Stakeholder Management—One of the Clues of Sustainable Project Management—As an Underestimated Factor of Project Success in Small Construction Companies
Abstract
:1. Introduction
2. Methodology
3. Literature Review and Theoretical Background
3.1. (i) The Concept of Project Success Also Taking into Account the Perspective of Project Stakeholders
3.2. (ii) Project Success Factors and Their Links to Construction Projects
- -
- -
- Success factors are independent variables, which, if they affect the project, increase the probability of its success. They are also referred to in the literature as critical success factors (CSFs) or determinants or measures of success.
3.3. (iii) Stakeholder Management and the Concept of Sustainability
3.4. (iv) Management of Stakeholders in Construction Projects
- A project’s success will be associated with satisfying the various stakeholders of the project;
- One of the types of project success factors is the type of stakeholder management;
- There are an extensive number of factors that influence the success and failure of projects, but an inclusive categorization of them is lacking, especially in construction;
- Single literature items that identify and categorize CSFs specifically for construction projects can be found;
- Stakeholder engagement/empowerment has a direct positive impact on project success;
- Management should strive to involve, motivate, and promote the stakeholder’s participation in their projects;
- A positive correlation between sustainable project management and project success can be found;
- There is a need for a systematic approach to engage stakeholders with high importance in relation to sustainability; and
