Abstract
Governments formulate different subsidy policies to incentivize manufacturers to produce green products, and these policies may have different subsidy effects. The purpose of this study is to compare and analyze the dynamic effects of different subsidy policies to the manufacturer in a green supply chain composed of a manufacturer and a retailer. Three differential game models, considering the consumers preference, are established under three subsidy policies, and the corresponding optimal equilibrium strategies of the supply chain members are analyzed. An example is used to compare the effects of the three policies under the equal government subsidy expenditure. The study finds that the rankings of indexes to evaluate steady-state subsidy effects under the different subsidy policies are time invariant, and the government can preliminarily evaluate these policies according to different subsidy goals. The rankings of indexes to evaluate phased subsidy effects under these policies are time varying. If both subsidy effects and subsidy efficiencies in steady state are taken into account, the optimal selection paths of subsidy policies in the whole period can be obtained. The subsidy effects of the same policy are amplified under the condition of equal steady-state subsidy expenditure, but the rankings of effect indexes under the different subsidy policies are not affected.
1. Introduction
With the rapid development of the economy, the increasing shortage of natural resources, and the further aggravation of environmental pollution, environmental protection problems have been a large concern for countries and regions in the world [1,2]. In this context, the green supply chain management mode considering resource consumption and environmental impact came into being, which has become a research hotspot of scholars and the focus of enterprises all over the world. Meanwhile, with the development of the green economy, the improvement in living standards, and the enhancement of environmental awareness, consumers increasingly like to buy green products.
The production of green products by manufacturers in the supply chain can not only enhance the image of manufacturers in environmental protection, but also gain competitive advantage in the consumer market. However, there are still many constraints for manufacturers to effectively implement green supply chain management, such as the lack of R&D funds and technical ability, which seriously affects the enthusiasm of manufacturers to produce green products [3]. To address this issue, governments have formulated a series of financial subsidy policies to alleviate manufacturers’ funding pressure, while stimulating green product development [4]; for example, in 2009, the Chinese government promoted the implementation of the “energy-saving products benefiting the people project”, which provided financial subsidies to partially offset the R&D investment of manufacturers. The governments of India, Malaysia, New Zealand, the Republic of South Africa, and the United Kingdom have launched and successfully implemented a number of incentive schemes to support green manufacturing [5].
Governments can adopt different subsidy policies to subsidize manufacturers for producing green products. To the best of our knowledge, there are the following three kinds of subsidy polices in the existing literature: (1) Green degree subsidy policy (policy G)—the purpose of policy G is to incentivize manufacturers to produce products with a higher green degree. In policy G, the government subsidy expenditure per unit of product is related to the green degree. (2) Production cost subsidy policy (policy C)—policy C is used to alleviate manufacturers’ production cost pressure. In policy C, governments subsidize manufacturers according to the production cost per unit of green products. (3) R&D investment subsidy policy (policy R)—policy R is the most direct and effective subsidy policy to improve the enthusiasm of manufacturers to produce green products. In policy R, governments’ subsidies are used for R&D investment. For the three policies, how to analyze and compare their effects is an important problem that governments are facing.
In practice, the impacts of R&D investment on the green degree and production cost of green products have a decay effect. In other words, the green degree of products will gradually decline with the passage of time, due to technological progress and the gradual upgrading of green consumption level. Therefore, this paper introduces a differential game model with dynamic characteristics. The purpose is to study the long-term influences of different subsidy policies on subsidy effects and green supply chain decisions. For the dynamic decision problem of the green supply chain, we establish three differential game models under three policies. By comparing the equilibrium results of three models under different policies, we aim to answer the following research questions:
- (1)
- In the dynamic green supply chain, how do different subsidy policies affect the decision of the supply chain members?
- (2)
- How can the influences of different subsidy policies on the wholesale price, the retail price, the green inputs, the price-performance ratios, and the profits of the retailer and the manufacturer be compared and analyzed in a dynamic environment?
- (3)
- How can the impacts of the main dynamic parameter changes on the green degree, and the profits of the retailer and the manufacturer be analyzed under different subsidy policies?
The contributions of our study to the existing literature mainly include three aspects. First, most of the existing literature on subsidy policies only considers the subsidy effects in the static environment. However, it is impossible for the static model to discuss the optimal choice of subsidy policies in different periods of the long-term dynamic decision process. In this paper, constructing differential game models in a dynamic environment can better explain the difference in subsidy effect in different periods, and give the optimal path choice of subsidy policies. Second, most of the relevant literature only compares the effects of cumulative subsidy expenditures or per-unit subsidy expenditure, but ignore the timeliness of these subsidy policies. The dynamic change in subsidy expenditure can better describe the timeliness of policies, and designing two comparable conditions can better explain the impacts of the dynamic change in subsidy expenditure on the final subsidy effects. Third, the existing literature on government subsidies to manufacturers usually focuses on the impact analysis of a single subsidy policy or the comparative analysis of two subsidy policies in the static situation, which fails to reflect the difference among the dynamic impacts of multiple subsidy policies on the supply chain. This paper considers three kinds of government subsidies to the manufacturer, and compares the effects of these policies under dynamic conditions. The results show that each subsidy policy has its advantages in different effect evaluation indexes.
The rest of the paper is organized as follows: Section 2 is a literature review. Section 3 describes the problem and some assumptions. Section 4 establishes three Stackelberg differential game models under three subsidy policies, and derives the equilibrium solutions of the models. The effects of the three subsidy policies are compared in Section 5. In Section 6, the numerical experiment and sensitivity analysis are conducted to further compare the effects of the three policies. Section 7 presents the conclusions, management implications, and future research directions.
2. Literature Review
2.1. Green Supply Chain Decision Considering Consumers Preference
As environmental issues become more distressing, green consumption has emerged as a new consumption trend in many countries worldwide [6]. Facing these green consumers, retailers and manufacturers can benefit from higher retail prices and increased demand of green products, and manufacturers are willing to improve the green degree of products to further stimulate green consumption [7]. Therefore, in the existing literature on green supply chain decisions, many authors consider consumers’ green preferences in their research. For example, Liu et al. studied the impact of consumers’ green preferences on the profitability of manufacturers and retailers, and provided some useful management implications [8]. Du et al. studied the impact of consumers’ low-carbon preference on the supply chain, and found that the increase in consumers’ low-carbon preference not only increased channel profits, but also reduced carbon emissions [9]. Wang and Hou analyzed the effects of consumers’ green preferences on members’ optimal decisions for heterogeneous green supply chains. The results elaborated that consumers’ green preferences significantly impact the product green degree [10]. Zhang and Yousaf proposed a two-part tariff contract to analyze green supply chain coordination, in which green improvements and customers’ green preferences were considered, and the results showed that the optimal green degree was impacted by green technology investment, government intervention, and additional demand [11]. Sun et al. considered consumers’ low-carbon preference when they studied the carbon emission transfer strategy in a supply chain with a lag time of emission reduction technologies [12]. Other literature considering consumers’ green preferences includes Ghosh and Shah, Zhu and He, Giri et al., Zhang et al., Su et al., and Barman et al. [13,14,15,16,17,18]. This paper also considers consumers’ green preferences, and its focus is to analyze the impact of three subsidy policies on green supply chain decisions and compare the effects of these subsidy policies in a dynamic situation.
2.2. Government Subsidy Policies to the Manufacturers
Governments usually provide subsidies to the manufacturers for producing green products in different ways; for example, government incentives on electric vehicles are common in several countries, and car manufacturers can receive subsidies on the overall R&D investment or per-unit product to reduce emissions. In the existing literature, the subsidy policies to manufacturers can be summarized into the following three forms: policies G, C, and R. Yi and Li, and Guo et al. adopted policy G, in which the per-unit subsidy depended on the green degree of the product [19,20]. He et al. and Meng et al. adopted policy C, in which the per-unit subsidy is fixed, or depends on the per-unit production cost of the product [21,22]. Chen et al., Safarzadeh, and Rasti-Barzoki used policy R, in which the total subsidy is a function of R&D investment [23,24]. There are also some authors using the two forms of subsidies to compare the incentive effect to manufacturers; for example, Nielsen et al. compared the profit of each member and the green degree of products under the two different subsidy policies, and the results revealed that supply chain members received higher profits under the incentive policy on per-unit product, and the green degree was the maximum under the incentive policy on total investment in R&D [5]. These findings tell us that different subsidy policies to manufacturers may have different advantages.
In the relevant literature, there are also some scholars who consider both government subsidies and consumers’ green preferences; for example, Dai et al. considered government subsidies and consumers’ green preferences when building the two R&D cooperation game models in the green supply chain [25]. Meng et al. proposed green supply chain models with a dual-channel structure, in which consumers’ preferences and government subsidies were considered, to explore the collaborative pricing policies of products and compare the optimal solutions in two cases [22]. However, these studies focus on the static model of the green supply chain, but disregard the dynamic evolution process of the green degree of products and the impacts of different subsidy policies on dynamic supply chain decisions.
2.3. Dynamic Models in Supply Chains
The dynamic model used in this paper is the differential game model. Many scholars use differential game models to study various decision problems of the supply chain in a dynamic situation. For example, Sun et al. analyzed the carbon emission transfer and emission reduction problem within the supply chain, and constructed the differential game models by considering the lag time of emission reduction technologies and the low-carbon preferences of consumers [12]. Song et al. constructed a Stackelberg differential game to study dynamic innovation and pricing decisions in a two-echelon supply chain [26]. Wei and Wang used differential game methods to study the interaction between carbon reduction technology innovation and government intervention, under decentralized and centralized decisions, respectively [27]. The other issues studied by scholars in the dynamic situation of the supply chain also include brand and goodwill [28,29], cooperative advertising [30], carbon emission [31,32,33], corporate social responsibility [34], the internet recycling decision [35], process innovation [36], and so on.
