Changes in the Dynamics and Nutrient Budget of a Macroalgal Community Exposed to Land-Based Fish Farm Discharge Off Jeju Island, Korea
Abstract
:1. Introduction
2. Materials and Methods
2.1. Study Area
2.2. Environmental Factors
2.3. Experimental Design and Data Collection
2.4. Elemental Analysis and Nutrient Incorporation
= macroalgal biomass (g dry weight m−2) × tissue nutrient (C, N, or P) content/100.
2.5. Data Analysis
3. Results
3.1. Environmental Factors
3.2. Distributional Area, Cover, and Biomass of Macroalgae
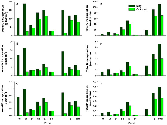
3.3. Elemental Analysis and Nutrient Incorporation
4. Discussion
4.1. Macroalgal Community Dynamics
4.2. Ecological Role as a Nutrient Sink
5. Conclusions
Author Contributions
Funding
Data Availability Statement
Acknowledgments
Conflicts of Interest
References
- Jickells, T.D. Nutrient biogeochemistry of the coastal zone. Science 1998, 281, 217–222. [Google Scholar] [CrossRef] [PubMed]
- Burak, S.; Dogan, E.; Gazioglu, C. Impact of urbanization and tourism on coastal environment. Ocean Coast. Manag. 2004, 47, 515–527. [Google Scholar] [CrossRef]
- Park, S.R.; Kim, J.H.; Kang, C.K.; An, S.M.; Chung, I.K.; Kim, J.H.; Lee, K.S. Current status and ecological roles of Zostera marina after recovery from large-scale reclamation in the Nakdong River estuary, Korea. Estuar. Coast. Shelf Sci. 2009, 81, 38–48. [Google Scholar] [CrossRef]
- Savage, C.; Leavitt, P.R.; Elmgren, R. Effects of land use, urbanization, and climate variability on coastal eutrophication in the Baltic Sea. Limnol. Oceanogr. 2010, 55, 1033–1046. [Google Scholar] [CrossRef]
- Bonsdorff, E.; Rönnberg, C.; Aarnio, K. Some ecological properties in relation to eutrophication in the Baltic Sea. Hydrobiologia 2002, 475, 371–377. [Google Scholar] [CrossRef]
- Kim, S.; Park, S.R.; Kang, Y.H.; Kim, G.-Y.; Lee, K.-S.; Lee, H.J.; Won, N.-I.; Kil, H.-J. Usefulness of tissue nitrogen content and macroalgal community structure as indicators of water eutrophication. J. Appl. Phycol. 2014, 26, 1149–1158. [Google Scholar] [CrossRef]
- Park, S.R. Seasonal patterns and recruitment dynamics of green tide-forming Ulva species along the intertidal rocky shores of the southern coast of Korea. Ocean Sci. J. 2014, 49, 383–390. [Google Scholar] [CrossRef]
- Beman, J.M.; Arrigo, K.R.; Matson, P.A. Agricultural runoff fuels large phytoplankton blooms in vulnerable areas of the ocean. Nature 2005, 434, 211–214. [Google Scholar] [CrossRef] [PubMed]
- KIOSIS. Available online: https://kosis.kr/index/index.do (accessed on 31 July 2021).
- Lee, T.; Moon, J.-H.; Jung, S.-K.; Park, G.; Kwon, S.; Min, S.-H.; Son, Y.B. Changes in the nutrient budget due to physiochemical factors in the coastal area of Jeju, Korea. J. Coast. Res. 2020, 95, 57–61. [Google Scholar] [CrossRef]
- Samanta, P.; Shin, S.; Jang, S.; Song, Y.-C.; Oh, S.; Kim, J.K. Stable carbon and nitrogen isotopic characterization and tracing nutrient sources of Ulva blooms around Jeju coastal areas. Environ. Pollut. 2019, 254, 113033. [Google Scholar] [CrossRef] [PubMed]
- Steneck, R.S.; Graham, M.H.; Bourque, B.J.; Corbett, D.; Erlandson, J.M.; Estes, J.A.; Tegner, M.J. Kelp forest ecosystems: Biodiversity, stability, resilience and future. Environ. Conserv. 2002, 29, 436–459. [Google Scholar] [CrossRef] [Green Version]
- Stevenson, J. Ecological assessments with algae: A review and synthesis. J. Phycol. 2014, 50, 437–461. [Google Scholar] [CrossRef] [PubMed]
- Díez, I.; Bustamante, M.; Santolaria, A.; Tajadura, J.; Muguerza, N.; Borja, A.; Muxika, I.; Saiz-Salinas, J.; Gorostiaga, J. Development of a tool for assessing the ecological quality status of intertidal coastal rocky assemblages, within Atlantic Iberian coasts. Ecol. Indic. 2012, 12, 58–71. [Google Scholar] [CrossRef]
- Neto, J.M.; Gaspar, R.; Pereira, L.; Marques, J.C. Marine Macroalgae Assessment Tool (MarMAT) for intertidal rocky shores. Quality assessment under the scope of the European Water Framework Directive. Ecol. Indic. 2012, 19, 39–47. [Google Scholar] [CrossRef]
- Piazzi, L.; Ceccherelli, G. Alpha and beta diversity in Mediterranean macroalgal assemblages: Relevancy and type of effect of anthropogenic stressors vs. natural variability. Mar. Biol. 2020, 167, 32. [Google Scholar] [CrossRef]