- No research findings on stakeholder management of small construction projects exist.
4. Empirical Part
4.1. Data Collection
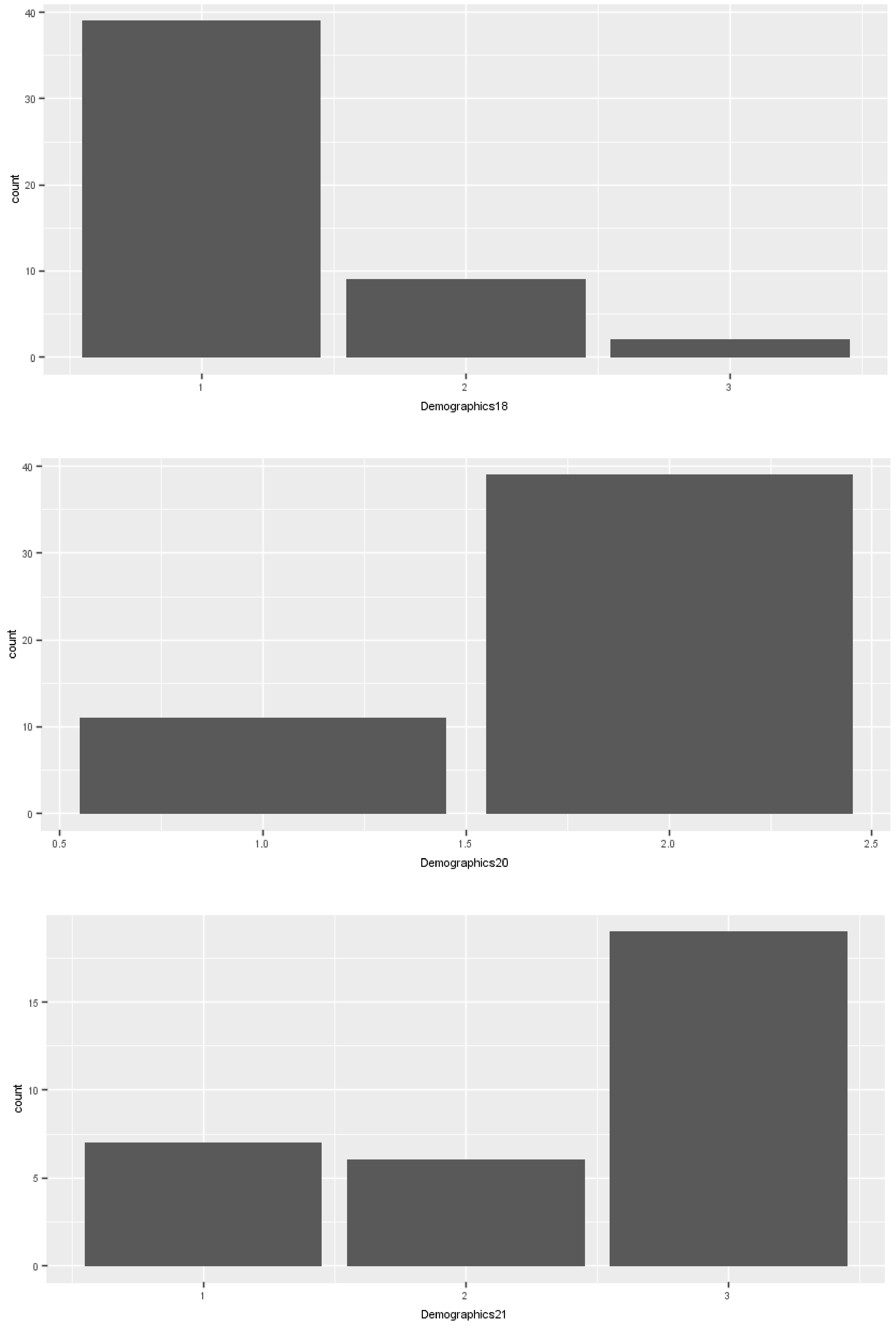
4.2. General Information about the Research Sample
5. Results




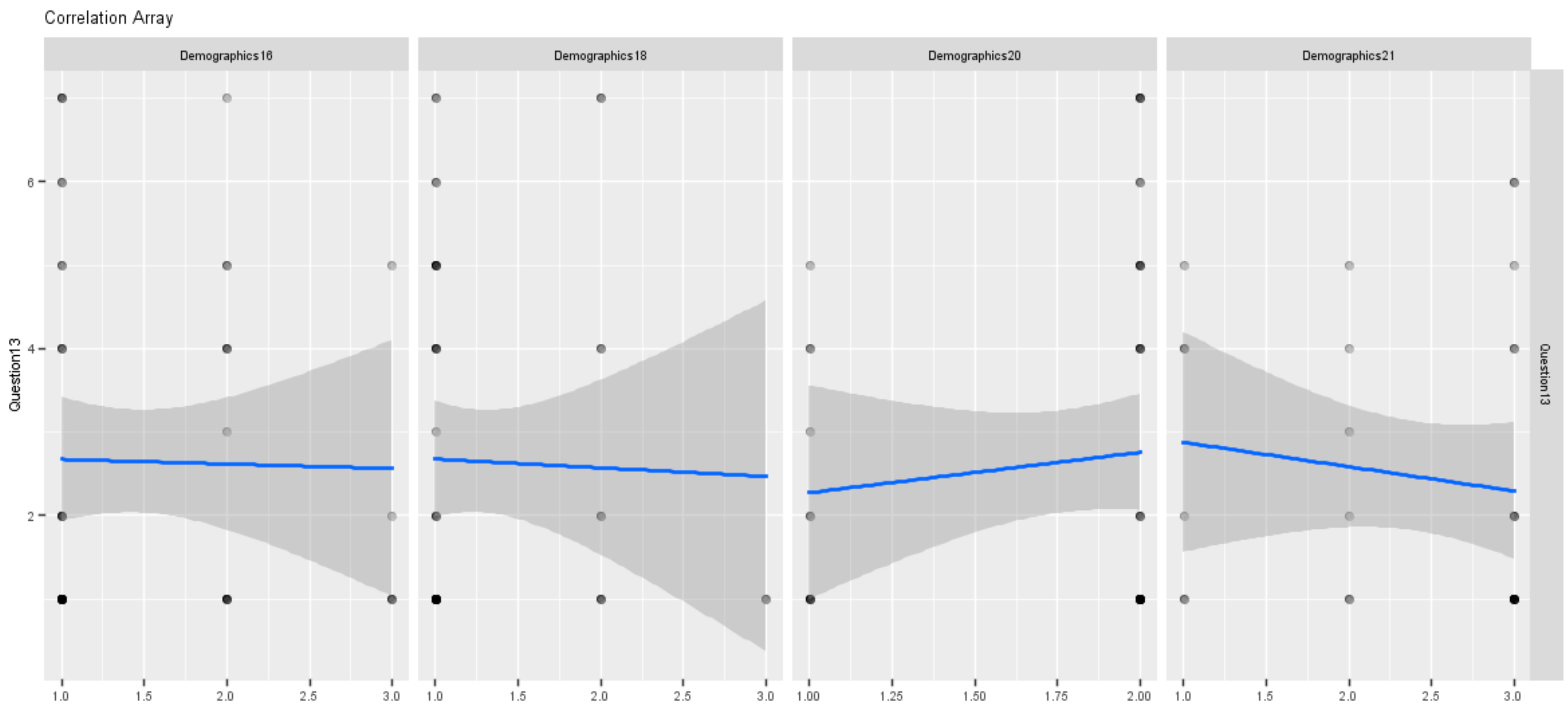
Correlations





6. Discussion and Conclusions
- In total, 44.9% of the respondents indicated “definitely no” or “almost no” to the question that their company identifies (check) stakeholders and clients before starting projects, and 91% of the respondents answered that their company does not plan to identify (check) stakeholders in the future;
- In total, 63.3% of the respondents indicated “definitely yes” or “basically yes” to the question that the current way of communicating with stakeholders before the project implementation allows them to get to know their needs, expectations, and attitudes towards the project;
- In total, 62.5% of the respondents indicated “definitely no” or “almost no” to the question that in the near future, a significant modification of the way of contacting stakeholders before the project implementation is planned;
- In total, 51% of the respondents indicated “definitely yes” or “basically yes” to the question that communication with stakeholders during the project implementation allows sufficient identification of the possible evolution of their needs, expectations, and attitudes towards the project;
- In total, 60% of the respondents indicated “definitely no” or “almost no” to the question that in the near future, a significant modification of the way of contacting stakeholders during the project implementation is planned.
