Varieties Matter When Planning for Poverty Alleviation and Ecological Restoration in Karst Fruit Cultivation Areas
Abstract
:1. Introduction
2. Materials and Methods
2.1. Research Area and Fruit Production Modes
2.2. Geospatial Data
2.3. Ecosystem Service Data
2.4. Scenario Setting
3. Results
3.1. Temperature, Rainfall, Slope, Soil Erosion, and Land-Use Patterns
3.2. Change in Planting Area under Different Scenarios
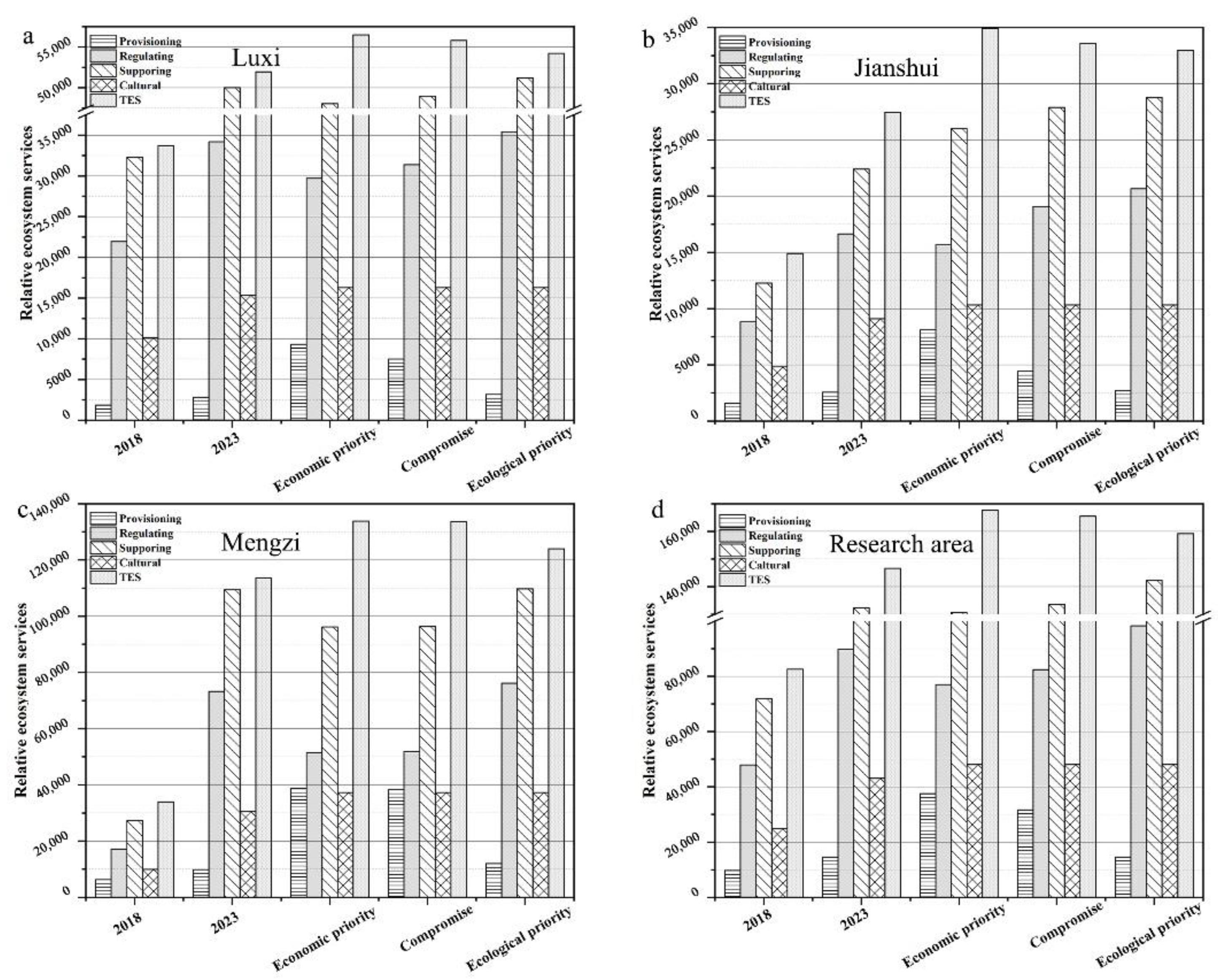
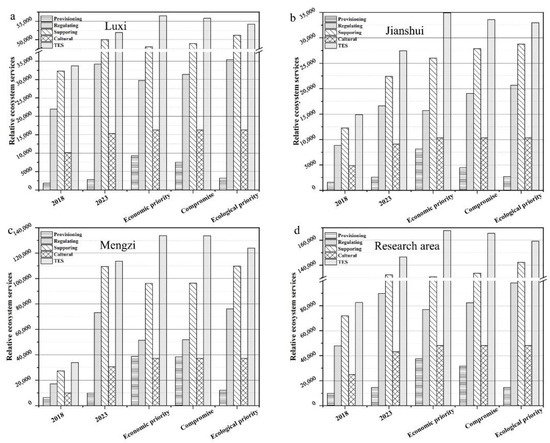
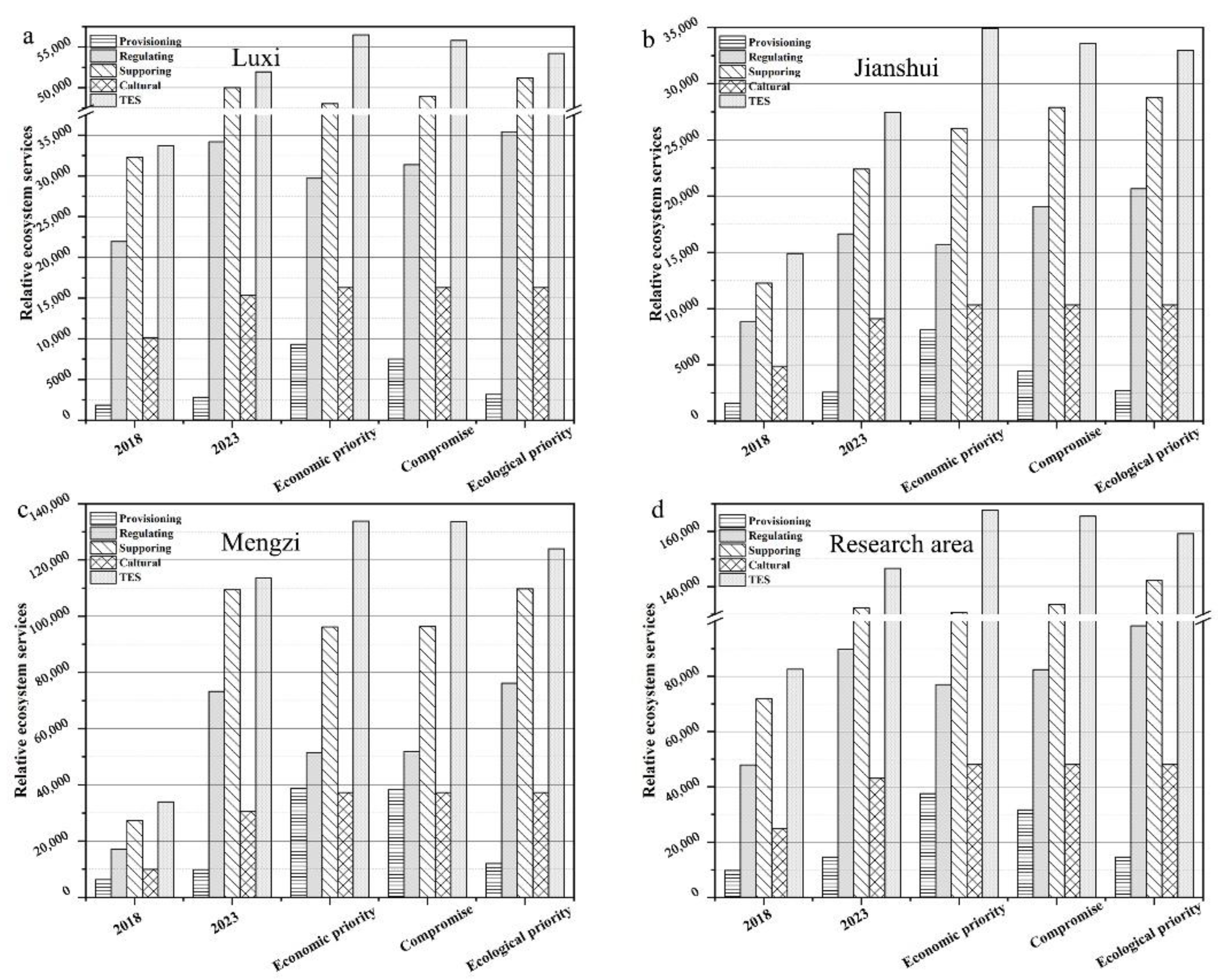
3.3. Changes in Ecosystem Service Provision
4. Discussion
5. Conclusions
Author Contributions
Funding
Institutional Review Board Statement
Informed Consent Statement
Data Availability Statement
Conflicts of Interest
Appendix A
| Site | AT (°C) | RH | AAP (mm) | AAE (mm) | AAS (h) | 0 cm GT (°C) |
|---|---|---|---|---|---|---|
| Jianshui | 19.4 | 75% | 1045.5 | \\\\\\ | 2047.9 | 19.2 |
| Luxi | 16.0 | 78% | 1028.1 | 1088.0 | 1951.1 | 22.6 |
| Mengzi | 19.0 | 76% | 848.2 | 1377.1 | 2228.3 | 22.3 |
| Type | Pre-Investment | Harvest Period | Irrigation (Yuan/ha/Year) | Pesticide (Yuan/ha/Year) | Fertilizer (Yuan/ha/Year) | CWR (mm/Year) |
|---|---|---|---|---|---|---|
| Marigold | Almost no | August and September | \\\\\\ | \\\\\\ | 1846.66 | 431.6 [40] |
| Orange | The first two years require some fertilizer and labor input each year | January to April | \\\\\\ | 13,500 | 18,000 | 1187 [41] |
| Pear | The first three years require some fertilizer and labor input each year | July to November | 500 | 3333.33 | 13,800 | 657.4 [42] |
| Peach | The first three years require some fertilizer and labor input each year | July to November | \\\\\\ | 768.75 | 3600 | 788.6 [43] |
| Apple | The first three years require some fertilizer and labor input each year | July to November | \\\\\\ | 4804 | 15,250 | 666.8 [42] |
| Pomegranate | The first four years require some input in fertilizer and labor each year | July to November | 250 | 12,500 | 40,083 | 867.0 [44] |
| Type | Function | Evaluation Method | Formula |
|---|---|---|---|
| Provisioning services | Provide fruit/flowers | Market price method | Yield of fruit/flowers (kg) × Market price (yuan/kg) |
| Regulating services | Reduce topsoil loss | Opportunity cost method | The area of equivalent reserved land (ha)× Normal income per unit area (yuan/yuan) |
| Soil fertility maintenance | Shadow price method | The amount of nutrient loss (kg)× Market price of fertilizer (yuan/kg) | |
| photosynthetic carbon fixation | Shadow price method | The fixed amount of carbon dioxide (kg) × carbon tax (yuan) | |
| Supporting services | Photosynthetic oxygen release | Shadow price method | The amount of oxygen released (m3) × Unit cost of industrial oxygen production (yuan/m3) |
| Nutrient retention | Shadow price method | Equivalent retention of N, P and K fertilizer (kg) × Market price of fertilizer (yuan/kg) | |
| Cultural services | Education | Replacement cost method | Estimate the replacement cost according to the equivalent education level of training |