- Gorostiaga, J.M.; Díez, I. Changes in the sublittoral benthic marine macroalgae in the polluted area of Abra de Bilbao and proximal coast (Northern Spain). Mar. Ecol. Prog. Ser. 1996, 130, 157–167. [Google Scholar] [CrossRef]
- Reish, D.J. The use of benthic communities in marine environmental assessment. In Memorias V Simposio en Biología Marina; Malagrino, G., Santoyo, H., Eds.; Universidad Autónoma Baja California Sur: La Paz, Bolivia, 1987; pp. 123–126. [Google Scholar]
- Balata, D.; Acunto, S.; Cinelli, F. Spatio-temporal variability and vertical distribution of a low rocky subtidal assemblage in the north-west Mediterranean. Estuar. Coast. Shelf Sci. 2006, 67, 553–561. [Google Scholar] [CrossRef]
- Davison, I.R.; Pearson, G.A. Stress tolerance in intertidal seaweeds. J. Phycol. 1996, 32, 197–211. [Google Scholar] [CrossRef]
- Lobban, C.S.; Harrison, P.J. Seaweed Ecology and Physiology; Cambridge University Press: Cambridge, UK, 1994; p. 384. [Google Scholar]
- Soltan, D.; Verlaque, M.; Boudouresque, C.F.; Francour, P. Changes in macroalgal communities in the vicinity of a Mediterranean sewage outfall after the setting up of a treatment plant. Mar. Pollut. Bull. 2001, 42, 59–70. [Google Scholar] [CrossRef]
- Torres, A.I.; Gil, M.N.; Esteves, J.L. Nutrient uptake rates by the alien alga Undaria pinnatifida (Phaeophyta) (Nuevo Gulf, Patagonia, Argentina) when exposed to diluted sewage effluent. Hydrobiologia 2004, 520, 1–6. [Google Scholar] [CrossRef]
- Lindstrom, S.C. The biogeography of seaweeds in Southeast Alaska. J. Biogeogr. 2009, 36, 401–409. [Google Scholar] [CrossRef]
- Mann, K.H. Seaweeds: Their productivity and strategy for growth. Science 1973, 182, 975–981. [Google Scholar] [CrossRef] [PubMed]
- Fourqurean, J.W.; Duarte, C.M.; Kennedy, H.; Marbà, N.; Holmer, M.; Mateo, M.A.; Apostolaki, E.T.; Kendrick, G.A.; Krause-Jensen, D.; McGlathery, K.J. Seagrass ecosystems as a globally significant carbon stock. Nat. Geosci. 2012, 5, 505–509. [Google Scholar] [CrossRef]
- McGlathery, K.J.; Anderson, I.C.; Tyler, A.C. Magnitude and variability of benthic and pelagic metabolism in a temperate coastal lagoon. Mar. Ecol. Prog. Ser. 2001, 216, 1–15. [Google Scholar] [CrossRef]
- Zertuche-González, J.A.; Camacho-Ibar, V.F.; Pacheco-Ruíz, I.; Cabello-Pasini, A.; Galindo-Bect, L.A.; Guzmán-Calderón, J.M.; Macias-Carranza, V.; Espinoza-Avalos, J. The role of Ulva spp. as a temporary nutrient sink in a coastal lagoon with oyster cultivation and upwelling influence. J. Appl. Phycol. 2009, 21, 729–736. [Google Scholar] [CrossRef]
- Bayley, D.; Brickle, P.; Brewin, P.; Golding, N.; Pelembe, T. Valuation of kelp forest ecosystem services in the Falkland Islands: A case study integrating blue carbon sequestration potential. One Ecos. 2021, 6, e62811. [Google Scholar] [CrossRef]
- Piccini, M.; Raikova, S.; Allen, M.J.; Chuck, C.J. A synergistic use of microalgae and macroalgae for heavy metal bioremediation and bioenergy production through hydrothermal liquefaction. Sustain. Energ. Fuels 2019, 3, 292–301. [Google Scholar] [CrossRef] [Green Version]
- Filbee-Dexter, K.; Wernberg, T. Substantial blue carbon in overlooked Australian kelp forests. Sci. Rep. 2020, 10, 12341. [Google Scholar] [CrossRef]
- Kang, Y.H.; Kim, S.; Choi, S.K.; Lee, H.J.; Chung, I.K.; Park, S.R. A comparison of the bioremediation potential of five seaweed species in an integrated fish-seaweed aquaculture system: Implication for a multi-species seaweed culture. Rev. Aquac. 2021, 13, 353–364. [Google Scholar] [CrossRef]
- Chung, I.K.; Oak, J.H.; Lee, J.A.; Shin, J.A.; Kim, J.G.; Park, K.-S. Installing kelp forests/seaweed beds for mitigation and adaptation against global warming: Korean Project Overview. ICES J. Mar. Sci. 2013, 70, 1038–1044. [Google Scholar] [CrossRef] [Green Version]
- Du, G.; Zhao, E.; Liu, C.; Tang, X. Estimating areal carbon fixation of intertidal macroalgal community based on composition dynamics and laboratory measurements. J. Oceanol. Limnol. 2019, 37, 93–101. [Google Scholar] [CrossRef]