In recent years, some researchers have also begun to use the differential game model to study the problem of government subsidies in the supply chain, under the dynamic environment. For example, Wu examined the effects of government subsidies in a dynamic closed-loop supply chain consisting of an original equipment manufacturer and an independent remanufacturer [37]. Ma et al. used a dynamic model to explore the impact of government subsidies on technology investment strategies of the sustainable supply chain [38]. However, these studies did not consider the impact of the green degree of the product on demand and government subsidy expenditure, nor did they compare the effects of different subsidy policies in the green supply chain.
Although many scholars have considered the impact of subsidy policies on green supply chain decisions in recent years, there is little literature on the comparative analysis of different subsidy policies and their subsidy effects, especially in a dynamic situation. To summarize the differences between our model and the literature, we include Table 1. The research of this paper is different from other works on the government subsidy policy to manufacturers in the following three aspects: (1) it puts forward three kinds of government subsidy policies to manufacturers; (2) consumers’ green preferences, government subsidies, and dynamic evolution are considered in the models; (3) the dynamic subsidy effects of the three policies are compared and analyzed. Furthermore, in contrast to previous work, our approach explores the optimal selection paths of subsidy policies in different periods of the long-term dynamic decision process.
Table 1.
Our paper vs. the literature.
In summary, this paper investigates different subsidy policies and their subsidy effects under a dynamic environment in a green supply chain, and establishes differential game models considering consumers’ green preferences under three subsidy policies. Based on the analysis of optimal equilibrium strategies under these three policies, this paper explores the dynamic impact of various parameter changes on supply chain decisions and government subsidy effects, and compares the subsidy effects of three policies under the two conditions of government subsidy expenditure.
3. Problem Description and Assumptions
A two-level green supply chain, composed of a manufacturer and a retailer, is considered in this section. The manufacturer uses green raw materials or components to produce green products, and the green products meet the green requirements stipulated by laws and regulations. The retailer is responsible for selling green products to consumers. The government formulates three subsidy policies to incentivize the manufacturer to produce green products. In order to describe the decay effect of R&D investment and the attenuation effect of green degree over time, this paper analyzes the supply chain decisions and compares the effects of subsidy policies from a dynamic perspective.
Table 2 summarizes the notation used throughout this paper.
Table 2.
Notations.
The assumptions of the models are as follows:
(1) Consumers have a preference for green products, and they are willing to buy green products with a high green degree and low retail price. Following Nielsen et al. [5], the demand function at time t is expressed as follows:
where is the market scale of the green product, is the price sensitivity of consumer demand, is the sensitivity coefficient of the green degree, is the retail price at time t, and is the green degree of the product at time t.
(2) The green degree of the product is a dynamic process determined by green input [39]. With the gradual upgrading of green consumption level, the green standard of products will be gradually improved. In addition, industrial technology progress, equipment renewal, and other factors lead to the natural attenuation effect of the green degree [40]. Therefore, the state equation of the green degree at time t can be written as follows:
where denotes the first derivative of x, with respect to t, denotes the green input at time t, and and denote the validity coefficient and attenuation coefficient of the green degree, respectively.
(3) Green input improves the green degree of products, but also increases the additional production costs [41]. The improvement in the green degree of products will lead to an increase in the production cost; the production cost per unit of product at time t is as follows:
where is the production cost per unit of product at time t, is the initial production cost per unit of product, and is the impact coefficient of the green degree on cost.
(4) The R&D investment cost of the manufacturer is a convex function of green input [42], i.e.,, where is the R&D investment cost coefficient.
(5) The government subsidizes the manufacturer in the following three policies: G, C, and R, and the subsidy expenditures at time t are ,, and , respectively, where , , and . are the subsidy coefficients corresponding to three policies.
According to the assumptions, we can summarize the impact mechanism of different subsidy policies to the manufacturer on the green supply chain, and the functional relationships among various variables based on different subsidy policies, as shown in Figure 1.
Figure 1.
The impact mechanism of the different government policies on green supply chain.
4. Model Establishment and Solution
This section establishes Stackelberg differential game models dominated by the manufacturer under policy G, C, and R, respectively. The manufacturer first determines the wholesale price and the green degree over time t, according to the subsidy coefficient, and then the retailer determines the retail price over time t, according to the manufacturer’s decision. The whole decision process needs to meet Equation (2) over time t, where the green degree at the initial time is denoted by .
4.1. Optimal Decisions under Policy G
The optimal decision problem under policy G can be defined as follows:
The objective functions of the manufacturer and the retailer are expressed as follows:
where is the time discount factor. The models described in this section are time consistent and only depend on the current level of the state variable . In the following, therefore, the time t is omitted for the sake of brevity.
Proposition 1.
Under policy G, the equilibrium results of the differential game between the manufacturer and the retailer are as follows:
(1) The optimal trajectory of the green degree is as follows:
whereis the evolution rate, andis the steady-state green degree.
(2) The optimal wholesale price, green input, and retail price of the product are as follows:
(3) The optimal profits of the retailer and the manufacturer are as follows:
where coefficients, satisfy the following constraint equations:
The complete analytical formulas of the coefficient and the proofs are given in Appendix A.
Proposition 1 (1) shows that the change in the trend of green degree convergence (divergence) and the increase (decrease) is related to the evolution rate and steady-state green degree. For example, when , , the green degree gradually increases with time and converges to ; its growth has a marginal decreasing effect. In practice, when manufacturers produce green products, they are often constrained by R&D technology and funds. The willingness to improve the green degree of products gradually decreases over time, and the impact effect of the subsidy policy gradually weakens, which is in line with the general implementation of the subsidy policy. Proposition 1 (2) shows that the wholesale price, green input, and retail price of products are positively correlated with the green degree. Proposition 1 (3) shows that the manufacturer and the retailer have the maximum profit if the green degree converges with time.
Proposition 2.
Under policy G, the evolution trajectories of the optimal wholesale price, green input, and retail price are as follows:
Proposition 2 shows that the manufacturer and the retailer have skim pricing and penetration pricing, which depend on the relationship between the initial green degree and steady-state green degree. If , the optimal wholesale price, green input, and retail price decrease with time, and both the manufacturer and the retailer choose skim pricing. Conversely, if , the optimal wholesale price, green input, and retail price increase to a steady-state over time, and both the manufacturer and the retailer choose penetration pricing. In addition, if , it is equivalent to the static environment of the supply chain, and the optimal decisions are independent of time.
Corollary 1.
Under policy G, we have (i),,, (ii),,, (iii),,, and (iv),,.
Under policy G, the green degree, the wholesale price, and the retail price of the products are positively correlated with the sensitivity coefficient of the green degree and the validity coefficient of the green degree, but negatively correlated with the R&D investment cost coefficient and the attenuation coefficient of the green degree. Corollary 1 shows that the higher the consumers’ attention to environmental protection, the stronger the manufacturer’s willingness to improve the green degree of products. In this case, supply chain members choose penetration pricing in order to pursue higher profits. If the green degree decays rapidly, or the research and development is difficult, the manufacturer’s willingness to improve the green degree will be reduced, and the maximum profit will be obtained through skim pricing.
Corollary 2.
Under policy G, we have, , , , .
Under policy G, the green degree, the green input, and the profits of the manufacturer and the retailer in steady-state are positively correlated with the subsidy coefficient, and the evolution speed is negatively correlated with the subsidy coefficient. Corollary 2 shows that increasing subsidies can help the manufacturer achieve higher green goals, but also slow down the evolution rate. Therefore, the manufacturer needs to take longer to reach the steady-state situation, which also means that the duration of government subsidies will be longer.
4.2. Optimal Decisions under Policy C
The optimal decision problem of the green supply chain is defined as follows:
The objective functions of the manufacturer and the retailer are as follows:
Proposition 3.
Under policy C, the equilibrium results of the differential game between the manufacturer and the retailer are as follows:
(1) The optimal trajectory of the green degree is as follows:
whereis the evolution rate, andis the steady-state green degree.
(2) The optimal wholesale price, green input, and retail price of the product are as follows:
(3) The optimal profits of the retailer and the manufacturer are as follows:
where coefficients, satisfy the following constraint equations:
Proposition 4.
Under policy C, the evolution trajectories of the optimal wholesale price, green input, and retail price are as follows:
Corollary 3.
Under policy C, we have (i), , , (ii), , , (iii), , , and (iv), , .
It is shown that the green degree, the wholesale price, and the retail price of the products are positively correlated with the sensitivity coefficient of the green degree and the validity coefficient of the green degree, but negatively correlated with the R&D investment cost coefficient and the attenuation coefficient of the green degree under policy C.
Corollary 4.
Under policy C, we have, , , , .
It is shown that the green degree, the green input, and the profits of the manufacturer and the retailer in steady state are positively correlated with the subsidy coefficient, and the evolution speed is negatively correlated with the subsidy coefficient under policy C.
4.3. Optimal Decisions under Policy R
The optimal decision problem of the green supply chain is defined as follows:
The objective functions of the manufacturer and the retailer are as follows:
Proposition 5.
Under policy R, the equilibrium results of the differential game between the manufacturer and the retailer are as follows:
(1) The optimal trajectory of the green degree is as follows:
whereis the evolution rate, andis the steady-state green degree.
(2) The optimal wholesale price, green input, and retail price of the products are as follows:
(3) The optimal profits of the retailer and the manufacturer are as follows:
where coefficients, satisfy the following constraint equations:
Proposition 6.