| Marigold | Orange | Pear | Peach | Apple | Pomegranate | |
|---|---|---|---|---|---|---|
| Provisioning | 0.052 | 0.025 | 0.144 | 0.038 | 0.169 | 0.955 |
| Regulating | 0.263 | 0.701 | 0.744 | 0.990 | 0.744 | 0.572 |
| Supporting | 0.174 | 0.516 | 0.519 | 0.926 | 0.971 | 0.763 |
| Culture | 0.504 | 0.607 | 0.607 | 0.607 | 0.814 | 0.814 |
| Luxi | Soil Erosion | Slope (°) | Temperature (°C) | Precipitation (mm) | Area (ha) |
|---|---|---|---|---|---|
| Other farmland | Slight | <6 | 15–20 | 1000–1250 | 9598.23 |
| 6–15 | 15–20 | 1000–1250 | 4767.75 | ||
| 15–25 | 15–20 | 1000–1250 | 239.58 | ||
| Mild | <6 | 15–20 | 1000–1250 | 2906.37 | |
| 6–15 | 15–20 | 1000–1250 | 1805.04 | ||
| 15–25 | 15–20 | 1000–1250 | 116.01 | ||
| Moderate | <6 | 15–20 | 1000–1250 | 1130.4 | |
| 6–15 | 15–20 | 1000–1250 | 799.29 | ||
| Bare farmland | Slight | <6 | 15–20 | 1000–1250 | 762.75 |
| 6–15 | 15–20 | 1000–1250 | 544.14 | ||
| Mild | <6 | 15–20 | 1000–1250 | 728.91 | |
| 6–15 | 15–20 | 1000–1250 | 504.9 | ||
| Moderate | <6 | 15–20 | 1000–1250 | 132.3 | |
| 6–15 | 15–20 | 1000–1250 | 122.58 |
| Jianshui | Soil Erosion | Slop (°) | Temperature (°C) | Precipitation (mm) | Area (ha) |
|---|---|---|---|---|---|
| Other farmland | slight | <6 | <15 | 750–1000 | 95.85 |
| 15–20 | 750–1000 | 10,837.98 | |||
| 1000–1250 | 374.4 | ||||
| 6–15 | <15 | 750–1000 | 99.63 | ||
| 15–20 | 750–1000 | 2210.13 | |||
| 1000–1250 | 346.95 | ||||
| 15–25 | 15–20 | 750–1000 | 194.49 | ||
| 1000–1250 | 155.79 | ||||
| >25 | 15–20 | 1000–1250 | 94.23 | ||
| Mild | <6 | 15–20 | 750–1000 | 1941.39 | |
| 1000–1250 | 487.89 | ||||
| 6–15 | 15–20 | 750–1000 | 1039.23 | ||
| 1000–1250 | 466.65 | ||||
| 15–25 | 15–20 | 750–1000 | 97.38 | ||
| 1000–1250 | 142.11 | ||||
| Moderate | <6 | 15–20 | 750–1000 | 942.84 | |
| 1000–1250 | 179.55 | ||||
| 6–15 | 15–20 | 750–1000 | 651.24 | ||
| 1000–1250 | 127.8 | ||||
| 15–25 | 15–20 | 750–1000 | 175.68 | ||
| Intensity | <6 | 15–20 | 750–1000 | 463.95 | |
| 6–15 | 15–20 | 750–1000 | 227.52 | ||
| Bare farmland | Slight | <6 | 15–20 | 750–1000 | 974.97 |
| 1000–1250 | 268.74 | ||||
| 6–15 | 15–20 | 750–1000 | 352.35 | ||
| 1000–1250 | 295.11 | ||||
| 15–25 | 15–20 | 1000–1250 | 135.09 | ||
| Mild | <6 | 15–20 | 750–1000 | 836.37 | |
| 1000–1250 | 683.91 | ||||
| 6–15 | 15–20 | 750–1000 | 481.32 | ||
| 1000–1250 | 688.86 | ||||
| 15–25 | 15–20 | 1000–1250 | 162.54 | ||
| Moderate | <6 | 15–20 | 750–1000 | 480.78 | |
| 1000–1250 | 295.11 | ||||
| 6–15 | 15–20 | 750–1000 | 290.88 | ||
| 1000–1250 | 274.86 | ||||
| Intensity | <6 | 15–20 | 750–1000 | 186.66 |
| Mengzi | Soil Erosion | Slop (°) | Temperature (°C) | Precipitation (mm) | Area (ha) |
|---|---|---|---|---|---|
| Other farmland | Micro | <6 | 15–20 | 750–1000 | 1602.63 |
| 1000–1250 | 7424.19 | ||||
| 6–15 | 15–20 | 750–1000 | 199.71 | ||
| 1000–1250 | 1145.61 | ||||
| 15–25 | 15–20 | 1000–1250 | 146.52 | ||
| Mild | <6 | 15–20 | 1000–1250 | 402.66 | |