- Xiao, X.; Agusti, S.; Lin, F.; Li, K.; Pan, Y.; Yu, Y.; Zheng, Y.; Wu, J.; Duarte, C.M. Nutrient removal from Chinese coastal waters by large-scale seaweed aquaculture. Sci. Rep. 2017, 7, 46613. [Google Scholar] [CrossRef] [PubMed] [Green Version]
- Oh, Y.H.; Kim, Y.; Park, S.R.; Lee, T.; Son, Y.B.; Park, S.-E.; Lee, W.C.; Im, D.-H.; Kim, T.-H. Spatiotemporal change in coastal waters caused by land-based fish farm wastewater-borne nutrients: Results from Jeju Island, Korea. Mar. Pollut. Bull. 2021, 170, 112632. [Google Scholar] [CrossRef]
- Koh, H.-J.; Park, S.-E.; Cha, H.-K.; Chang, D.-S.; Koo, J.-H. Coastal eutrophication caused by effluent from aquaculture ponds in Jeju. J. Korean Soc. Mr. Environ. Saf. 2013, 19, 315–326. [Google Scholar] [CrossRef] [Green Version]
- Parsons, T.R.; Maita, Y.; Lalli, C.M. A Manual of Chemical and Biological Methods for Seawater Analysis; Pergamon Press: Oxford, UK, 1984; p. 173. [Google Scholar]
- Dethier, M.N.; Graham, E.S.; Cohen, S.; Tear, L.M. Visual versus random-point percent cover estimations: ‘objective’ is not always better. Mar. Ecol. Prog. Ser. 1993, 96, 93–100. [Google Scholar] [CrossRef]
- Bae, E.H.; Kim, H.-S.; Kwon, C.-J.; Hwang, I.-K.; Kim, G.H.; Klochkova, T.A. Algal Flora of Korea. vol.1, no.1, Marine Green Algae; National Institute of Biological Resources: Incheon, Korea, 2010; p. 218. [Google Scholar]
- Boo, S.-M.; Lee, W.J.; Hwang, I.-K.; Geum, Y.S.; Oak, J.H.; Cho, G.Y. Algal Flora of Korea. vol.2, no.2, Marine Brown Algae; National Institute of Biological Resources: Incheon, Korea, 2010; p. 205. [Google Scholar]
- Kang, J.W. Illustrated Encyclopedia of Fauna & Flora of Korea. vol. 8 Marine Algae; Ministry of Education: Seoul, Korea, 1968; p. 465. [Google Scholar]
- Kim, H.-S. Algal Flora of Korea. vol.4, no.8, Marine Red Algae; National Institute of Biological Resources: Incheon, Korea, 2013; p. 183. [Google Scholar]
- Kim, H.-S.; Boo, S.-M. Algal Flora of Korea. vol.2, no.1, Marine Brown Algae; National Institute of Biological Resources: Incheon, Korea, 2010; p. 195. [Google Scholar]
- Kim, H.-S.; Boo, S.-M.; Lee, I.K.; Sohn, C.-H. National List of Species of Korea: Marine Algae; National Institute of Biological Resources: Incheon, Korea, 2013; p. 336. [Google Scholar]
- Kim, H.-S.; Hwang, I.-K. Algal Flora of Korea. vol.4, no.10, Marine Red Algae; National Institute of Biological Resources: Incheon, Korea, 2015; p. 140. [Google Scholar]
- Lee, Y.P. Marine Algae of Jeju; Academy Publication: Seoul, Korea, 2008; p. 477. [Google Scholar]
- Nam, K.W. Algal Flora of Korea. vol.4, no.3, Marine Red Algae; National Institute of Biological Resources: Incheon, Korea, 2011; p. 203. [Google Scholar]
- Nam, K.W.; Kang, P.J. Algal Flora of Korea. vol.4, no.9, Marine Red Algae; National Institute of Biological Resources: Incheon, Korea, 2013; p. 132. [Google Scholar]
- Nam, K.W.; Kang, P.J. Algal Flora of Korea. vol.4, no.11, Marine Red Algae; National Institute of Biological Resources: Incheon, Korea, 2015; p. 146. [Google Scholar]
- Yoshida, T. Marine Algae of Japan; Uchida–Rokakuho Publishing Company: Tokyo, Japan, 1998; p. 1222. [Google Scholar]
- Chapman, H.D.; Pratt, P.F. Methods of analysis for soils, plants, and waters. Soil Sci. 1961, 93, 63. [Google Scholar] [CrossRef] [Green Version]
- Teichberg, M.; Heffner, L.R.; Fox, S.; Valiela, I. Nitrate reductase and glutamine synthetase activity, internal N pools, and growth of Ulva lactuca: Responses to long and short-term N supply. Mar. Biol. 2007, 151, 1249–1259. [Google Scholar] [CrossRef]
- Díez, I.; Santolaria, A.; Gorostiaga, J.M. The relationship of environmental factors to the structure and distribution of subtidal seaweed vegetation of the western Basque coast (N Spain). Estuar. Coast. Shelf Sci. 2003, 56, 1041–1054. [Google Scholar] [CrossRef]
- Liu, D.; Bai, J.; Song, S.; Zhang, J.; Sun, P.; Li, Y.; Han, G. The impact of sewage discharge on the macroalgae community in the Yellow Sea coastal area around Qingdao, China. Water Air Soil Pollut. 2007, 7, 683–692. [Google Scholar] [CrossRef]