- The larger the company, the more often it checks stakeholders and customers before starting projects;
- The larger the company, the less frequently the current method of communication with stakeholders prior to project implementation allows one to learn about their needs, expectations, and attitudes towards the project;
- The larger the company, the more often significant modification of the method of contacting stakeholders before project implementation is anticipated in the near future;
- The larger the company, the less often communication with stakeholders during project implementation allows identification of the possible evolution of their needs, expectations, and attitudes towards the project;
- The larger the company, the more often significant modification of the method of contacting stakeholders during project execution is expected in the near future.
- Carrying out the identification (checking) of stakeholders and clients before starting projects, and the systematic development of action and communication strategies for the group of the most important stakeholders selected during the analysis;
- Top management should provide additional stakeholder management support to increase the chances of success of their projects.
Author Contributions
Funding
Institutional Review Board Statement
Informed Consent Statement
Data Availability Statement
Conflicts of Interest
Appendix A
| Question Q1 | Does your company identify (check) stakeholders and clients before starting projects? |
| Question Q2 | Does your company plan to identify (check) stakeholders in the future? |
| Question Q3 | What is used to identify stakeholders?
|
| Question Q4 | Is the identification of stakeholders continued during the project implementation? |
| Question Q5 | Does your company perform stakeholder analysis in a formalized way before starting projects? |
| Question Q6 | Does your company expect to conduct a formal stakeholder analysis before starting projects in the future? |
| Question Q7 | What criteria are used in the stakeholder analysis?
|
| Question Q8 | Are unused criteria for stakeholder analysis foreseen in the near future? |
| Question Q9 | Is an action and communication strategy developed for the group of the most important stakeholders selected during the analysis in a systematic manner? |
| Question Q10 | Is systematic development of activities and communication towards stakeholders envisaged in the near future? |
| Question Q11 | Is there any significant modification to the way activities and stakeholder communication are foreseen in the near future? |
| Question Q12 | Does the current way of communicating with the stakeholders before the project implementation sufficiently allow to get to know their needs, expectations and attitudes towards the project? |
| Question Q13 | Is there any significant modification to the way of contacting stakeholders before the project implementation is planned in the near future? |
| Question Q14 | Does communication with stakeholders during project implementation sufficiently allow to identify possible evolution of their needs, expectations and attitudes towards the project? |
| Question Q15 | Is there any significant modification to the way of contacting stakeholders during the project implementation planned in the near future? |
| Question Q16 (Demographics16) | How many employees does your company employ? (under 50, between 50–250, over 250 people) |
| Question Q17 | What is the annual revenue generated in your company (PLN)? (below 40 million, 40–200 million, over 200 million) |
| Question Q18 (Demographics18) | Does your company cooperate internationally? (activity in Poland, within the EU, international outside the EU, global) |
| Question Q19 | Who is the main owner of your business? (domestic investor, foreign investor) |
| Question Q20 (Demographics20) | Since when has your company been operating on the market? (starting operations before 1990, after 1990) |
| Question Q21 (Demographics21) | Which function do you perform in the organization (choose the closest one)? (Board Member, Business Area Managing Director, Project/Program/Portfolio Manager, Project Office Director, Other) |
| Source: own work, based on [117]. | |
References
