Abstract
Analyzing the recessive impacts of farmers’ livelihood transformation on the surging labor cost in grain production is conducive to finding optimization paths for grain production. This study developed the Residual Livelihood Ratio (RLR) and the Livelihood Simpson Index (LSI) to measure the transformation of farmers’ livelihood in China, and applied the multiple regression model to explore the influence of the transformation of farmers’ livelihood on the labor cost of grain production. The results show that because of the soaring increment in labor cost, the net profit of rice, wheat, and maize production decreased largely in China. The LSI increased, while the RLR decreased, which indicated that farmers’ livelihoods transitioned towards a more unbalanced income–expenditure but more flexible employment. The Residual Livelihood Ratio; the mechanization input; the grain yield per unit area; the non-grain plantation degree; and the non-agricultural land use degree showed negative impacts on labor cost in grain production, whereas the Livelihood Simpson Index and Engel’s coefficient of farmers showed positive impacts on the labor cost. This paper proposes targeted policy implications for labor cost control of the grain production in China.
1. Introduction
China is a large agricultural and populous country, feeding nearly 20% of the world’s population with less than 9% of the world’s arable land [1]. Since 2005, the No. 1 Central Government document of China has focused on agriculture, rural development, benefits to farmers, and food security for 16 consecutive years. In addition to the economic growth process, a specific dilemma has appeared in China’s grain production: in addition to the increased grain yield, the net profits of grain production declined. Specifically, in 2009–2018, the grain yield increased from 53,940.9 × 104 t to 65,789.2 × 104 t, whereas the net profit of grain production decreased (rice: from $0.289/m2 to $−0.011/m2; wheat: $0.020/m2 to $−0.0383/m2; maize: $0.038/m2 to $−0.021/m2). In the costs and benefits of grain production, the increase in the labor cost was the most notable. For instance, the price of labor in wheat production increased from $0.033/m2 in 2009 to $0.087/m2 in 2018, and the price of labor in maize plantation increased from $0.042/m2 in 2009 to $0.094/m2 in 2018. This increase was more prominent than the cost of other production factors (the cost for fertilizer pesticide, and other management factors only increased from $0.062/m2 to $0.090/m2 in wheat production and $0.052/hm2 to $0.084/hm2 in maize production) [2]. In consequence, most scholars believe that the rising labor cost is the main reason for the increasing total cost of grain cultivation and the declining profit in China. Researchers have analyzed the total cost of grain in several major grain producing areas (including Xinjiang, Heilongjiang, and Hunan) in China and proposed that the labor cost has exceeded that of developed countries, such as the United States, among which the increase in human cost is the most prominent [3,4,5]. Although the improvement of the agricultural mechanization level has reduced the consumption of labor force in grain production, research still shows that China has begun to enter the structural dilemma of excessive investment of agricultural machinery: in 2016, 91.54 standard tractors were used on per thousand hm2 arable land in China, with an increase of 178.33% compared with 2002, while in the United States, only 27.51 standard tractors were input per thousand hm2 arable land, with an increase of merely 3.62% compared with 2002 [6]. As a result, though the total yield and mechanization level in grain production have risen in the production process, the soaring labor force remains a pressing problem in China. Therefore, to answer the question of how to solve the dilemma of declining grain production profits in China, it is urgent to deeply explore the underlying reasons and formation mechanism behind the surge in human costs.
With the increase in labor cost, Chinese farmers have entered a special era of livelihood transformation. In 2010–2019, the rural population in China dropped from 665.58 million to 551.62 million, whereas the peasant-workers (farmers working in non-agricultural industries) increased from 242.33 million to 29,077 million. The exodus of working-age farmers from the countryside restricted the improvement of grain production and comprehensive production capacity. The goal of growing grain for farmers is to obtain economic income, but the problems of high cost and low comparative benefits of grain planting have affected farmers’ willingness and enthusiasm to grow grain, so they have changed to grow other crops with higher economic benefits or engaged in non-agricultural jobs. For example, the grain planted area decreased by 970,000 hm2 in 2019 compared with the previous year, of which the planted area of wheat, rice, and maize decreased by 540,000, 500,000, and 850,000 hm2, respectively. According to the investigation of farmers in Anhui Province, in a whole growing period of rice, it costs about $102.551 per hm2, including $7.972 for seeds, $24.641 for pesticides, $22.105 for fertilizer, $14.495 for cultivated land, $4.348 for sowing, $14.495 for field management (of water, fertilizer and medicine), and $14.495 for harvesting. After more than 100 days of farming, an averagely 600 kg of rice can be harvested and $191.332 can be obtained by selling them. Excluding the costs, the net profit is only about $88.781. However, if farmers go for non-agricultural work in cities, the daily wage can be as high as $17.394–21.742, 6 days of non-agricultural working can earn back the net profit of rice planting [7]. As a result, most farmers tend to increase the diversity of their livelihoods and seek more employment opportunities outside of agriculture to increase their total household income, resulting in the scarcity of labor and the rising labor cost in grain production.
The transformation of Chinese farmers’ livelihoods may be an implicit incentive behind the surge in labor costs of grain production, the inducement of which is complex and needs deeper extraction. Existing studies have discussed the reasons for the rising labor cost, and it is generally believed that the farmers’ livelihood transformation is an important reason to promote the rise of labor cost. Huang et al. [8] found in their research that farmers’ transformation to non-agricultural industries has a significant positive driving effect on the increase in labor cost of grain production. At the same time, the industrialization process will also have a positive effect on the increase in labor cost in grain production. Specifically, in addition to rapid industrialization, the non-agricultural employment wages of farmers have increased, which has led to the increase in the price of labor in grain production [9]. Moreover, the migration of rural labor force to the economically developed areas for non-agricultural employment will lead to the decrease in both the quantity and quality of agricultural labor supply, which also stimulates the increase in labor cost in grain production [10]. For instance, Wu et al. [11] believe that the transformation of farmers to the non-agricultural sector has resulted in the aging and feminization of the rural labor force, which will eventually be reflected in the rising price of the rural labor force.
Previous studies have contributed to confirming the possible impact of farmers’ livelihood transformation on the rising labor cost in grain production, but some questions are still unknown to date. First, farmers’ livelihoods change in a complex process; some changes may be hidden in the balance of income and expenditure in farmers’ daily lives, and some changes may be hidden in farmers’ job options. How to observe the farmers’ livelihood transformation in a comprehensive and succinct way is a complex problem to be answered. Second, the relationship between farmers’ livelihood transformation and labor cost in grain production is an intricate mechanism; effective measurement of their relationship should be an important perspective of policy implications facing future grain production. Hence, this study aimed at solving the above problems, and the paper is organized as follows: Section 2 introduces the methodology; Section 3 illustrates the major results of labor cost in grain production, farmers’ livelihood transformation, and the relationship mechanism between them; Section 4 and 5 introduce a deeper discussion and conclusions of this study.