- Rodríguez Prieto, C.; Polo Albertí, L. Effects of the sewage pollution in the structure and dynamics of the community of Cystoseira mediterranea (Fucales, Phaeophyceae). Sci. Mar. 1996, 60, 253–263. [Google Scholar]
- Arévalo, R.; Pinedo, S.; Ballesteros, E. Changes in the composition and structure of Mediterranean rocky-shore communities following a gradient of nutrient enrichment: Descriptive study and test of proposed methods to assess water quality regarding macroalgae. Mar. Pollut. Bull. 2007, 55, 104–113. [Google Scholar] [CrossRef] [Green Version]
- Hepburn, C.; Pritchard, D.; Cornwall, C.; McLeod, R.; Beardall, J.; Raven, J.; Hurd, C. Diversity of carbon use strategies in a kelp forest community: Implications for a high CO2 ocean. Glob. Change Biol. 2011, 17, 2488–2497. [Google Scholar] [CrossRef]
- McCoy, S.J.; Kamenos, N.A. Coralline algae (Rhodophyta) in a changing world: Integrating ecological, physiological, and geochemical responses to global change. J. Phycol. 2015, 51, 6–24. [Google Scholar] [CrossRef]
- Kim, B.Y.; Ko, J.-C.; Ko, H.J.; Park, S.E.; Cha, H.K.; Choi, H.G. Seasonal variation in community structure of subtidal seaweeds in Jeju Island, Korea. Korean J. Fish. Aquat. Sci. 2013, 46, 607–618. [Google Scholar]
- Oak, J.H.; Keum, Y.S.; Hwang, M.S.; Oh, Y.S. Subtidal algal community of Supseom and Seongsanpo in Jeju Island. Underw. Sci. Tech. 2004, 5, 3–9. [Google Scholar]
- Yoo, J.-S. Community dynamics of benthic marine algae in the intertidal and subtidal rocky shore of Samyang, Jejudo Island. Algae 2003, 18, 301–309. [Google Scholar] [CrossRef]
- Hwang, S.-I.; Kim, D.-K.; Sung, B.-J.; Jun, S.-K.; Bae, J.-I.; Jeon, B.-H. Effects of climate change on whitening event proliferation the coast of Jeju. Korean J. Environ. Ecol. 2017, 31, 529–536. [Google Scholar] [CrossRef]
- Suh, Y.S.; Hwang, J.D.; Pang, I.C.; Han, I.S.; Jo, J.D.; Lee, N.K. Long-term variations of sea surface temperature in inshore and offshore waters of Jeju Island. Korean J. Nat. Conserv. 2011, 5, 135–140. [Google Scholar]
- Narvarte, B.C.V.; Nelson, W.A.; Roleda, M.Y. Inorganic carbon utilization of tropical calcifying macroalgae and the impacts of intensive mariculture-derived coastal acidification on the physiological performance of the rhodolith Sporolithon sp. Environ. Pollut. 2020, 266, 115344. [Google Scholar] [CrossRef]
- Kim, J.-H.; Kim, N.; Moon, H.; Lee, S.; Jeong, S.Y.; Diaz-Pulido, G.; Edwards, M.S.; Kang, J.-H.; Kang, E.J.; Oh, H.-J. Global warming offsets the ecophysiological stress of ocean acidification on temperate crustose coralline algae. Mar. Pollut. Bull. 2020, 157, 111324. [Google Scholar] [CrossRef]
- Connell, S.D.; Russell, B.D.; Turner, D.J.; Shepherd, S.A.; Kildea, T.; Miller, D.; Airoldi, L.; Cheshire, A. Recovering a lost baseline: Missing kelp forests from a metropolitan coast. Mar. Ecol. Prog. Ser. 2008, 360, 63–72. [Google Scholar] [CrossRef] [Green Version]
- Doblin, M.A.; Clayton, M.N. Effects of secondarily-treated sewage effluent on the early life-history stages of two species of brown macroalgae: Hormosira banksii and Durvillaea potatorum. Mar. Biol. 1995, 122, 689–698. [Google Scholar] [CrossRef]
- Scherner, F.; Barufi, J.B.; Horta, P.A. Photosynthetic response of two seaweed species along an urban pollution gradient: Evidence of selection of pollution-tolerant species. Mar. Pollut. Bull. 2012, 64, 2380–2390. [Google Scholar] [CrossRef] [PubMed]
- Middelboe, A.L.; Sand-Jensen, K. Long-term changes in macroalgal communities in a Danish estuary. Phycologia 2000, 39, 245–257. [Google Scholar] [CrossRef]
- Layton, C.; Shelamoff, V.; Cameron, M.J.; Tatsumi, M.; Wright, J.T.; Johnson, C.R. Resilience and stability of kelp forests: The importance of patch dynamics and environment-engineer feedbacks. PLoS ONE 2019, 14, e0210220. [Google Scholar] [CrossRef] [PubMed] [Green Version]
- Kim, S.; Kang, Y.H.; Kim, T.-H.; Park, S.R. Recovery pattern and seasonal dynamics of kelp species, Ecklonia cava population formed following the large-scale disturbance. J. Korean Soc. Oceanogr. 2016, 21, 103–111. [Google Scholar]
- Serisawa, Y.; Yokohama, Y.; Aruga, Y.; Tanaka, J. Photosynthesis and respiration in bladelets of Ecklonia cava Kjellman (Laminariales, Phaeophyta) in two localities with different temperature conditions. Phycol. Res. 2001, 49, 1–11. [Google Scholar] [CrossRef]