- Marcelino-Sádaba, S.; González-Jaen, L.F.; Pérez-Ezcurdia, A. Using Project Management as a Way to Sustainability. From a Comprehensive Review to a Framework Definition. J. Clean. Prod. 2015, 99, 1–16. [Google Scholar] [CrossRef]
- Huemann, M.; Silvius, G. Projects to Create the Future: Managing Projects Meets Sustainable Development. Int. J. Proj. Manag. 2017, 35, 1066–1070. [Google Scholar] [CrossRef]
- Brzozowska, A.; Pabian, A.; Pabian, B. Sustainability in Project Management. A Functional Approach; CRC Press Taylor & Francis Group: Boca Raton, FL, USA, 2021. [Google Scholar]
- Silvius, G. Sustainability as a New School of Thought in Project Management. J. Clean. Prod. 2017, 166, 1479–1493. [Google Scholar] [CrossRef]
- Silvius, A.J.G.; Schipper, R.P.J. Sustainability in Project Management: A Literature Review and Impact Analysis. Soc. Bus. 2014, 4, 63–96. [Google Scholar] [CrossRef]
- Gilbert Silvius, A.J.; Kampinga, M.; Paniagua, S.; Mooi, H. Considering Sustainability in Project Management Decision Making; An Investigation Using Q-Methodology. Int. J. Proj. Manag. 2017, 35, 1133–1150. [Google Scholar] [CrossRef]
- Eskerod, P.; Huemann, M. Sustainable Development and Project Stakeholder Management: What Standards Say. Int. J. Manag. Proj. Bus. 2013, 6, 36–50. [Google Scholar] [CrossRef]
- Lock, I.; Seele, P. Theorizing Stakeholders of Sustainability in the Digital Age. Sustain. Sci. 2017, 12, 235–245. [Google Scholar] [CrossRef]
- Achman, R. Stakeholders’ Perspectives on Sustainability in Project Management. In Sustainability Integration for Effective Project Management; IGI Global: Hershey, PA, USA, 2013. [Google Scholar] [CrossRef]
- Zaleski, S.; Michalski, R. Success Factors in Sustainable Management of It Service Projects: Exploratory Factor Analysis. Sustainability 2021, 13, 4457. [Google Scholar] [CrossRef]
- Pade, C.; Mallinson, B.; Sewry, D. An Elaboration of Critical Success Factors for Rural ICT Project Sustainability in Developing Countries: Exploring the DWESA Case. J. Inf. Technol. Case Appl. Res. 2008, 10, 32–55. [Google Scholar] [CrossRef]
- Perrini, F.; Tencati, A. Sustainability and Stakeholder Management: The Need for New Corporate Performance Evaluation and Reporting Systems. Bus. Strategy Environ. 2006, 15, 296–308. [Google Scholar] [CrossRef]
- Molwus, J.J.; Erdogan, B.; Ogunlana, S. Using Structural Equation Modelling (SEM) to Understand the Relationships among Critical Success Factors (CSFs) for Stakeholder Management in Construction. Eng. Constr. Archit. Manag. 2017, 24, 426–450. [Google Scholar] [CrossRef] [Green Version]
- Bahadorestani, A.; Karlsen, J.T.; Motahari Farimani, N. A Comprehensive Stakeholder-Typology Model Based on Salience Attributes in Construction Projects. J. Constr. Eng. Manag. 2019, 145, 04019048. [Google Scholar] [CrossRef]
- Di Maddaloni, F.; Davis, K. Project Manager’s Perception of the Local Communities’ Stakeholder in Megaprojects. An Empirical Investigation in the UK. Int. J. Proj. Manag. 2018, 36, 542–565. [Google Scholar] [CrossRef] [Green Version]
- Hutchinson, N.J.; O’Leary, T.R.; Ma, T. An Analysis of Stakeholder Management in Design & Build Projects in South Australia, from a Client’s Perspective. In Proceedings of the 22nd International Conference on Advancement of Construction Management and Real Estate, CRIOCM 2017, Melbourne, Australia, 20–23 November 2017; pp. 951–958. [Google Scholar]
- Booth, A.; Sutton, A.; Papaioannou, D. Systematic Approaches to a Successful Literature Review; SAGE Publications: Thousand Oaks, CA, USA, 2012. [Google Scholar]
- Klaus-Rosińska, A. Sukces Projektów Badawczych i Badawczo-Rozwojowych w Sektorze Nauki; Oficyna Wydawnicza Politechniki Wrocławskiej: Wrocław, Poland, 2019. [Google Scholar]
- Cooke-Davies, T. The “Real” Success Factors on Projects. Int. J. Proj. Manag. 2002, 20, 185–190. [Google Scholar] [CrossRef]
- Camilleri, E. Project Success: Critical Factors and Behaviours, 1st ed.; Routledge: London, UK, 2011. [Google Scholar]
- Zid, C.; Kasim, N.; Soomro, A.R. Effective Project Management Approach to Attain Project Success, Based on Cost-Time-Quality. Int. J. Proj. Organ. Manag. 2020, 12, 133–148. [Google Scholar] [CrossRef]
- Shenhar, A.J.; Wideman, R.M. Improving PM: Linking Success Criteria to Project Type; Calgary, 1996. Available online: http://www.maxwideman.com/papers/improvingpm/improvingpm.pdf (accessed on 1 June 2021).