2. Materials and Methods
2.1. Measurement of Labor Cost of Grain Production and Farmers’ Livelihood Transformation
The cost of grain production includes two aspects: the production cost and land cost. The former includes the labor cost and the material input cost, while the latter refers to the cost of subcontracting or renting arable land from others (Table 1). Among the costs of grain production, the labor cost is an important piece of datum recorded by the Compilation of Cost–benefit Data of National Agricultural Products [2]. This study measures the RLC (RLC = labor cost/total cost of grain production) in different provinces of China, to find the spatiotemporal changes of labor charge in grain production.
Table 1.
The constitution of costs of grain production.
2.2. Evaluation of Farmers’ Livelihood Transformation
Farmers’ livelihood transformation in China has two characteristics. The first one is the differentiation of farmers’ income, which is reflected in the increasing diversity of income sources (including agricultural plantation and non-agricultural jobs). The second one is the change hidden in the balance between farmers’ income and expenditure. With the improvement of living standard in China, the consumption often increases synchronously with the increase in income, and how the relationship between farmers’ income and expenditure changes can be a good map for their livelihood transformation. To reflect farmers’ livelihood transformation comprehensively, this study used the Livelihood Simpson Index (LSI) and the Residual Livelihood Ratio (RLR) to measure the change in farmers’ livelihood in different areas over time.
The concentration or diversification were measured by the Herfindahl Index, the Entropy Index, or Simpson Index in relative studies. The Herfindahl Index equals to the sum of squared market shares of market firms, which is used as a concentration measurement. The first application of Herfindahl Index was used to analyze the concentration of merger reviews by the US Department of Justice in 1984. It was widely applied to measure the concentration in various fields, including the civil aviation [12], the industrial and occupational accidents [13].
The Entropy Index is measured by the sum of the market share of the ith firm multiply to the logarithm of its inverse, which reflects the concentration level. In this case, the enterprises with smaller shares will have larger weights. The Entropy Index is widely used in medical cases [14], ethnic diversity [15], the agricultural diversity [16], gender inequality [17], etc.
The Simpson Index was firstly proposed by Edward Hugh Simpson in 1949 [18]. It’s based on the assumption of two random selected individuals from infinite population are likely belonging to the same species. The Simpson Index equals to one minus the probability of two random sampled individuals are the same species, which was not only used in the evaluation of plant diversity [19,20] and land fragmentation [21], but also adapted to the assessment of income diversification [22,23]
In comparison, these three indexes have two different aspects. Firstly, the Entropy Index gives a greater weight to small businesses, which is vulnerable to the number of businesses with a share less than 1%, whereas the Herfindahl Index and the Simpson Index are not affected by this. Secondly, the Entropy Index and the Herfindahl Index reflect the concentration [13,16], while the Simpson Index is better to reflect the diversification based on the calculation [19]. In this study, the changes of farmers’ income sources from agriculture to other industries are important representations of livelihood transformation, which can be measured by the diversification level of farmers’ livelihood. In this case, we used the Simpson Index to measure the diversification degree of farmers’ income in this paper. The Livelihood Simpson Index (LSI) is measured as follows:
where refers to the proportion of the jth livelihood income in the total income of the ith farmer. refers to the total number of the ith farmer’s livelihood types. LSI ranges between 0 and 1, and a higher LSI indicates higher diversification degree of farmers’ livelihoods.
The measurement of income and expenditure balance is conducive to detect the well-being changes of the farmers’ livelihood transformation. The residual livelihood ratio presents the balance of the income-expenditure structure, which was well used in previous studies [24]. The calculation is as follows:
The refers to the Residual Livelihood Ratio of farmers in the nth region. The refers to farmers’ kth income, including wages, agricultural operation, and property. refers to farmers’ kth expenditure, including food, clothing, and residence (Table 2). A higher RLR indicates that the farmers’ spare more in the balance of income–expenditure, and a lower RLR indicates higher life stresses.
Table 2.
Evaluation indicators of farmers’ Residual Livelihood Ratio.
Based on different combinations of RLR and LSI, this study divided farmers’ livelihood into four types (Figure 1). As the median value has the advantage that it is not affected by large or small data, it is more appropriate to represent the intermediate level of all variables by the median value. As a result, taking the median value of RLR and LSI as the cut-off points, the farmers’ livelihood transformation types can be classified as four quadrants (HH, LH, LL, and LH). The farmers with high RLR and high LSI (in the quadrant HH) have more of a surplus in the balance of income–expenditure, and enjoy more flexible choices of livelihoods, which is named “progressive livelihood”. The farmers with a low RLR and high LSI (in the quadrant LH) have less surplus in the balance of income–expenditure, but still show flexible diversification of livelihoods, which is named “livelihood type with potential to improve”. Farmers with a low RLR and low LSI have less of a surplus in the balance of income–expenditure, and simpler livelihood choices, which is named “low-level livelihood” (in the quadrant LL). Farmers with a high RLR and low LSI (in the quadrant HL) have a high balance of income–expenditure, but make simpler livelihood choices, which is named “specialized livelihood”.
Figure 1.
The division of farmers’ livelihood types in the livelihood transformation.
2.3. Multiple Linear Regression Model of Farmers’ Livelihood Transformation and Labor Cost in Grain Production
The increase in labor cost in food production is a complex social and economic phenomenon, which is influenced by many other factors besides RLR and LSI. For instance, the local agricultural industry development level, the resource allocation in agricultural production, and local economic development level can affect the labor cost in grain production. As a result, this study included X3–X12 (Table 3) as the control variables in the regression model.
Table 3.
The indicators of the multiple linear regression model.