- Macreadie, P.I.; Anton, A.; Raven, J.A.; Beaumont, N.; Connolly, R.M.; Friess, D.A.; Kelleway, J.J.; Kennedy, H.; Kuwae, T.; Lavery, P.S. The future of Blue Carbon science. Nat. Commun. 2019, 10, 3998. [Google Scholar] [CrossRef] [Green Version]
- Krause-Jensen, D.; Lavery, P.; Serrano, O.; Marbà, N.; Masque, P.; Duarte, C.M. Sequestration of macroalgal carbon: The elephant in the Blue Carbon room. Biol. Lett. 2018, 14, 20180236. [Google Scholar] [CrossRef] [Green Version]
- Krause-Jensen, D.; Duarte, C.M. Substantial role of macroalgae in marine carbon sequestration. Nat. Geosci. 2016, 9, 737–742. [Google Scholar] [CrossRef]
- Queirós, A.M.; Stephens, N.; Widdicombe, S.; Tait, K.; McCoy, S.J.; Ingels, J.; Rühl, S.; Airs, R.; Beesley, A.; Carnovale, G. Connected macroalgal-sediment systems: Blue carbon and food webs in the deep coastal ocean. Ecol. Monogr. 2019, 89, e01366. [Google Scholar] [CrossRef] [Green Version]
- Choi, C.-G.; Kim, J.-H.; Chung, I.-K. Temporal variation of seaweed biomass in Korean coasts: Yokjido, Gyeongnam Province. Algae 2008, 23, 311–316. [Google Scholar] [CrossRef]
- Kang, J.C.; Choi, H.G.; Kim, M.S. Macroalgal species composition and seasonal variation in biomass on Udo, Jeju Island, Korea. Algae 2011, 26, 333–342. [Google Scholar] [CrossRef]
- van der Heijden, L.H.; Kamenos, N.A. Calculating the global contribution of coralline algae to carbon burial. Biogeosciences 2015, 12, 7845–7877. [Google Scholar] [CrossRef] [Green Version]
- Nguyen, H.T.T.; Pritchard, D.W.; Hepburn, C.D. Nitrogen and phosphorus ecophysiology of coralline algae. J. Appl. Phycol. 2020, 32, 2583–2597. [Google Scholar] [CrossRef]
- Johnson, M.D.; Carpenter, R.C. Nitrogen enrichment offsets direct negative effects of ocean acidification on a reef-building crustose coralline alga. Biol. Lett. 2018, 14, 20180371. [Google Scholar] [CrossRef] [Green Version]
- Keesing, J.K.; Liu, D.; Fearns, P.; Garcia, R. Inter-and intra-annual patterns of Ulva prolifera green tides in the Yellow Sea during 2007–2009, their origin and relationship to the expansion of coastal seaweed aquaculture in China. Mar. Pollut. Bull. 2011, 62, 1169–1182. [Google Scholar] [CrossRef]
- Zhang, Y.; He, P.; Li, H.; Li, G.; Liu, J.; Jiao, F.; Zhang, J.; Huo, Y.; Shi, X.; Su, R. Ulva prolifera green-tide outbreaks and their environmental impact in the Yellow Sea, China. Natl. Sci. Rev. 2019, 6, 825–838. [Google Scholar] [CrossRef] [Green Version]
- Kang, Y.H.; Hwang, J.R.; Chung, I.K.; Park, S.R. Development of a seaweed species-selection index for successful culture in a seaweed-based integrated aquaculture system. J. Ocean Univ. China 2013, 12, 125–133. [Google Scholar] [CrossRef]
- Kang, J.H.; Jang, J.E.; Kim, J.H.; Byeon, S.Y.; Kim, S.; Choi, S.K.; Kang, Y.H.; Park, S.R.; Lee, H.J. Species composition, diversity, and distribution of the genus Ulva along the coast of Jeju Island, Korea based on molecular phylogenetic analysis. PLoS ONE 2019, 14, e0219958. [Google Scholar] [CrossRef]
- Park, S.R.; Kang, Y.H.; Lee, H.J.; Ko, Y.W.; Kim, J.H. The importance of substratum and elevation in recruitment and persistence of ulvoid algal blooms on rocky intertidal shores of the southern Korean coast. Bot. Mar. 2014, 57, 55–66. [Google Scholar] [CrossRef]





| Location | Distance from the Coastline (m) | Area (m2) | % of Total Area |
|---|---|---|---|
| Sandy substrate, total | 362,262 | 25.5 | |
| Rocky substrate, total | 1,058,600 | 74.5 | |
| Supratidal zone | 70,664 | 5.0 | |
| Intertidal zone, total | 123,312 | 8.7 | |
| Upper intertidal zone (UI) | 73–174 | 55,701 | 3.9 |
| Lower intertidal zone (LI) | 119–227 | 67,611 | 4.8 |
| Subtidal zone, total | 864,824 | 60.9 | |
| 0–4-m zone (S1) | 251–459 | 127,689 | 9.0 |
| 4–7-m zone (S2) | 493–872 | 217,960 | 15.3 |
| 7–17-m zone (S3) | 940–1277 | 349,053 | 24.6 |
| 17–22-m zone (S4) | 1044–1316 | 85,639 | 6.0 |
| 22–25-m zone (S5) | 1228–1338 | 84,483 | 5.9 |
| Total | 1,420,862 | 100.0 |
| Species Name | Species Number | Percentage Cover | Relative Percentage Cover | Biomass | ||||