- Munns, A.K.; Bjeirmi, B.F. The Role of Project Management in Achieving Project Success. Int. J. Proj. Manag. 1996, 14, 81–87. [Google Scholar] [CrossRef]
- Jugdev, K.; Thomas, J.; Delisle, C. Rethinking Project Management—Old Truths and New Insights. 2001. Available online: https://prism.ucalgary.ca/handle/1880/44252 (accessed on 1 June 2021).
- Atkinson, R. Project Management: Cost, Time and Quality, Two Best Guesses and a Phenomenon, Its Time to Accept Other Success Criteria. Int. J. Proj. Manag. 1999, 17, 337–342. [Google Scholar] [CrossRef]
- Koops, L. Identifying Perspectives of Public Project Managers on Project Success. Int. J. Proj. Manag. 2016, 34, 874–889. [Google Scholar] [CrossRef]
- Wirkus, M.; Węsierski, T. Zarządzanie Adaptacyjne Na Przykładzie Programu “Pomorska Kolej Metropolitalna”. In Innowacje w Zarządzaniu i Inżynierii Produkcji; Knosala, R., Ed.; Oficyna Wydawnicza Polskiego Towarzystwa Zarządzania Produkcją: Opole, Poland, 2012; pp. 439–450. [Google Scholar]
- Young, T.L. Skuteczne Zarządzanie Projektami; Helion: Gliwice, Poland, 2006. [Google Scholar]
- Westerveld, E. The Project Excellence Model®: Linking Success Criteria and Critical Success Factors. Int. J. Proj. Manag. 2003, 21, 411–418. [Google Scholar] [CrossRef]
- Aken, T.G.C. De Weg Naar Project Succes: Eerder via Werkstijl Dan Instrumenten; De Tijdstroom: Utrecht, The Netherlands, 1996. [Google Scholar]
- Wirkus, M.; Kusio, E. Zarządzanie Interesariuszami Jako Czynnik Sukcesu Innowacyjnego Projektu. Nauki o Zarządzaniu 2016, 3, 126–146. [Google Scholar]
- Chan, A.P.C.; Oppong, G.D. Managing the Expectations of External Stakeholders in Construction Projects. Eng. Constr. Archit. Manag. 2017, 24, 736–756. [Google Scholar] [CrossRef]
- Pinto, J.K.; Slevin, D.P. The Critical Factors in Successful Project Implementation. IEEE Trans. Eng. Manag. 1987, 34, 22–28. [Google Scholar] [CrossRef]
- De Wit, A. Measurement of Project Success. Int. J. Proj. Manag. 1988, 6, 164–170. [Google Scholar] [CrossRef]
- Prabhakar, G.P. What Is Project Success: A Literature Review. Int. J. Bus. Manag. 2008, 3, 3–10. [Google Scholar] [CrossRef] [Green Version]
- Nguyen, N.H.; Skitmore, M.; Wong, J.K.W. Stakeholder Impact Analysis of Infrastructure Project Management in Developing Countries: A Study of Perception of Project Managers in State-Owned Engineering Firms in Vietnam. Constr. Manag. Econ. 2009, 27, 1129–1140. [Google Scholar] [CrossRef] [Green Version]
- Davis, K. Different Stakeholder Groups and Their Perceptions of Project Success. Int. J. Proj. Manag. 2014, 32, 189–201. [Google Scholar] [CrossRef]
- Davis, K. A Method to Measure Success Dimensions Relating to Individual Stakeholder Groups. Int. J. Proj. Manag. 2016, 34, 480–493. [Google Scholar] [CrossRef]
- Davis, K. An Empirical Investigation into Different Stakeholder Groups Perception of Project Success. Int. J. Proj. Manag. 2017, 35, 604–617. [Google Scholar] [CrossRef] [Green Version]
- Tchumtcha Wembe, P. Managing Stakeholders in Engineering Procurement Construction Management Projects in Africa by Chinese Project Managers. Int. J. Constr. Manag. 2020, 1–19. [Google Scholar] [CrossRef]
- Saad, A.; Zahid, S.M.; Muhammad, U.B. Role of Awareness in Strengthening the Relationship between Stakeholder Management and Project Success in the Construction Industry of Pakistan. Int. J. Constr. Manag. 2020, 1–10. [Google Scholar] [CrossRef]
- Nguyen, T.H.D.; Chileshe, N.; Rameezdeen, R.; Wood, A. Stakeholder Influence Pathways in Construction Projects: Multicase Study. J. Constr. Eng. Manag. 2019, 145, 05019011. [Google Scholar] [CrossRef]
