Abstract
This paper investigates information leakage and financing simultaneously in a supply chain (SC) consisting of one capital-constrained supplier and two retailers with private demand-forecast signals. The supplier invests in corporate social responsibility (CSR) events and displays supply uncertainty. The supplier decides whether to leak information (L) or not (N). Additionally, the supplier has two financing strategies: bank credit financing (B) and trade credit financing (T). Thus, by combining the supplier’s information leakage and financing decisions, we formulated four possible strategies (i.e., NB, NT, LB, LT) and built a game analysis model to address the interaction of information leakage and financing decisions. We first provide the SC members’ optimal operational decisions (including the order quantity, the wholesale price and CSR effort level) under four strategies. Subsequently, we compare the profits of the suppliers and retailers under four strategies by combining analytical and numerical analysis. Several interesting results were found: (1) the supplier’s optimal wholesale price, CSR effort level, and profit under information leakage were higher than those under no information leakage; (2) the supplier’s financing decisions are dependent on the loan interest rate as low supply uncertainty and low supply correlation motivate the supplier to prefer choosing trade credit financing; and (3) finally, several interesting insights in managing SCs are provided.
1. Introduction
Information leakage and supply chain (SC) financing are two major issues in SC management that have been studied by researchers independently. For example, Anand and Goyal [1] and Kong et al. [2] investigated the upstream enterprises’ information leakage equilibrium in a well-funded SC with horizontal competition. Shen et al. [3] and Wang et al. [4] discussed the financing of SC member enterprises without information leakage. To our best knowledge, there is no study that has examined the two issues jointly. To fill this gap, this paper investigates information leakage and supply chain financing together by considering a supply chain with one capital-constrained supplier (hereafter referred to as “her”) and two retailers (each retailer is hereafter referred to as “he”) with private demand-forecast signals. The supplier’s production yield is uncertain (hereafter abbrev. as supply uncertainty) and the supplier invests in CSR efforts.
In July 2021, the Henan Province of China was hit by severe floods. Hongxing Erke Industrial Co. Ltd. (hereafter abbrev. as HXEK) is a large garment enterprise in China that donated 50 million RMB of materials to Henan Province, although it still faces the risk of capital shortage (https://www.sohu.com/a/479339127_121106869 (accessed on 24 July 2021)). HXEK also focuses on vulnerable people and other social welfare activities such as investing in corporate social responsibility (CSR) events. All these CSR events have helped increase the consumers’ insights into brand valuation, which in turn could promote demand. However, HXEK is subject to limited capital; it can borrow money from a bank (i.e., bank credit financing) or borrow money from her cooperative enterprises JD Digits and Ant Financial Services Group (i.e., trade credit financing). Thus, HXEK faces an important question of how the capital-constrained supplier (HXEK) decides on financing strategy choice between bank credit financing and trade credit financing by considering its investments in CSR effort events.
In addition, both supply and demand become more uncertain in the context of economic globalization. Supply uncertainty takes place in many industries including semiconductor, vaccine supply, and agriculture, among others (Deo and Corbett [5]; Zhou et al. [6]). In this SC context, the upstream supplier often produces products for multiple downstream retailers. Thus, the uncertain yield for different retailers is correlated, hereafter abbrev. as supply correlation (Jung [7]). When the upstream suppliers use the same production lines to produce for the downstream retailers, these retailers face a high supply correlation. As such, high supply correlation leads to a high degree of product complementarity of the retailers, which means that the retailers engage in highly competitive intensity under high supply correlation. Jung [7] investigated the impact of supply correlation on the sourcing decisions of downstream firms. Unlike Jung [7], we discuss the impact of supply uncertainty and supply correlation on the upstream firm’s information leakage and financing decisions. A retailer can forecast their future demand by collecting sales data through their own different sale channels and other data service providers. The retailer will then make ordering decisions based on their own demand-forecast signals. Once the supplier receives orders from a retailer, they may leak the retailer’s order information to his competitors. This phenomenon is called information leakage (Li and Zhang [8]; Anand and Goyal [1]). Our work differs from the literature as we considered that the supplier is capital-constrained, and the two retailers form a Stackelberg game due to the supplier’s information leakage behavior. We also take into account another important question facing the supplier: whether or not they should leak a retailer’s information to his competitors.
Specifically, this paper considers a SC with one common upstream supplier and two retailers (retailer 1 is the leader and retailer 2 is the follower). The supplier also invests in CSR effort events to improve their enterprise image and decides whether to leak retailer 1′s order information to retailer 2 (L) or not (N). Then, she chooses her financing strategies: either bank credit financing (B) or trade credit financing (T). By combining the supplier’s strategic choices on information leakage and financing, we can obtain four strategy combinations: no information leakage and bank credit financing (Strategy NB), no information leakage and trade credit financing (Strategy NT), leakage-information and bank credit financing (Strategy LB), and leakage-information and trade credit financing (Strategy LT).
Based on the above-specified scenario, we focused on the following three questions:
- (1)
- What are the supplier’s optimal CSR effort levels and wholesale price under the four different strategy combinations between information leakage and financing?
- (2)
- What are the retailers’ optimal order quantities under different strategy combinations between information leakage and financing? and
- (3)
- What are the optimal strategy combinations between information leakage and financing decisions from both the supplier and two retailers?
To address these research questions, we formulated an analytical game model to jointly investigate information leakage and financing. In particular, we first solved the four subgames NB, NT, LB, and LT. Then, we discussed the interactions between information leakage and financing from both the supplier and retailers by combining analytical and numerical analysis.
The contributions of this research are threefold: (1) this paper links two separate research issues for information leakage and SC financing by considering a SC with one capital-constrained upstream supplier and two competing downstream retailers; (2) the main findings of our work provide novel insight into investments into CSR effort activities; and (3) the results of this paper also provide insights into the supplier’s optimal strategy choices and the retailers’ strategy preference between the four strategy choices for both information leakage and financing (i.e., strategy NB, NT, LB, and LT).
The rest of the paper is organized as follows. We review the relevant literature in Section 2. Section 3 depicts the research framework. Equilibrium analysis of four possible strategies—NB, NT, LB, and LT—are provided in Section 4. Section 5 presents a comparative analysis of the four strategies by combining analytical and numerical analysis. Finally, the paper concludes in Section 6. All proof is provided in Appendix A.
2. Literature Review
In this section, we review three streams of literature related to this study: information leakage in an SC, SC financing, and corporate social responsibility (CSR).
2.1. Information Leakage in an SC
Li [9] and Zhang [10] first investigated how the upstream firms’ information leakage behaviors affect the incentive of vertical information sharing in a SC that consists of one upstream firm and multiple competing downstream firms. Subsequently, Li and Zhang [8], Zhang et al. [11], Qian et al. [12], Wang et al. [13], Huang et al. [14], Liu et al. [15], Wu et al. [16], and Lu et al. [17] further examined how the upstream firm’s information leakage behavior affects the incentive of information sharing under different pricing strategies and different operating strategies. They found that vertical information sharing cannot take place for free. Unlike these papers on vertical information sharing, our research further considers the upstream firm as being capital constrained and invests in her CSR effort events.
Anand and Goyal [1] focused on contract design in preventing information leakage. They pointed out that the upstream firm always leaks under the wholesale pricing setting. Based on the work of Anand and Goyal [1], Kong et al. [2] found that a revenue-sharing contract could prevent the supplier leaking information under some conditions. Liu et al. [18] continued the work of Kong et al. [2] by considering the different combinations of wholesale pricing and revenue sharing contract. Chen and Ozer [19] indicated that information leakage cannot occur under some other non-revenue sharing contracts. In a similar vein, Shamir [20] revealed that information leakage of an upstream firm could encourage the downstream firms to form a cartel. These papers did not explore information leakage in a situation where the capital-constrained supplier has yield uncertainty and invests in CSR effort events, which was the focus of this research.
2.2. SC Financing under Competition
Some researchers have focused on the financing decisions of capital-constrained SC members under competition. Wu et al. [21] built a news vendor model to study bank credit financing strategy and trade credit financing strategy and found that both the capital-constrained retailer and the manufacturer benefited from trade credit under some conditions. Wang et al. [4] and Shen et al. [3] investigated the impact of risk preference on the financing strategy capital-constrained (or budget-constrained) manufacturers. Lee et al. [22] researched the value of trade credit financing in SCs with various types of competition by empirical analysis method and found that trade credit financing was not always beneficial to the downstream firms. Chod et al. [23] and Zhao and Huchzermeier [24] explored how the upstream firms’ competition affected the financing decisions (i.e., choosing bank credit financing or trade credit financing) of the downstream capital-constrained firms. Unlike those prior studies, we further considered that the supplier’s yield was uncertain and invests in CSR events.
