms for selectively sintered open microchannels. Int. J. Heat Mass Transf. 2015, 88, 652–661. [Google Scholar] [CrossRef]
- Xu, Z.; Qu, Z.; Zhao, C.; Tao, W. Pool boiling heat transfer on open-celled metallic foam sintered surface under saturation condition. Int. J. Heat Mass Transf. 2011, 54, 3856–3867. [Google Scholar] [CrossRef]
- Jun, S.; Kim, J.; Son, D.; Kim, H.Y.; You, S.M. Enhancement of pool boiling heat transfer in water using sintered copper microporous coatings. Nucl. Eng. Technol. 2016, 48, 932–940. [Google Scholar] [CrossRef] [Green Version]
- Mo, D.-C.; Yang, S.; Luo, J.-L.; Wang, Y.-Q.; Lyu, S.-S. Enhanced pool boiling performance of a porous honeycomb copper surface with radial diameter gradient. Int. J. Heat Mass Transf. 2020, 157, 119867. [Google Scholar] [CrossRef]
- Pastuszko, R.; Kaniowski, R.; Wójcik, T.M. Comparison of pool boiling performance for plain micro-fins and micro-fins with a porous layer. Appl. Therm. Eng. 2020, 166, 114658. [Google Scholar] [CrossRef]
- Sajjad, U.; Hussain, I.; Hamid, K.; Bhat, S.A.; Ali, H.M.; Wang, C.-C. A deep learning method for estimating the boiling heat transfer coefficient of porous surfaces. J. Ther. Anal. Calorim. 2021, 145, 1911–1923. [Google Scholar] [CrossRef]
- Ahmad, S.W.; Lewis, J.S.; McGlen, R.J.; Karayiannis, T.G. Pool boiling on modified surfaces using R-123. Heat Transf. Eng. 2014, 35, 1491–1503. [Google Scholar] [CrossRef] [Green Version]
- Dąbek, L.; Kapjor, A.; Orman, Ł.J. Distilled water and ethyl alcohol boiling heat transfer on selected meshed surfaces. Mech. Ind. 2019, 20, 701. [Google Scholar] [CrossRef]
- Deng, D.; Wan, W.; Feng, J.; Huang, Q.; Qin, Y.; Xie, Y. Comparative experimental study on pool boiling performance of porous coating and solid structures with reentrant channels. Appl. Therm. Eng. 2016, 107, 420–430. [Google Scholar] [CrossRef]
- Dewangan, A.K.; Kumar, A.; Kumar, R. Experimental study of nucleate pool boiling of R-134a and R-410A on a porous surface. Heat Transf. Eng. 2019, 40, 1249–1258. [Google Scholar] [CrossRef]
- Gupta, S.K.; Misra, R.D. Development of micro/nanostructured-Cu-TiO2-nanocomposite surfaces to improve pool boiling heat transfer performance. Heat Mass Transf. 2020, 56, 2529–2544. [Google Scholar] [CrossRef]
- Hu, Y.; Zhang, S.; Li, X.; Wang, S. Heat transfer enhancement of subcooled pool boiling with self-rewetting fluid. Int. J. Heat Mass Transf. 2015, 83, 64–68. [Google Scholar] [CrossRef]
- Jun, S.; Kim, J.; You, S.M.; Kim, H.Y. Effect of subcooling on pool boiling of water from sintered copper microporous coating at different orientations. Sci. Technol. Nucl. Install. 2018, 2018, 8623985. [Google Scholar] [CrossRef] [Green Version]
- Li, C.; Peterson, G. Evaporation/Boiling in Thin Capillary Wicks (II)—Effects of Volumetric Porosity and Mesh Size. ASME J. Heat Transfer. 2006, 128, 1320–1328. [Google Scholar] [CrossRef]
- Li, C.; Peterson, G. Parametric Study of Pool Boiling on Horizontal Highly Conductive Microporous Coated Surfaces. ASME J. Heat Transfer. 2007, 129, 1465–1475. [Google Scholar] [CrossRef]
- Liu, F. A Study of Sintered Copper Porous Surfaces for Pool Boiling Enhancement. Rochester Institute of Technology. ProQuest Dissertations Publishing, 2016; p. 10248320. Available online: https://www.proquest.com/openview/aa59d1b109e23f558dc5d16aeee8f927/1?pq-origsite=gscholar&cbl=18750 (accessed on 27 September 2021).