To reflect the impact of local agricultural development of the labor cost in grain production, this study used the contribution of the primary industry to local GDP (X3) and the proportion of primary industry employees in local employees (X4) as control variables. Previous studies found that the price of grain production material and the per unit grain yield are factors affecting the farmers’ enthusiasm in grain production [25], therefore this study added the price index of agricultural means of production (X5) and the grain yield per unit area (X9) as the control variables. Moreover, to reflect the nonnegligible role of public financial support to labor cost in grain production [26,27], the proportion of expenditure on agriculture, forestry and water resources in the total local public budget (X6) was included as the control variables. Scholars also proposed that the agricultural input of mechanization and other capital services is critical in improving the productivity of labor in grain production [28,29], therefore this study selected the mechanization input per local arable land area (X7) and the effective irrigation area(X8) as the control variables. In addition, the urbanization level (X13) potentially impacts grain production negatively [30], which was used in control variable as well. To better reflect the impact of comprehensive living standard of farmers on the labor cost in grain production, the Engel’s coefficient of local farmers (X10) and the local per capita disposable income (X14) were included. Finally, the non-grain plantation degree (X11) and the non-agricultural land use degree (X12) were chosen as the control variables to find the possible effects of plantation structure and land use structure on the labor cost in grain production.
The multiple linear regression is a convenient and fast model to solve multiple regression questions. In this paper, the impact of farmers’ livelihood transformation of the labor cost in grain production was measured to explain the relationship between the independent variables and the dependent variables based on multiple linear regression analysis:
where refers to the ratio of labor cost in the total cost of grain production; and are the independent variable and the control variable, respectively (Table 3). and are the regression coefficients for the independent variable and the control variable, respectively. and are the constant and the random error term, respectively. m and n are the number of dependent variables and independent variables (n = 1, 2; m = 3, 4,…14).
3. Results
3.1. The Soaring Labor Cost in Grain Production
In 2009–2019, the yield per unit area, the price, and the revenue of grain increased, while the cost of grain production increased more intensively (Table 4). The yield per unit area, the selling price, and the revenue of rice, wheat, and maize increased by 5.85–49.41%. However, the total cost of rice, wheat, and maize increased more (by 81.47–91.56%). As a result, the net profit of rice, wheat, and maize decreased largely. It can be concluded that the rapid increasing cost became the major characteristic of the change in the input–output of grain plantation in this period, which induced the large decrease in net profit of grain plantation.
Table 4.
The change in input–output of grain in 2009–2019.
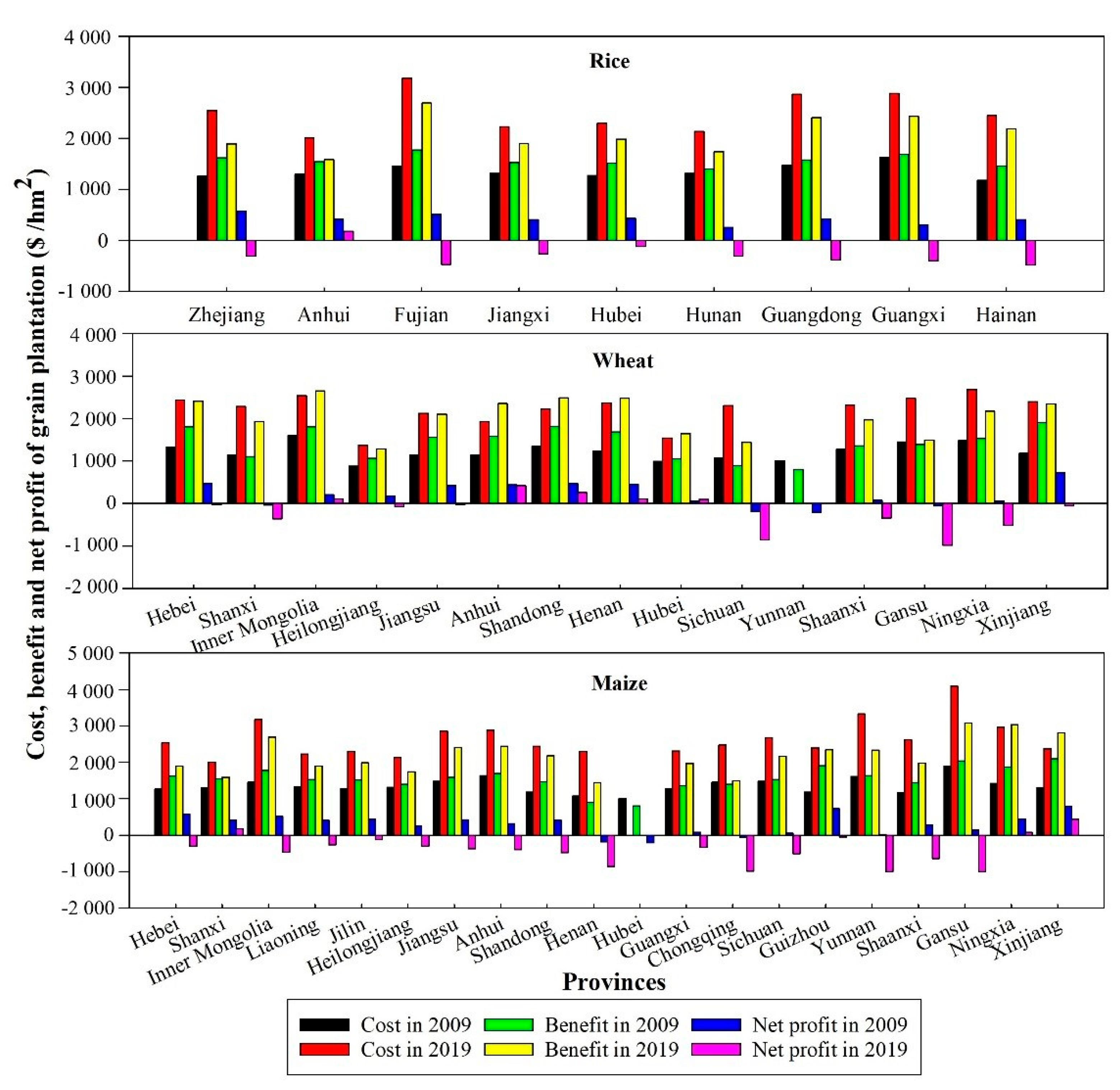
In different provinces, the cost and benefit increased variously (Figure 2). From 2009 to 2019, the net profit of rice, wheat, and maize production in most provinces changed from positive to negative. Till 2019, the highest cost and benefit of rice plantation appeared in Fujian Province, while the highest net profit appeared in Anhui. In terms of wheat plantation, the highest total cost appeared in Ningxia Province, the highest benefit appeared in Inner Mongolia, while the highest net profit appeared in Anhui. In terms of maize plantation, the highest cost and benefit appeared in Gansu Province, while the highest net profit appeared in Xinjiang Province.