|---|---|---|---|---|---|---|---|---|
| May | October | May | October | May | October | May | October | |
| Upper intertidal zone (UI) | ||||||||
| Chlorophyta | 1 | 1 | 61.8 ± 6.9 | 24.5 ± 3.2 | 70.3 ± 8.3 | 41.2 ± 4.8 | 202.7 ± 26.5 | 7.1 ± 1.3 |
| Ulva spp. | √ | √ | 61.8 ± 6.9 | 24.5 ± 3.2 | 70.3 ± 8.3 | 41.2 ± 4.8 | 202.7 ± 26.5 | 7.1 ± 1.3 |
| Phaeophyceae | 0 | 0 | 0.0 ± 0.0 | 0.0 ± 0.0 | 0.0 ± 0.0 | 0.0 ± 0.0 | 0.0 ± 0.0 | 0.0 ± 0.0 |
| Rhodophyta | 7 | 4 | 27.5 ± 8.2 | 34.8 ± 2.8 | 29.7 ± 8.3 | 58.8 ± 4.8 | 182.3 ± 82.4 | 3.9 ± 2.2 |
| Ahnfeltiopsis flabelliformis | √ | 1.7 ± 0.3 | 1.9 ± 0.4 | 8.2 ± 2.4 | ||||
| Chondracanthus intermedius | √ | 1.3 ± 0.8 | 2.3 ± 1.4 | + | ||||
| Chondracanthus tenellus | √ | + | + | + | ||||
| Chondrus ocellatus | √ | + | + | 2.9 ± 1.2 | ||||
| Corallina pilulifera | √ | √ | 17.5 ± 8.0 | 3.0 ± 1.8 | 18.4 ± 8.3 | 4.7 ± 2.7 | 158.8 ± 80.0 | 3.6 ± 2.4 |
| Crustose coralline algae | √ | √ | 4.8 ± 0.3 | 29.5 ± 2.3 | 5.5 ± 0.6 | 50.0 ± 4.5 | * | * |
| Gelidium amansii | √ | + | + | + | ||||
| Gelidium divaricatum | √ | + | 1.8 ± 1.1 | + | ||||
| Polyopes prolifer | √ | 2.3 ± 0.3 | 2.6 ± 0.3 | 11.3 ± 1.9 | ||||
| Total | 8 | 5 | 89.3 ± 4.9 | 59.3 ± 2.9 | 100.0 ± 0.0 | 100.0 ± 0.0 | 385.0 ± 69.3 | 11.0 ± 2.9 |
| Lower intertidal zone (LI) | ||||||||
| Chlorophyta | 1 | 1 | 46.3 ± 6.2 | 2.3 ± 0.3 | 46.9 ± 6.4 | 3.7 ± 0.7 | 159.3 ± 30.8 | 2.9 ± 1.2 |
| Ulva spp. | √ | √ | 46.3 ± 6.2 | 2.3 ± 0.3 | 46.9 ± 6.4 | 3.7 ± 0.7 | 159.3 ± 30.8 | 2.9 ± 1.2 |
| Phaeophyceae | 2 | 0 | + | 0.0 ± 0.0 | + | 0.0 ± 0.0 | 1.1 ± 1.0 | 0.0 ± 0.0 |
| Colpomenia sinuosa | √ | + | + | + | ||||
| Sargassum fulvellum | √ | + | + | + | ||||
| Rhodophyta | 10 | 7 | 52.2 ± 6.2 | 60.8 ± 5.5 | 52.6 ± 6.2 | 96.3 ± 0.7 | 394 ± 51.4 | 65.5 ± 7.9 |
| Ahnfeltiopsis flabelliformis | √ | √ | 2.0 ± 2.0 | + | 2.0 ± 2.0 | + | 10.4 ± 10.4 | + |
| Chondracanthus tenellus | √ | √ | 14.3 ± 2.6 | 8.3 ± 0.9 | 14.4 ± 2.6 | 13.1 ± 0.8 | 109.4 ± 38.6 | 18.7 ± 2.9 |
| Chondrus ocellatus | √ | + | 1.4 ± 0.9 | 1.8 ± 1.1 | ||||
| Crustose coralline algae | √ | √ | 3.3 ± 0.6 | 37.5 ± 4.1 | 3.4 ± 0.6 | 59.2 ± 1.8 | * | * |
| Eucheuma sp. | √ | + | + | 8.8 ± 8.8 | ||||
| Fushitsunagia catenata | √ | 4.3 ± 1.7 | 4.4 ± 1.7 | 21.8 ± 8.6 | ||||
| Gelidium amansii | √ | √ | 18.0 ± 2.7 | 3.8 ± 1.7 | 18.2 ± 2.7 | 5.5 ± 2.2 | 186.6 ± 25.5 | 6.2 ± 3.8 |
| Gracilaria incurvata | √ | + | + | 5.6 ± 3.9 | ||||
| Grateloupia elata | √ | √ | 7.3 ± 1.4 | 9.5 ± 1.9 | 7.4 ± 1.5 | 15.7 ± 3.4 | 43.5 ± 13.7 | 37.9 ± 10.5 |
| Grateloupia elliptica | √ | + | + | 2.2 ± 0.9 | ||||
| Palisada intermedia | √ | + | + | 5.7 ± 5.7 | ||||
| Pterocladiella capillacea | √ | + | + | + | ||||
| Total | 13 | 8 | 99.0 ± 0.4 | 63.0 ± 5.4 | 100.0 ± 0.0 | 100.0 ± 0.0 | 554.3 ± 40.9 | 68.4 ± 7.0 |
| Species Name | Species Number | Percentage Cover | Relative Percentage Cover | Biomass | ||||
|---|---|---|---|---|---|---|---|---|
| May | October | May | October | May | October | May | October | |
| 0–4 m depth zone (S1) | ||||||||
| Chlorophyta | 1 | 0 | 5.4 ± 5.4 | 0.0 ± 0.0 | 4.3 ± 4.3 | 0.0 ± 0.0 | + | 0.0 ± 0.0 |
| Codium contractum | √ | 5.4 ± 5.4 | 4.3 ± 4.3 | + | ||||
| Phaeophyceae | 3 | 0 | 35.6 ± 11.1 | 0.0 ± 0.0 | 31.5 ± 9.7 | 0.0 ± 0.0 | 30.6 ± 9.1 | 0.0 ± 0.0 |
| Dictyota coriacea | √ | 33.4 ± 10.4 | 29.6 ± 9.2 | 29.5 ± 8.7 | ||||
| Ecklonia cava | √ | + | + | + | ||||
| Rugulopteryx okamurae | √ | 2.0 ± 0.6 | 1.7 ± 0.5 | + | ||||
| Rhodophyta | 7 | 4 | 70.8 ± 14.0 | 93.5 ± 1.3 | 64.2 ± 12.5 | 100.0 ± 0.0 | 150.5 ± 86.6 | 119.7 ± 20.0 |
| Crustose coralline algae | √ | √ | 35.8 ± 5.7 | 44.5 ± 4.1 | 32.7 ± 6.2 | 47.8 ± 5.0 | * | * |
| Erect coralline algae | √ | 6.6 ± 3.1 | 5.5 ± 2.3 | 27.1 ± 15.1 | ||||
| Gelidium amansii | √ | √ | 18.6 ± 15.5 | 47.3 ± 5.4 | 18.1± 15.5 | 50.3 ± 5.1 | 106.1 ± 90.6 | 116.6 ± 19.7 |
| Gelidium yoshidae | √ | 6.4 ± 6.4 | 4.9 ± 4.9 | 6.4 ± 6.4 | ||||
| Gracilaria textorii | √ | + | + | 1.6 ± 1.6 | ||||
| Pachymeniopsis lanceolata | √ | √ | 1.2 ± 1.2 | + | + | + | 1.9 ± 1.9 | 2.8 ± 2.0 |
| Plocamium leptophyllum | √ | √ | 1.3 ± 0.3 | 1.3 ± 0.3 | + | |||
| Pterocladiella capillacea | √ | 1.2 ± 0.6 | 1.2 ± 0.6 | 7.2 ± 4.2 | ||||