Under policy R, the evolution trajectories of the optimal wholesale price, green input, and retail price are as follows:
Corollary 5.
Under policy R, we have (i), , , (ii), , , (iii), , , and (iv), , .
Under policy R, the green degree, the wholesale price, and the retail price of the products are positively correlated with the sensitivity coefficient of the green degree and the validity coefficient of the green degree, but negatively correlated with the R&D investment cost coefficient and the attenuation coefficient of the green degree.
Corollary 6.
Under policy R, we have, , , , .
Under policy R, the green degree, the green input, and the profits of the manufacturer and the retailer in steady state are positively correlated with the subsidy coefficient, and the evolution speed is negatively correlated with the subsidy coefficient.
5. Comparative Analysis of Three Subsidy Policies
When comparing the effects of the three subsidy policies, we consider the comparability condition, that is, the government subsidy expenditures are equal under different subsidy policies. This section gives the following two ways to express subsidy expenditure: cumulative subsidy expenditure (superscript T) and steady-state subsidy expenditure (superscript H). The former focuses on the phased effects of subsidy policies; for example, in emerging industries, such as new energy vehicles and photovoltaic manufacturing, the government pays more attention to the growth process of the industry. Once the industry tends to mature, the government will consider the subsidy decline policy under the substitution effect of technological progress. This kind of subsidy policy is characterized by a limited subsidy duration and relatively high subsidy intensity, so the evolution speed is relatively slow, and the subsidy expenditure in the evolution process cannot be ignored. The latter focuses on the steady-state effects of subsidy policies; for example, in the recycling and remanufacturing industry, the purpose of the government subsidies is to maintain the stable equilibrium of the industry. Its characteristics are that the duration of the subsidies is often longer, the intensity of the subsidies is relatively low, and the evolution speed is also fast. Therefore, the subsidy expenditure in the evolution process can be ignored, and only the steady-state subsidy expenditure is considered. From a different viewpoint, examining the steady-state effects of subsidy policies can also be understood as comparing the subsidy effects of different subsidy policies in the static environment, where the optimal decisions are independent of time.
Proposition 7.
When the government implements three kinds of subsidy policies to the manufacturer, the subsidy expenditures are as follows:
(1) In [0, k], the cumulative subsidy expenditures corresponding to the three policies are as follows:
(2) The steady-state subsidy expenditures corresponding to the three subsidy policies are as follows:
Based on the two expressions of subsidy expenditure, the following two comparable conditions are given: (1) condition T, ; (2) condition H, . Under the two conditions, the coefficients , and should satisfy a certain relationship, that is, given , we can obtain the other two coefficients and under condition T, and and under condition H, respectively.
Corollary 7.