Many researchers have investigated financing decisions in sustainable SCs. Sheu and Chen [25] formulated a three-game model to explore how a governmental financial intervention strategy (i.e., green taxation and subsidization) affects green SCs’ performance under competition. Chen et al. [26] jointly explored CSR performance and financial performance through empirical research. Wu et al. [27] and Wu and Kung [28] analyzed financing risks under competing green SCs. Shen et al. [3] compared the upstream firm’s bank credit financing and trade credit financing under different SC structures. An et al. [29] further compared green credit financing and trade credit financing in a low carbon SC. Tang and Yang [30] explored how a SC’s power structure affects the firms’ financing mechanisms. Unlike those prior studies, this research considered the scenario where the upstream firm exhibited information leakage behavior.
2.3. Corporate Social Responsibility Management
Corporate social responsibility (CSR) management is a hot topic in SC management. Ma et al. [31] explored how different contract types affect a firm’s CSR effort level under asymmetry information. Li et al. [32] examined the relationship between product quality information and CSR in a SC. Some researchers such as Liu et al. [33], Liu et al. [34], Raza [35], Nematollahi et al. [36], and Panda et al. [37] focused on the issue of SC coordination with different contract types and different operating settings. Responsible sourcing is another appealing research topic. For example, Orsdemir et al. [38] analyzed the value of vertical sourcing when facing CSR. Guo et al. [39] and Agrawal and Lee [40] examined supplier selection under CSR. In addition, Caro et al. [41] and Chen and Lee [42] investigated how the audit scheme affects CSR management. Wu et al. [43], Li and Wu [44], Kraft et al. [45], and Fang and Cho [46] explored the impact of asymmetry information on managing CSR. Finally, Rana et al. [47] and Saberi et al. [48] explored how blockchain applications affect sustainable SC management. However, little has been conducted in examining the interactions between information leakage and financing in a SC with CSR efforts, which was the key issue addressed in this paper.
2.4. Research Gap and the Uniqueness of This Research
Based on the previous analysis of the literature related to our work, we found that little research has been done that addresses information leakage and supply chain financing simultaneously. To fill this gap, this paper investigated information leakage and financing by simultaneously considering the following three aspects:
- (1)
- The SC consists of one-upstream supplier and two-downstream retailers. The supplier has capital constraints and supply uncertainty and invests in CSR activities. Besides, the supplier may display information leakage behavior.
- (2)
- The two retailers engage in a Stackelberg Cournot game due to the supplier’s information leakage behavior.
- (3)
- The SC model considers (i) supply uncertainty and supply correlation; (ii) bank interest rate and retailer interest rate; and (iii) uncertain demand-forecast errors.
Table 1 shows how this paper is positioned by comparing it with the related works.
Table 1.
Related literature vs. this paper.
3. Research Framework
To investigate information leakage and financing strategies simultaneously, we considered a SC with one supplier and two retailers (i.e., retailer 1 and retailer 2). Without losing generality, we refer to retailer 1 as the leader and retailer 2 as the follower. The supplier not only has limited capital, but also faces uncertain yield (i.e., supply uncertainty). Additionally, the two retailers have their own private information on demand forecast. The supply-side uncertainty and demand-side uncertainty are independent of each other.
The supply uncertainty is modeled as proportional random yield (Yano and Lee [49]). For retailer i’s order quantity, , the actual received quantity is , where belongs to (0,1] and , i = 1, 2. We assume that retailers faced positive correlated yield uncertainty from the common supplier, which is denoted as , in other words, (Jung [7]). High supply correlation () means the supplier uses the same material, same production lines as well as the same other operating equipment and production material to produce for the retailers. We further assumed that there were three marginal costs for each product: fix product set up cost () for retailer 1′s (retailer 2′s) order, the marginal production cost (c), and the marginal distribution cost (d). Hence, the expected marginal cost of the supplier is , and (Deo and Corbett [5]). The retailers only pay for the final received product with a variable .
The capital-constrained-supplier with original capital () has two financing schemes for mitigating capital shortage risk: bank credit financing and trade credit financing. If the capital-constrained-supplier choose a bank credit financing (or trade credit financing) strategy, they need to pay an interest rate of to a bank (or an interest rate of to retailers). The retailers’ risk-free loan interest rate is .
Following the CSR effort’s demand function in Ma et al. [31] and the inverse demand function in Li [9], we formulated our inverse demand function as:
where denotes the market price of the product; parameter denotes the market size; denotes the supplier’s CSR effort level; and the corresponding effort cost is ; is the CSR effort cost coefficient; and measures the consumer sensitivity to CSR efforts. Retailer 1′s (or retailer 2) total available-for-sales quantity is (). Retailers 1 and 2 have private demand-forecast signals and , respectively, for uncertainty demand , and . Retailer 1 and retailer 2 have private demand-forecast signals and for uncertainty demand , and . Following Li [9], we made the following assumptions regarding and : (1); (2) for some constants , , and , and and are conditionally independent of ; (3) and are identically distributed We thus have: , , , . (), where denotes the forecast error.
The decision timing of SC members is described as follows:
- (1)
- The supplier sets wholesale prices and CSR efforts level simultaneously;
- (2)
- Retailer 1 acquires forecast signal () and decides on the order quantity;
- (3)
- The supplier receives retailer 1′s order information and decides whether to leak this information to retailer 2 (L) or not (N);
- (4)
- Retailer 2 acquires the forecast signal () and decides on their own order quantity based on retailer 1′s order information (if the supplier leaks the information);
- (5)
- The supplier receives retailer 2′s order information;
- (6)
- The supplier makes products and delivers them to both retailers. Furthermore, the supplier decides to borrow loans from a bank (B) or retailers (T); and
- (7)
- Both supply and demand uncertainties transpire.
From the analysis in the sequence of events, we know that there are four strategy combinations: NB, NT, LB, and LT, as explained in the introduction. The parameters used in this paper are summarized in Table 2.
Table 2.
Parameters and their descriptions.
4. Equilibrium Analysis of Four Possible Strategies
This section provides an equilibrium analysis of four possible strategies as explained in the introduction (i.e., strategy NB, NT, LB, and LT).
4.1. No Information Leakage and Bank Credit Financing (Strategy NB)
In strategy NB, the supplier does not leak retailer 1′s order information to retailer 2 and chooses bank credit financing. Thus, retailer 2 cannot obtain retailer 1′s demand signal as there is no information leakage from the supplier. Retailer i makes an inference about with . The two retailers form Cournot competition with asymmetry information. The optimization problems of SC members are provided as follows.
Retailer 1′s expected profit conditional on equals
Retailer 2′s expected profit conditional on equals
The supplier’s expected profit equals
Solving problems (2)–(4) by backward induction, we obtain the SC member’s equilibrium decisions and ex-ante payoffs under strategy NB in Proposition 1.
Proposition 1.
Given, when the supplier never leaks information and borrows loans from a bank (i.e., bank credit financing), we have
- (1)
- The supplier’s optimal wholesale price and CSR effort level are displayed below
- (2)
- Retailers’ optimal order quantities are displayed below
- (3)
- The supplier’s ex-ante payoff is displayed below
- (4)
- Retailers’ ex-ante payoffs are displayed below
Proposition 1 (1) and (3) suggests that , , and are independent of the retailers’ forecast signal ( and ). This is because the supplier determines their wholesale price and CSR effort level before retailers acquire the demand signals and decide on their order quantity. Proposition 1 (2) and (4) indicates that () depends on his own forecast signal (). It also indicates that () increases with his own forecast signal () (i.e., in Equations (7)–(8)).
4.2. No Information Leakage and Trade Credit Financing (Strategy NT)
In strategy NT, the supplier chooses trade credit financing and never leaks retailer 1′s order information to the competitor retailer 2. In a similar vein as the analysis in Section 4.1, the SC members’ optimization problems are given as follows.
