Bioenergy Potential of Crop Residues in the Senegal River Basin: A Cropland–Energy–Water-Environment Nexus Approach
Abstract
:1. Introduction
- Which bioenergy resources are available in the Senegal river basin?
- How should the availability of agricultural residues to satisfy the energy demand from a WEFE nexus perspective be assessed?
- How do strategies that maximize bioenergy production from crop residues (and vice versa) in different agricultural settings impact food production?
- Which are the positive and negative impacts of producing bioenergy by crop residues on other WEFE aspects? These aspects include food demand and diet satisfaction cropland allocation, water demand, and the contribution of pressure on forest and savanna environments.
2. The Case Study and the Baseline Scenario Definition
3. Materials and Methods
3.1. Design of Optimization Modelling, Objectives, and Parameters Identification
- W: Minimize total irrigation water demand;
- E: Maximize total bioenergy potential from crop residues;
- E: Minimize total irrigation pumping energy demand
- F: Maximize total food production;
- E: Minimize crop land area
3.1.1. The Bioenergy Potential Objective
- r: specific region
- c: specific crop
- XRrc (ha): rainfed agriculture area in region r for crop c
- XIrc (ha): irrigated agriculture area in region r for crop c
- YieldRrc (ton/ha): yield for rain-fed crop
- YieldIrc (ton/ha): yield for irrigated crop
- EnPotc [MWh/yr]: Technical Energy Potential for crop c
- RPRc: Residue Factor Production for crop c
- RECFc: Residue Factor Collection for crop c
- LHVc [MJ/kg]: crop residue heating value
- EPE: Efficiency conversion factor
3.1.2. The Food Calories Potential Production Objective
- r: specific region
- c: specific crop
- XRrc (ha): rainfed agriculture area in region r for crop c
- XIrc (ha): irrigated agriculture area in region r for crop c
- YieldRrc (ton/ha): yield for rain-fed crop
- Caloriesrc (kcal/kg): specific food calorie content for crop c in region r
3.1.3. Total Irrigation Water and Pumping Energy Requirements Objectives
- Minimize the crop water demand (Equation (4))
- Minimize the total energy required for pumping the water (Equation (5))where:
- r: specific region
- c: specific crop
- XIrc (ha): irrigated agriculture area in region r for crop c
- WatReqbyHarc (m3/ha/season): average irrigation water requirement crop c, region r
- PumpEffc (kwh/ML/m): pump efficiency
- THead (m): dynamic head (depth of lifting) irrigation water for region r
3.2. The Constraints
- Food calorie minimum requirements and diet habits
- Cropland availability
- Irrigation water availability
3.2.1. Minimum Food Production Constraint
3.2.2. Agricultural Area Available Constraint
3.2.3. Irrigation Water Availability Constraint
3.2.4. Difference with the Current Strategy Constraint
3.3. Optimization Solvers (System Implementation)
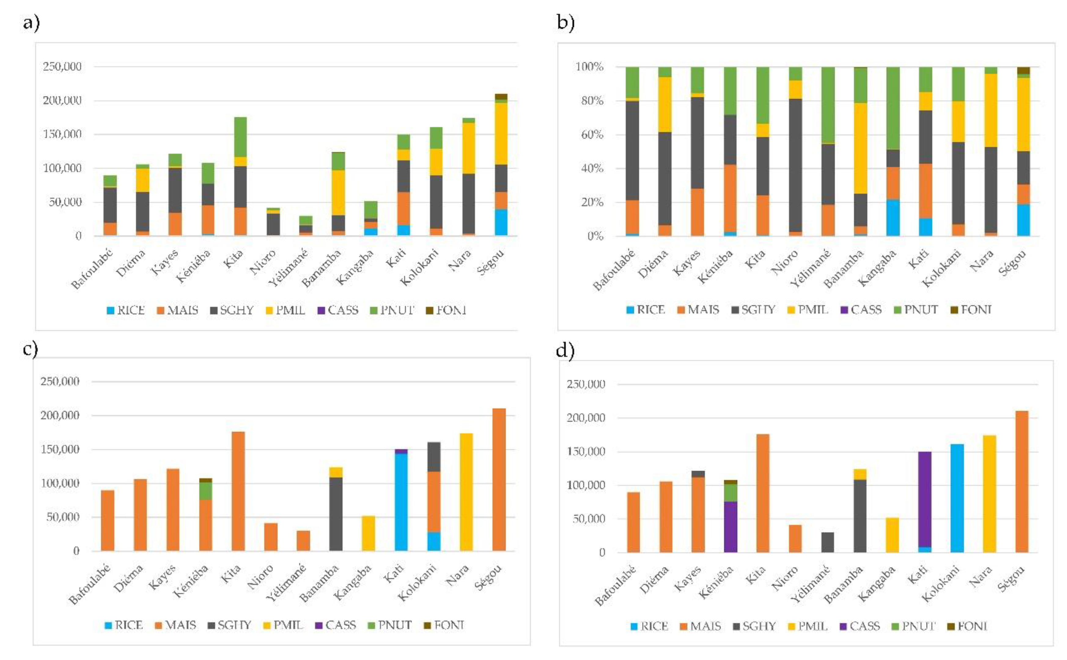
4. Optimization Results
5. Discussion
6. Conclusions
Author Contributions
Funding
Institutional Review Board Statement
Informed Consent Statement
Data Availability Statement
Acknowledgments
Conflicts of Interest
References
- United Nations (UN). Transforming Our World: The 2030 Agenda for Sustainable Development. Available online: https://sdgs.un.org/2030agenda (accessed on 1 December 2020).