When, the green degree, the green input, and the profits of the manufacturer and the retailer under condition H are always higher than the corresponding values under condition T, which is independent of time.
Corollary 7 shows that the subsidy effects at any time are greater if the government focuses on the steady-state effects of subsidy policies, but the subsidy expenditures per-unit time also increase.
6. Numerical Analysis
This section uses the three differential game models and sensitivity analysis method to further compare the effects of the three subsidy policies under the two comparable conditions, by a numerical example. Therefore, in order to obtain relevant results from the theoretical part, we draw on the relevant parameter settings in the references [26,41]. The parameter values in the models are as follows:, , , , , , , , , . Given , the converted values of the corresponding subsidy coefficients , , , are shown in Table 3, under the two comparable conditions.
Table 3.
The converted values of subsidy coefficients under equal expenditures.
6.1. The Impacts of Government Subsidy Coefficients on Steady-State Values
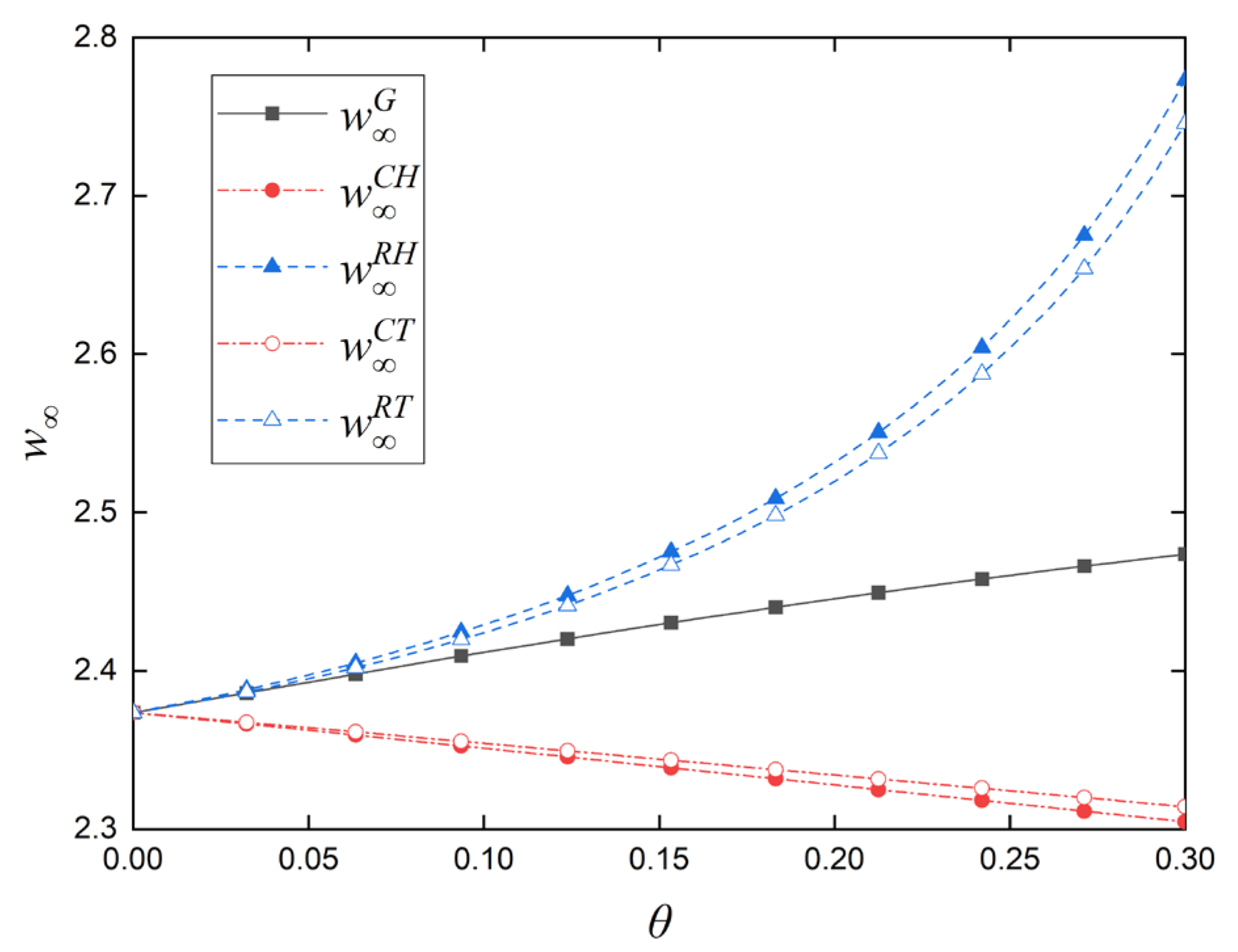
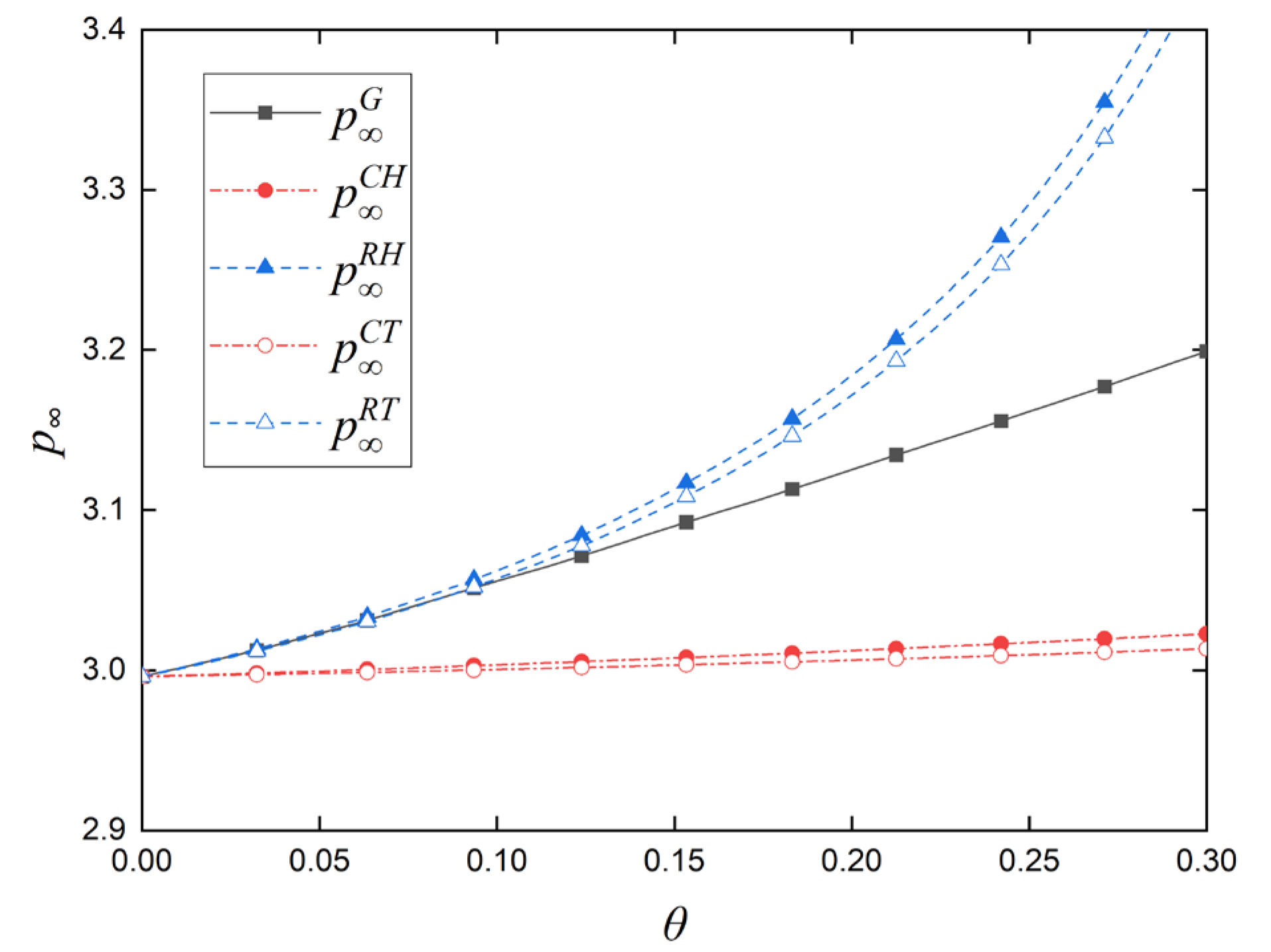
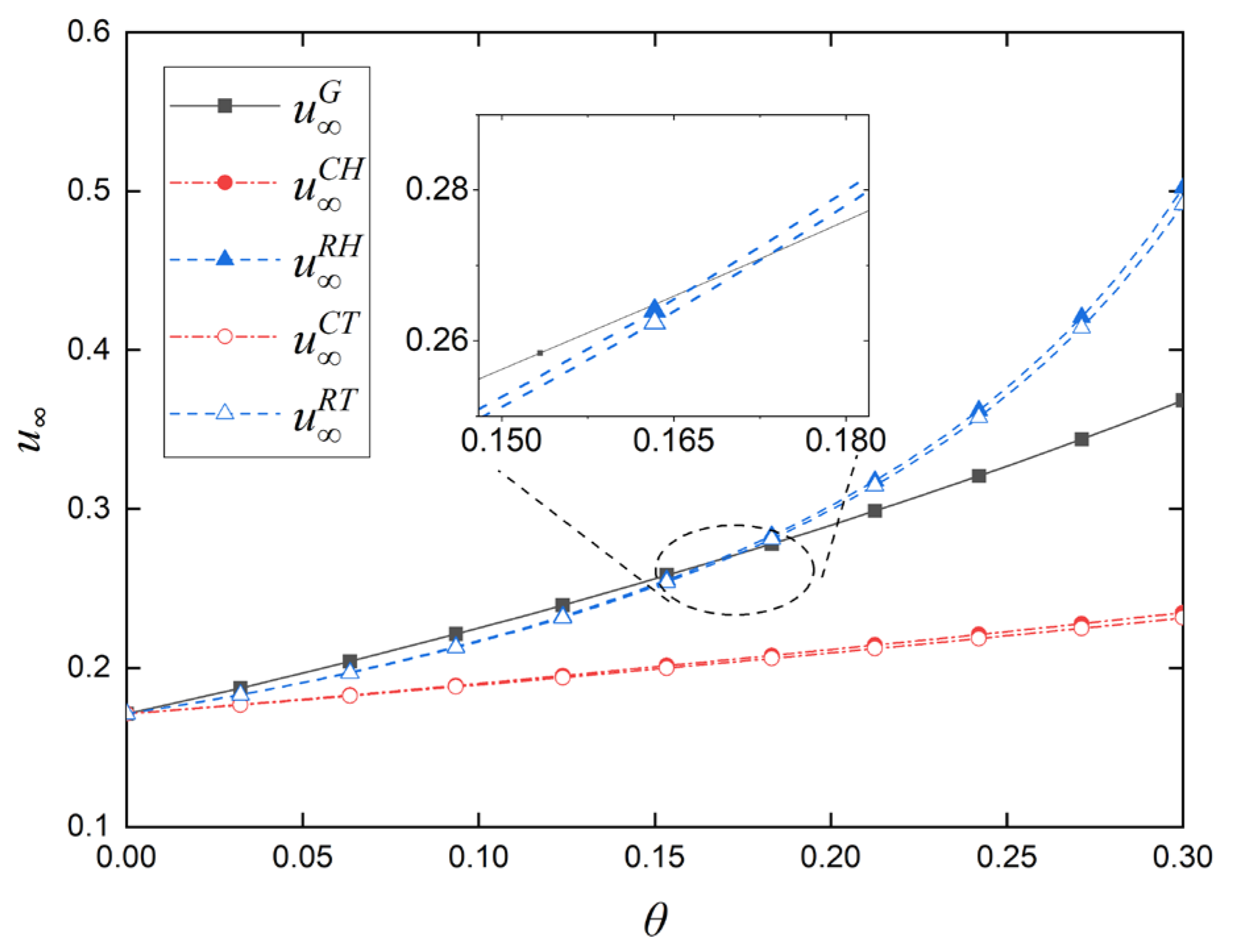
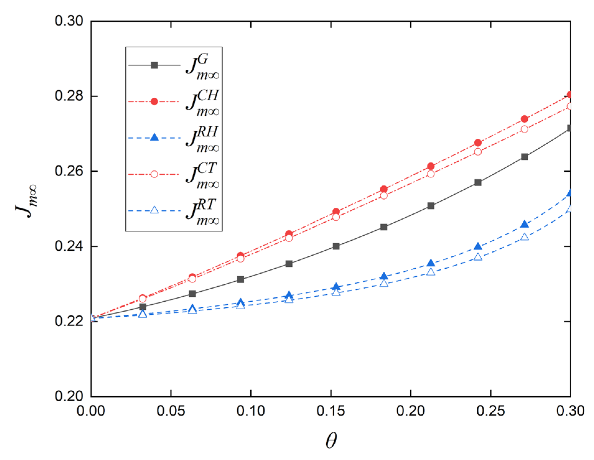
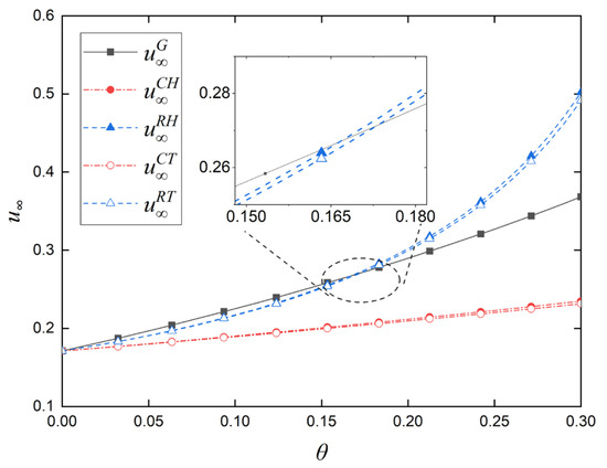
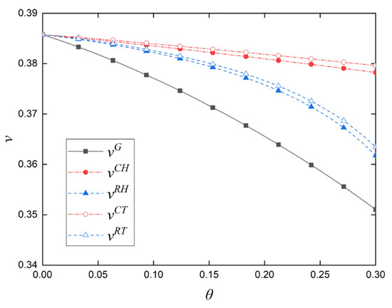
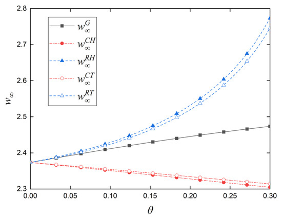
We can investigate the final effects of these three policies by studying the impacts of subsidy coefficients on steady-state values. When subsidy coefficient changes within the range of [0,0.3], the changes in steady-state values under the three subsidy policies are shown in Figure 2, Figure 3, Figure 4, Figure 5, Figure 6 and Figure 7, respectively. In these figures, policy G has one impact curve, while each of the other two policies has two impact curves—the curves under condition T and the curves under condition H.
Figure 2.
The impacts of subsidy coefficients on the wholesale prices in steady state.
Figure 3.
The impacts of subsidy coefficients on the retail prices in steady state.
Figure 4.
The impacts of subsidy coefficients on the green inputs in steady state.
Figure 5.
The impacts of subsidy coefficients on price-performance ratios in steady state.
Figure 6.
The impacts of subsidy coefficients on the manufacturer’s profit in steady state.
Figure 7.
The impacts of subsidy coefficients on the retailer’s profit in steady state.
Figure 2 shows that the growth rate of wholesale price is the fastest with the increase in subsidy coefficient under policy R, followed by policy G. Further observation shows that the ranking of wholesale prices is , which means that the wholesale price based on policy R, under condition H, is always higher than that under condition T, while the wholesale price based on policy C reaches the opposite conclusion. Therefore, the manufacturer chooses penetration pricing with the increase in subsidies under policy R, and the steady-state wholesale price is always the highest. Under policy C, the manufacturer chooses skim pricing, and the wholesale price is the lowest. When the government considers that the steady-state subsidy expenditure is equal, it enlarges the adjustment effects of the subsidy coefficient on wholesale prices under different policies.