| 6–15 | 15–20 | 1000–1250 | 391.05 | ||
| Moderate | <6 | 15–20 | 1000–1250 | 200.79 | |
| 6–15 | 15–20 | 1000–1250 | 192.60 | ||
| Bare farmland | Micro | <6 | 15–20 | 750–1000 | 465.12 |
| 1000–1250 | 2144.88 | ||||
| 6–15 | 15–20 | 1000–1250 | 502.11 | ||
| Mild | <6 | 15–20 | 1000–1250 | 295.65 | |
| 6–15 | 15–20 | 1000–1250 | 236.88 | ||
| Moderate | <6 | 15–20 | 1000–1250 | 95.94 |
| Type | AP (mg/kg) | TP (g/kg) | AN (mg/kg) | TN (g/kg) | AK (mg/kg) | TK (g/kg) | OM (g/kg) |
|---|---|---|---|---|---|---|---|
| Marigold | 28.49 ± 10.60 | 0.82 ± 0.10 | 215.73 ± 47.01 | 1.67 ± 0.35 | 36.15 ± 14.19 | 0.20 ± 0.17 | 28.22 ± 4.291 |
| Orange | 36.76 ± 6.09 | 0.64 ± 0.03 | 140 ± 17.72 | 1.44 ± 0.28 | 35.1 ± 1.66 | 2.53 ± 0.47 | 27.12 ± 3.19 |
| Peach | 43.49 ± 10.575 | 1.06 ± 0.07 | 108.96 ± 25.00 | 1.21 ± 0.22 | 62.85 ± 11.39 | 8.97 ± 0.77 | 24.09 ± 4.75 |
| Pear | 158.11 ± 68.59 | 0.98 ± 0.17 | 132.08 ± 43.80 | 0.94 ± 0.11 | 27.64 ± 9.99 | 3.95 ± 0.10 | 16.37 ± 3.14 |
| Apple | 143.55 ± 71.72 | 1.87 ± 0.45 | 203.4 ± 15.06 | 2.23 ± 0.48 | 58.03 ± 1.41 | 7.95 ± 1.88 | 33.49 ± 2.98 |
| Pomegranate | 43.65 ± 26.64 | 0.37 ± 0.13 | 614.15 ± 68.76 | 1.31 ± 0.18 | 65.51 ± 11.32 | 0.47 ± 0.20 | 12.09 ± 1.52 |
| Total | ||||
|---|---|---|---|---|
| Irrigation (Million Yuan) | Pesticide (Million Yuan) | Fertilizer (Million Yuan) | Water (Million m3) | |
| 2016 | 6.63 | 195.61 | 569.15 | 256.48 |
| 2017 | 6.81 | 206.20 | 594.55 | 272.96 |
| 2018 | 7.22 | 230.47 | 642.59 | 293.41 |
| 2023 | 9.13 | 415.00 | 1041.96 | 549.62 |
| Economic priority | 14.46 | 595.06 | 1809.22 | 540.95 |
| Compromise | 12.58 | 537.42 | 1623.25 | 525.96 |
| Ecological priority | 7.16 | 370.33 | 1084.07 | 482.49 |
| Luxi | Jianshui | Mengzi | ||||||||||
|---|---|---|---|---|---|---|---|---|---|---|---|---|
| Irrigation | Pesticide | Fertilizer | Water | Irrigation | Pesticide | Fertilizer | Water | Irrigation | Pesticide | Fertilizer | Water | |
| 2016 | 4.43 | 37.50 | 154.06 | 99.69 | 0.65 | 65.13 | 122.21 | 60.93 | 1.55 | 92.98 | 292.89 | 95.86 |
| 2017 | 4.60 | 40.26 | 163.45 | 104.26 | 0.70 | 73.00 | 138.25 | 67.09 | 1.52 | 92.94 | 292.84 | 101.61 |
| 2018 | 4.80 | 43.35 | 174.62 | 111.17 | 0.68 | 85.65 | 154.70 | 78.33 | 1.75 | 101.47 | 313.27 | 103.91 |
| 2023 | 5.85 | 68.63 | 263.46 | 164.09 | 0.84 | 176.34 | 295.52 | 155.90 | 2.44 | 170.03 | 482.98 | 229.63 |
| Economic priority | 6.76 | 141.53 | 488.57 | 177.20 | 2.33 | 171.04 | 428.10 | 137.00 | 5.37 | 282.48 | 892.55 | 226.75 |
| Compromise | 6.19 | 123.83 | 431.44 | 172.59 | 1.16 | 134.88 | 311.41 | 127.60 | 5.24 | 278.72 | 880.40 | 225.77 |
| Ecological priority | 4.80 | 81.09 | 293.52 | 161.47 | 0.61 | 118.20 | 257.61 | 123.26 | 1.75 | 171.04 | 532.94 | 197.76 |
References
- Yao, L.S. The formation mechanism and model of faulted karst basins in Yunan province. Carsologica Sin. 1984, 2, 48. (In Chinese) [Google Scholar]
- Wang, S.J.; Zhang, X.B.; Bai, X.Y. Discussion on nomenclature of the karst desertification regions and illustration for their environment characteristics in southwest China. J. Mt. Sci. 2013, 31, 18–24. (In Chinese) [Google Scholar] [CrossRef]