Retailer 1′s expected profit conditional on equals
Retailer 2′s expected profit conditional on equals
The supplier’s expected profit equals
In a similar vein as in Section 4.1, we solved problems (11)–(13) by backward induction and obtained the SC member’s equilibrium decisions and ex-ante payoffs under strategy NT, which are given in proposition 2 below.
Proposition 2.
Given, when the supplier never leaks information and borrows loans from retailers (i.e., trade credit financing), we have
- (1)
- The supplier’s optimal wholesale price and CSR effort level are displayed below
- (2)
- Retailers’ optimal order quantities are displayed below
- (3)
- The supplier’s ex-ante payoff is displayed below
- (4)
- The retailers’ ex-ante payoffs are displayed below
From Proposition 2, we found that each retailer’s optimal order quantity only depends on their own demand-forecast-signals (see Equations (16) and (17)). This is because the supplier does not have information leakage behavior and the retailers cannot refer to each other’s forecast signals. The supplier’s ex-ante payoff is independent of demand uncertainty information. This is because the supplier decides on and before the retailers acquire their demand-forecast signals.
4.3. Leakage Information and Bank Credit Financing (Strategy LB)
Strategy LB means that the supplier always leaks retailer 1′s order information () and chooses bank credit financing. Retailer 2 can infer the value of from . Therefore, retailer 2 estimates by using , while retailer 1 estimates by using . The two retailers form the Stackelberg game. The SC member’s optimization problems are provided as follows.
Retailer 2′s expected profit conditional on and equals
Retailer 1′s expected profit conditional on equals
The supplier’s expected profit equals
Solving problems (21)–(23) by backward induction, we obtain the SC members’ equilibrium decisions and ex-ante payoffs under strategy LB, which are given in Theorem 3 below.
Proposition 3.
Given, when the supplier always leaks and borrows loans from a bank (i.e., bank credit financing), we have
- (1)
- The supplier’s optimal wholesale price and CSR effort level are displayed belowwhere
- (2)
- The two retailers’ optimal order quantities are displayed belowwhere
- (3)
- The supplier’s ex-ante payoff is displayed below
- (4)
- Retailers’ ex-ante payoffs are displayed below
Proposition 3 indicates that () is a linear function of () with an increasing trend (see Equations (26) and (27)), which means that each retailer makes a positive response to their own forecast signal. increases with only when (see Equation (27)), which means that retailer 2 does not always respond positively to his competitor, retailer 1′s, forecast signal ().
4.4. Leakage Information and Trade Credit Financing (Strategy LT)
In strategy LB, the supplier always leaks retailer 1′s order information () to retailer 2, who can infer the value of from . Thus, retailer 2 estimates by using . The two retailers form the Stackelberg game due to the supplier’s information leakage behavior. The SC members’ optimization problems are given below.
Retailer 2′s expected profit conditional on and equals
Retailer 1′s expected profit conditional on equals
The supplier’s expected profit equals
Solving problems (31)–(33) by backward induction, we obtain Proposition 4 below.
Proposition 4.
Given, when the supplier always leaks and borrows loans from retailers (i.e., trade credit financing), we have
- (1)
- The supplier’s optimal wholesale price and CSR effort level are displayed below
- (2)
- The two retailers’ optimal order quantities are displayed below
- (3)
- The supplier’s ex-ante payoff is displayed below
- (4)
- The two retailers’ ex-ante payoffs are displayed below
Proposition 4 shows that depends on his own forecast signal () (see Equation (36)). depends not only on his own forecast signal (), but also on his competitor retailer 1′s forecast signal () (see Equation (37)). This is because retailer 2 knows retailer 1′s order information due to the supplier’s information leakage behavior.
5. Comparative Analysis
In this section, to drive the supplier’s optimal information leakage and financing decisions, we compared the supplier’s optimal wholesale price, optimal CSR effort level, and SC members’ profits under four possible strategies—NB, NT, LB, and LT—by combining analytical and numerical analyses.
After defining the meaning of parameters in Table 2, we set the market size and demand variable at moderate (i.e., and ), the expected supplier yield uncertainty was 1 (i.e., , the expected product pass rate is 100%), the expected marginal cost was moderate (i.e., ), the interest rate was low (i.e., , a very low interest rate on a bank deposit), the consumer’s CSR preference degree was moderate (i.e., ), the supplier’s fixed cost for retailer 1 was and for retailer 2 it was . The supplier’s initial capital was , indicating that she was three units short in capital to meet the demand of retailers 1 and 2; 4 + 5 − 6 = 3. The cost coefficient of the CSR effort () was large (i.e., ), recall that .
5.1. Optimal Information Leakage Decision
In this subsection, we investigated the optimal information leakage decision under bank credit financing and trade credit financing.
5.1.1. Optimal Information Leakage Decision under Bank Credit Financing (Strategy LB vs. Strategy NB)
To drive the supplier’s optimal information leakage decision under bank credit financing, we compared the supplier’s optimal wholesale price, optimal CSR efforts level, and ex-ante payoff of two strategies LB and NB through analytical analysis. Then, we examined the impact of the supplier’s information leakage behavior on the two retailers’ ex-ante payoff through numerical analysis due to the complexity of ex-ante payoff expression.
Proposition 5.
Comparing the supplier’s optimal wholesale price, CSR effort level, and ex-ante payoff of two strategies LB and NB, we have:
- (1)
- The supplier’ optimal wholesale price under strategies LB is higher than that under strategies NB (i.e.,).
- (2)
- The supplier’ optimal CSR effort level under strategies LB is higher than that under strategies NB (i.e.,).
- (3)
- The supplier always leaks retailer 1′s order information to retailer 2 (i.e.,).
Proposition 5 (1) and (2) indicates that the supplier can set higher wholesale prices and CSR effort levels when she leaks information. This means that the supplier would invest more in CSR events under strategy LB than that under strategy NB. Proposition 5 (3) indicates that under the wholesale price setting, the upstream supplier can gain more profit by leaking retailer 1′s order information to retailer 2.
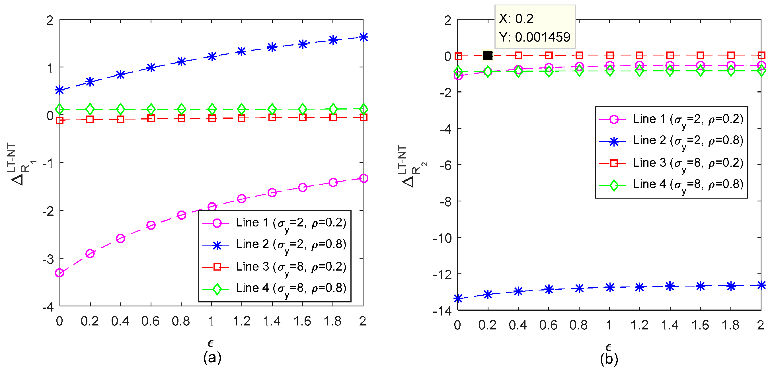
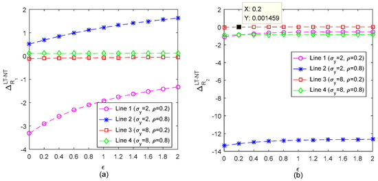
Next, we defined: and . Then, we compared the two retailers’ profits under two strategies LB and NB through numerical analysis. Figure 1 shows the impact of on and under different settings with () being the low (high) and () being the small (large) .
Figure 1.
Impact of on (a) and (b).
Figure 1a, Lines 2 and 4, shows that as increases from 0 to 2, > 0 with high (i.e., ). Figure 1b, Lines 1–2 and 4, show that as increases from 0 to 2, < 0 with low (i.e., ) or high (i.e., . This means that when is high, retailer 1 (retailer 2) benefits (suffers) from the supplier’s information leakage behavior.
5.1.2. Optimal Information Leakage Decision under Trade Credit Financing (Strategy LT vs. Strategy NT)
In this subsection, we investigated the optimal information leakage under trade credit financing by comparing the supplier’s optimal wholesale price, optimal CSR efforts, and optimal ex-ante payoff of two strategies LT and NT.
Proposition 6.
Comparing the supplier’ optimal wholesale price, CSR effort level, and ex-ante payoff of two strategies LT and NT, we have:
- The supplier’ optimal wholesale price under strategies LT is higher than that under strategies NT (i.e.,).