Figure 3 shows that the growth rate of the retail price is the fastest with the increase in subsidy coefficient under policy R, followed by policy G. From the perspective of comparability, the retail price of the same policy under condition H is slightly higher than that of condition T. The ranking of the retail prices is , which means that the retail price under policy R is the highest, and the retail price under policy C is the lowest.
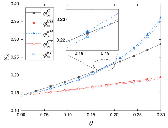
Figure 4 shows that the growth rate of green input is the fastest with the increase in subsidy coefficient under policy R, followed by policy G. The green input with the same policy, under condition H, is slightly higher than that of condition T. When the subsidy coefficient is relatively small, the green input of policy G is the highest, and the ranking of the green inputs is . When the subsidy coefficient is relatively large, the green input under policy R is the highest, and the ranking of green inputs is . Policy R is a subsidy for the green input, but the subsidy effect is not always optimal, which shows that the ranking of green inputs under different policies is still affected by the subsidy coefficient. We can explain this as follows: The incentive effect of the subsidy policy is less than the attenuation effect of the green degree when the subsidy is small, the manufacturer’s dependence on policy R is low, and the enthusiasm of green input is not high. On the contrary, the manufacturers prefer policy G, related to product quantity and green degree. With the increase in subsidies, the incentive effect of the subsidy policy is greater than the attenuation effect of the green degree, and increasing the R&D investment subsidy makes the improvement in green input more obvious. Therefore, the manufacturer gradually shows higher enthusiasm for green input under policy R.
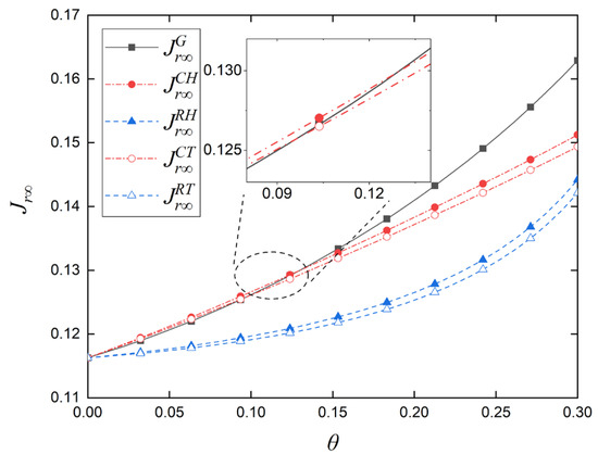
Figure 5 shows the impacts of the subsidy coefficients on the steady-state price-performance ratios. The price-performance ratio is defined as the ratio of green input to the retail price. The price-performance ratio at time t is denoted by the symbol . The price-performance ratio in steady state is used to measure the final impact of subsidy intensity on consumers’ purchase intentions. The ranking of the price-performance ratios is when the subsidy coefficient is relatively small; otherwise, the ranking of the price-performance ratios is . The impact curves of the price-performance ratios are similar to those of the green inputs, but the value of the subsidy coefficient when ranking changes lags behind because of the price factor.
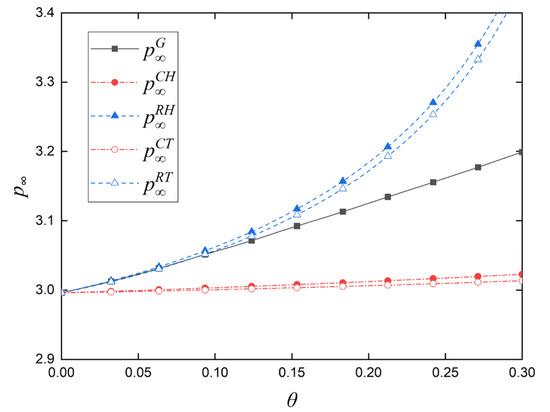
Figure 6 shows that the manufacturer’s profit under policy C is the highest, followed by policy G. From the perspective of comparability, the manufacturer benefits more from the same subsidy policy under condition H. The ranking of the manufacturer’ profits is . This means that policy C can bring the highest steady-state profit to the manufacturer, followed by policy G. Condition H enlarges the profit space of the manufacturer.
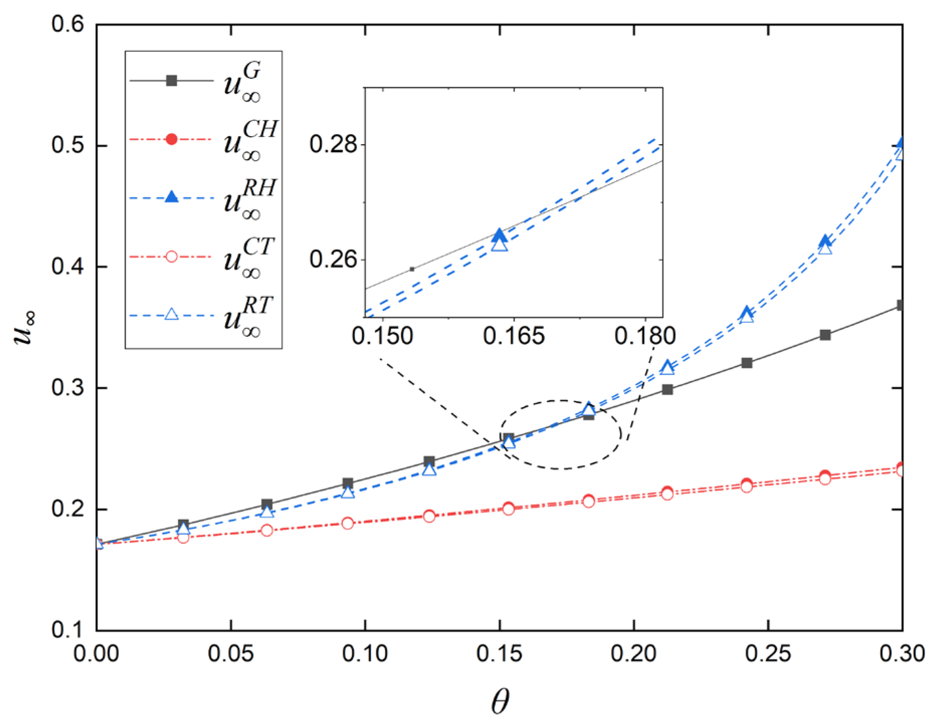
Figure 7 shows the following: (1) When the subsidy coefficient is relatively large, policy G is better than the other two policies; otherwise, policy C is more beneficial to the retailer. (2) When the government adopts policy R, the retailer’s profit is the lowest. However, with the increase in the subsidy coefficient, the profit increases more and more quickly under this policy. (3) The ranking of the retailer’s profit is when the government subsidy coefficient is relatively small; otherwise, the ranking of the retailer’s profit is .
In summary, except that the steady-state wholesale price under policy C is negatively correlated with the subsidy coefficients, other steady-state indexes are positively correlated with the subsidy coefficients. In addition, choosing condition H will enlarge the subsidy effect under the same policy, but will not change the ranking of the three policies. Given the value of the subsidy coefficient, three subsidy policies can be ranked under different steady-state indexes; for example, when the subsidy coefficient is 0.2, the rankings can be obtained as shown in Table 4. Table 4 shows that policy R should be considered if the government’s goal is to increase the green input of products. In this case, the retail price is the highest, but the price-performance ratio is also the highest. We can also observe that policy C is beneficial to the manufacturer, while the retailer prefers policy G. The government can determine the ranking of these subsidy policies according to different subsidy objectives, or comprehensively evaluate the final subsidy effect of different subsidy policies according to multiple subsidy objectives.
Table 4.
The rankings of steady-state indexes under different subsidy policies.
6.2. The Impacts of the Parameters Change on the Subsidy Effects in Steady State
In this subsection, we use sensitivity analysis to illustrate the impacts of parameter changes on the subsidy effects in the steady state. We use the differences in effect indexes under the two different policies to measure the differentiation of the two subsidy effects. In order to ensure that the difference is greater than zero, we use the index value of the most favorable subsidy policy to subtract the index value corresponding to the other two policies, to obtain the two differences, respectively. The large difference or the differentiation means that this favorable subsidy policy has greater advantages than the other two policies.
The sensitivity analyses of the parameters , ,, , and on the index values are shown in Table A1, which is used to calculate the differences in effect indexes under two policies when the parameters change. The results are shown in Table 5.
Table 5.
The impacts of the parameters change on the subsidy effects in steady state.
From Table 5 we can obtain the following observations:
(1) The impacts of the parameters λ, and on the subsidy effects are intuitive and easy to understand. The increase in parameter λ has the effect of enlarging the difference of three effect indexes, which shows that with the increase in parameter λ, the differentiations of the subsidy effects become larger and larger, and the favorable subsidy policy has more and more advantages. On the contrary, with the increase in parameter or , the differentiations of the subsidy effects become smaller and smaller, and the favorable subsidy policy has fewer and fewer advantages.
(2) The impacts of the parameters , and on the subsidy effects are relatively complex and need to be explained. We take the change in parameter as an example. With the increase in parameter , (i) policy R has greater and greater advantages on improving the green degree of products, (ii) the advantage of policy C on increasing the manufacturer’s profit becomes smaller and smaller when is small, the advantage of policy G over policy C (policy R) gradually increases (decreases) when γ is large, and (iii) the advantage of policy G over policy C, on increasing the retail’s profit, gradually increases, while the advantage of policy G over policy R gradually increases first and then decreases. Similarly, we can analyze the impacts of parameters and on the subsidy effects. In a word, the changes in these parameters can enlarge or reduce the effect differences or differentiations of different policies.