Figure 2.
The change in cost, benefit, and net profit of grain plantation in different provinces.
In terms of the constitution of the production cost, the rapid increasing trend of labor cost, and the slight increases in land and material input costs were clear (Figure 3). During 2009–2019, the labor cost of rice production increased by 137.83%. The labor cost for wheat plantation increased by 134.03%. For maize production, the labor cost increased by 137.83%. Till 2019, the proportion of labor cost in the total cost of rice, wheat and maize reached 36.89%, 33.13%, and 42.99%, respectively. From the long-term change in the constitution of the cost, the soaring labor cost became a considerable cause of the increasing cost of grain plantation.
Figure 3.
The change in constitution of grain plantation cost.
3.2. The Spatiotemporal Change in Farmers’ Livelihood Transformation
In 2009–2019, the farmers’ annual income in China increased by 183.65%, among which the wage income, agricultural income, property income, and transfer income increased by 190.90%, 112.06%, 104.61%, and 633.89%, respectively (Figure 4). Compared with the income, the farmers’ annual expenditure increased more (by 203.6%), among which the expenditure on food, clothes, accommodation, home equipment, transportation, education and entertainment, health, and others increased by 122.83%, 178.58%, 230.51%, 251.79%, 319.45%, 282.19%, 331.28%, and 159.57%, respectively. It can be seen that most of the farmers’ expenditures increased faster than the incomes, which formed a continuous income–expenditure gap for farmers’ livelihood. Among various income and expenditure types, the increase in transfer income and the expenditure on health were the most prominent.
Figure 4.
The change in farmers’ annual income and expenditure in 2009–2019.
In total, the farmers’ average LSI in China increased from 0.593 to 0.659 in 2009–2019, indicating that the source of farmers’ income became more abundant, which increased the farmers’ livelihood diversities. The farmers’ average RLR in China experienced a fluctuated decrease from 0.225 to 0.168 (Figure 5), indicating that the farmers’ expenditure increased faster than the income, which formed increasingly severe living pressure in farmers’ daily life.
Figure 5.
Chinese farmers’ average RLR and LSI of in 2009–2019.
For different provinces, the change in RLR varies over time (Figure 6). From 2009 to 2019, the provinces in central and eastern China experienced a general decrease in RLR. In 2009, the farmers in Tianjin, one of the most developed municipalities in China, showed the highest RLR, with an average annual income of $1259.25 and expenditure of $619.39. The farmers in Shanxi showed the lowest RLR, with an average annual income of $498.27 and expenditure of $485.46. In 2019, the highest RLR appeared in one of the undeveloped areas in China, Xizang, with an average annual income of $1877.23 and expenditure of $1220.16. The lowest RLR appeared in Gansu, with an average annual income of $1395.70 and expenditure of $1405.13. It can be seen that the balance between farmers’ income and expenditure is broken in addition to the growth of farmers’ living standards, which can appear in both the economically undeveloped and developed areas. As a result, the farmers’ livelihood risk sometimes occurs due to the “double-high” of income and consumption, which meant that some developed provinces in eastern China showed an even lower RLR than the inland provinces.
Figure 6.
The distribution of farmers’ RLR in different provinces in 2009 and 2019.
The LSI showed a different spatial distribution from the RLR (Figure 7). In 2009, the lowest LSI appeared in Xinjiang Province, the major reason for which is the high proportion of farmers’ agricultural income (79% of the total income). The high proportion of agricultural income in farmers’ total income in Xinjiang formed a specialized livelihood mode, and made the diversification of farmers’ livelihood relatively low in this area. The highest LSI appeared in Qinghai Province, the reason for which is the relatively balanced ratios among different income types (the salary income, agricultural income, property income, and transfer income occupy 32%, 50%, 3%, and 14%, respectively). In 2019, the lowest LSI appeared in Beijing, though the farmers’ yearly income in Beijing ranked second in China (as high as $3839.72), the farmers’ income source was too specialized (75% of the farmers’ income in Beijing comes from salaries), which formed a low LSI in this area. The highest LSI was still located in Qinghai Province, but compared with the year 2009, the ratios among different income types for farmers in Qinghai became more balanced in 2019 (the salary income, agricultural income, property income, and transfer income occupy 31%, 37%, 4%, and 28%, respectively).
Figure 7.
The distribution of farmers’ LSI in different provinces in 2009 and 2019.
Using the median value of LSI (0.598) and RLR (0.21) among the 31 provinces through 2009–2019 as the dividing points, the livelihood types of farmers in different areas are shown in Figure 8. Moreover, it is worth mentioning that the changes in farmers’ livelihood types are inherently dynamic. Therefore, the cut-off point of dividing standards of farmers’ livelihood types may not be an absolute value. In future study, if the study time span is extended to other years, a new median can also be used as a new cut-off point.
Figure 8.
Change in farmers’ livelihood types in different provinces in 2009 and 2019.
In terms of livelihood type transformation (Figure 8), six provinces experienced a farmers’ livelihood transformation from “low-level livelihood” to “livelihood type with potential to improve”, namely, NeiMengol, Gansu, Ningxia, Yunnan, Hunan, and Anhui.
Six provinces and a municipality experienced a farmers’ livelihood transformation from “specialized livelihood” to “livelihood type with potential to improve”, namely, Hebei, Hubei, Chongqing (a municipality in China), Fujian, Guangdong, and Hainan. Specifically, in 2009, farmers in these provinces mainly lived on agricultural income (more than 47% of the farmers’ income come from agriculture), whereas in 2019, farmers tended to live on salary income (at least 35% of the farmers’ income comes from salaries), and the agricultural income decreased (only 26% to 42% of the farmers’ income comes from agriculture). Synchronously, the RLR of these provinces decreased by 0.06–0.17.
Six provinces experienced a farmers’ livelihood transformation from “specialized livelihood” to “progressive livelihood”, namely, Jilin, Jiangsu, Shandong, Henan, Jiangxi, and Xinjiang. Specifically, farmers in these provinces relied even more highly on agricultural income. For instance, 72% of farmers’ income in Hainan and 79% of farmers’ income in Xinjiang come from agriculture, respectively. By 2019, the proportion of agricultural income in total income decreased to 35–54%. As a result, the farmers’ low-level livelihood has been improved, which has led to a higher potential to improve and progress livelihood types.
In all, the provinces with farmers’ low-level livelihood decreased largely, while provinces with farmers’ progressive livelihood and livelihood type with potential to improve increased significantly, which indicated an overall improvement trend in the farmers’ livelihood transformation process.