- The supplier’ optimal CSR effort level under strategies LT is higher than that under strategies NT (i.e.,).
- The supplier always leaks retailer 1′s order information to retailer 2 (i.e.,).
Proposition 6 (1) and (2) states that under the supplier’s information leakage behavior, the supplier can set a high wholesale price and invest more in CSR events (i.e., high CSR effort level). Proposition 6 (3) indicates that the supplier gains more profit by leaking retailer 1′s order information to retailer 2.
In a similar way as in Section 5.1.1, we defined: and . We next examined the effect of on and through numerical analysis. Figure 2 shows the impact of on and under different settings with () being the low (high) ; and () being the small (large) .
Figure 2.
Impact of on (a) and (b).
Figure 2a, Line 4, and Figure 2b, Line 4, shows that when is low (i.e., ) and is high (i.e., ), is positive and is negative. This means that when the upstream supplier leaks retailer 1′s order information to retailer 2, retailer 1 is better off and retailer 2 is worse off. This is because retailer 1′s gain (retailer 2′s loss) on the first-move advantage exceeds the loss (gain) on the supplier’s information leakage.
5.2. Optimal Financing Decision
This subsection discusses the supplier’s optimal financing decisions under two scenarios: with information leakage and without information leakage.
5.2.1. Optimal Financing Decision under No Information Leakage (Strategy NT vs. Strategy NB)
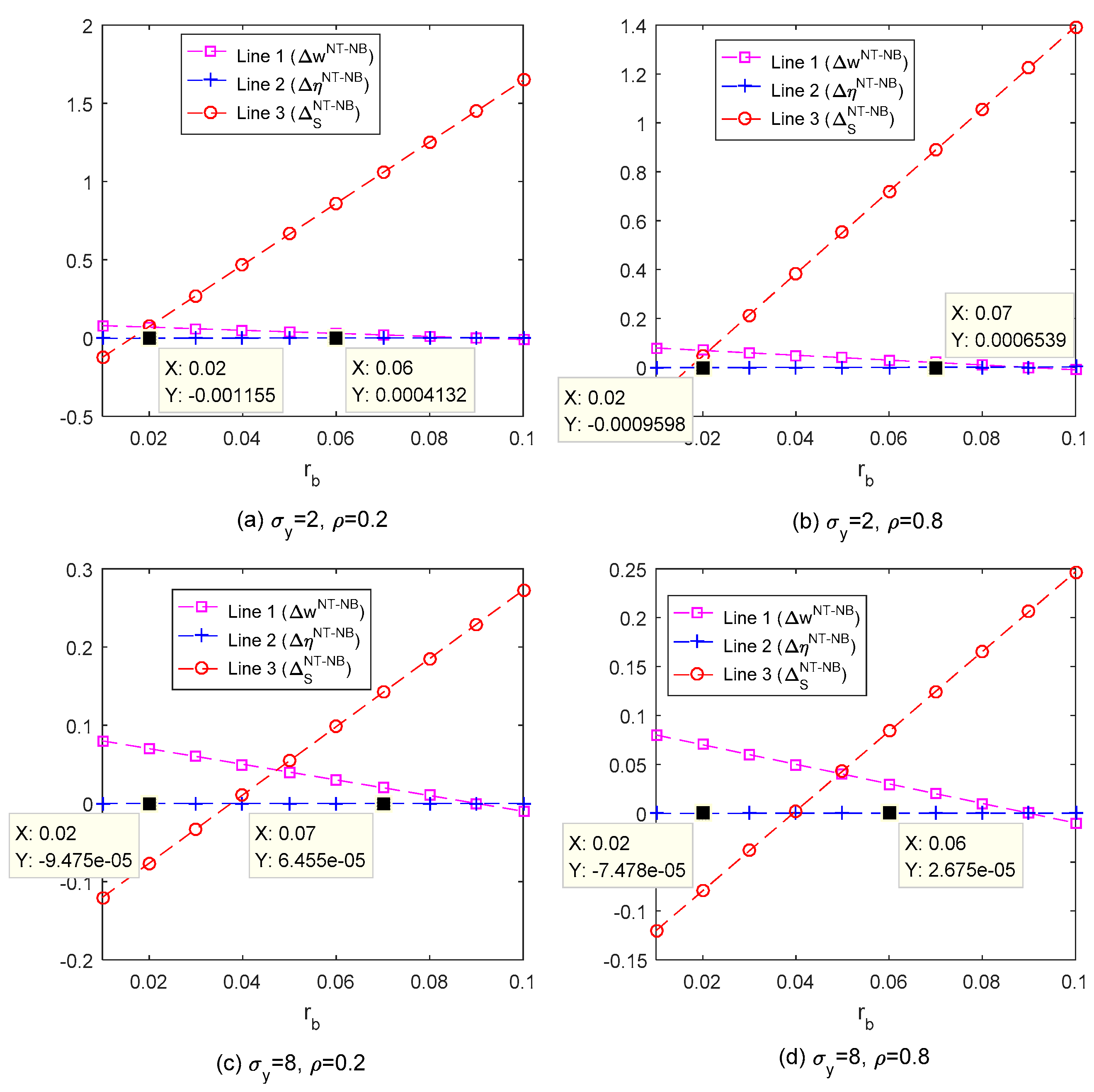
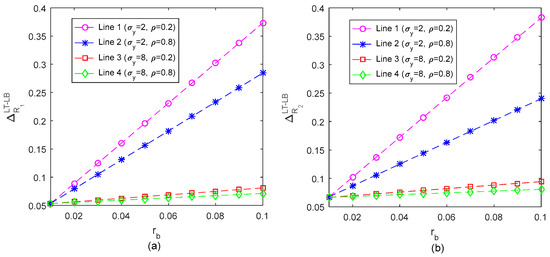
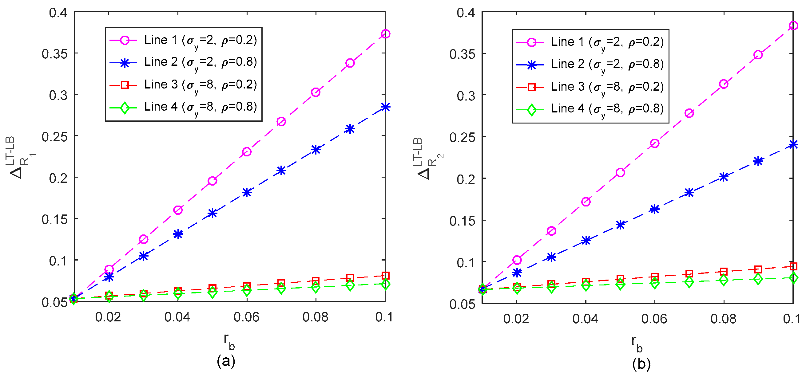
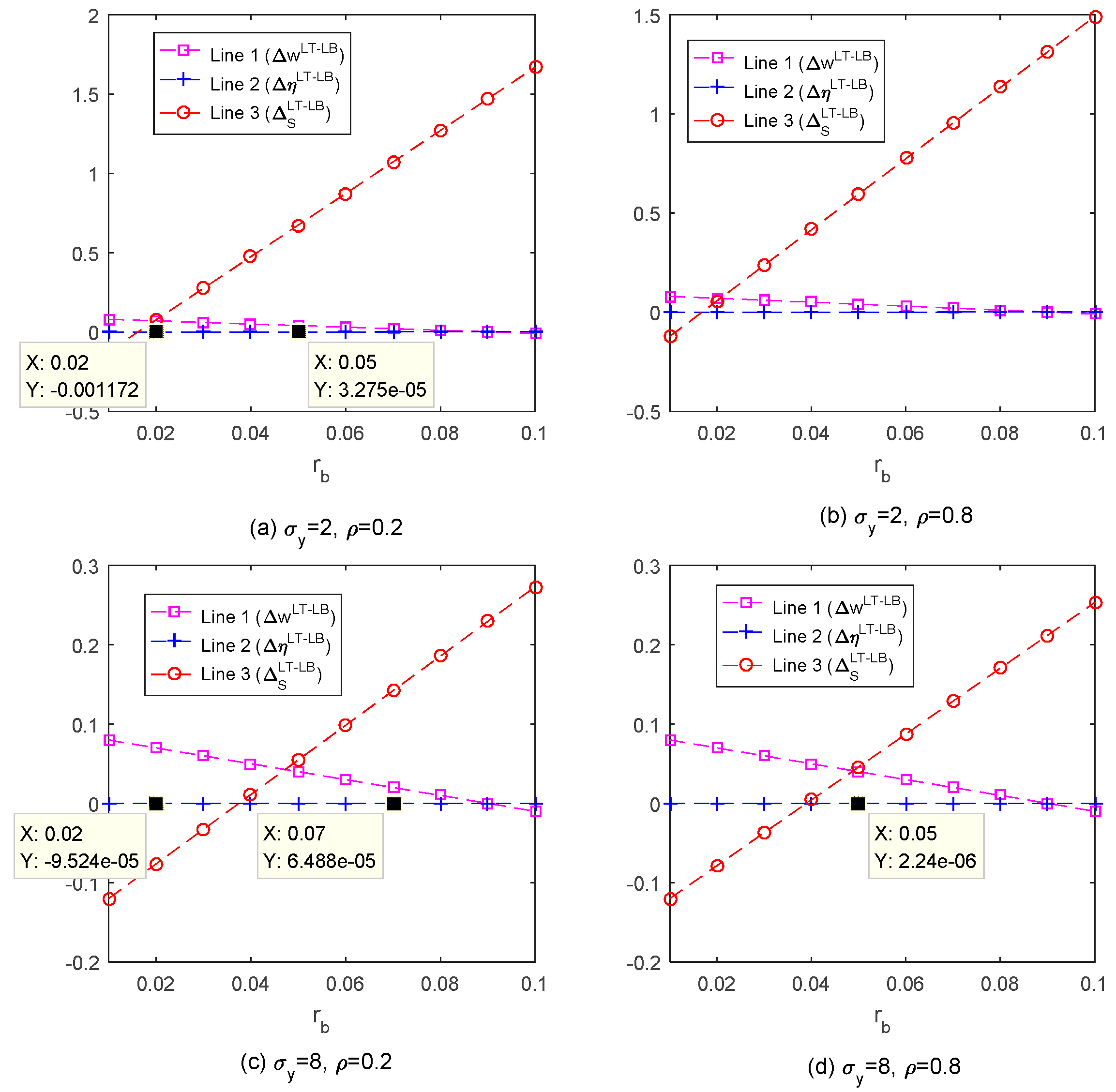
To drive the supplier’s optimal financing decision without information leakage through numerical analysis, we defined , , and . Figure 3 shows the impact of the bank interest rate () on , , and under different settings with () being the low (high) ; and () being the small (large) .
Figure 3.
Impact of on , , and with (a) , ; (b) , ; (c) , ; and (d) , .
Figure 3 shows that when is low enough such as , , and . This means that the supplier has a higher wholesale price, lower SCR effort level, and lower profit under the trade credit financing strategy than those under the bank credit financing strategy. Figure 3 also shows , , and ’s variable trend as changes were less affected by and and indicates that the bank interest rate plays a crucial role in the supplier’s financing decisions.
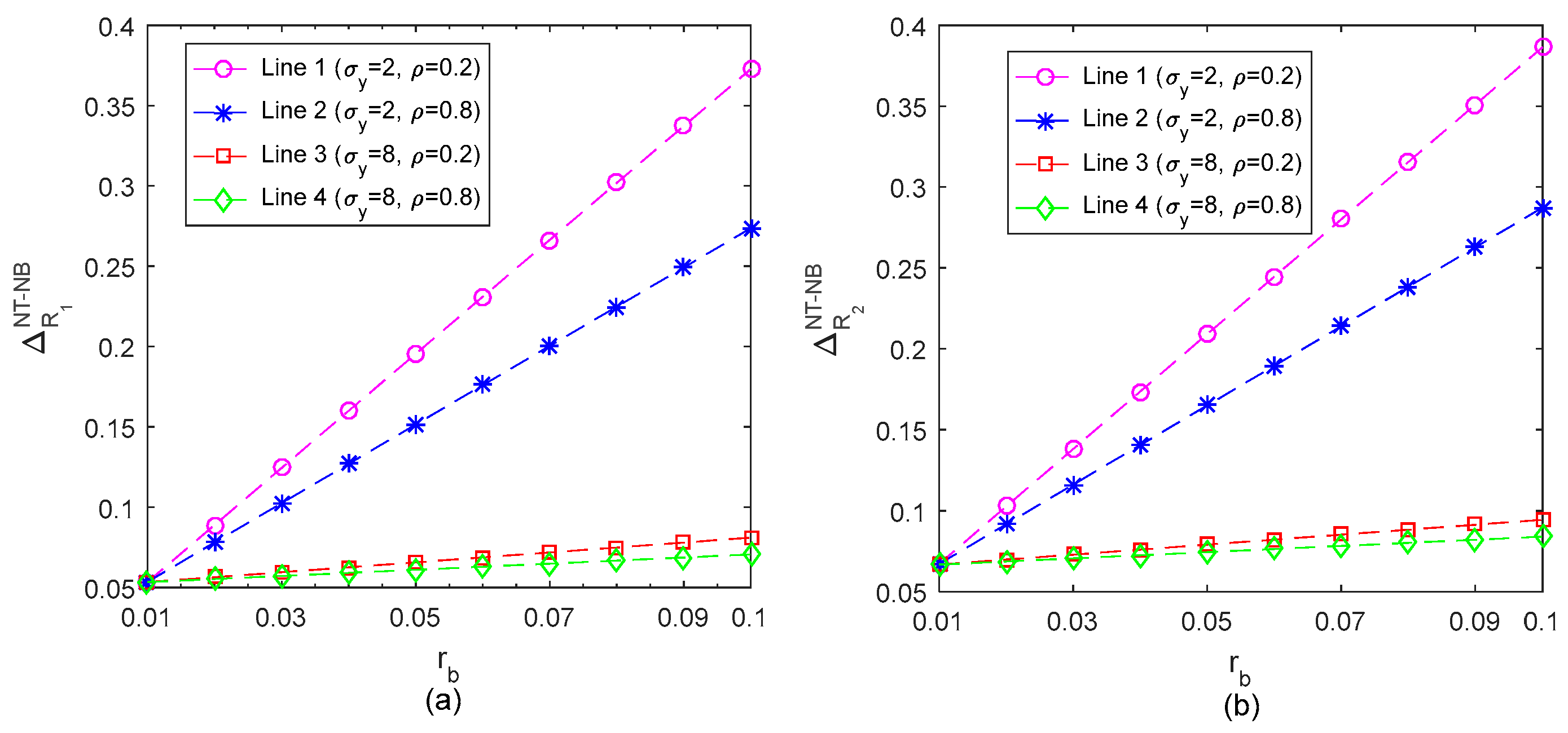
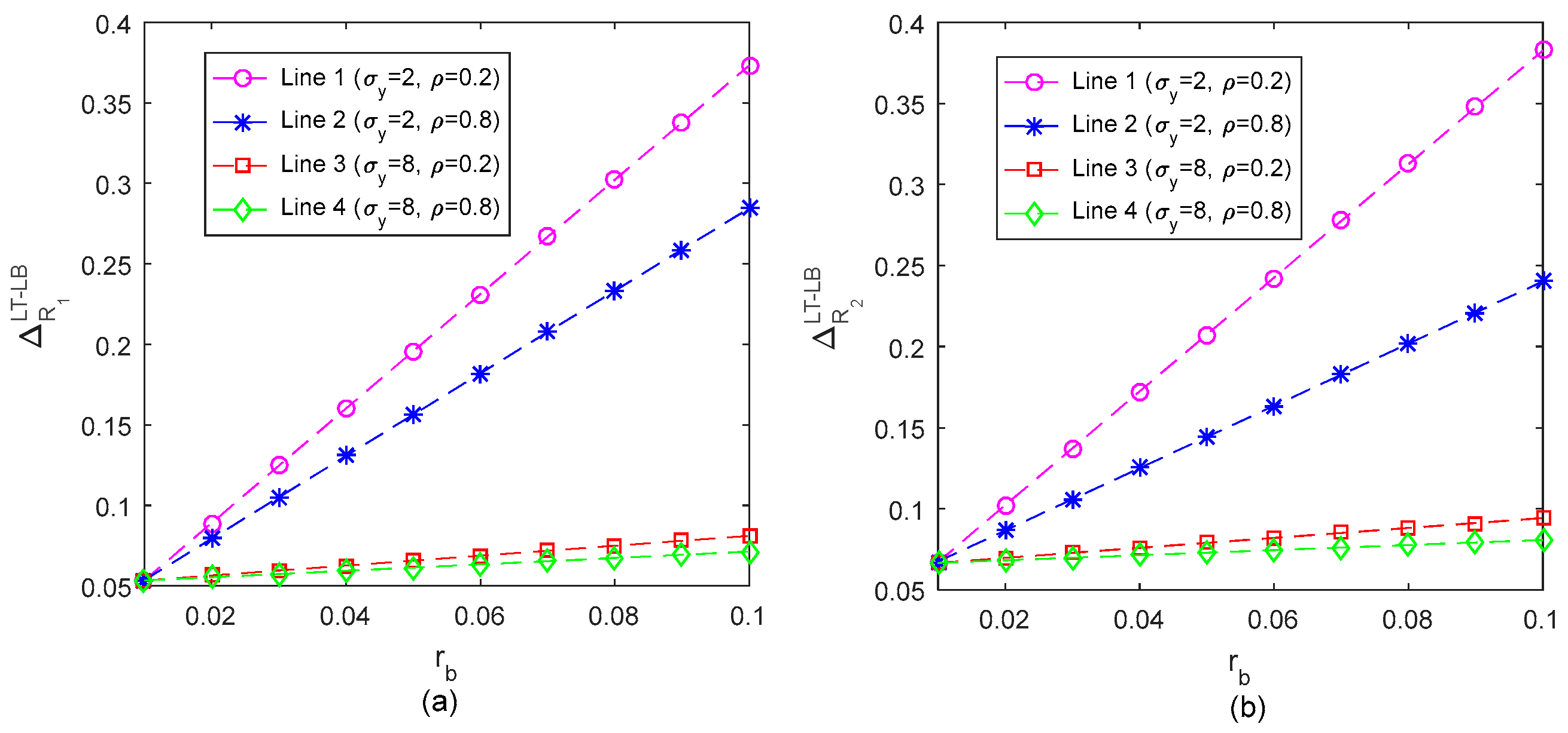
We defined: , and . Figure 4 shows the impact of the bank interest rate () on and under different settings with () being the low (high) ; and () being the small (large) .