- McHale, J.P.; Garimella, S.V.; Fisher, T.S.; Powell, G.A. Pool boiling performance comparison of smooth and sintered copper surfaces with and without carbon nanotubes. Nanoscale Microscale Thermophys. Eng. 2011, 15, 133–150. [Google Scholar] [CrossRef]
- Mori, S.; Aznam, S.M.; Okuyama, K. Enhancement of the critical heat flux in saturated pool boiling of water by nanoparticle-coating and a honeycomb porous plate. Int. J. Heat Mass Transf. 2015, 80, 1–6. [Google Scholar] [CrossRef]
- Nasersharifi, Y.; Kaviany, M.; Hwang, G. Pool-boiling enhancement using multilevel modulated wick. Appl. Therm. Eng. 2018, 137, 268–276. [Google Scholar] [CrossRef] [Green Version]
- Rahimian, A.; Kazeminejad, H.; Khalafi, H.; Akhavan, A.; Mirvakili, S.M. Boiling Heat Transfer and Critical Heat Flux Enhancement Using Electrophoretic Deposition of SiO2 Nanofluid. Sci. Technol. Nucl. Install. 2019, 2019, 1272156. [Google Scholar] [CrossRef]
- Rioux, R.P.; Nolan, E.C.; Li, C.H. A systematic study of pool boiling heat transfer on structured porous surfaces: From nanoscale through microscale to macroscale. AIP Adv. 2014, 4, 117133. [Google Scholar] [CrossRef]
- Sarangi, S.; Weibel, J.A.; Garimella, S.V. Effect of particle size on surface-coating enhancement of pool boiling heat transfer. Int. J. Heat Mass Transf. 2015, 81, 103–113. [Google Scholar] [CrossRef] [Green Version]
- Wen, M.-Y.; Ho, C.-Y.; Jang, K.-J. An optimal parametric design to improve pool boiling heat transfer of sintered surfaces. J. Eng. Technol. Res. 2012, 4, 49–56. [Google Scholar]
- Xu, H.; Dai, Y.; Cao, H.; Liu, J.; Zhang, L.; Xu, M.; Cao, J.; Xu, P.; Liu, J. Tubes with coated and sintered porous surface for highly efficient heat exchangers. Front. Chem. Sci. Eng. 2018, 12, 367–375. [Google Scholar] [CrossRef]
- Zhang, K.; Bai, L.; Lin, G.; Jin, H.; Wen, D. Experimental study on pool boiling in a porous artery structure. Appl. Therm. Eng. 2019, 149, 377–384. [Google Scholar] [CrossRef]
- Asfahan, H.M.; Sajjad, U.; Sultan, M.; Hussain, I.; Hamid, K.; Ali, M.; Wang, C.-C.; Shamshiri, R.R.; Khan, M.U. Artificial intelligence for the prediction of the thermal performance of evaporative cooling systems. Energies 2021, 14, 3946. [Google Scholar] [CrossRef]
- Hamid, K.; Sajjad, U.; Yang, K.S.; Wu, S.-K.; Wang, C.-C. Assessment of an energy efficient closed loop heat pump dryer for high moisture contents materials: An experimental investigation and AI based modelling. Energy 2022, 238, 121819. [Google Scholar] [CrossRef]
- Chang, J.Y.; You, S.M. Boiling heat transfer phenomena from microporous and porous surfaces in saturated FC-72. Int. J. Heat Mass Transf. 1997, 40, 4437–4447. [Google Scholar] [CrossRef]
- Jakob, M. Heat Transfer; John Wiley & Sons: New York, NY, USA, 1949. [Google Scholar]
- Pioro, I.L.; Rohsenow, W.; Doerffer, S.S. Nucleate pool-boiling heat transfer. I: Review of parametric effects of boiling surface. Int. J. Heat Mass Transf. 2004, 47, 5033–5044. [Google Scholar] [CrossRef]
- Berenson, P.J. Experiments on pool-boiling heat transfer. Int. J. Heat Mass Transf. 1962, 5, 985–999. [Google Scholar] [CrossRef]













| Parameter | Value | Unit |
|---|---|---|
| Wall Superheat | 0.5–38 | K |
| HTC | 0.45–476 | kW m−2 K−1 |
| Heat Flux | 0.3–18088 | kW m−2 |
| Surface Inclination | 0–180 | ° |
| Saturation Temperature | 56–100 | °C |
| Liquid Density | 997–1680 | Kg m−3 |
| Heat of Vaporization | 88–2257 | kJ kg−1 |
| Specific Heat | 1100–4180 | J Kg−1 K−1 |
| Surface Tension | 10–72 | m Nm−1 |
| Thermal Conductivity of the Working Fluid | 0.057–0.608 | W m−1 K−1 |
| Porosity | 39–65 | % |
| Particle Diameter | 11.2–1000 | µm |
| Coating Thickness | 250–590 | µm |
| Hyper-Parameter | Range |
|---|---|
| Learning rate | 0.0001 to 0.1 |
| Adam decay | 0.000001 to 0.01 |
| Input nodes | 1 to 12 |
| Dense layers | 1 to 10 |
| Dense nodes | 1 to 500 |
| Batch size | 1 to 100 |
| Activation function | ReLU, Sigmoid, tanh |
| Bayesian Optimization Method | Gradient Boosting Regression Trees | Gaussian Process |
|---|---|---|
| Learning rate | 0.00787965 | 0.004673739 |
| No. of hidden layers | 6 | 6 |
| No. of neurons in input layer | 12 | 12 |
| No. of neurons in each hidden layer | 467 | 489 |
| Activation function | ReLU | ReLU |
| Batch size | 19 | 3 |
| Adam decay | 0.0048345 | 0.000001 |
| No. of neurons in output layer | 1 | 1 |
| Correlation coefficient (R2) | 98.48 | 98.48 |
| Model | Input Parameters | R2 | AARD |
|---|---|---|---|
| Original model with all features | porosity coating thickness particle diameter surface roughness liquid density specific heat latent heat of vaporization surface tension boiling point liquid thermal conductivity surface inclination wall superheat | 0.9855 | 17.127 |