- Curran, M.; Spillane, J.P. External Stakeholder Management and Engagement on Urban Construction Projects in Ireland. Proc. Inst. Civ. Eng. Manag. Procure. Law 2020, 174, 59–68. [Google Scholar] [CrossRef]
- Wateridge, J. How Can IS/IT Projects Be Measured for Success? Int. J. Proj. Manag. 1998, 16, 59–63. [Google Scholar] [CrossRef]
- Koutsikouri, D.; Austin, S.; Dainty, A. Critical Success Factors in Collaborative Multi-Disciplinary Design Projects. J. Eng. Des. Technol. 2008, 6, 198–226. [Google Scholar] [CrossRef] [Green Version]
- Müller, R.; Jugdev, K. Critical Success Factors in Projects. Int. J. Manag. Proj. Bus. 2012, 5, 757–775. [Google Scholar] [CrossRef]
- Rohman, M.A.; Doloi, H.; Heywood, C.A. Success Criteria of Toll Road Projects from a Community Societal Perspective. Built Environ. Proj. Asset Manag. 2017, 7, 32–44. [Google Scholar] [CrossRef]
- Ameyaw, E.E.; Chan, A.P.C. Critical Success Factors for Public-Private Partnership in Water Supply Projects. Facilities 2016, 34, 124–160. [Google Scholar] [CrossRef]
- Meng, X.; Zhao, Q.; Shen, Q. Critical Success Factors for Transfer-Operate-Transfer Urban Water Supply Projects in China. J. Manag. Eng. 2011, 27, 243–251. [Google Scholar] [CrossRef]
- Gunathilaka, S.; Tuuli, M.M.; Dainty, A.R.J. Critical Analysis of Research on Project Success in Construction Management Journals. In Proceedings of the 29th Annual Association of Researchers in Construction Management Conference, ARCOM, Reading, UK, 2–4 September 2013; pp. 979–988. [Google Scholar]
- Shenhar, A.J.; Dvir, D.; Levy, O.; Maltz, A.C. Project Success: A Multidimensional Strategic Concept. Long Range Plan. 2001, 34, 699–725. [Google Scholar] [CrossRef]
- Pinto, J.K.; Prescott, J.E. Variations in Critical Success Factors over the Stages in the Project Life Cycle. J. Manag. 1988, 14, 5. [Google Scholar] [CrossRef]
- Chan, A.P.C.; Scott, D.; Lam, E.W.M. Framework of Success Criteria for Design/Build Projects. J. Manag. Eng. 2002, 18, 120–128. [Google Scholar] [CrossRef]
- Jugdev, K.; Müller, R. A Retrospective Look at Our Evolving Understanding of Project Success. Proj. Manag. J. 2005, 36, 19–31. [Google Scholar] [CrossRef]
- Baker, B.N.; Murphy, D.C.; Fisher, D. Factors Affecting Project Success. In Project Management Handbook, 2nd ed.; Cleland, D.I., King, W.R., Eds.; Wiley: Hoboken, NJ, USA, 1988; pp. 902–919. [Google Scholar]
- Dvir, D.; Raz, T.; Shenhar, A.J. An Empirical Analysis of the Relationship between Project Planning and Project Success. Int. J. Proj. Manag. 2003, 21, 89–95. [Google Scholar] [CrossRef]
- Shenhar, A.J. Levy, O.D.D. Mapping the Dimensions of Project Success. Proj. Manag. J. 1997, 28, 5–13. [Google Scholar]
- Lipovetsky, S.; Tishler, A.; Dvir, D.; Shenhar, A.J. The Relative Importance of Success Dimensions in Defense Development Projects. RD Manag. 1997, 27, 97–106. [Google Scholar]
- Pinto, J.K.; Mantel, S.J. The Causes of Project Failure. IEEE Trans. Eng. Manag. 1990, 37, 269–276. [Google Scholar] [CrossRef] [Green Version]
- Fortune, J.; White, D. Framing of Project Critical Success Factors by a Systems Model. Int. J. Proj. Manag. 2006, 24, 53–65. [Google Scholar] [CrossRef]
- Frączkowski, K. Gładysz, B., Kuchta. D. Analysis of Factors Affecting the Success of IT Projects in Poland; Reports of the Institute of Organization and Management; Wrocław University of Science and Technology: Wrocław, Poland, 2014; p. 39. [Google Scholar]