3.3. The Impact of Farmers’ Livelihood Transformation on the Labor Cost of Grain Production
To test possible multi-collinearity problems, this study performed collinearity diagnosis among variables using the SPSS software. Specifically, if the variance expansibility factor (VIF) of a variable is lower than 10, and the tolerance is higher than 0.1, the variable does not have a strong collinearity problem in the regression. The results show that X4, X6, X8, X12, and X13 for rice; X4, X6, X11, X12, and X14 for wheat; and X6, X9, and X11 for maize did not pass the collinearity diagnosis (Table 5), and they were excluded from the regression as a result.
Table 5.
Results of the collinearity diagnosis of the variables.
The results of the multiple linear regression show that the indicators of farmers’ livelihood transformation have a significant impact on the labor cost in grain production (Table 6). Specifically, the Residual Livelihood Ratio (X1) showed a significantly negative relationship with the labor cost of grain production at the 0.05 level of significance. A possible reason for this is that a larger farmers’ Residual Livelihood Ratio will form a higher capital surplus in the balance of income and expenditure, which is helpful for them to invest in more alternative elements of labor (such as agro-machinery and technologies), and helps to spare more labor cost in gain production. The Livelihood Simpson Index (X2) is significantly positively related with the labor cost of grain production at the 0.05 level of significance. This may be due to the fact that when the farmers’ livelihood types are more varied, farmers often tend to obtain income from non-agricultural wages, transferred income, and property income, etc., which may form a deficit of agricultural labor and higher cost in grain plantation.
Table 6.
Regression analysis of farmers’ livelihood and the labor cost of grain production.
In terms of the control variables, the mechanization input into per unit arable land (X7) is significantly negatively related to the labor cost of grain production (for rice, wheat, and maize). This means that the higher the mechanization level is, the stronger the factor substitution of agro-machinery to laborers will be, which helps to reduce the labor cost in grain production. The grain yield per unit area (X9) is significantly negatively related to the labor cost in grain production (for rice and wheat). The major reason for this is that the higher grain yield per unit area means higher local grain productivity, which is often a reflection of high production efficiency and lower reliance on agricultural labor. Engel’s coefficient of local farmers (X10) is significantly positively related with the labor cost (for rice, wheat, and maize). This is due to the fact that greater poverty often occurs with a high proportion of expenditure on food in farmers’ total expenditure, which indirectly reflects lower local economic development levels and lower prices of labor for grain production. The non-grain plantation degree (X11) is significantly negatively related to the labor cost in grain production (for rice). This means that the higher the proportion of the non-grain crop plantation area, the lower the enthusiasm for grain plantation is, which often pushes more farmers to rely on non-grain crop plantation and spend less on grain plantation labor costs. Due to this transformation, labor costs may increase in non-grain crop production but decrease in grain plantation. The non-agricultural land use degree (X12) is significantly negatively related to the labor cost in grain production (for maize). The major reason for this is that the higher the proportion of local non-agricultural land use is, the higher the proportion of the non-agricultural economy is in the local economic structure, which is often related to the phenomenon that the grain labor force shifts to the non-agricultural industry, and forms a lower grain plantation scale and lower labor cost.
4. Discussion
4.1. “Traps” Hidden in the Farmers’ Livelihood Transformation
This study uncovered two characteristics of farmers’ livelihood transformation: the decreasing Residual Livelihood Ratio and the increasing Livelihood Simpson Index. The former one indicated a faster increase in expenditure than the income in farmers’ life, the later one indicated an increasing diversification of farmers’ income sources. This change is a reflection of farmers’ livelihood traps: though income sources become more flexible, farmers’ life stress increases.
In the process of modernization, farmers’ livelihood transformation is inevitable, but is often full of uncertainty and vulnerability. To revitalize the world’s countryside, a greater focus on the improvements of farmers’ livelihood transformation is required [31]. In developed countries, rural environmental degradation, reduced employment opportunities for farmers, and declining services have emerged in farmers’ livelihood transformation [32]. In the rural development paths of developed countries, such as the Netherlands and France, a radical evolution of agricultural scale management and peasant professionalization by eliminating part-time farmers were adopted in the 1960s. Though farmers’ professionalization in developed countries is helpful to improve the agricultural production and management modernization level, under the constraints of China’s household land contract system, the number of traditional smallholders and diversification of farmers’ livelihood are still widespread [33,34]. As a result, to face the existing farmers’ livelihood transformation issues, more control measures should be proposed to improve farmers’ livelihoods and reduce the cost and fragmentation of grain production.
On the other hand, in developing countries, due to delays and limited financial resources, farmers’ livelihoods face more pressure, making the sustainable transformation of farmers’ livelihood more difficult. In remote villages in Humla County, Nepal, poor and affluent households have similar diversified livelihoods, but poor households have less access to “high-paying off-farm activity sectors”, such as trade and salaried jobs, than rich households, making it harder for them to escape poverty [35]. In a country such as China with complicated terrain and a vast area, special geographical units (ecologically fragile areas, such as mountains and highland) can especially increase the difficulty of household livelihood transformation [36]. As a result, China’s farmers’ livelihood transformation should be aware of such issues. Sustainable farmers’ livelihood transformation should be “both rich and flexible”, i.e., governments should focus more on supplying diversified employment opportunities and controlling the rising cost of living based on regional differences.
4.2. Consequences of Soaring Labor Cost in Grain Production
In this study, the labor cost increased in grain production in addition to the farmers’ livelihood transformation. The results are conducive to finding the possible consequences of future difficulties in grain production: the grain yield and plantation structure may be affected in different ways.
The grain yield may be affected in the transformation of farmers’ livelihood. This study found that as the Residual Livelihood Ratio increases, the labor cost in grain production decreases. This may result in the increase in grain yield, which is supported by relative studies. In the major grain producing areas of China, a strong positive relationship between farmers’ livelihood transformation towards non-agricultural jobs with the grain yield is highlighted [37]. In the major grain sale areas of China, due to the increasing production factors, a positive relationship is also proved between the farmers’ livelihood diversification and grain yield [38]. On the contrary, some research proposes contradictory opinions. A negative relationship between farmers’ livelihood transformation towards non-agriculture and grain productivity has been found in Vietnam [39] and China Family Panel Statistics [40], and the reasons for this come from the decrease in the diversity of crop species and the loss of young male labors in the field, in addition to farmers’ livelihood transformation to non-agricultural industries.