- Wang, Y.; Zhang, G. The Rocky Desertification of Karst Tableland and Countermeasures in East of Yunan. In Study on Karst Groundwater and Rocky Desertification in China; Guangxi Science and Technology Press: Nanning, China, 2003. [Google Scholar]
- Liu, B.; Xie, Y.; Li, Z.; Liang, Y.; Zhang, W.; Fu, S.; Yin, S.; Wei, X.; Zhang, K.; Wang, Z.; et al. The assessment of soil loss by water erosion in China. Int. Soil Water Conserv. Res. 2020, 8, 430–439. [Google Scholar] [CrossRef]
- Cao, S.S.; Wang, Y.H.; Duan, F.Z.; Zhao, W.J.; Wang, Z.H.; Fang, N. Coupling between ecological vulnerability and economic poverty in contiguous destitute areas, China: Empirical analysis of 714 poverty-stricken counties. Chin. J. Appl. Ecol. 2016, 27, 2614–2622. [Google Scholar] [CrossRef]
- Wang, Y.; Zhang, G. On the desertification and genesis of karst stone mountain area in east Yunnan. Adv. Earth Sci. 2003, 18, 933–938. (In Chinese) [Google Scholar]
- Cheng, H.D.; Yin, X.F. Study on innovation of precise poverty alleviation model in agricultural universities. J. Huazhong Agric. Univ. 2018, 2, 72–78. (In Chinese) [Google Scholar] [CrossRef]
- Lan, H.Q.; Deng, X.X. Industrial Poverty Alleviation Mode Supported by research Team of Pomology Discipline—Based on the Cases by Citrus Team of Huazhong Agricultural University. J. Agric. Sci. Technol. 2019, 21, 1–7. (In Chinese) [Google Scholar]
- Wu, J.Q.; He, H.Y.; Su, N.; Deng, R.L. The spatial pattern of fruit industry and its logistics network design in Yunnan province. Econ. Geogr. 2019, 39, 135–142. (In Chinese) [Google Scholar] [CrossRef]
- Rocky Desertification Bulletin 2016; National Forestry and Grassland Administration of China: Beijing, China, 2016.
- Wu, T.; Wang, Y.; Yu, C.J.; Chiarawipa, R.; Zhang, X.Z.; Han, Z.H.; Wu, L.H. Carbon Sequestration by Fruit Trees—Chinese Apple Orchards as an Example. PLoS ONE 2012, 7, e38883. [Google Scholar] [CrossRef]
- Deng, L.; Shangguan, Z.P. Afforestation Drives Soil Carbon and Nitrogen Changes in China. Land Degrad. Dev. 2016, 28, 151–165. [Google Scholar] [CrossRef]
- Lang, Y.Q.; Song, W.; Deng, X.Z. Projected land use changes impacts on water yields in the karst mountain areas of China. Phys. Chem. Earth 2017, 104, 66–75. [Google Scholar] [CrossRef]
- Baumgartner, J.; Bieri, M. Fruit tree ecosystem service provision and enhancement. Ecol. Eng. 2006, 27, 118–123. [Google Scholar] [CrossRef]
- Sherrouse, B.C.; Semmens, D.J.; Ancona, Z.H.; Brunner, N.M. Analyzing land-use change scenarios for trade-offs among cultural ecosystem services in the Southern Rocky Mountains. Ecosyst. Serv. 2017, 26, 431–444. [Google Scholar] [CrossRef]
- Pang, D.; Wang, G.; Li, G.; Sun, Y.; Liu, Y.; Zhou, J. Ecological Stoichiometric Characteristics of Two Typical Plantations in the Karst Ecosystem of Southwestern China. Forests 2018, 9, 56. [Google Scholar] [CrossRef]