Figure 4.
Impact of on (a) and (b).
Figure 4 shows that in general, both retailers benefited from the supplier’s trade credit financing strategy. This is because the retailers gained some additional revenue from the supplier’s trade credit financing strategy.
5.2.2. Optimal Financing Decision under Information Leakage (Strategy LT vs. Strategy LB)
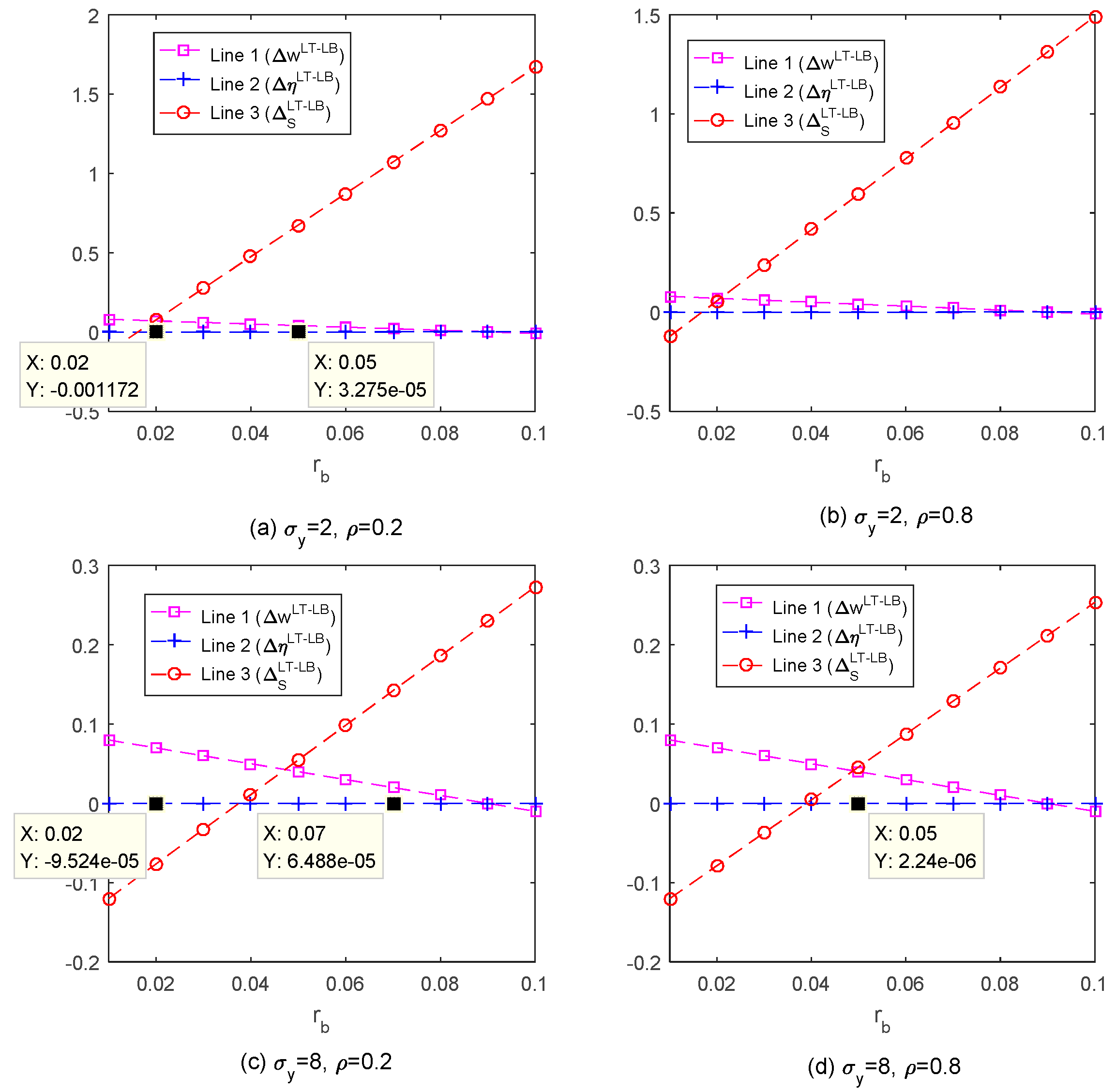
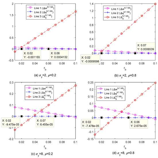
This subsection first discusses the supplier’s optimal financing decision without information leakage. Then, we studied the impact of the supplier’s optimal financing decision on the performances of the two retailers. We defined: , ,
Figure 5 shows the impact of on , , and under different settings with () being the low (high) ; and () being the small (large) .
Figure 5.
Impact of on , , and with (a) , ; (b) , ; (c) , ; (d) , .
Figure 5 suggests that the supplier would choose trade credit financing when the bank interest rate is high. Low supply uncertainty and low supply correlation motivate the supplier to prefer trade credit financing to bank credit financing.
We defined: , and . Figure 6 shows the impact of on and under different settings with () being the low (high) ; and () being the small (large) .
Figure 6.
Impact of on (a) and (b).
Figure 6 shows that both and are positive, which suggests that the retailers can gain more profit under the supplier’s trade credit financing.
As can be seen above, the findings derived from Propositions 5–6 and Figure 1, Figure 2, Figure 3, Figure 4, Figure 5 and Figure 6 are valuable as they provide some useful guidelines for the supplier when choosing their optimal financing and information leakage strategies to gain more profit. Meanwhile, the results also offer some valuable insights to the supplier when making an investment decision on CSR events. These findings are also valuable for retailers to adjust their interest to induce the supplier to use trade credit financing.
6. Conclusions
This paper investigated the interplay of information leakage and financing in a general SC with one capital-constrained upstream supplier and two competing downstream retailers. The supplier’s production process is uncertain and the production yield for different retailers is correlated. The retailers own private demand-forecast signals. The supplier’s information leakage behavior drives the two retailers to engage in Stackelberg Cournot’s competition. Specifically, the supplier needs to decide on whether to leak retailer 1′s order information to retailer 2 (L) or not (N) and has two financing schemes: bank credit financing (B) and trade credit financing (T). Thus, the supplier has four strategy combinations in relation to information leakage and financing decisions: strategies NB, NL, LB, and LT. The supplier decides their wholesale price and CSR effort level and the retailers decide their order quantities.