- Nagheeby, M.; Piri, D.M.; Faure, M. The Legitimacy of Dam Development in International Watercourses: A Case Study of the Harirud River Basin. Transnatl. Environ. Law 2019, 8, 247–278. [Google Scholar] [CrossRef] [Green Version]
- Puig, D.; Moner-Girona, M.; Kammen, D.M.; Mulugetta, Y.; Marzouk, A.; Jarrett, M.; Hailu, Y.; Nakićenović, N. An action agenda for Africa’s electricity sector. Science 2021, 373, 616–619. [Google Scholar] [CrossRef] [PubMed]
- International Energy Agency. Africa Energy Outlook; International Energy Agency: Paris, France, 2019.
- United Nations. Department of Economic and Social Affairs Sustainable Development Goals. Available online: https://sdgs.un.org/goals (accessed on 1 September 2021).
- ECREEE ECOWREX. ECOWAS Observatory for Renewable Energy and Energy Efficiency. Available online: http://www.ecowrex.org/ (accessed on 23 February 2020).
- Pope, D.; Diaz, E.; Smith-Sivertsen, T.; Lie, R.T.; Bakke, P.; Balmes, J.R.; Smith, K.R.; Bruce, N.G. Exposure to household air pollution from wood combustion and association with respiratory symptoms and lung function in nonsmoking women: Results from the RESPIRE trial, Guatemala. Environ. Health Perspect. 2015, 123, 285–292. [Google Scholar] [CrossRef] [PubMed] [Green Version]
- Bailis, R.; Ezzati, M.; Kammen, D.M. Mortality and greenhouse gas impacts of biomass and petroleum energy futures in Africa. Science 2005, 308, 98–103. [Google Scholar] [CrossRef] [Green Version]
- ECOWAS/Economic Community of West African States. ECOWAs Renewable Energy Policy; ECOWAS, C.P. 288: Praia, Cape Verde, 2015.