- Lu, H.F.; Cai, C.J.; Zeng, X.S.; Campbell, D.E.; Fan, S.H.; Liu, G.L. Bamboo vs. crops: An integrated emergy and economic evaluation of using bamboo to replace crops in south Sichuan Province, China. J. Clean. Prod. 2018, 177, 464–473. [Google Scholar] [CrossRef] [PubMed]
- Zou, Z.G.; Zeng, F.P.; Wang, K.L.; Zeng, Z.X.; Zhao, L.L.; Du, H.; Zhang, F.; Zhang, H. Emergy and Economic Evaluation of Seven Typical Agroforestry Planting Patterns in the Karst Region of Southwest China. Forests 2019, 10, 138. [Google Scholar] [CrossRef]
- Zhao, L.L.; Chen, J.S.; Cheng, Y.F.; Zhu, S.R.; Zhou, H.J.; Tang, F.L.; Lan, F.L. Analysis on the characteristics and influencing factors of rocky desertification evolution in Honghe Prefecture, Yunnan province. Soil Water Con. Chin. 2019, 7, 40–44. (In Chinese) [Google Scholar] [CrossRef]
- Zou, Z.G.; Zeng, F.P.; Wang, K.L.; Zeng, Z.X.; Tang, H.; Zhang, H. Evaluation and Tradeoff Analysis of Ecosystem Service for Typical Land-Use Patterns in the Karst Region of Southwest China. Forests 2020, 11, 451. [Google Scholar] [CrossRef]
- Li, C.C.; Gong, P.; Wang, J.; Zhu, Z.L.; Biging, G.S.; Yuan, C.; Hu, T.Y.; Zhang, H.Y.; Wang, Q.; Li, X.C.; et al. The first all-season sample set for mapping global land cover with Landsat-8 data. Sci. Bull. 2017, 62, 508–515. [Google Scholar] [CrossRef]
- Xu, S.T.; He, X.; Yang, P.W.; Bai, T.T.; Fan, H.C.; Yin, K.S.; Yang, B.M.; Zheng, S.J. Effect of climatic factors on the banana growth and its fruit quality at different altitudes. J. Yunnan Agric. Univ. (Nat. Sci.) 2020, 35, 102–107. (In Chinese) [Google Scholar]
- Goldstein, J.H.; Caldarone, G.; Duarte, T.K.; Ennaanay, D.; Hannahs, N.; Mendoza, G.; Polasky, S.; Wolny, S.; Daily, G.C. Integrating ecosystem-service tradeoffs into land-use decisions. Proc. Natl. Acad. Sci. USA 2012, 109, 7565–7570. [Google Scholar] [CrossRef] [PubMed]
- Yu, X.X.; Yang, G.S. The Advances and Problems of Land Use and Land Cover Change Research in China. Prog. Geogr. 2002, 1, 51–57. (In Chinese) [Google Scholar]
- Chen, H.; Shi, Y.Y.; Ke, X.L.; Hao, J.M.; Chen, A.Q. Spatial optimization of land use based on the objective of coordinated ecological protection and economic development in Zhengzhou City. Resour. Sci. 2019, 41, 717–728, (In Chinese, with English abstract). [Google Scholar] [CrossRef]
- Zhou, C.Y.; Chen, X.; Liu, X.L.; Zhao, W.Q.; Li, K.; Tang, J.G. Assessment of Karst Regional Ecosystem Service Functions Based on Land Use Change: A Case Study in Guizhou, China. Chin. J. Appl. Environ. Biol. 2011, 17, 174–179. [Google Scholar] [CrossRef]
- Padilla, F.M.; Vidal, B.; Sanchez, J.; Pugnaire, F.I. Land-use changes and carbon sequestration through the twentieth century in a Mediterranean mountain ecosystem: Implications for land management. J. Environ. Manag. 2010, 91, 2688–2695. [Google Scholar] [CrossRef] [PubMed]
- Jia, X.Q.; Fu, B.J.; Feng, X.M.; Hou, G.H.; Liu, Y.; Wang, X.F. The tradeoff and synergy between ecosystem services in the Grain-for-Green areas in Northern Shaanxi, China. Ecol. Indic. 2014, 43, 103–113. [Google Scholar] [CrossRef]