| Porosity dropped | coating thickness particle diameter surface roughness liquid density specific heat latent heat of vaporization surface tension boiling point liquid thermal conductivity surface inclination wall superheat | 0.975 | 16.301 |
| Coating thickness dropped | porosity particle diameter surface roughness liquid density specific heat latent heat of vaporization surface tension boiling point liquid thermal conductivity surface inclination wall superheat | 0.983 | 19.25 |
| Particle diameter dropped | porosity coating thickness surface roughness liquid density specific heat latent heat of vaporization surface tension boiling point liquid thermal conductivity surface inclination wall superheat | 0.948 | 19.41 |
| Surface roughness dropped | porosity coating thickness particle diameter liquid density specific heat latent heat of vaporization surface tension boiling point liquid thermal conductivity surface inclination wall superheat | 0.981 | 22.088 |
| All surface features dropped | liquid density specific heat latent heat of vaporization surface tension boiling point liquid thermal conductivity surface inclination wall superheat | 0.951 | 25.541 |
| Liquid density dropped | porosity coating thickness particle diameter surface roughness specific heat latent heat of vaporization surface tension boiling point liquid thermal conductivity surface inclination wall superheat | 0.969 | 15.678 |
| Specific heat dropped | porosity coating thickness particle diameter surface roughness liquid density latent heat of vaporization surface tension boiling point liquid thermal conductivity surface inclination wall superheat | 0.984 | 15.981 |
| Heat of vaporization dropped | porosity coating thickness particle diameter surface roughness liquid density specific heat surface tension boiling point liquid thermal conductivity surface inclination wall superheat | 0.967 | 18.039 |
| Surface tension dropped | porosity coating thickness particle diameter surface roughness liquid density specific heat latent heat of vaporization boiling point liquid thermal conductivity surface inclination wall superheat | 0.979 | 16.932 |
| Boiling point dropped | porosity coating thickness particle diameter surface roughness liquid density specific heat latent heat of vaporization surface tension liquid thermal conductivity surface inclination wall superheat | 0.966 | 18.643 |
| liquid thermal conductivity dropped | porosity coating thickness particle diameter surface roughness liquid density specific heat latent heat of vaporization surface tension boiling point surface inclination wall superheat | 0.981 | 17.019 |
| All liquid features dropped | porosity coating thickness particle diameter surface roughness surface inclination wall superheat | 0.94 | 35.6 |
| Surface inclination dropped | porosity coating thickness particle diameter surface roughness liquid density specific heat latent heat of vaporization surface tension boiling point liquid thermal conductivity wall superheat | 0.967 | 20.408 |
| Wall superheat dropped | porosity coating thickness particle diameter surface roughness liquid density specific heat latent heat of vaporization surface tension boiling point liquid thermal conductivity surface inclination | 0.893 | 30.079 |
Publisher’s Note: MDPI stays neutral with regard to jurisdictional claims in published maps and institutional affiliations. |
© 2021 by the authors. Licensee MDPI, Basel, Switzerland. This article is an open access article distributed under the terms and conditions of the Creative Commons Attribution (CC BY) license (https://creativecommons.org/licenses/by/4.0/).
Share and Cite
Sajjad, U.; Hussain, I.; Sultan, M.; Mehdi, S.; Wang, C.-C.; Rasool, K.; Saleh, S.M.; Elnaggar, A.Y.; Hussein, E.E. Determining the Factors Affecting the Boiling Heat Transfer Coefficient of Sintered Coated Porous Surfaces. Sustainability 2021, 13, 12631. https://doi.org/10.3390/su132212631
Sajjad U, Hussain I, Sultan M, Mehdi S, Wang C-C, Rasool K, Saleh SM, Elnaggar AY, Hussein EE. Determining the Factors Affecting the Boiling Heat Transfer Coefficient of Sintered Coated Porous Surfaces. Sustainability. 2021; 13(22):12631. https://doi.org/10.3390/su132212631
Chicago/Turabian StyleSajjad, Uzair, Imtiyaz Hussain, Muhammad Sultan, Sadaf Mehdi, Chi-Chuan Wang, Kashif Rasool, Sayed M. Saleh, Ashraf Y. Elnaggar, and Enas E. Hussein. 2021. "Determining the Factors Affecting the Boiling Heat Transfer Coefficient of Sintered Coated Porous Surfaces" Sustainability 13, no. 22: 12631. https://doi.org/10.3390/su132212631
APA StyleSajjad, U., Hussain, I., Sultan, M., Mehdi, S., Wang, C.-C., Rasool, K., Saleh, S. M., Elnaggar, A. Y., & Hussein, E. E. (2021). Determining the Factors Affecting the Boiling Heat Transfer Coefficient of Sintered Coated Porous Surfaces. Sustainability, 13(22), 12631. https://doi.org/10.3390/su132212631