The equilibrium solutions under different strategies NB, NL, LB, and LT (see Propositions 1–4) provide valuable insights for managers in the upstream supplier in terms of their investment in CSR events under different strategy combinations of information leakage and financing. These suggest that the supplier deciding on the investment in CSR events (i.e., set CSR effort level) should jointly consider the information leakage and financing decision. Regardless of the supplier’s choices of financing (i.e., bank credit financing or trade credit financing), the supplier would invest more in CSR events when they choose to leak rather than when they do not. A high CSR effort level corresponds to greater investment cost in CSR events. Thus, the supplier can gain more profit by setting a high wholesale price.
By examining the supplier’s incentives for leaking retailer 1′s order information to retailer 2 under bank credit financing and retailer credit financing (i.e., trade credit financing), respectively, we found that to gain more profit, the supplier always chooses to leak retailer 1′s order information to retailer 2. Interestingly, we found that under some conditions, the supplier’s leakage information behavior makes retailer 1 better off and makes retailer 2 worse off. This means that supplier leak is a win–win strategy for the supplier itself and the leader (retailer 1), while supplier leak is a loss strategy for the follower (retailer 2). This is because retailer 1′s gain (retailer 2′s loss) in the first-move advantage exceeds the loss (gain) on the supplier’s information leakage. Thus, given a certain condition, the leader (retailer 1) is willing to accept supplier information leakage behavior. The follower, retailer 2, may reject the information that comes from the upstream supplier.
Finally, this paper examined the SC financing equilibrium and found that when the bank interest rate is low enough, the supplier prefers to choose bank credit financing rather than trade credit financing while retailers always benefit from the supplier’s trade credit financing. This suggests that retailers can incentivize the supplier to choose trade credit financing by lowering their interest rates. Meanwhile, our findings reveal that both low supply uncertainty and low supply correlation motivate the supplier to choose trade credit financing. Thus, when the supplier chooses a trade credit financing strategy to mitigate their capital shortage, the supplier can use different operating equipment and production materials to produce products for different retailers to induce a low supply correlation.
There are several limitations to this work. The first limitation of this paper is that we considered the scenario where the supplier borrows a loan either from both retailers or from a bank. In the future, we will consider a mixed financing strategy, that is, one retailer uses trade credit financing, while the other uses bank credit financing. The second limitation is that we considered that the follower (retailer 2) always receives the information coming from the supplier. We can further explore whether or not the follower retailers receive the leaked information in future research. The last limitation is that retailer 1 provides the forecast information for retailer 2, but not the other way around. We can further consider that the two retailers share their forecast information with each other. Namely, we can further investigate the interplay of information sharing and financing by considering the supplier’s operating decisions (including wholesale price and CSR effort level) based on the information sharing decisions of the retailers.
Author Contributions
Conceptualization, J.W.; Methodology, J.W.; Formal analysis, J.W.; Investigation, J.W.; Writing—original draft preparation, J.W.; Writing—review and revision, J.W. and H.X.; Supervision, H.X.; Project administration, H.X.; Funding acquisition, J.W. All authors have read and agreed to the published version of the manuscript.
Funding
This research is funded by the National Natural Science Foundation of China (grant no. 71901114) and the Humanities and Social Sciences Project of Jiangxi of China Universities and Colleges (grant no. GL20210).
Institutional Review Board Statement
Not applicable.
Informed Consent Statement
Not applicable.
Data Availability Statement
Not applicable.
Conflicts of Interest
The authors declare no conflict of interest.
Appendix A. Proof of Propositions
Proof of Proposition 1.
Taking the 1st-order partial differential of in Equation (2) with respect to , let , and simplifying, we obtain
Taking the 1st-order partial differential of in Equation (3) with respect to , let , and simplifying, we obtain
There is a unique Bayesian–Nash equilibrium solution that is expressed as follows:
Substituting Equations (A3) and (A4) into (4), and simplifying, we obtain
Taking the 1st-order partial differential of in Equation (4) with respect to and , respectively, let and , and simplifying, we obtain
Then, we have,
, and when . Thus, when , matrix A is negative. is jointly concave in and .
Solving Equations (A5) and (A6), we obtain
Adding Equations (A7) and (A8) into (A3)–(A4), we have
Adding Equations (A7)–(A10) into Equations (2) and (3) and calculating the expectation of and with respect to and , respectively, we obtain
Adding Equations (A7)–(A10) into Equation (3), we obtain
Similar to the solution procedure of strategy NB, we can obtain the equilibrium solutions and corresponding payoffs of the other three strategies NT, LB, and LT. □
Proof of Proposition 5.
From Propositions 1 and 3, we have
Proof of Propositions 6.
From Propositions 2 and 4, we have
References
- Anand, K.S.; Goyal, M. Strategic Information Management Under Leakage in a Supply Chain. Manag. Sci. 2009, 55, 438–452. [Google Scholar] [CrossRef] [Green Version]
- Kong, G.W.; Rajagopalan, S.; Zhang, H. Revenue Sharing and Information Leakage in a Supply Chain. Manag. Sci. 2013, 59, 556–572. [Google Scholar] [CrossRef]
- Shen, B.; Wang, X.; Cao, Y.F.; Li, Q.Y. Financing decisions in supply chains with a capital-constrained manufacturer: Competition and risk. Int. Trans. Oper. Res. 2020, 27, 2422–2448. [Google Scholar] [CrossRef]
- Wang, F.; Yang, X.; Zhuo, X.P.; Xiong, M.H. Joint logistics and financial services by a 3PL firm: Effects of risk preference and demand volatility. Transp. Res. Part E Logist. Transp. Rev. 2019, 130, 312–328. [Google Scholar] [CrossRef]
- Deo, S.; Corbett, C.J. Cournot Competition Under Yield Uncertainty: The Case of the U.S. Influenza Vaccine Market. Manuf. Serv. Oper. Manag. 2009, 11, 563–576. [Google Scholar] [CrossRef]
- Zhou, J.; Fan, X.; Chen, Y.-J.; Tang, C.S. Information Provision and Farmer Welfare in Developing Economies. Manuf. Serv. Oper. Manag. 2020, 23, 230–245. [Google Scholar] [CrossRef]
- Jung, S.H. Offshore versus Onshore Sourcing: Quick Response, Random Yield, and Competition. Prod. Oper. Manag. 2019, 29, 750–766. [Google Scholar] [CrossRef]
- Li, L.; Zhang, H. Confidentiality and information sharing in supply chain coordination. Manag. Sci. 2008, 54, 1467–1481. [Google Scholar] [CrossRef]
- Li, L. Information sharing in a supply chain with horizontal competition. Manag. Sci. 2002, 48, 1196–1212. [Google Scholar] [CrossRef]
- Zhang, H. Vertical information exchange in a supply chain with duopoly retailers. Prod. Oper. Manag. 2002, 11, 531. [Google Scholar] [CrossRef]
- Zhang, Q.; Tang, W.; Zaccour, G.; Zhang, J. Should a manufacturer give up pricing power in a vertical information-sharing channel? Eur. J. Oper. Res. 2019, 276, 910–928. [Google Scholar] [CrossRef]