- Grafius, D.R.; Corstanje, R.; Warren, P.H.; Evans, K.L.; Hancock, S.; Harris, J.A. The impact of land use/land cover scale on modelling urban ecosystem services. Landsc. Ecol. 2016, 31, 1509–1522. [Google Scholar] [CrossRef]
- Kibria, A.; Costanza, R.; Groves, C.; Behie, A.M. The interactions between livelihood capitals and access of local communities to the forest provisioning services of the Sundarbans Mangrove Forest, Bangladesh. Ecosyst. Serv. 2018, 32, 41–49. [Google Scholar] [CrossRef]
- Law, E.A.; Bryan, B.A.; Meijaard, E.; Mallawaarachchi, T.; Struebig, M.; Wilson, K.A. Ecosystem services from a degraded peatland of Central Kalimantan: Implications for policy, planning, and management. Ecol. Appl. 2015, 25, 70–87. [Google Scholar] [CrossRef]
- Raudsepp-Hearne, C.; Peterson, G.D.; Bennett, E.M. Ecosystem service bundles for analyzing tradeoffs in diverse landscapes. Proc. Natl. Acad. Sci. USA 2010, 107, 5242–5247. [Google Scholar] [CrossRef]
- Demestihas, C.; Plenet, D.; Genard, M.; Raynal, C.; Lescourret, F. A simulation study of synergies and tradeoffs between multiple ecosystem services in apple orchards. J. Environ. Manag. 2019, 236, 1–16. [Google Scholar] [CrossRef]
- Herd-Hoare, S.; Shackleton, C. Ecosystem disservices matter when valuing ecosystem benefits from small-scale arable agriculture. Ecosyst. Serv. 2020, 46, 101201. [Google Scholar] [CrossRef]
- Nguyen, K.A.; Liou, Y.A. Global mapping of eco-environmental vulnerability from human and nature disturbances. Sci. Total Environ. 2019, 664, 995–1004. [Google Scholar] [CrossRef]
- Peng, D.; Wang, Y.; Xian, G.; Huete, A.R.; Huang, W.; Shen, M.; Wang, F.; Yu, L.; Liu, L.; Xie, Q.; et al. Investigation of land surface phenology detections in shrublands using multiple scale satellite data. Remote Sens. Environ. 2021, 252. [Google Scholar] [CrossRef]
- Zhang, M.; Wang, K.; Liu, H.; Zhang, C. Responses of spatial-temporal variation of Karst ecosystem service values to landscape pattern in northwest of Guangxi, China. Chin. Geogr. Sci. 2011, 21, 446–453. [Google Scholar] [CrossRef]
- SchÄCkermann, J.; Pufal, G.; Mandelik, Y.; Klein, A.-M. Agro-ecosystem services and dis-services in almond orchards are differentially influenced by the surrounding landscape. Ecol. Entomol. 2015, 40, 12–21. [Google Scholar] [CrossRef]
- Wei, L.; Zhou, J.; Yan, Z.; Chen, L.; Liu, H. Function of fruit trees in leisure agriculture Jiangsu. J. Agric. Sci. 2018, 34, 657–666. (In Chinese) [Google Scholar] [CrossRef]
- Fan, J.; Liu, Y.; Zhu, F. Study on growth habit and high quality and high yield cultivation technique of Chrysanthemum medicinalis in coastal beach of north Jiangsu province. Shanghai Agric. Sci. Technol. 2001, 6, 91–92. (In Chinese) [Google Scholar]
- Tan, H.; Zhou, L.; Tan, J.; Yang, S.; Lv, K.; Huang, J. Technologies of water and fertilizer management for high-quality and high-yield citrus in Guangxi. J. South. Agric. 2019, 6, 1290–1296. (In Chinese) [Google Scholar] [CrossRef]