- Stecher, K.; Brosowski, A.; Thrän, D. Biomass Potential in Africa; IRENA: Abu Dhabi, United Arab Emirates, 2013. [Google Scholar]
- Moner-Girona, M.; Bender, A.; Becker, W.; Bódis, K.; Szabó, S.; Kararach, A.G.G.; Anadon, L.D.D.; Kararach, G.; Diaz Anadon, L. A multidimensional high-resolution assessment approach to boost decentralised energy investments in Sub-Saharan Africa. Renew. Sustain. Energy Rev. 2021, 148, 111282. [Google Scholar] [CrossRef]
- Szabó, S.; Pascua, I.P.; Puig, D.; Moner-Girona, M.; Negre, M.; Huld, T.; Mulugetta, Y.; Kougias, I.; Szabó, L.; Kammen, D. Mapping of affordability levels for photovoltaic-based electricity generation in the solar belt of sub-Saharan Africa, East Asia and South Asia. Sci. Rep. 2021, 11, 3226. [Google Scholar] [CrossRef] [PubMed]
- Gnansounou, E.; Pachón, E.R.; Sinsin, B.; Teka, O.; Togbé, E.; Mahamane, A. Using agricultural residues for sustainable transportation biofuels in 2050: Case of West Africa. Bioresour. Technol. 2020, 305, 123080. [Google Scholar] [CrossRef]
- Jiang, Y.; Havrysh, V.; Klymchuk, O.; Nitsenko, V.; Balezentis, T.; Streimikiene, D. Utilization of Crop Residue for Power Generation: The Case of Ukraine. Sustainability 2019, 11, 7004. [Google Scholar] [CrossRef] [Green Version]
- Jekayinfa, S.O.; Scholz, V. Potential availability of energetically usable crop residues in Nigeria. Energy Sources Part A Recover. Util. Environ. Eff. 2009, 31, 687–697. [Google Scholar] [CrossRef]
- Gregg, J.S.; Smith, S.J. Global and regional potential for bioenergy from agricultural and forestry residue biomass. Mitig. Adapt. Strateg. Glob. Chang. 2010, 15, 241–262. [Google Scholar] [CrossRef]
- Arranz-Piera, P.; Bellot, O.; Gavaldà, O.; Kemausuor, F.; Velo, E. Trigeneration Based on Biomass—Specific Field Case: Agricultural Residues from Smallholder Farms in Ghana. Energy Procedia 2016, 93, 146–153. [Google Scholar] [CrossRef] [Green Version]
- Arranz-Piera, P.; Kemausuor, F.; Darkwah, L.; Edjekumhene, I.; Cortés, J.; Velo, E. Mini-grid electricity service based on local agricultural residues: Feasibility study in rural Ghana. Energy 2018, 153, 443–454. [Google Scholar] [CrossRef]
- Arranz-Piera, P.; Horta, F.; Velo, E. Guidelines to introduce biomass systems in decentralised electrification programmes for MDG achievement in the sub saharan african context. case studies of two reference countries: Ghana and Mozambique. In Proceedings of the 19th European Biomass Conference & Exhibition, Berlin, Germany, 6–10 June 2011. [Google Scholar]
- Ackom, E.K.; Alemagi, D.; Ackom, N.B.; Minang, P.A.; Tchoundjeu, Z. Modern bioenergy from agricultural and forestry residues in Cameroon: Potential, challenges and the way forward. Energy Policy 2013, 63, 101–113. [Google Scholar] [CrossRef]
- Okello, C.; Pindozzi, S.; Faugno, S.; Boccia, L. Bioenergy potential of agricultural and forest residues in Uganda. Biomass Bioenergy 2013, 56, 515–525. [Google Scholar] [CrossRef]
- Guo, M.; van Dam, K.H.; Touhami, N.O.; Nguyen, R.; Delval, F.; Jamieson, C.; Shah, N. Multi-level system modelling of the resource-food-bioenergy nexus in the global south. Energy 2020, 197, 117169. [Google Scholar] [CrossRef]
- IEA (International Energy Agency). Sustainable Production of Second-Generation Biofuels; IEA: Paris, France, 2010.
- Robertson, G.P.; Hamilton, S.K.; Barham, B.L.; Dale, B.E.; Izaurralde, R.C.; Jackson, R.D.; Landis, D.A.; Swinton, S.M.; Thelen, K.D.; Tiedje, J.M. Cellulosic biofuel contributions to a sustainable energy future: Choices and outcomes. Science 2017, 356, eaal2324. [Google Scholar] [CrossRef] [PubMed] [Green Version]
- Albrecht, T.R.; Crootof, A.; Scott, C.A. The Water-Energy-Food Nexus: A systematic review of methods for nexus assessment. Environ. Res. Lett. 2018, 13, 043002. [Google Scholar] [CrossRef]
- Keairns, D.L.; Darton, R.C.; Irabien, A. The Energy-Water-Food Nexus. Annu. Rev. Chem. Biomol. Eng. 2016, 7, 239–262. [Google Scholar] [CrossRef] [PubMed]
- Liu, J.; Hull, V.; Godfray, H.C.J.; Tilman, D.; Gleick, P.; Hoff, H.; Pahl-Wostl, C.; Xu, Z.; Chung, M.G.; Sun, J.; et al. Nexus approaches to global sustainable development. Nat. Sustain. 2018, 1, 466–476. [Google Scholar] [CrossRef]