- Qian, Y.; Chen, J.; Miao, L.; Zhang, J. Information sharing in a competitive supply chain with capacity constraint. Flex. Serv. Manuf. J. 2012, 24, 549–574. [Google Scholar] [CrossRef]
- Wang, J.; Liu, Z.; Zhao, R. On the interaction between asymmetric demand signal and forecast accuracy information. Eur. J. Oper. Res. 2019, 277, 857–874. [Google Scholar] [CrossRef]
- Huang, S.; Chen, S.T.; Guan, X. Retailer information sharing under endogenous channel structure with investment spillovers. Comput. Ind. Eng. 2020, 142, 106346. [Google Scholar] [CrossRef]
- Liu, Z.K.; Zhang, D.J.; Zhang, F.Q. Information Sharing on Retail Platforms. Manuf. Serv. Oper. Manag. 2021, 23, 606–619. [Google Scholar] [CrossRef]
- Wu, J.; Wang, H.; Shang, J. Multi-sourcing and information sharing under competition and supply uncertainty. Eur. J. Oper. Res. 2019, 278, 658–671. [Google Scholar] [CrossRef]
- Lu, J.Z.; Feng, G.Z.; Shum, T.H.; Lai, K.K. On the value of information sharing in the presence of information errors. Eur. J. Oper. Res. 2021, 294, 1139–1152. [Google Scholar] [CrossRef]
- Liu, H.; Jiang, W.; Feng, G.; Chin, K.-S. Information leakage and supply chain contracts. Omega 2018, 90, 101994. [Google Scholar] [CrossRef]
- Chen, Y.; Ozer, O. Supply Chain Contracts that Prevent Information Leakage. Manag. Sci. 2016, 65, 5619–5650. [Google Scholar] [CrossRef]
- Shamir, N. Cartel formation through strategic information leakage in a distribution channel. Mark. Sci. 2017, 36, 70–88. [Google Scholar] [CrossRef] [Green Version]
- Wu, D.; Zhang, B.; Baron, O. A Trade Credit Model with Asymmetric Competing Retailers. Prod. Oper. Manag. 2019, 28, 206–231. [Google Scholar] [CrossRef] [Green Version]
- Lee, H.H.; Zhou, J.E.; Wang, J.Q. Trade Credit Financing Under Competition and Its Impact on Firm Performance in Supply Chains. Manuf. Serv. Oper. Manag. 2018, 20, 36–52. [Google Scholar] [CrossRef]
- Chod, J.; Lyandres, E.; Yang, S.A. Trade credit and supplier competition. J. Financ. Econ. 2019, 131, 484–505. [Google Scholar] [CrossRef]
- Zhao, L.; Huchzermeier, A. Operations–finance interface models: A literature review and framework. Eur. J. Oper. Res. 2015, 244, 905–917. [Google Scholar] [CrossRef]
- Sheu, J.-B.; Chen, Y.J. Impact of government financial intervention on competition among green supply chains. Int. J. Prod. Econ. 2012, 138, 201–213. [Google Scholar] [CrossRef]
- Chen, L.J.; Feldmann, A.; Tang, O. The relationship between disclosures of corporate social performance and financial performance: Evidences from GRI reports in manufacturing industry. Int. J. Prod. Econ. 2015, 170, 445–456. [Google Scholar] [CrossRef]
- Wu, T.; Zhang, L.-G.; Ge, T. Managing financing risk in capacity investment under green supply chain competition. Technol. Forecast. Soc. Chang. 2019, 143, 37–44. [Google Scholar] [CrossRef]
- Wu, T.; Kung, C.C. Carbon emissions, technology upgradation and financing risk of the green supply chain competition. Technol. Forecast. Soc. Chang. 2020, 152, 119884. [Google Scholar] [CrossRef]
- An, S.M.; Li, B.; Song, D.P.; Chen, X. Green credit financing versus trade credit financing in a supply chain with carbon emission limits. Eur. J. Oper. Res. 2021, 292, 125–142. [Google Scholar] [CrossRef]
- Tang, R.H.; Yang, L. Impacts of financing mechanism and power structure on supply chains under cap-and-trade regulation. Transp. Res. Part E Logist. Transp. Rev. 2020, 139, 101957. [Google Scholar] [CrossRef]
- Ma, P.; Shang, J.; Wang, H.Y. Enhancing corporate social responsibility: Contract design under information asymmetry. Omega-Int. J. Manag. Sci. 2017, 67, 19–30. [Google Scholar] [CrossRef]
- Li, Y.H.; Ni, D.B.; Xiao, Z.; Tang, X.W. Signaling Product Quality Information in Supply Chains via Corporate Social Responsibility Choices. Sustainability 2017, 9, 2113. [Google Scholar] [CrossRef] [Green Version]
- Liu, Y.; Quan, B.T.; Li, J.; Forrest, J.Y.L. A Supply Chain Coordination Mechanism with Cost Sharing of Corporate Social Responsibility. Sustainability 2018, 10, 1227. [Google Scholar] [CrossRef] [Green Version]
- Liu, W.H.; Wei, W.Y.; Yan, X.Y.; Wang, D. Supply Contract Design with Asymmetric Corporate Social Responsibility Cost Information in Service Supply Chain. Sustainability 2019, 11, 1408. [Google Scholar] [CrossRef] [Green Version]
- Raza, S.A. Supply chain coordination under a revenue-sharing contract with corporate social responsibility and partial demand information. Int. J. Prod. Econ. 2018, 205, 1–14. [Google Scholar] [CrossRef]
- Nematollahi, M.; Hosseini-Motlagh, S.M.; Heydari, J. Coordination of social responsibility and order quantity in a two-echelon supply chain: A collaborative decision-making perspective. Int. J. Prod. Econ. 2017, 184, 107–121. [Google Scholar] [CrossRef]
- Panda, S.; Modak, N.M.; Pradhan, D. Corporate social responsibility, channel coordination and profit division in a two-echelon supply chain. Int. J. Manag. Sci. Eng. Manag. 2016, 11, 22–33. [Google Scholar] [CrossRef]
- Orsdemir, A.; Hu, B.; Deshpande, V. Ensuring Corporate Social and Environmental Responsibility Through Vertical Integration and Horizontal Sourcing. Manuf. Serv. Oper. Manag. 2019, 21, 417–434. [Google Scholar] [CrossRef]
- Guo, R.; Lee, H.L.; Swinney, R. Responsible Sourcing in Supply Chains. Manag. Sci. 2016, 62, 2722–2744. [Google Scholar] [CrossRef] [Green Version]
- Agrawal, V.; Lee, D. The effect of sourcing policies on suppliers’ sustainable practices. Prod. Oper. Manag. 2019, 28, 767–787. [Google Scholar] [CrossRef]
- Caro, F.; Chintapalli, P.; Rajaram, K.; Tang, C.S. Improving Supplier Compliance Through Joint and Shared Audits with Collective Penalty. Manuf. Serv. Oper. Manag. 2018, 20, 363–380. [Google Scholar] [CrossRef] [Green Version]
- Chen, L.; Lee, H.L. Sourcing Under Supplier Responsibility Risk: The Effects of Certification, Audit, and Contingency Payment. Manag. Sci. 2017, 63, 2795–2812. [Google Scholar] [CrossRef]
- Wu, Y.; Zhang, K.; Xie, J. Bad Greenwashing, Good Greenwashing: Corporate Social Responsibility and Information Transparency. Manag. Sci. 2020, 66, 3095–3112. [Google Scholar] [CrossRef]
- Li, J.; Wu, D. Do Corporate Social Responsibility Engagements Lead to Real Environmental, Social, and Governance Impact? Manag. Sci. 2020, 66, 2564–2588. [Google Scholar] [CrossRef]
- Kraft, T.; Valdés, L.; Zheng, Y. Motivating Supplier Social Responsibility Under Incomplete Visibility. Manuf. Serv. Oper. Manag. 2020, 22, 1268–1286. [Google Scholar] [CrossRef]
- Fang, X.; Cho, S.-H. Cooperative Approaches to Managing Social Responsibility in a Market with Externalities. Manuf. Serv. Oper. Manag. 2020, 22, 1215–1233. [Google Scholar] [CrossRef]
- Rana, R.L.; Giungato, P.; Tarabella, A.; Tricase, C. Blockchain applications and sustainability issues. Amfiteatru Econ. 2019, 21, 861–870. [Google Scholar] [CrossRef]
- Saberi, S.; Kouhizadeh, M.; Sarkis, J.; Shen, L.J. Blockchain technology and its relationships to sustainable supply chain management. Int. J. Prod. Res. 2019, 57, 2117–2135. [Google Scholar] [CrossRef] [Green Version]
- Yano, C.A.; Lee, H.L. Lot sizing with random yields: A review. Oper. Res. 1995, 43, 311–334. [Google Scholar] [CrossRef]
Publisher’s Note: MDPI stays neutral with regard to jurisdictional claims in published maps and institutional affiliations. |
© 2021 by the authors. Licensee MDPI, Basel, Switzerland. This article is an open access article distributed under the terms and conditions of the Creative Commons Attribution (CC BY) license (https://creativecommons.org/licenses/by/4.0/).