6.3. Impacts of Government Subsidy Coefficient on Evolution Rates
The evolution rate represents the speed at which the index value approaches the steady state. The higher the evolution rate, the shorter the convergence time of the index value. When the government wants to achieve the subsidy target, it should not only consider the index ranking under the different policies, but also take into account the subsidy duration and try to shorten the effectiveness cycle of the subsidy policies. Figure 8 shows the impacts of the subsidy coefficient on the evolution rates. The ranking of the evolution rate is . This shows that the evolution rate is the fastest under policy C, followed by policy R.
Figure 8.
Impacts of government subsidy coefficient on evolution rates.
6.4. Dynamic Analysis of Subsidy Policies Considering Phased Subsidy Effects
The comparison of subsidy policies in a dynamic environment should consider not only the steady-state subsidy effects, but also the dynamic changes in indexes in the evolution process. Hence, this subsection investigates the evolution trajectories of indexes under condition T, when is 0.2, and then analyzes the evolution process of various indexes, as well as compares the phased subsidy effects of different policies.
Figure 9 shows the evolution trajectories of various indexes under different policies. It can be observed that all the indexes converge to steady state over time. It is known that the ranking of steady-state indexes under the different policies is time invariant, but the ranking of the indexes in the evolution process is time varying. In the dynamic models, the ranking of the indexes in different time intervals may change. Take the price-performance ratios in Figure 9f as an example, the subsidy effect of policy G is better than that of other policies in the time interval . After time , the subsidy effect of policy R is the best. Therefore, different policies can be adopted in two periods, as follows: in the first stage, policy G is adopted to enable manufacturers to have a higher initial green degree decision (). It is known, from Figure 8, that for , the growth rate of the price-performance ratio under policy R is always faster, which is gradually equivalent to policy G. In the second stage, policy R is adopted to make the manufacturer’s green decision have a higher steady-state value ().
Figure 9.
The evolution trajectories of various indexes under different subsidy policies.
Figure 10 shows the path selection of subsidy policies aiming to improve consumers’ purchase intentions (i.e., improving the price-performance ratio). The best choice of subsidy policy in the whole period is (i) policy G when the evolution time is less than 9, and (ii) policy R when the evolution time is greater than 9. The above selection path is also in line with the industrial driving pattern from product orientation to technology orientation. In practice, government subsidies often transition from GSP to promoting R&D and innovation.
Figure 10.
The path selection of subsidy policies based on price-performance ratio.
7. Discussion and Conclusion
7.1. Discussion
We have used the differential game models to compare and analyze the subsidy effects of three different government subsidy policies to the manufacturer in a dynamic green supply chain. Compared with the existing literature, the main novelty of our work, and the difference in the results, are shown in the following:
(1) A generally accepted conclusion in the existing green supply chain literature, considering consumers’ green preferences, is that consumers’ green preferences significantly affect the green level of manufacturers’ products [8,9,10], that is, with the increase in green sensitivity coefficient, the green degree of products is higher and higher. This paper also obtains a similar conclusion. However, if the impacts of different government subsidy policies are considered, then we find that the influences of the green sensitivity coefficient on the green level of products are different under different subsidy policies. With the increase in green sensitivity coefficient, policy R has more and more advantages in improving the green degree of products. In short, the change in this parameter can expand the effect difference of different policies.
(2) In the static situation, a higher level of government subsidies to manufacturers is always beneficial to consumers and the whole supply chain [19,20,21,22,23,24,25]. In the dynamic case, we reach the same conclusion when the system reaches the steady state. However, when the subsidy coefficient is given, the impacts of subsidy policies are gradually amplified in the evolution process, and the subsidy effects depend on the stage of evolution. When the subsidy coefficient increases, the evolution speed decreases gradually, and the convergence time of the policy effect indexes is longer. Therefore, when the government determines the subsidy level, it should not only consider the actual effect of the subsidy policy, but also consider the subsidy period, and try to shorten the effective cycle of the subsidy policy.
(3) Nielsen et al. made a comparative analysis of unit product subsidy and R&D investment subsidy using static models, and found that the profits of supply chain members under the unit product subsidy policy are higher than those under the R&D investment subsidy policy [5]. In this paper, the same conclusion is also obtained when the system evolution reaches a steady state. Differently from Nielsen et al. [5], this paper further divides the subsidy policy of unit products into the following two policies: policy G and policy C, and draws a new conclusion that policy C is beneficial to the manufacturer, while the retailer may prefer policy G under the same government expenditure.
(4) Wu’s study found that the unit product subsidy policy is beneficial to manufacturers and the environment in most cases [37]. However, government subsidies to manufacturers will not only consider the impact on manufacturer profits, but also consider the impact on other indexes. If the government takes the price-performance ratio or green inputs as the subsidy target, policy R has more advantages than policies G or C in the final subsidy effect, when the subsidy coefficient is large; for example, in Figure 10, the advantages of this policy are mainly reflected in the middle and late stages of the whole subsidy cycle, while, in the early stage of the implementation of the subsidy policy, policy G has more advantages. This dynamic ranking of subsidy policies is a new discovery of this paper, and also provides new suggestions on how to select the optimal subsidy policy in different periods of the dynamic supply chain.
7.2. Conclusions
This paper establishes the differential game models, considering the consumers’ green preferences under three subsidy policies, and analyzes the optimal equilibrium strategies of supply chain members under three subsidy policies. On this basis, considering the two comparable conditions, this paper uses an example to compare the subsidy effects of the three policies in the steady-state situation to those in the evolution process. Our main results are presented as follows:
(1) For the effect of the steady-state subsidy, the ranking of the indexes under different subsidy policies is time invariant. Given the subsidy coefficient, the steady-state subsidy effects of different policies can be compared, and the government can make a preliminary evaluation to different policies. Besides the negative correlation between the steady-state wholesale price and the subsidy coefficient under policy C, the other steady-state indexes are positively correlated with the subsidy coefficient under the three policies.
(2) When the subsidy coefficient is relatively small or the subsidy cycle is relatively short, the subsidy expenditure in the evolution process cannot be ignored, and the applicable comparable condition is that the cumulative subsidy expenditure is equal. On the contrary, the applicable condition is that the steady-state subsidy expenditure is equal. Compared with the former, the latter will amplify the subsidy effect of the same subsidy policy, but will not change the index ranking under the three policies.
(3) The less obvious the attenuation effects of the green degree are, the more discriminative the subsidy effects of different policies are. With the increase in consumers’ preferences, or with the decrease in R&D investment and per-unit production cost, the differentiation of some subsidy effects also increases.
(4) In terms of the phased subsidy effect, the ranking of indexes under different policies is time varying. When considering both the final subsidy effect and efficiency in the evolution process, the government should choose the best path of subsidy policies in the whole period, so as to realize the dynamic optimization of government subsidy policies.
The above conclusions can provide some management enlightenment for the government to choose the subsidy policy, especially the phased control of the subsidy policies, so as to make it have a more perfect dynamic adjustment process. According to different subsidy objectives, the government should choose the subsidy policy with a better initial effect, on the basis of considering the initial effects and steady-state effects of the subsidy policies, and decide whether to dynamically adjust the subsidy policy according to the ranking of steady-state indexes under different subsidy policies. In this context, manufacturers should improve their ability to interpret policies, and understand the timeliness and periodicity of subsidy policies. When the government increases subsidies, manufacturers should increase their green investment in products and dynamically adjust product prices according to different policies.
It should be noted that the three subsidy policies analyzed in this paper are subsidies to manufacturers, and the basic condition of comparative analysis is that the government subsidy expenditure is equal. In future research, we can choose other conditions, such as equal social welfare or equal environmental income. We can also build a multi-objective dynamic optimization model in the green supply chain, by simultaneously considering multiple government objectives, such as social welfare, government net income, and environmental benefits, and then using the model to compare and analyze the effects of three subsidy policies in the green supply chain.
Author Contributions
Formal analysis, C.L.; methodology, C.L., W.H. and H.C.; supervision, W.H.; writing—original draft, C.L.; writing—review and editing, H.C. All authors have read and agreed to the published version of the manuscript.
Funding
This work was supported by the National Natural Science Foundation of China, Grant No. 71971094.
Institutional Review Board Statement
Not applicable.
Informed Consent Statement
Not applicable.
Conflicts of Interest
The authors declare no conflict of interest.
Appendix A
Proof of Proposition 1.
Let , be the optimal profit functions of the retailer and the manufacturer after time t, where and are the value functions. According to the optimal control theory [12], and satisfy the Hamilton Jacobi Behrman (HJB) equation, which is constructed as follows:
According to the reverse induction method [25], the response function of the retail price is firstly determined. Based on the first-order condition of Equation (A1), the retail price shall satisfy the following:
From the first-order condition of Equation (A2), the optimal wholesale price is obtained, i.e., Equation (8), and the optimal green input is as follows:
Substitute Equation (8) into Equation (A3) to obtain the optimal retail price , which is represented by Equation (10). Substituting Equation (8), (10) and (A4) into Equation (A1) and (A2), we obtain the following:
According to the characteristics of the differential Equation (A5), it is inferred that the quadratic function of x is the solution of the HJB equation. Therefore, the expressions with respect to and are structured as follows:
The first partial derivatives of Equation (A6) for are as follows:
Solving the simultaneous Equations (A5)–(A7), Equation (13) is obtained by using the undetermined coefficient method. The coefficients are obtained by solving Equation (13). After all the coefficients are obtained, substitute Equation (A7) into Equation (A4) to obtain Equation (9), and substitute Equation (A6) into , to obtain Equations (11) and (12). Proposition 1 (2) and (3) are proved.