- Pastori, M.; Udías, A.; Bouraoui, F.; Bidoglio, G. A Multi-Objective Approach to Evaluate the Economic and Environmental Impacts of Alternative Water and Nutrient Management Strategies in Africa. J. Environ. Inform. 2017, 29, 16–28. [Google Scholar] [CrossRef] [Green Version]
- Plà, L.M.; Sandars, D.L.; Higgins, A.J. A perspective on operational research prospects for agriculture. J. Oper. Res. Soc. 2014, 65, 1078–1089. [Google Scholar] [CrossRef]
- Udías, A.; Galbiati, L.; Elorza, F.J.; Efremov, R.; Pons, J.; Borras, G.; Galbiati, L. Framework for multi-criteria decision management in watershed restoration. J. Hydroinform. 2012, 14, 359–411. [Google Scholar] [CrossRef]
- Zhang, J.; Campana, P.E.; Yao, T.; Zhang, Y.; Lundblad, A.; Melton, F.; Yan, J. The water-food-energy nexus optimization approach to combat agricultural drought: A case study in the United States. Appl. Energy 2018, 227, 449–464. [Google Scholar] [CrossRef]
- Dhaubanjar, S.; Davidsen, C.; Bauer-Gottwein, P. Multi-Objective Optimization for Analysis of Changing Trade-Offs in the Nepalese Water–Energy–Food Nexus with Hydropower Development. Water 2017, 9, 162. [Google Scholar] [CrossRef] [Green Version]
- Ba, B.H.; Prins, C.; Prodhon, C. Models for optimization and performance evaluation of biomass supply chains: An Operations Research perspective. Renew. Energy 2016, 87, 977–989. [Google Scholar] [CrossRef]
- Johnson, D.M.; Jenkins, T.L.; Zhang, F. Methods for optimally locating a forest biomass-to-biofuel facility. Biofuels 2012, 3, 489–503. [Google Scholar] [CrossRef]
- Nagel, J. Determination of an economic energy supply structure based on biomass using a mixed-integer linear optimization model. Ecol. Eng. 2000, 16, 91–102. [Google Scholar] [CrossRef]
- Freppaz, D.; Minciardi, R.; Robba, M.; Rovatti, M.; Sacile, R.; Taramasso, A. Optimizing forest biomass exploitation for energy supply at a regional level. Biomass Bioenergy 2004, 26, 15–25. [Google Scholar] [CrossRef]
- Shabani, N.; Akhtari, S.; Sowlati, T. Value chain optimization of forest biomass for bioenergy production: A review. Renew. Sustain. Energy Rev. 2013, 23, 299–311. [Google Scholar] [CrossRef]
- Cundiff, J.S.; Dias, N.; Sherali, H.D. A linear programming approach for designing a herbaceous biomass delivery system. Bioresour. Technol. 1997, 59, 47–55. [Google Scholar] [CrossRef]
- Duku, M.H.; Gu, S.; Hagan, E. Ben A comprehensive review of biomass resources and biofuels potential in Ghana. Renew. Sustain. Energy Rev. 2011, 15, 404–415. [Google Scholar] [CrossRef]
- Hassan, I.; Ahmad, P.; Akhter, M.; Aslam, M. Use of Linear Programming Model to Determine the Optimum Cropping Pattern: A case Study of Punjab. Electron. J. Environ. Agric. Food Chem. 2005, 4, 841–850. [Google Scholar]
- Kemausuor, F.; Kamp, A.; Thomsen, S.T.; Bensah, E.C.; Østergård, H. Assessment of biomass residue availability and bioenergy yields in Ghana. Resour. Conserv. Recycl. 2014, 86, 28–37. [Google Scholar] [CrossRef]
- Arranz-Piera, P.; Kemausuor, F.; Addo, A.; Velo, E. Electricity generation prospects from clustered smallholder and irrigated rice farms in Ghana. Energy 2017, 121, 246–255. [Google Scholar] [CrossRef] [Green Version]
- Udias, A.; Pastori, M.; Dondeynaz, C.; Moreno, C.C.; Ali, A.; Cattaneo, L.; Cano, J. A decision support tool to enhance agricultural growth in the Mékrou river basin (West Africa). Comput. Electron. Agric. 2018, 154, 467–481. [Google Scholar] [CrossRef]
- United Nations. Water for People, Water for Life: The United Nations World Water Development Report; a Joint Report by the Twenty-Three UN Agencies Concerned with Freshwater; UNESCO World Water Assessment Programme: Paris, France, 2003. [Google Scholar]
- OMVS. Evaluation Regionale Strategique des Options de Developpement Hydroelectrique et des Ressources en eau dans le Bassin du Fleuve Senegal—Rapport D’evaluation Regionale Strategique—Volume 1; OMVS Report: Dakar, Senegal, 2013. [Google Scholar]
- Diouf, Y. Étude socioéconomique de la vulnérabilité/résilience des exploitations agricoles familiales de la vallée du fleuve Sénégal. Bachelor’s Thesis, École Nationale Supérieure d’Agriculture, Univerité de Thiès, Ecole Nationale Supérieure d’Agriculture (ENSA), Thiès, Senegal, April 2015. [Google Scholar]
- You, L.; Wood-Sichra, U.; Fritz, S.; Guo, Z.; See, L.; Koo, J. Spatial Production Allocation Model (SPAM) 2005 v3. 5 February 2018. Available online: http://mapspam.info (accessed on 27 June 2018).