| Total | 11 | 4 | 111.9 ± 7.3 | 93.5 ± 1.3 | 100.0 ± 0.0 | 100.0 ± 0.0 | 181.4 ± 77.8 | 119.7 ± 20.0 |
| 4–7 m depth zone (S2) | ||||||||
| Chlorophyta | 0 | 1 | 0.0 ± 0.0 | + | 0.0 ± 0.0 | + | 0.0 ± 0.0 | + |
| Codium contractum | √ | + | + | + | ||||
| Phaeophyceae | 4 | 1 | 56.3 ± 7.7 | 29.8 ± 1.3 | 41.7 ± 4.7 | 33.9 ± 2.8 | 194.8 ± 28.1 | 214.9 ± 41.6 |
| Colpomenia sinuosa | √ | + | + | + | ||||
| Ecklonia cava | √ | √ | 39.7 ± 13.0 | 29.8 ± 1.3 | 29.9 ± 9.8 | 33.9 ± 2.8 | 119.4 ± 51.1 | 214.9 ± 41.6 |
| Rugulopteryx okamurae | √ | + | + | + | ||||
| Undaria pinnatifida | √ | 16.0 ± 11.4 | 11.3 ± 8.0 | 75.0 ± 67.3 | ||||
| Rhodophyta | 5 | 5 | 78.3 ± 6.1 | 58.8 ± 4.7 | 58.3 ± 4.7 | 65.9 ± 2.7 | 405.8 ± 46.4 | 157.4 ± 26.2 |
| Crustose coralline algae | √ | √ | 6.0 ± 2.1 | 26.8 ± 7.1 | 4.6 ± 1.8 | 29.3 ± 6.9 | * | * |
| Dichotomaria apiculata | √ | 8.7 ± 2.6 | 6.6 ± 2.2 | 34.9 ± 20.2 | ||||
| Dichotomaria falcata | √ | + | + | 1.4 ± 1.4 | ||||
| Erect coralline algae | √ | √ | 62.3 ± 7.4 | 28.0 ± 4.7 | 46.1 ± 4.1 | 32.1 ± 6.0 | 359.8 ± 62.0 | 150.6 ± 29.8 |
| Gelidium amansii | √ | 1.3 ± 1.3 | 1.3 ± 1.3 | 1.9 ± 1.9 | ||||
| Gelidium yoshidae | √ | 2.3 ± 0.6 | 2.5 ± 0.7 | 4.6 ± 1.9 | ||||
| Grateloupia angusta | √ | √ | + | + | + | + | 9.8 ± 9.8 | + |
| Total | 9 | 7 | 134.7 ± 5.9 | 88.8 ± 3.9 | 100.0 ± 0.0 | 100.0 ± 0.0 | 600.6 ± 66.9 | 372.3 ± 67.3 |
| 7–17 m depth zone (S3) | ||||||||
| Chlorophyta | 0 | 0 | 0.0 ± 0.0 | 0.0 ± 0.0 | 0.0 ± 0.0 | 0.0 ± 0.0 | 0.0 ± 0.0 | 0.0 ± 0.0 |
| Phaeophyceae | 1 | 1 | 82.3 ± 3.9 | 56.5 ± 3.3 | 58.6 ± 1.5 | 52.5 ± 3.8 | 346 ± 25.5 | 280.3 ± 31.1 |
| Ecklonia cava | √ | √ | 82.3 ± 3.9 | 56.5 ± 3.3 | 58.6 ± 1.5 | 52.5 ± 3.8 | 346.0 ± 25.5 | 280.3 ± 31.1 |
| Rhodophyta | 6 | 5 | 58.4 ± 4.6 | 51.8 ± 5.9 | 41.4 ± 1.5 | 47.5 ± 3.8 | 145.5 ± 20.2 | 85.0 ± 26.2 |
| Crustose coralline algae | √ | √ | 8.3 ± 1.7 | 21.3 ± 4.6 | 5.9 ± 1.0 | 19.3 ± 3.5 | * | * |
| Dichotomaria apiculata | √ | 4.0 ± 0.0 | 2.9 ± 0.2 | 4.9 ± 1.3 | ||||
| Erect coralline algae | √ | √ | 16.7 ± 3.9 | 11.8 ± 1.3 | 11.7 ± 2.4 | 10.9 ± 1.2 | 14.1 ± 2.6 | 16.0 ± 1.4 |
| Grateloupia angusta | √ | √ | 9.7 ± 2.4 | 9.8 ± 2.2 | 6.8 ± 1.6 | 9.1 ± 2.1 | 16.5 ± 3.1 | 31.6 ± 12.3 |
| Peyssonnelia caulifera | √ | √ | 19.3 ± 1.2 | 8.5 ± 1.6 | 13.9 ± 1.6 | 7.8 ± 1.1 | 110.0 ± 18.2 | 37.3 ± 15.4 |
| Plocamium telfairiae | √ | √ | + | + | + | + | + | + |
| Total | 7 | 6 | 140.7 ± 7.8 | 108.3 ± 5.8 | 100.0 ± 0.0 | 100.0 ± 0.0 | 491.5 ± 45.7 | 365.3 ± 14.5 |
| 17–22 m depth zone (S4) | ||||||||
| Chlorophyta | 0 | 0 | 0.0 ± 0.0 | 0.0 ± 0.0 | 0.0 ± 0.0 | 0.0 ± 0.0 | 0.0 ± 0.0 | 0.0 ± 0.0 |
| Phaeophyceae | 1 | 1 | 3.3 ± 1.8 | 3.8 ± 1.1 | 4.6 ± 2.4 | 7.5 ± 2.3 | 6.7 ± 4.2 | 1.5 ± 0.3 |
| Ecklonia cava | √ | √ | 3.3 ± 1.8 | 3.8 ± 1.1 | 4.6 ± 2.4 | 7.5 ± 2.3 | 6.7 ± 4.2 | 1.5 ± 0.3 |
| Rhodophyta | 10 | 4 | 65.7 ± 2.2 | 46.8 ± 1.8 | 95.4 ± 2.4 | 92.5 ± 2.3 | 105.0 ± 9.2 | 97.4 ± 8.4 |
| Acrosorium polyneurum | √ | 1.3 ± 0.3 | 1.9 ± 0.4 | + | ||||
| Ardissonula regularis | √ | 2.0 ± 2.0 | 3.1 ± 3.1 | 1.2 ± 1.2 | ||||
| Crustose coralline algae | √ | √ | 5.7 ± 0.7 | 4.5 ± 0.5 | 8.2 ± 0.5 | 8.9 ± 0.9 | * | * |
| Dichotomaria falcata | √ | 2.7 ± 1.8 | 4.1 ± 2.8 | 1.8 ± 1.5 | ||||
| Gracilaria cuneifolia | √ | 1.7 ± 0.3 | 2.4 ± 0.4 | + | ||||
| Grateloupia angusta | √ | √ | + | 4.3 ± 1.3 | + | 8.3 ± 2.4 | + | 9.3 ± 3.5 |
| Osmundaria fimbriata | √ | + | + | + | ||||
| Peyssonnelia caulifera | √ | √ | 46.3 ± 4.5 | 36.5 ± 1.0 | 66.9 ± 3.8 | 72.3 ± 2.1 | 98.0 ± 11.0 | 88.0 ± 6.7 |
| Plocamium leptophyllum | √ | + | + | + | ||||
| Plocamium telfairiae | √ | √ | 4.7 ± 2.7 | 1.5 ± 0.6 | 6.8 ± 4.1 | 3.0 ± 1.3 | 2.6 ± 1.3 | + |
| Total | 11 | 5 | 69.0 ± 3.6 | 50.5 ± 1.0 | 100.0 ± 0.0 | 100.0 ± 0.0 | 111.7 ± 13.4 | 98.9 ± 8.4 |
| Species Name | Sampling Location | Tissue C Content | Tissue N Content | Tissue P Content | C:N Ratio | N:P Ratio | |
|---|---|---|---|---|---|---|---|
| Chlorophyta | Ulva spp. | UI | 35.21 ± 0.78 | 4.27 ± 0.10 | 0.242 ± 0.009 | 9.62 ± 0.17 | 40.52 ± 2.04 |
| Pheophyceae | Dictyota coriacea | S1 | 38.26 ± 0.29 | 1.40 ± 0.09 | 0.095 ± 0.003 | 32.22 ± 2.25 | 33.56 ± 1.18 |