- Zhang, S.; Xu, S.; Jia, Y.; Guo, X. Peach water consumption laws by drip irrigation in greenhouse. South-to-North Water Transf. Water Sci. Technol. 2005, 2, 38–40. (In Chinese) [Google Scholar] [CrossRef]
- Guo, D.; Qian, C.; Cheng, F. Comparative study on water requirement characteristics of different crops. Water Sav. Irrig. 2013, 6, 67–69. (In Chinese) [Google Scholar]
- Fang, Y. Water requirement test and preliminary draft of irrigation system for pomegranate. Water Sav. Irrig. 2001, 3, 16–17. (In Chinese) [Google Scholar]





| Scenarios | Description |
|---|---|
| Baseline scenario | Existing policies and regulations are not adjusted. No major technological advances occur for any of the planting modes. |
| Economic priority scenario | Planting structure strongly promotes higher economic output. All new planting areas and suitable areas obtained from reducing areas planted in other modes are planted with crops with high economic service value. |
| Compromise scenario | Planting structure is transformed to high modes of economic output while limiting ecological damage. Crops with high economic value are planted in areas where the risk of erosion is low. Areas where the risk of erosion is high are planted with crops of high ecological value. |
| Ecological priority scenario | Planting structure strongly promotes high ecological gains. All new planting areas and suitable areas obtained from reducing areas planted in other modes are planted with crops with high ecological service value. |
| Luxi | Marigold | Orange | Pear | Peach | Apple | Pomegranate | Total Area |
|---|---|---|---|---|---|---|---|
| 2016 | 1200.00 | 0.00 | 8860.00 | 3696.67 | 1066.67 | 0.00 | 14,823.33 |
| 2017 | 800.00 | 0.00 | 9193.33 | 3963.33 | 1366.67 | 0.00 | 15,323.33 |
| 2018 | 566.67 | 0.00 | 9593.33 | 4380.00 | 1666.67 | 0.00 | 16,206.67 |
| Rate of change | −0.31 | 0.04 | 0.09 | 0.25 | |||
| 2023 | 87.03 | 0.00 | 11,703.55 | 6697.04 | 5094.02 | 0.00 | 23,581.65 |
| Economic priority | 87.03 | 0.00 | 9593.33 | 4380.00 | 1666.67 | 7854.62 | 23,581.65 |
| Compromise | 87.03 | 0.00 | 9593.33 | 4380.00 | 3967.25 | 5554.04 | 23,581.65 |
| Ecological priority | 87.03 | 0.00 | 9593.33 | 4380.00 | 9521.29 | 0.00 | 23,581.65 |
| Jianshui | Marigold | Orange | Pear | Peach | Apple | Pomegranate | Total Area |
|---|---|---|---|---|---|---|---|
| 2016 | 0.00 | 3536.73 | 712.53 | 523.93 | 0.00 | 1168.27 | 5941.47 |
| 2017 | 0.00 | 3897.53 | 691.87 | 508.00 | 0.00 | 1414.93 | 6512.33 |
| 2018 | 0.00 | 4848.20 | 652.33 | 542.47 | 0.00 | 1408.93 | 7451.93 |
| Rate of change | 0.17 | −0.04 | 0.02 | 0.10 | 0.12 | ||
| 2023 | 0.00 | 10,764.80 | 523.44 | 595.17 | 0.00 | 2304.90 | 14,188.31 |
| Economic priority | 0.00 | 4848.20 | 523.44 | 542.47 | 0.00 | 8274.20 | 14,188.31 |
| Compromise | 0.00 | 4848.20 | 523.44 | 542.47 | 4698.90 | 3575.30 | 14,188.31 |
| Ecological priority | 0.00 | 4848.20 | 523.44 | 542.47 | 6865.27 | 1408.93 | 14,188.31 |
| Mengzi City | Marigold | Orange | Pear | Peach | Apple | Pomegranate | Total Area |