- OMVS; JRC; AICS. Etude sur l’état des Lieux des Données, des Modeles, des Systèmes et des Infrastructures Existantes au Niveau de l’OMVS et des Partenaires des Projets OMVS dans le Bassin du fleuve Sénégal; Baseline Report; OMVS: Dakar, Senegal, 2020. [Google Scholar]
- OMVS. SDAGE du Fleuve Senegal. Phase 3. ANNEXES. Version Finale; OMVS: Dakar, Senegal, 2011. [Google Scholar]
- ENDA. Bioenergy for Rural Development in West Africa: The Case of Ghana, Mali and Senegal; Final Report; ENDA Energy, Environment, Development; GNESD: Copenhagen, Denmark, 2010. [Google Scholar]
- Ayamga, E.A.; Kemausuor, F.; Addo, A. Technical analysis of crop residue biomass energy in an agricultural region of Ghana. Resour. Conserv. Recycl. 2015, 96, 51–60. [Google Scholar] [CrossRef]
- FAO FAOSTAT. New Food Balances—Food Supply Quantity. Available online: http://www.fao.org/faostat/en/#data/FBS (accessed on 1 March 2020).
- Department of Industry and Science Australian Gov. Fundamentals of Energy Use in Water Pumping. Available online: https://www.cottoninfo.com.au/sites/default/files/documents/Fundamentals%20EnergyFS_A_3a.pdf (accessed on 1 March 2020).
- FAO; IFAD; WFP. The State of Food Insecurity in the World: Strengthening the Enabling Environment for Food Security and Nutrition; FAO: Rome, Italy, 2014. [Google Scholar]
- Makhorin, A. GNU Linear Programming Kit. 2012. Available online: https://www.gnu.org/software/glpk (accessed on 1 March 2021).
- R Core Team. R: A Language and Environment for Statistical Computing. 2017. Available online: https://www.R-project.org/ (accessed on 1 February 2020).
- Theussl, S.; Hornik, K.; Buchta, C.; Schwendinger, F.; Schuchardt, H. Rglpk: R/GNU Linear Programming Kit Interface. 2019. Available online: https://cran.r-project.org/web/packages/Rglpk/index.html (accessed on 1 February 2020).
- Fourer, R.; Gay, D.M.; Kernighan, B.W. A modeling language for mathematical programming. Manag. Sci. 1990, 36, 519–554. [Google Scholar] [CrossRef] [Green Version]
- Diwekar, U. Introduction to Applied Optimization, 3rd ed.; Springer International Publishing: New York, NY, USA, 2020. [Google Scholar]
- Grundmann, P.; Klauss, H. The impact of global trends on bioenergy production, food supply and global warming potential—An impact assessment of land-use changes in four regions in Germany using linear programming. J. Land Use Sci. 2014, 9, 34–58. [Google Scholar] [CrossRef]
- Leach, M.; Oduro, R. Preliminary Design and Analysis of a Proposed Solar and Battery Electric Cooking Concept: Costs and Pricing; Evidence on Demand: Brighton, UK, 2015. [Google Scholar]
- Batchelor, S.; Brown, E.; Scott, N.; Leary, J. Two Birds, One Stone—Reframing Cooking Energy Policies in Africa and Asia. Energies 2019, 12, 1591. [Google Scholar] [CrossRef] [Green Version]
- Win, Z.; Mizoue, N.; Ota, T.; Kajisa, T.; Yoshida, S. Consumption Rates and Use Patterns of Firewood and Charcoal in Urban and Rural Communities in Yedashe Township, Myanmar. Forests 2018, 9, 429. [Google Scholar] [CrossRef] [Green Version]
- OMVS. SDAGE du Fleuve Senegal. Phase Schema Directeur. Version Definitive; OMVS: Dakar, Senegal, 2011. [Google Scholar]
- Global Spatially-Disaggregated Crop Production Statistics Data for 2010 Version 2.0; IFPRI: Washington, DC, USA, 2019.