| Ecklonia cava | S3 | 32.96 ± 0.81 | 1.10 ± 0.06 | 0.150 ± 0.010 | 34.97 ± 1.46 | 16.87 ± 0.68 | |
| Undaria pinnatifida | S2 | 30.12 ± 0.71 | 1.17 ± 0.06 | 0.197 ± 0.005 | 30.07 ± 0.87 | 13.58 ± 0.56 | |
| Rhodophyta | Ahnfeltiopsis flabelliformis | LI | 28.59 ± 0.56 | 2.72 ± 0.19 | 0.162 ± 0.007 | 12.41 ± 1.11 | 38.37 ± 1.12 |
| Chondracanthus tenellus | LI | 27.87 ± 0.19 | 1.40 ± 0.05 | 0.209 ± 0.003 | 23.34 ± 0.73 | 15.27 ± 0.36 | |
| Chondrus ocellatus | UI | 29.54 ± 0.92 | 2.71 ± 0.40 | 0.244 ± 0.011 | 13.32 ± 2.12 | 25.20 ± 2.88 | |
| Corallina pilulifera | UI | 15.74 ± 0.17 | 1.54 ± 0.02 | 0.167 ± 0.004 | 11.90 ± 0.04 | 21.07 ± 0.22 | |
| Dichotomaria apiculata | S2 | 27.61 ± 0.69 | 2.13 ± 0.30 | 0.121 ± 0.005 | 15.81 ± 2.42 | 39.78 ± 4.21 | |
| Dichotomaria falcata | S4 | 25.02 ± 0.53 | 1.75 ± 0.07 | 0.099 ± 0.003 | 16.70 ± 0.75 | 40.74 ± 2.05 | |
| Erect coralline algae | S2 | 16.03 ± 0.18 | 0.20 ± 0.04 | 0.061 ± 0.003 | 100.22 ± 20.90 | 7.78 ± 1.83 | |
| Eucheuma sp. | LI | 17.33 ± 0.26 | 1.04 ± 0.01 | 0.116 ± 0.003 | 19.41 ± 0.37 | 20.64 ± 0.47 | |
| Fushitsunagia catenata | LI | 24.79 ± 0.23 | 2.53 ± 0.07 | 0.227 ± 0.007 | 11.46 ± 0.23 | 25.40 ± 0.37 | |
| Gelidium amansii | LI | 38.57 ± 0.15 | 2.57 ± 0.13 | 0.205 ± 0.009 | 17.58 ± 0.79 | 28.64 ± 0.97 | |
| Gracilaria incurvata | LI | 26.39 ± 0.14 | 2.14 ± 0.03 | 0.137 ± 0.005 | 14.42 ± 0.25 | 35.78 ± 0.81 | |
| Gracilaria textorii | S1 | 31.84 ± 0.05 | 2.52 ± 0.04 | 0.102 ± 0.002 | 14.73 ± 0.23 | 56.52 ± 2.07 | |
| Grateloupia angusta | S3 | 36.38 ± 0.35 | 2.65 ± 0.11 | 0.241 ± 0.009 | 16.04 ± 0.66 | 25.18 ± 0.85 | |
| Grateloupia elata | LI | 35.83 ± 0.23 | 4.29 ± 0.09 | 0.201 ± 0.013 | 9.74 ± 0.15 | 49.22 ± 2.74 | |
| Grateloupia elliptica | LI | 33.16 ± 0.08 | 2.89 ± 0.09 | 0.241 ± 0.016 | 13.42 ± 0.38 | 27.53 ± 1.09 | |
| Pachymeniopsis lanceolata | S1 | 31.87 ± 0.29 | 1.15 ± 0.04 | 0.087 ± 0.002 | 32.27 ± 0.86 | 30.28 ± 0.27 | |
| Palisada intermedia | LI | 26.50 ± 1.09 | 1.82 ± 0.04 | 0.105 ± 0.003 | 17.02 ± 0.72 | 39.69 ± 1.13 | |
| Peyssonnelia caulifera | S3 | 24.22 ± 0.42 | 2.10 ± 0.16 | 0.199 ± 0.008 | 13.59 ± 0.92 | 24.08 ± 0.92 | |
| Plocamium telfairiae | S4 | 32.74 ± 0.56 | 2.98 ± 0.04 | 0.168 ± 0.004 | 12.85 ± 0.41 | 40.42 ± 0.64 | |
| Polyopes prolifer | UI | 35.49 ± 0.38 | 4.20 ± 0.08 | 0.368 ± 0.013 | 9.86 ± 0.28 | 26.19 ± 1.31 | |
| Pterocladiella capillacea | S1 | 36.25 ± 1.00 | 1.97 ± 0.06 | 0.119 ± 0.001 | 21.56 ± 1.16 | 37.76 ± 1.52 | |
Publisher’s Note: MDPI stays neutral with regard to jurisdictional claims in published maps and institutional affiliations. |
© 2021 by the authors. Licensee MDPI, Basel, Switzerland. This article is an open access article distributed under the terms and conditions of the Creative Commons Attribution (CC BY) license (https://creativecommons.org/licenses/by/4.0/).
Share and Cite
Choi, S.K.; Kim, T.H.; Kang, Y.H.; Kim, S.; Kim, T.-H.; Kim, J.K.; Lee, T.; Son, Y.B.; Lee, H.J.; Park, S.R. Changes in the Dynamics and Nutrient Budget of a Macroalgal Community Exposed to Land-Based Fish Farm Discharge Off Jeju Island, Korea. Sustainability 2021, 13, 11793. https://doi.org/10.3390/su132111793
Choi SK, Kim TH, Kang YH, Kim S, Kim T-H, Kim JK, Lee T, Son YB, Lee HJ, Park SR. Changes in the Dynamics and Nutrient Budget of a Macroalgal Community Exposed to Land-Based Fish Farm Discharge Off Jeju Island, Korea. Sustainability. 2021; 13(21):11793. https://doi.org/10.3390/su132111793
Chicago/Turabian StyleChoi, Sun Kyeong, Tae Hyeon Kim, Yun Hee Kang, Sangil Kim, Tae-Hoon Kim, Jang Kyun Kim, Taehee Lee, Young Baek Son, Hyuk Je Lee, and Sang Rul Park. 2021. "Changes in the Dynamics and Nutrient Budget of a Macroalgal Community Exposed to Land-Based Fish Farm Discharge Off Jeju Island, Korea" Sustainability 13, no. 21: 11793. https://doi.org/10.3390/su132111793
APA StyleChoi, S. K., Kim, T. H., Kang, Y. H., Kim, S., Kim, T.-H., Kim, J. K., Lee, T., Son, Y. B., Lee, H. J., & Park, S. R. (2021). Changes in the Dynamics and Nutrient Budget of a Macroalgal Community Exposed to Land-Based Fish Farm Discharge Off Jeju Island, Korea. Sustainability, 13(21), 11793. https://doi.org/10.3390/su132111793