- Kiani Mavi, R.; Standing, C. Critical Success Factors of Sustainable Project Management in Construction: A Fuzzy DEMATEL-ANP Approach. J. Clean. Prod. 2018, 194, 751–765. [Google Scholar] [CrossRef]
- Joia, L.A.; Melon, M. The Social Representation of Success in IT Projects. Int. J. Manag. Proj. Bus. 2020, 13, 1578–1599. [Google Scholar] [CrossRef]
- Vujović, V.; Denić, N.; Stevanović, V.; Stevanović, M.; Stojanović, J.; Cao, Y.; Alhammadi, Y.; Jermsittiparsert, K.; Van Le, H.; Wakil, K.; et al. Project Planning and Risk Management as a Success Factor for IT Projects in Agricultural Schools in Serbia. Technol. Soc. 2020, 63, 101371. [Google Scholar] [CrossRef]
- Yong, Y.C.; Mustaffa, N.E. Critical Success Factors for Malaysian Construction Projects: An Empirical Assessment. Constr. Manag. Econ. 2013, 31, 959–978. [Google Scholar] [CrossRef]
- Doloi, H. Cost Overruns and Failure in Project Management: Understanding the Roles of Key Stakeholders in Construction Projects. J. Constr. Eng. Manag. 2013, 139, 267–279. [Google Scholar] [CrossRef]
- Nguyen, T.P.; Chileshe, N. Revisiting the Critical Factors Causing Failure of Construction Projects in Vietnam. In Proceedings of the 29th Annual Association of Researchers in Construction Management Conference, ARCOM, Reading, UK, 2–4 September 2013; pp. 929–938. [Google Scholar]
- Yang, J.; Shen, G.Q.; Ho, M.; Drew, D.S.; Chan, A.P.C. Exploring Critical Success Factors for Stakeholder Management in Construction Projects. J. Civ. Eng. Manag. 2009, 15, 337–348. [Google Scholar] [CrossRef]
- Toor, S.-u.-R.; Ogunlana, S.O. Critical COMs of Success in Large-Scale Construction Projects: Evidence from Thailand Construction Industry. Int. J. Proj. Manag. 2008, 26, 420–430. [Google Scholar] [CrossRef]
- Pirotti, A.; Keshavarzsaleh, A.; Rahim, F.A.M.; Zakaria, N. Effective Factors on Project Success in Malaysian Construction Industry. J. Eng. Proj. Prod. Manag. 2020, 10, 1–10. [Google Scholar] [CrossRef] [Green Version]
- Dixit, S. Study of Factors Affecting the Performance of Construction Projects in AEC Industry. Organ. Technol. Manag. Constr. 2020, 12, 2275–2282. [Google Scholar] [CrossRef]
- Pham, V.Q.; Nguyen, B.K.Q.; Van Tu, B.; Pham, H.T.T.; Le, T.Q. Critical Success Factors of Project Management: The Case of Construction Related Projects in Vietnam. J. Asian Financ. Econ. Bus. 2019, 6, 223–230. [Google Scholar] [CrossRef]
- Kuwaiti, E.A.; Ajmal, M.M.; Hussain, M. Determining Success Factors in Abu Dhabi Health Care Construction Projects: Customer and Contractor Perspectives. Int. J. Constr. Manag. 2018, 18, 430–445. [Google Scholar] [CrossRef]
- Surlan, N.; Cekic, Z.; Torbica, Z. Use of Value Management Workshops and Critical Success Factors in Introducing Local Experience on the International Construction Projects. J. Civ. Eng. Manag. 2016, 22, 1021–1031. [Google Scholar] [CrossRef]
- Gudiene, N.; Banaitis, A.; Podvezko, V.; Banaitiene, N. Identification and Evaluation of the Critical Success Factors for Construction Projects in Lithuania: AHP Approach. J. Civ. Eng. Manag. 2014, 20, 350–359. [Google Scholar] [CrossRef] [Green Version]
- Yong, Y.C.; Mustaffa, N.E. Analysis of Factors Critical to Construction Project Success in Malaysia. Eng. Constr. Archit. Manag. 2012, 19, 543–556. [Google Scholar] [CrossRef] [Green Version]
- Chen, Y.Q.; Zhang, Y.B.; Liu, J.Y.; Mo, P. Interrelationships among Critical Success Factors of Construction Projects Based on the Structural Equation Model. J. Manag. Eng. 2012, 28, 243–251. [Google Scholar] [CrossRef]