| Subscripts | |
| r | Region |
| c | Crop |
| Decision variables | |
| XRrc | Rainfed agriculture area in region r for crop c |
| XIrc | Irrigated agriculture area in region r for crop c |
| Parameters | |
| Specific rainfed crop productivity in region r for crop c (tons/ha) | |
| Specific irrigated crop productivity in region r for crop c (tons/ha) | |
| Specific food calories content for crop c in region r (kcal/kg) | |
| Energy potential for crop c (MWh/year) | |
| RPRC | Factor for residue production (crop-specific residue to product ratio (g/g)) |
| RECFC | Factor for residues availability (for the collection for energy production) |
| LHVC | Lower heating value (crop residue heating value (MJ/kg)) |
| EPE | Efficiency conversion factor (depending on energy technology conversion) |
| Average irrigation water requirement specific for crop c in region r (m3/ha/cropping season) | |
| Dynamic head (depth of lifting) irrigation water for region r (m) | |
| Specific pump efficiency expressed as the energy required to lift 1 ML (mega litre) of water for 1 m of head. In this study, it was 5.9 (kwh/ML/m) | |
| Total cropland area available in region r (ha) | |
| Water available for irrigation in region r (m3) | |
| Minimum production demand for crop c in region r (tons) | |
| Maximum cropland area increase/decrease (% of total cropland) | |
| Population number in region r (ref. year 2018) | |
| Specific food crop supply quantity per capita for crop c in region r (kg/capita/year) |
| Crop | Residue Type | RPR | LHV | RECF |
|---|---|---|---|---|
| g/g | MJ/kg | - | ||
| Mais | stalks | 2.67 | 3.50 | 0.5 |
| cobs | 1.00 | 4.75 | 0.7 | |
| Rice | husk | 0.28 | 4.45 | 0.7 |
| straw | 2.19 | 3.70 | 0.5 | |
| Millet | straw | 1.55 | 4.15 | 0.5 |
| Sorghum | straw | 4.15 | 4.05 | 0.5 |
| Cassava | stalks | 0.11 | 4.30 | 0.5 |
| Peanuts | shell | 2.58 | 4.90 | 0.7 |
| straw | 0.84 | 4.60 | 0.5 | |
| Fonio | straw | 1.55 | 4.15 | 0.5 |
| Crop Name | Code | Guinea | Mali | Mauritania | Senegal |
|---|---|---|---|---|---|
| Rice | RICE | 2519 | 2560 | 2908 | 2405 |
| Maize | MAIS | 3161 | 3174 | 3164 | 2997 |
| Sorghum | SGHY | 2738 | 2911 | 3081 | 2931 |
| Millet | PMIL | 2944 | 2974 | 2852 | 2451 |
| Cassava | CASS | 1086 | 1159 | 1112 | 1092 |
| Peanuts | PNUT | 3985 | 2511 | 4563 | 4169 |
| Fonio | FONI | 2301 | 3122 | 3532 | 3650 |
| Country | Bioenergy Potential | Food Calories Production | Irrigation Water Demand |
|---|---|---|---|
| GWh/yr | Mcal | Mm3 | |
| Guinea | 1100 | 3270 | 70.7 |
| Mali | 1759 | 4490 | 10.5 |
| Mauritania | 750 | 2180 | 998.0 |
| Senegal | 255 | 835 | 546.0 |
| Constraints | Short Description | Crops Movement between Regions | CropLand Allocation Limit | Reported Results |
|---|---|---|---|---|
| BSL | Current management | No | 0% | Table 4, Figure 5 |
| FrMv.CrL100 | No restriction for movement and land allocation | Yes | 100% free | Table 6 Figure 6 |
| NoMv.CrL100 | Free land allocation but no crop movement | No | 100% free | Table 7 |