|---|---|---|---|---|---|---|---|
| 2016 | 1502.67 | 396.27 | 667.20 | 593.27 | 5001.40 | 4874.00 | 13,034.80 |
| 2017 | 1225.67 | 410.20 | 660.53 | 1469.53 | 5159.53 | 4742.87 | 13,668.33 |
| 2018 | 1031.00 | 686.20 | 649.20 | 1670.87 | 3690.73 | 5682.13 | 13,410.13 |
| Rate of change | −0.17 | 0.35 | −0.01 | 0.50 | −0.13 | 0.09 | |
| 2023 | 402.26 | 3122.82 | 606.32 | 12,688.14 | 1876.52 | 8566.31 | 27,262.37 |
| Economic priority | 402.26 | 686.20 | 649.20 | 1670.87 | 3690.73 | 20,163.11 | 27,262.37 |
| Compromise | 402.26 | 686.20 | 649.20 | 1670.87 | 4180.06 | 19,673.78 | 27,262.37 |
| Ecological priority | 402.26 | 686.20 | 649.20 | 1670.87 | 18,171.71 | 5682.13 | 27,262.37 |
| Site | Scenario | Provisioning | Regulating | Supporting | Cultural | TES |
|---|---|---|---|---|---|---|
| Luxi | 2023 | 0.04 | 0.07 | 0.06 | 0.04 | 0.06 |
| Economic | 2.46 | −0.07 | 0.02 | 0.10 | 0.15 | |
| Compromise | 1.79 | −0.02 | 0.04 | 0.10 | 0.14 | |
| Ecological | 0.17 | 0.11 | 0.09 | 0.10 | 0.11 | |
| Jianshui | 2023 | −0.15 | −0.01 | −0.04 | −0.01 | −0.03 |
| Economic | 1.69 | −0.07 | 0.11 | 0.13 | 0.23 | |
| Compromise | 0.47 | 0.13 | 0.19 | 0.13 | 0.18 | |
| Ecological | −0.10 | 0.23 | 0.23 | 0.13 | 0.16 | |
| Mengzi | 2023 | −0.28 | 0.11 | 0.08 | −0.08 | −0.03 |
| Economic | 0.58 | −0.10 | 0.02 | 0.06 | 0.10 | |
| Compromise | 0.55 | −0.08 | 0.02 | 0.06 | 0.10 | |
| Ecological | −0.32 | 0.21 | 0.12 | 0.06 | 0.04 | |
| Overall | 2023 | 0.50 | 0.87 | 0.84 | 0.73 | 0.78 |
| Economic | 2.87 | 0.61 | 0.82 | 0.93 | 1.03 | |
| Compromise | 2.26 | 0.72 | 0.86 | 0.93 | 1.00 | |
| Ecological | 0.50 | 1.05 | 0.98 | 0.93 | 0.93 |
Publisher’s Note: MDPI stays neutral with regard to jurisdictional claims in published maps and institutional affiliations. |
© 2021 by the authors. Licensee MDPI, Basel, Switzerland. This article is an open access article distributed under the terms and conditions of the Creative Commons Attribution (CC BY) license (https://creativecommons.org/licenses/by/4.0/).
Share and Cite
Zou, Z.; Zeng, F.; Wang, K.; Zeng, Z.; Zhang, H. Varieties Matter When Planning for Poverty Alleviation and Ecological Restoration in Karst Fruit Cultivation Areas. Sustainability 2021, 13, 12211. https://doi.org/10.3390/su132112211
Zou Z, Zeng F, Wang K, Zeng Z, Zhang H. Varieties Matter When Planning for Poverty Alleviation and Ecological Restoration in Karst Fruit Cultivation Areas. Sustainability. 2021; 13(21):12211. https://doi.org/10.3390/su132112211
Chicago/Turabian StyleZou, Zhigang, Fuping Zeng, Kelin Wang, Zhaoxia Zeng, and Hao Zhang. 2021. "Varieties Matter When Planning for Poverty Alleviation and Ecological Restoration in Karst Fruit Cultivation Areas" Sustainability 13, no. 21: 12211. https://doi.org/10.3390/su132112211
APA StyleZou, Z., Zeng, F., Wang, K., Zeng, Z., & Zhang, H. (2021). Varieties Matter When Planning for Poverty Alleviation and Ecological Restoration in Karst Fruit Cultivation Areas. Sustainability, 13(21), 12211. https://doi.org/10.3390/su132112211