The grain plantation structure may be affected in the transformation of farmers’ livelihood. On the one hand, with the increase in labor cost, farmers may tend to reduce the grain plantation to save the total investment in agriculture. On the other hand, compared with economic crops, grain crops require less laborers and facilitate the use of machinery to replace labor [41,42]; hence, the proportion of grain plantation in farmers’ land use usually increases when the labor cost increases [43,44]. A study in Brazil proposed that labor transfer will cause farmers to reconfigure the use of land, and turn from commercial cash crops to self-sustaining grain crops [45]. The rice production in China also proved that labor aging and labor transfer did not show a significant negative impact on rice production [46]. As a result, accompanied by the farmers’ livelihood changes and labor cost increases in grain production, grain cultivation can either increase or decrease for different farmers in different regions, which requires long-term monitoring of the spatio-temporal change in grain plantation and stronger policy support to maintain sustainable grain production.
4.3. Policy Implications
Though the Chinese government has implemented many policies to improve agricultural efficiency and rural revitalization, the policy system for coping with the soaring labor cost in grain production requires further strengthening. Based on the results of this study, policy suggestions are provided for coping with the rising labor cost and farmers’ livelihood transformation as follows.
First, the mechanization level of grain production should act as an important substitute for soaring labor costs. This study confirms the important impact of mechanization level on the labor cost in grain production. The long-term agricultural development during the period 1880–1980 in developed countries also support the possibility of using technological innovation to compensate for the increasing factor price [47]. Research in America, Japan, and Indonesia has successfully found the elasticity of substitution between mechanization and increasingly expensive labor [48,49]. The increase in labor cost in grain production should be solved by changing the production factor mix and especially enlarging the mechanizing level to save labor input [50,51,52]. From the perspective of recombination of production factors, making full use of mechanization in grain production should be a powerful solution to labor cost increases in grain production.
Second, improving the grain production efficiency by optimizing the input structure is highly needed. This study highlights the significant impact of grain yield per unit area on the labor cost in grain production. Relative research studies have also proposed that readjusting the input structure (especially reducing the input of chemical production material and improve the technical input) is highly conducive to improving the overall technical efficiency in grain production [53,54], which will become an essential process to solve the soaring labor cost during the plantation process.
Third, improving farmers’ income from different sources is essential for controlling the increase in labor cost in grain production. This study proposes the impact of farmers’ living standard (the RLR and the Engel coefficient) on the labor cost of grain production, which emphasizes the importance of increasing farmers’ income. Specifically, the government should be devoted to optimizing the employment environment, expanding employment positions, and improving the vocational skills of farmer workers. For farmers’ operating income, the government should improve policies on finance, credit, insurance and land use to reduce the costs of grain production. For farmers’ property income, the government should push forward the reform of the rural collective property rights system, accelerate the completion of the liquidation and verification of rural collective assets, and quantify the collective operational assets to farmers, to transfer rural resources into farmers’ assets, and transform farmers from subordinates into shareholders. For farmers’ transfer income, the government should strengthen public financial security for farmers’ production and living and optimize the pattern of income distribution between urban and rural areas.
Moreover, the government needs to guide reasonable land use in grain production. On the one hand, more subsidies for grain production should be provided to address farmers’ preferences for non-grain crops; on the other hand, the scale and speed of non-agricultural land use should be controlled by a stricter land allocation system and long-term land use planning.
Lastly, to innovate the labor force structure, governments should reorganize the new types of agricultural business entities and traditional farmers. Affected by the increase in both income and living cost, the farmers’ Residual Livelihood Ratio experienced various decreases in China. To seek better living, farmers’ transformation to non-agricultural industries and increasing labor costs in grain production are not unusual, and the solutions are hidden in new types of ago-business entities, including family farms, professional farmers, leading enterprises, and rural cooperatives, which have obvious advantages in modern agricultural management. As a result, more skilled and new professional types of agricultural entities should be trained and supported to coordinate efforts to increase grain productivity. The absorption of smallholder farmers by new types of agricultural business is conducive to the establishment of an efficient payment method of labor wages and the effective control of the soaring labor cost.
5. Conclusions
To explore the reason and solutions behind the increasing labor cost in grain production, this study analyzed the change in farmers’ Residual Livelihood Ratio (RLR) and Livelihood Simpson Index (LSI) in China and the impact of farmers’ livelihood transformation on labor cost in grain production.
The result showed that in 2009–2019, accompanied by the increase in crop yield and revenue, the net profit of rice, wheat and maize decreased largely, which was mainly caused by the soaring labor cost in grain production. At the same time, farmers’ average LSI in China increased from 0.593 to 0.659, which made farmers’ income sources more abundant due to the increasing employment options. The farmers’ average RLR in China experienced a fluctuated decrease from 0.225 to 0.168, indicating that farmers’ living pressure was more stressful due to a faster increase in expenditure than income.
The RLR; the mechanization input into per unit arable land area; the grain yield per unit area; the non-grain plantation degree; and the non-agricultural land use degree showed a significantly negative relationship with the labor cost in grain production. The LSI and Engel’s coefficient of local farmers are significantly positively related with the labor cost in grain production. As a result, policy design should focus more on the improvement of mechanization degree in grain production, improving the grain production efficiency, improving farmers’ income from different sources, controlling the non-grain plantation and non-agricultural land use, and improving the combination of new types of agricultural business entities and traditional farmers.
Lastly, this study revealed the underlying changing pattern of farmers’ livelihood transformation and labor cost in grain production; due to the limitation of attainable data, statistical data were used for the evaluation. In future research, further investigation in a typical village and collection of samples of plentiful typical rural households would be more conducive to exploring the detailed interaction between farmers’ livelihood and labor cost.
Author Contributions
Conceptualization, G.Y.; methodology, X.J.; software, Y.L.; validation, S.X.; formal analysis, Y.L.; data curation, S.X.; writing—original draft preparation, G.Y.; writing—review and editing, X.J. and W.W.; and funding acquisition, G.Y. All authors have read and agreed to the published version of the manuscript.
Funding
This research was supported by the National Natural Science Foundation of China (Project No. 42171253), the Humanities and Social Science project of Shandong Province (2021-JCGL-08), and the Research project of teaching reform of Shandong Normal University (2019XM42).
Institutional Review Board Statement
Not applicable.
Informed Consent Statement
Not applicable.
Data Availability Statement
The data supporting the reported results in the present study will be available on request from the corresponding author or the first author.