| FrMv.CrL5 | No restriction for movement but limit allocation | Yes | 5% change | Table 8 |
| NoMv.CrL5 | No crop movement and limit allocation | No | 5% change | Table 9 |
| Country | (a) Maximize Energy | (b) Maximize Food Calories | ||
|---|---|---|---|---|
| Bioenergy | FoodCal | Bioenergy | FoodCal | |
| Guinea | 59.6% | 36.6% | 59.2% | 37.4% |
| Mali | 57.9% | 67.1% | 39.1% | 70.4% |
| Mauritania | 60.5% | 73.7% | 54.0% | 76.8% |
| Senegal | 58.3% | 40.4% | 45.0% | 41.0% |
| River basin | 66.1% | 57.6% | 45.9% | 66.1% |
| Country | (a) Maximize Energy | (b) Maximize Food Calories | ||
|---|---|---|---|---|
| Bioenergy | FoodCal | Bioenergy | FoodCal | |
| Guinea | 46.9% | 27.0% | 30.7% | 27.4% |
| Mali | 31.1% | 40.6% | 5.0% | 46.2% |
| Mauritania | 43.7% | 57.4% | 29.1% | 58.2% |
| Senegal | 24.2% | 14.6% | 4.7% | 15.3% |
| River basin | 35.1% | 32.5% | 14.6% | 35.2% |
| Country | (a) Maximize Energy | (b) Maximize Food Calories | ||
|---|---|---|---|---|
| Bioenergy | FoodCal | Bioenergy | FoodCal | |
| Guinea | 13.8% | 8.6% | 10.8% | 9.3% |
| Mali | 6.7% | 8.9% | 3.0% | 10.7% |
| Mauritania | 6.6% | 6.3% | 3.0% | 7.5% |
| Senegal | 7.1% | 5.4% | 4.5% | 5.6% |
| Country | (a) Maximize Energy | (b) Maximize Food Calories | ||
|---|---|---|---|---|
| Bioenergy | FoodCal | Bioenergy | FoodCal | |
| Guinea | 6.5% | 3.5% | 4.4% | 4.2% |
| Mali | 2.3% | 5.9% | −0.5% | 7.3% |
| Mauritania | 3.2% | 3.4% | 1.6% | 4.1% |
| Senegal | 2.6% | 1.6% | 1.6% | 1.7% |
Publisher’s Note: MDPI stays neutral with regard to jurisdictional claims in published maps and institutional affiliations. |
© 2021 by the authors. Licensee MDPI, Basel, Switzerland. This article is an open access article distributed under the terms and conditions of the Creative Commons Attribution (CC BY) license (https://creativecommons.org/licenses/by/4.0/).
Share and Cite
Pastori, M.; Udias, A.; Cattaneo, L.; Moner-Girona, M.; Niang, A.; Carmona-Moreno, C. Bioenergy Potential of Crop Residues in the Senegal River Basin: A Cropland–Energy–Water-Environment Nexus Approach. Sustainability 2021, 13, 11065. https://doi.org/10.3390/su131911065
Pastori M, Udias A, Cattaneo L, Moner-Girona M, Niang A, Carmona-Moreno C. Bioenergy Potential of Crop Residues in the Senegal River Basin: A Cropland–Energy–Water-Environment Nexus Approach. Sustainability. 2021; 13(19):11065. https://doi.org/10.3390/su131911065
Chicago/Turabian StylePastori, Marco, Angel Udias, Luigi Cattaneo, Magda Moner-Girona, Awa Niang, and Cesar Carmona-Moreno. 2021. "Bioenergy Potential of Crop Residues in the Senegal River Basin: A Cropland–Energy–Water-Environment Nexus Approach" Sustainability 13, no. 19: 11065. https://doi.org/10.3390/su131911065
APA StylePastori, M., Udias, A., Cattaneo, L., Moner-Girona, M., Niang, A., & Carmona-Moreno, C. (2021). Bioenergy Potential of Crop Residues in the Senegal River Basin: A Cropland–Energy–Water-Environment Nexus Approach. Sustainability, 13(19), 11065. https://doi.org/10.3390/su131911065