Substitute Equation (9) into Equation (2) and solve the differential equation to obtain the following:
Proposition 1 (1) is proved. □
Proof of Proposition 2.
Proposition 2 can be proved by substituting Equation (7) into Equations (8)–(10), respectively. □
Proof of Proposition 7.
At time t, the three government subsidy expenditures are expressed as , , , respectively. Substitute Equations (1) and (35) into these three expressions in turn, and then simplify them to prove Proposition 7. □
Proof of Corollary 7.
Under policy G, we obtain from Equation (7), then . When , we obtain , then . This shows that the cumulative subsidy expenditure per-unit time is always less than the steady-state subsidy expenditure, which is independent of time. Combined with Corollary 2, we can see that Corollary 7 is true under policy G. Similarly, we can prove that Corollary 7 is also valid under the other two policies. □
In the three subsidy policy models, we can find the coefficients in the quadratic function of each HJB equation, and obtain the corresponding analytical solution. In order to improve the readability of this paper, only the constraint equations of each coefficient are given in Section 4; the complete analytical formulas of the coefficient are given here.
(1) Under policy G, each coefficient in the quadratic function of the HJB equation is obtained as follows:
where , , , . When the condition , i.e., is satisfied, the steady-state green degree is a globally stable solution.
(2) Under policy C, each coefficient in the quadratic function of the HJB equation is obtained as follows:
where , , , . When the condition , i.e., is satisfied, the steady-state green degree is a globally stable solution.
(3) Under policy R, each coefficient in the quadratic function of the HJB equation is obtained as follows:
where , , , . When the condition , i.e., is satisfied, the steady-state green degree is a globally stable solution.
Appendix B
We illustrate the impacts of the change in the parameters , ,, , and on the effects of government subsidies in steady state, and the results are shown in Table A1. The following can be observed from Table A1: (1) With the increase in the parameters , or the decrease in the parameters ,, , , all the index values in steady state increase gradually under the three subsidy policies. (2) When these parameters change, policy R is the most beneficial to improve the green degree, and policy G is more conducive to improve the retailer’s profit. For the manufacturer, when , are small (large) and , are large (small), policy C (policy G) is the most favorable, and policy C is the most favorable when other parameters change.
Table A1.
The sensitivity analysis of the parameters (θ = 0.15).
Table A1.
The sensitivity analysis of the parameters (θ = 0.15).
| 0.10 | 0.20373 | 0.04694 | 0.31060 | 0.20810 | 0.20966 | 0.20525 | 0.10538 | 0.10490 | 0.10299 |
| 0.15 | 0.40613 | 0.24898 | 0.55094 | 0.21924 | 0.22019 | 0.21583 | 0.11490 | 0.11208 | 0.11195 |
| 0.20 | 0.64593 | 0.48022 | 0.82184 | 0.24004 | 0.24044 | 0.23649 | 0.13337 | 0.12760 | 0.13015 |
| 0.25 | 0.95681 | 0.77247 | 1.16906 | 0.27602 | 0.27583 | 0.27255 | 0.16731 | 0.15701 | 0.16393 |
| 0.30 | 1.40572 | 1.18757 | 1.67154 | 0.34033 | 0.33925 | 0.33729 | 0.23340 | 0.21476 | 0.23014 |
| 0.35 | 2.15668 | 1.87953 | 2.51507 | 0.47040 | 0.46810 | 0.46862 | 0.38408 | 0.34711 | 0.38189 |
| 0.80 | 0.64593 | 0.48022 | 0.82184 | 0.24004 | 0.24044 | 0.23649 | 0.13337 | 0.12760 | 0.13015 |
| 1.20 | 0.41102 | 0.30069 | 0.52374 | 0.22680 | 0.22687 | 0.22461 | 0.12151 | 0.11778 | 0.11958 |
| 1.60 | 0.30141 | 0.21865 | 0.38305 | 0.22070 | 0.22059 | 0.21906 | 0.11616 | 0.11336 | 0.11474 |
| 2.00 | 0.23795 | 0.17197 | 0.30394 | 0.21719 | 0.21713 | 0.21596 | 0.11312 | 0.11096 | 0.11207 |
| 2.40 | 0.19657 | 0.14159 | 0.25034 | 0.21491 | 0.21485 | 0.21387 | 0.11116 | 0.10935 | 0.11027 |
| 2.80 | 0.16745 | 0.12037 | 0.21438 | 0.21331 | 0.21327 | 0.21247 | 0.10979 | 0.10826 | 0.10908 |
| 0.25 | 0.85354 | 0.73330 | 1.08600 | 0.41916 | 0.42017 | 0.41295 | 0.23289 | 0.22729 | 0.22727 |
| 0.50 | 0.78434 | 0.62502 | 0.99794 | 0.35394 | 0.35479 | 0.34870 | 0.19666 | 0.18990 | 0.19191 |
| 0.75 | 0.71513 | 0.54610 | 0.90989 | 0.29424 | 0.29482 | 0.28988 | 0.16348 | 0.15695 | 0.15954 |
| 1.00 | 0.64593 | 0.48015 | 0.82184 | 0.24004 | 0.24042 | 0.23649 | 0.13337 | 0.12759 | 0.13015 |
| 1.25 | 0.57672 | 0.42096 | 0.73378 | 0.19136 | 0.19162 | 0.18853 | 0.10632 | 0.10148 | 0.10376 |
| 1.50 | 0.50752 | 0.36551 | 0.64573 | 0.14819 | 0.14834 | 0.14600 | 0.08234 | 0.07845 | 0.08035 |
| 0.10 | 1.03239 | 0.80430 | 1.25340 | 0.28596 | 0.28501 | 0.28253 | 0.17709 | 0.16321 | 0.17369 |
| 0.20 | 0.82078 | 0.63167 | 1.01692 | 0.25923 | 0.25905 | 0.25568 | 0.15117 | 0.14229 | 0.14783 |
| 0.30 | 0.64593 | 0.48022 | 0.82184 | 0.24004 | 0.24044 | 0.23649 | 0.13337 | 0.12760 | 0.13015 |
| 0.40 | 0.49610 | 0.34376 | 0.65298 | 0.22619 | 0.22693 | 0.22268 | 0.12097 | 0.11725 | 0.11789 |
| 0.50 | 0.36344 | 0.21775 | 0.50083 | 0.21635 | 0.21746 | 0.21298 | 0.11240 | 0.11025 | 0.10952 |
| 0.60 | 0.24231 | 0.09732 | 0.35758 | 0.20970 | 0.21116 | 0.20667 | 0.10673 | 0.10588 | 0.10418 |
| 0.50 | 0.14584 | 0.10467 | 0.18680 | 0.21212 | 0.21210 | 0.21139 | 0.10878 | 0.10745 | 0.10816 |
| 0.60 | 0.21304 | 0.15367 | 0.27250 | 0.21581 | 0.21580 | 0.21473 | 0.11194 | 0.11000 | 0.11101 |
| 0.70 | 0.29499 | 0.21399 | 0.37494 | 0.22034 | 0.22031 | 0.21874 | 0.11585 | 0.11314 | 0.11447 |
| 0.80 | 0.39315 | 0.28719 | 0.50114 | 0.22580 | 0.22582 | 0.22371 | 0.12063 | 0.11704 | 0.11879 |
| 0.90 | 0.50936 | 0.37516 | 0.64845 | 0.23232 | 0.23249 | 0.22956 | 0.12641 | 0.12180 | 0.12395 |
| 1.00 | 0.64593 | 0.48022 | 0.82184 | 0.24004 | 0.24044 | 0.23649 | 0.13337 | 0.12760 | 0.13015 |
| 0.20 | 3.19478 | 2.66838 | 4.27852 | 0.42918 | 0.42986 | 0.41646 | 0.29760 | 0.27253 | 0.28550 |
| 0.30 | 1.18975 | 0.91424 | 1.54163 | 0.27493 | 0.27541 | 0.26898 | 0.16296 | 0.15265 | 0.15753 |
| 0.40 | 0.64593 | 0.48022 | 0.82184 | 0.24004 | 0.24044 | 0.23649 | 0.13337 | 0.12760 | 0.13015 |
| 0.50 | 0.41102 | 0.30069 | 0.51715 | 0.22613 | 0.22651 | 0.22375 | 0.12151 | 0.11778 | 0.11935 |
| 0.60 | 0.28615 | 0.20750 | 0.35763 | 0.21907 | 0.21944 | 0.21737 | 0.11543 | 0.11282 | 0.11388 |
| 0.70 | 0.21126 | 0.15232 | 0.26161 | 0.21497 | 0.21526 | 0.21365 | 0.11186 | 0.10991 | 0.11065 |
References
- Tang, C.S.; Zhou, S. Research advances in environmentally and socially sustainable operations. Eur. J. Oper. Res. 2012, 223, 585–594. [Google Scholar] [CrossRef]
- Cohen, M.C.; Lobel, R.; Perakis, G. The Impact of Demand Uncertainty on Consumer Subsidies for Green Technology Adoption. Manag. Sci. 2016, 62, 1235–1258. [Google Scholar] [CrossRef]
- Tsao, Y.C.; Lee, P.L.; Chen, C.H.; Liao, Z.W. Sustainable newsvendor models under trade credit. J. Clean. Prod. 2017, 141, 1478–1491. [Google Scholar] [CrossRef]
- Huang, S.; Fan, Z.P.; Wang, N.N. Green subsidy modes and pricing strategy in a capital-constrained supply chain. Transp. Res. Part E Logist. Transp. Rev. 2020, 136, 101885. [Google Scholar] [CrossRef]
- Nielsen, I.E.; Majumder, S.; Sana, S.S.; Saha, S. Comparative analysis of government incentives and game structures on single and two-period green supply chain. J. Clean. Prod. 2019, 235, 1371–1398. [Google Scholar] [CrossRef]
- Dinh, C.T.; Uehara, T.; Tsuge, T. Green Attributes in Young Consumers’ Purchase Intentions: A Cross-Country, Cross-Product Comparative Study Using a Discrete Choice Experiment. Sustainability 2021, 13, 9825. [Google Scholar] [CrossRef]