Acknowledgments
The authors extend great gratitude to the anonymous reviewers and editors for their helpful reviews and critical comments.
Conflicts of Interest
The authors declare no conflict of interest.
References
- Zhou, Y.; Li, X.; Liu, Y. Cultivated land protection and rational use in China. Land Use Policy 2021, 106, 105454. [Google Scholar] [CrossRef]
- The Price Department of National Development and Reform Commission of China. The Compilation of Cost-Benefit Data of National Agricultural Products (2009–2019); China Statistics Press: Beijing, China, 2020. Available online: https://data.cnki.net/Trade/yearbook/single/N2019010190?z=Z009 (accessed on 24 August 2020).
- Shi, B. Study on the Cost and Benefit of Grain Crop Production in Xinjiang—Take Wheat as an Example; Xinjiang Agricultural University: Ürümqi, China, 2018; pp. 1–59. [Google Scholar]
- Zhou, J.; Xie, Y.; Xiang, P. Emergy Analysis of Inputs and Outputs of Major Field Crop Ecosystems in Hunan Province. Crops 2021, 1, 175–181. (In Chinese) [Google Scholar] [CrossRef]
- Zhai, T.; Fan, Y.; Ma, G. Cost-benefit analysis and countermeasures of grain crops in Heilongjiang Province. Grain Sci. Technol. Econ. 2015, 1, 12–16. (In Chinese) [Google Scholar] [CrossRef]
- Yao, C.; Hou, F.; Chen, H. Logical relation and its policy implications between agricultural mechanization and food security: Based on a contrastive study of the cost and benefit of three main grain crops between China and the United States. J. Chin. Agric. Mech. 2021, 42, 1–8. (In Chinese) [Google Scholar] [CrossRef]
- Wang, G. The Dilemma of China’s Grain Production and the Choice of High-quality Development Path. J. China West Norm. Univ. 2021, 11–18. (In Chinese) [Google Scholar] [CrossRef]
- Huang, M.; Li, X.; Zeng, L. Impact of industrializaiton on rural labor price: Based on the test of the mediating effect of labor migration. J. China Agric. Univ. 2019, 24, 206–217. (In Chinese) [Google Scholar] [CrossRef]
- Yi, X.; Yan, Y. The impact of rural labor price fluctuation on grain production and its regional differences. J. South China Agric. Univ. 2019, 18, 70–83. (In Chinese) [Google Scholar] [CrossRef]
- Hu, X.; Zhong, F. The impact of rural population aging on food production: An analysis based on rural fixed observation data. Chin. Rural Econ. 2012, 6, 29–39. [Google Scholar]
- Wu, L.; Li, G.; Zhou, X. The demand and substitution relations of grain production factors. J. Zhongnan Univ. Econ. Law 2016, 2, 140–148. [Google Scholar]
- Mark, G.L. Adjusting the Herfindahl index for close substitutes: An application to pricing in civil aviation. Transport. Res. Part E. 2004, 40, 123–134. [Google Scholar] [CrossRef]
- Lee, S.; Chang, S.R.; Suh, Y. Developing Concentration Index of Industrial and Occupational Accidents: The Case of European Countries. Saf. Health Work. 2020, 11, 266–274. [Google Scholar] [CrossRef]
- Froese, L.; Dian, J.; Gomez, A.; Batson, C.; Sainbhi, A.S.; Zeiler, F.A. Association Between Processed Electroencephalogram-Based Objectively Measured Depth of Sedation and Cerebrovascular Response: A Systematic Scoping Overview of the Human and Animal Literature. Front. Neurol. 2021, 12, 692207. [Google Scholar] [CrossRef]
- Richard, H. Visualising the scales of ethnic diversity in London using a multilevel entropy. Environ. Plan. A 2020, 52, 1239–1242. [Google Scholar] [CrossRef]
- Devi, N.; Prasher, R.S. Growth and Diversification of Mountain Agriculture: A Case Study of Himachal Pradesh. Econ. Aff. 2019, 64, 47–53. [Google Scholar] [CrossRef]
- Ekhosuehi, V.; Osagiede, A. The use of entropy index for gender inequality analysis. Glob. J. Math. Sci. 2011, 9, 25–30. [Google Scholar] [CrossRef][Green Version]
- Simpson, E.H. Measurement of Diversity. Nature 1949, 163, 688. [Google Scholar] [CrossRef]
- Subburayalu, S.; Sydnor, T. Assessing street tree diversity in four Ohio communities using the weighted Simpson index. Landsc. Urban Plan. 2012, 106, 44–50. [Google Scholar] [CrossRef]
- Liu, S.; Zhu, L.M.L.; Jiang, W.C.; Qin, J.Z.; Lee, H.S. Research on the effects of soil petroleum pollution concentration on the diversity of natural plant communities along the coastline of Jiaozhou bay. Environ. Res. 2021, 197, 111127. [Google Scholar] [CrossRef]
- W, Y.; Li, X.; Lu, D.; Yan, J. Evaluating the impact of land fragmentation on the cost of agricultural operation in the southwest mountainous areas of China. Land Use Policy 2020, 99, 105099. [Google Scholar]
- Leng, C.X.; Ma, W.L.; Tang, J.J.; Zhu, Z.K. ICT adoption and income diversification among rural households in China. Appl. Econ. 2020, 33, 3614–3628. [Google Scholar] [CrossRef]
- Johny, J.; Wichmann, B.; Swallow, B.M. Characterizing Social Networks and Their Effects on Income Diversification in Rural Kerala, India. World Dev. 2017, 94, 375–392. [Google Scholar] [CrossRef]
- Wu, Z. The calculation method of surplus livelihood ratio under the view of income difference. Product. Res. 2019, 6, 32–36. (In Chinese) [Google Scholar] [CrossRef]
- Rozelle, S. Success and failure of reform: Insights from the transition of agriculture. J. Econ. Lit. 2004, 42, 404–456. [Google Scholar] [CrossRef]
- Han, X.; Qu, L.L. Research on Efficiency of Financial Supports in Agricultural Industrialization in China. J. Northeast Agricul. Uni. 2016, 23, 78–81. [Google Scholar] [CrossRef]
- Zhang, D.H.; Wang, H.Q.; Lou, S. Research on grain production efficiency in China’s main grain-producing areas from the perspective of grain subsidy. Environ. Tech. Innov. 2021, 22, 101530. [Google Scholar] [CrossRef]
- Zhang, J.; Mishra, A.K.; Zhu, P.; Li, X. Land rental market and agricultural labor productivity in rural China: A mediation analysis. World Dev. 2020, 135, 105089. [Google Scholar] [CrossRef]
- Qiu, T.; Shi, X.; He, Q.; Luo, B. The paradox of developing agricultural mechanization services in China: Supporting or kicking out smallholder farmers? China Econ. Rev. 2021, 69, 101680. [Google Scholar] [CrossRef]
- Lu, W.C.; Chen, N.L.; Qian, W.X. Modeling the effects of urbanization on grain production and consumption in China. J. Integr. Agric. 2017, 16, 1393–1405. [Google Scholar] [CrossRef]
- Liu, Y.; Li, Y. Revitalize the world’s countryside. Nature 2017, 548, 275–277. [Google Scholar] [CrossRef]
- Sørensen, J.F. The rural happiness paradox in developed countries. Soc. Sci. Res. 2021, 98, 102581. [Google Scholar] [CrossRef]
- Van der Ploeg, J.; Laurent, C.; Blondeau, F.; Bonnafous, P. Farm diversity, classification schemes and multifunctionality. J. Environ. Manag. 2009, 90, S124–S131. [Google Scholar] [CrossRef]
- Visser, M.A.; Mullooly, J.; Campos-Melchor, P. Diversifying, transforming, and last resorts: The utilization of community based youth serving organizations in the construction of livelihood strategies by disconnected youth in rural America. J. Rural. Stud. 2020, 80, 328–336. [Google Scholar] [CrossRef]
- Gautam, Y.; Andersen, P. Rural livelihood diversification and household well-being: Insights from Humla, Nepal. J. Rural. Stud. 2016, 44, 239–249. [Google Scholar] [CrossRef]
- Hediger, W.; Knickel, K. Multifunctionality and Sustainability of Agriculture and Rural Areas: A Welfare Economics Perspective. J. Environ. Policy Plan. 2009, 11, 291–313. [Google Scholar] [CrossRef]
- Cheng, M.; Zhang, S.; Pan, X. Does migration of rural labor affects the grain yield?—An empirical analysis based on panel data of main production district in China. Res. Econ. Manag. 2013, 10, 79–85. [Google Scholar] [CrossRef]
- Zheng, L. The Impacts of Labor Migration on Farm Households’ Agricultural Produciton: Emipirical Evidences from 4 Countries in Jiangxi Province. Ph.D. Thesis, Zhejiang University, Hangzhou, China, 2011. [Google Scholar]
- Nguyen, D.L.; Grote, U.; Nguyen, T.T. Migration, crop production and non-farm labor diversification in rural Vietnam. Econ. Anal. Policy 2019, 63, 175–187. [Google Scholar] [CrossRef]
- Tong, Y.; Shu, B.; Piotrowski, M. Migration, Livelihood Strategies, and Agricultural Outcomes: A Gender Study in Rural China. Rural. Sociol. 2019, 84, 591–621. [Google Scholar] [CrossRef]
- Liu, Q.; Shumway, C.R. Geographic aggregation and induced innovation in American agriculture. Appl. Econ. 2006, 38, 671–682. [Google Scholar] [CrossRef]
- Kuroda, Y. The Production Structure and Demand for Labor in Postwar Japanese Agriculture, 1952–1982. Am. J. Agric. Econ. 1987, 69, 328–337. [Google Scholar] [CrossRef]
- Zheng, X.; Xu, Z. Endowment restriction, factor substitution and induced technological innovation: A case research on the grain producing mechanization in China. China Econ. Q. 2016, 16, 45–66. (In Chinese) [Google Scholar] [CrossRef]
- Lu, W. Research on the Impact of Rural Labor Migration on China’s Grain Production. Ph.D. Thesis, Nanjing Agricultural University, Nanjing, China, 2016. [Google Scholar]
- Damon, A.L. Agricultural Land Use and Asset Accumulation in Migrant Households: The Case of El Salvador. J. Dev. Stud. 2010, 46, 162–189. [Google Scholar] [CrossRef]
- Li, M.; Wang, Z.; Zhang, G. The impact of migrant labor on rice production in China. Agro Food Ind. Hi-Tech. 2016, 27, 53–58. [Google Scholar]
- Hayami, Y.; Ruttan, V.W. Factor Prices and Technical Change in Agricultural Development: The United States and Japan, 1880–1960. J. Political Econ. 1969, 78, 1115–1141. [Google Scholar] [CrossRef]
- Binswanger, H.P. A Cost Function Approach to the Measurement of Elasticities of Factor Demand and Elasticities of Substitution. Am. J. Agric. Econ. 1973, 56, 377–386. [Google Scholar] [CrossRef]
- Yamauchi, F. Rising real wages, mechanization and growing advantage of large farms: Evidence from Indonesia. Food Policy 2016, 58, 62–69. [Google Scholar] [CrossRef]
- Li, T.; Yu, W.; Baležentis, T.; Zhu, J.; Ji, Y. Rural demographic change, rising wages and the restructuring of Chinese agriculture. China Agric. Econ. Rev. 2017, 9, 478–503. [Google Scholar] [CrossRef]
- Zhu, S.; Xu, X.; Ren, X.; Sun, T.; Oxley, L.; Rae, A.; Ma, H. Modeling technological bias and factor input behavior in China’s wheat production sector. Econ. Model 2016, 53, 245–253. [Google Scholar] [CrossRef]
- Tian, X.; Yi, F.; Yu, X. Rising cost of labor and transformations in grain production in China. China Agric. Econ. Rev. 2019, 12, 158–172. [Google Scholar] [CrossRef]
- Wang, Y.; Shi, L.; Zhang, H.; Sun, S. A data envelopment analysis of agricultural technical efficiency of Northwest Arid Areas in China. Front. Agric. Sci. Eng. 2017, 4, 195–207. [Google Scholar] [CrossRef]
- Yang, S.; Wang, H.; Tong, J.; Ma, J.; Zhang, F.; Wu, S. Technical Efficiency of China’s Agriculture and Output Elasticity of Factors Based on Water Resources Utilization. Water 2020, 12, 2691. [Google Scholar] [CrossRef]
Publisher’s Note: MDPI stays neutral with regard to jurisdictional claims in published maps and institutional affiliations. |
© 2021 by the authors. Licensee MDPI, Basel, Switzerland. This article is an open access article distributed under the terms and conditions of the Creative Commons Attribution (CC BY) license (https://creativecommons.org/licenses/by/4.0/).