- Hong, Z.F.; Guo, X.L. Green product supply chain contracts considering environmental responsibilities. Omega-Int. J. Manag. Sci. 2019, 83, 155–166. [Google Scholar] [CrossRef]
- Liu, Z.; Anderson, T.D.; Cruz, J.M. Consumer environmental awareness and competition in two-stage supply chains. Eur. J. Oper. Res. 2012, 218, 602–613. [Google Scholar] [CrossRef]
- Du, S.F.; Zhu, J.; Jiao, H.F.; Ye, W.Y. Game-theoretical analysis for supply chain with consumer preference to low carbon. Int. J. Prod. Res. 2015, 53, 3753–3768. [Google Scholar] [CrossRef]
- Wang, Y.; Hou, G.S. A duopoly game with heterogeneous green supply chains in optimal price and market stability with consumer green preference. J. Clean. Prod. 2020, 255, 120161. [Google Scholar] [CrossRef]
- Zhang, X.; Yousaf, H.M.A.U. Green supply chain coordination considering government intervention, green investment, and customer green preferences in the petroleum industry. J. Clean. Prod. 2020, 246, 118984. [Google Scholar] [CrossRef]
- Sun, L.C.; Cao, X.X.; Alharthi, M.; Zhang, J.J.; Taghizadeh-Hesary, F.; Mohsin, M. Carbon emission transfer strategies in supply chain with lag time of emission reduction technologies and low-carbon preference of consumers. J. Clean. Prod. 2020, 264, 121664. [Google Scholar] [CrossRef]
- Ghosh, D.; Shah, J. Supply chain analysis under green sensitive consumer demand and cost sharing contract. Int. J. Prod. Econ. 2015, 164, 319–329. [Google Scholar] [CrossRef]
- Zhu, W.G.; He, Y.J. Green product design in supply chains under competition. Eur. J. Oper. Res. 2017, 258, 165–180. [Google Scholar] [CrossRef]
- Giri, R.N.; Mondal, S.K.; Maiti, M. Government intervention on a competing supply chain with two green manufacturers and a retailer. Comput. Ind. Eng. 2019, 128, 104–121. [Google Scholar] [CrossRef]
- Zhang, S.; Yu, Y.; Zhu, Q.; Qiu, C.M.; Tian, A. Green Innovation Mode under Carbon Tax and Innovation Subsidy: An Evolutionary Game Analysis for Portfolio Policies. Sustainability 2020, 12, 1385. [Google Scholar] [CrossRef] [Green Version]
- Su, C.; Liu, X.; Du, W. Green Supply Chain Decisions Considering Consumers’ Low-Carbon Awareness under Different Government Subsidies. Sustainability 2020, 12, 2281. [Google Scholar] [CrossRef] [Green Version]
- Barman, A.; Das, R.; De, P.K.; Sana, S.S. Optimal Pricing and Greening Strategy in a Competitive Green Supply Chain: Impact of Government Subsidy and Tax Policy. Sustainability 2021, 13, 9178. [Google Scholar] [CrossRef]
- Yi, Y.; Li, J. The effect of governmental policies of carbon taxes and energy-saving subsidies on enterprise decisions in a two-echelon supply chain. J. Clean. Prod. 2018, 181, 675–691. [Google Scholar]
- Guo, J.Q.; Yu, H.L.; Gen, M.S. Research on green closed-loop supply chain with the consideration of double subsidy in e-commerce environment. Comput. Ind. Eng. 2020, 149, 106779. [Google Scholar] [CrossRef]
- He, P.; He, Y.; Xu, H. Channel structure and pricing in a dual-channel closed-loop supply chain with government subsidy. Int. J. Prod. Econ. 2019, 213, 108–123. [Google Scholar] [CrossRef]
- Meng, Q.F.; Li, M.W.; Liu, W.Y.; Li, Z.; Zhang, J. Pricing policies of dual-channel green supply chain: Considering government subsidies and consumers’ dual preferences. Sustain. Prod. Consump. 2021, 26, 1021–1030. [Google Scholar] [CrossRef]
- Chen, J.-Y.; Dimitrov, S.; Pun, H. The impact of government subsidy on supply Chains’ sustainability innovation. Omega-Int. J. Manag. Sci. 2019, 86, 42–58. [Google Scholar] [CrossRef]
- Safarzadeh, S.; Rasti-Barzoki, M. A game theoretic approach for pricing policies in a duopolistic supply chain considering energy productivity, industrial rebound effect, and government policies. Energy 2019, 167, 92–105. [Google Scholar] [CrossRef]
- Dai, R.; Zhang, J.X.; Tang, W.S. Cartelization or Cost-sharing? Comparison of cooperation modes in a green supply chain. J. Clean. Prod. 2017, 156, 159–173. [Google Scholar] [CrossRef]
- Song, J.; Chutani, A.; Dolgui, A.; Liang, L. Dynamic innovation and pricing decisions in a supply-Chain. Omega-Int. J. Manag. Sci. 2021, 103, 102423. [Google Scholar] [CrossRef]
- Wei, J.Y.; Wang, C.X.; Wang, Y.T. Improving interaction mechanism of carbon reduction technology innovation between supply chain enterprises and government by means of differential game. J. Clean. Prod. 2021, 296, 126578. [Google Scholar] [CrossRef]
- Pnevmatikos, N.; Vardar, B.; Zaccour, G. When should a retailer invest in brand advertising? Eur. J. Oper. Res. 2018, 267, 754–764. [Google Scholar] [CrossRef]
- Buratto, A.; Cesaretto, R.; De Giovanni, P. Consignment contracts with cooperative programs and price discount mechanisms in a dynamic supply chain. Int. J. Prod. Econ. 2019, 218, 72–82. [Google Scholar] [CrossRef]
- Lu, F.; Tang, W.; Liu, G.; Zhang, J. Cooperative advertising: A way escaping from the prisoner’s dilemma in a supply chain with sticky price. Omega-Int. J. Manag. Sci. 2019, 86, 87–106. [Google Scholar] [CrossRef]
- Dai, R.; Zhang, J.; Liu, G. Carbon Tariff vs. Emission Cap of North–South Countries in Response to Manufacturer’s Production. Sustainability 2020, 12, 1443. [Google Scholar] [CrossRef] [Green Version]
- Yu, B.Q.; Wang, J.; Lu, X.M.; Yang, H.T. Collaboration in a low-carbon supply chain with reference emission and cost learning effects: Cost sharing versus revenue sharing strategies. J. Clean. Prod. 2020, 250, 119460. [Google Scholar] [CrossRef]
- Deng, W.; Liu, L. Comparison of Carbon Emission Reduction Modes: Impacts of Capital Constraint and Risk Aversion. Sustainability 2019, 11, 1661. [Google Scholar] [CrossRef] [Green Version]
- Li, Y. Research on supply chain CSR management based on differential game. J. Clean. Prod. 2020, 268, 122171. [Google Scholar] [CrossRef]
- Xiang, Z.H.; Xu, M.L. Dynamic game strategies of a two-stage remanufacturing closed-loop supply chain considering Big Data marketing, technological innovation and overconfidence. Comput. Ind. Eng. 2020, 145, 106538. [Google Scholar] [CrossRef]
- Ni, J.; Zhao, J.; Chu, L.K. Supply contracting and process innovation in a dynamic supply chain with information asymmetry. Eur. J. Oper. Res. 2021, 288, 552–562. [Google Scholar] [CrossRef]
- Wu, C.H. A dynamic perspective of government intervention in a competitive closed-loop supply chain. Eur. J. Oper. Res. 2021, 294, 122–137. [Google Scholar] [CrossRef]
- Ma, S.G.; He, Y.; Gu, R.; Li, S.S. Sustainable supply chain management considering technology investments and government intervention. Transp. Res. Part E Logist. Transp. Rev. 2021, 149, 102290. [Google Scholar] [CrossRef]
- Bertinelli, L.; Camacho, C.; Zou, B. Carbon capture and storage and transboundary pollution: A differential game approach. Eur. J. Oper. Res. 2014, 237, 721–728. [Google Scholar] [CrossRef]
- Plambeck, E.L. Reducing greenhouse gas emissions through operations and supply chain management. Energy Econ. 2012, 34, S64–S74. [Google Scholar] [CrossRef]
- Zhang, Q.; Tang, W.S.; Zhang, J.X. Green supply chain performance with cost learning and operational inefficiency effects. J. Clean. Prod. 2016, 112, 3267–3284. [Google Scholar] [CrossRef]
- Bhaskaran, S.R.; Krishnan, V. Effort, revenue, and cost sharing mechanisms for collaborative new product development. Manag. Sci. 2009, 55, 1152–1169. [Google Scholar] [CrossRef] [Green Version]
Publisher’s Note: MDPI stays neutral with regard to jurisdictional claims in published maps and institutional affiliations. |
© 2021 by the authors. Licensee MDPI, Basel, Switzerland. This article is an open access article distributed under the terms and conditions of the Creative Commons Attribution (CC BY) license (https://creativecommons.org/licenses/by/4.0/).