- Ahadzie, D.K.; Proverbs, D.G.; Olomolaiye, P.O. Critical Success Criteria for Mass House Building Projects in Developing Countries. Int. J. Proj. Manag. 2008, 26, 675–687. [Google Scholar] [CrossRef]
- Lam, E.W.M.; Chan, A.P.C.; Chan, D.W.M. Determinants of Successful Design-Build Projects. J. Constr. Eng. Manag. 2008, 134, 333–341. [Google Scholar] [CrossRef]
- Yu, A.T.W.; Shen, Q.; Kelly, J.; Hunter, K. Investigation of Critical Success Factors in Construction Project Briefing by Way of Content Analysis. J. Constr. Eng. Manag. 2006, 132, 1178–1186. [Google Scholar] [CrossRef] [Green Version]
- Li, B.; Akintoye, A.; Edwards, P.J.; Hardcastle, C. Critical Success Factors for PPP/PFI Projects in the UK Construction Industry. Constr. Manag. Econ. 2005, 23, 459–471. [Google Scholar] [CrossRef]
- Chan, A.P.C.; Scott, D.; Chan, A.P.L. Factors Affecting the Success of a Construction Project. J. Constr. Eng. Manag. 2004, 130, 153–155. [Google Scholar] [CrossRef] [Green Version]
- Parfitt, M.K.; Sanvido, V.E. Checklist of Critical Success Factors for Building Projects. J. Manag. Eng. 1993, 9, 243–249. [Google Scholar] [CrossRef]
- Cho, Y.; Yoon, S.-P.; Kim, K.-S. An Industrial Technology Roadmap for Supporting Public R&D Planning. Technol. Forecast. Soc. Change 2016, 107, 1–12. [Google Scholar] [CrossRef]
- Toljaga-Nikolić, D.; Todorović, M.; Dobrota, M.; Obradović, T.; Obradović, V. Project Management and Sustainability: Playing Trick or Treat with the Planet. Sustainability 2020, 12, 8619. [Google Scholar] [CrossRef]
- Aarseth, W.; Ahola, T.; Aaltonen, K.; Økland, A.; Andersen, B. Project Sustainability Strategies: A Systematic Literature Review. Int. J. Proj. Manag. 2017, 35, 1071–1083. [Google Scholar] [CrossRef]
- Chawla, V.K.; Chanda, A.K.; Angra, S.; Chawla, G.R. The Sustainable Project Management: A Review and Future Possibilities. J. Proj. Manag. 2018, 3, 157–170. [Google Scholar] [CrossRef]
- Goedknegt, D.; Silvius, A.J.G. He Implementation of Sustainability Principles in Project Management. In Proceedings of the 26th IPMA World Congress, Crete, Greece, 29–31 October 2012; pp. 875–882. [Google Scholar]
- Labelle, F.; Leyrie, C. “Stakepartner Management” in Projects: A Turn-of-the-Century Turnaround at Alcan. J. Mod. Proj. Manag. 2013, 1, 33–43. [Google Scholar]
- AlWaer, H.; Sibley, M.; Lewis, J. Different Stakeholder Perceptions of Sustainability Assessment. Archit. Sci. Rev. 2008, 51, 48–59. [Google Scholar] [CrossRef]
- Bal, M.; Bryde, D.; Fearon, D.; Ochieng, E. Stakeholder Engagement: Achieving Sustainability in the Construction Sector. Sustainability 2013, 5, 695–710. [Google Scholar] [CrossRef] [Green Version]
- International Organization for Standardization. ISO 26000: 2010 Guidance on Social Responsibility. 2010. Available online: https://standards.iteh.ai/catalog/standards/iso/3b961c39-fd40-41bd-bd95-dda0b44308a9/iso-26000-2010 (accessed on 1 June 2021).
- Silvius, A.J.G.; Schipper, R. A Conceptual Model for Exploring the Relationship Between Sustainability and Project Success. Procedia Comput. Sci. 2015, 64, 334–342. [Google Scholar] [CrossRef] [Green Version]
- Martens, M.L.; Carvalho, M.M. Sustainability and Success Variables in the Project Management Context: An Expert Panel. Proj. Manag. J. 2016, 47, 24–43. [Google Scholar] [CrossRef]
- Yazici, H.J. An Exploratory Analysis of the Project Management and Corporate Sustainability Capabilities for Organizational Success. Int. J. Manag. Proj. Bus. 2020, 13, 793–817. [Google Scholar] [CrossRef]
- Khalifeh, A.; Farrell, P.; Al-edenat, M. The Impact of Project Sustainability Management (PSM) on Project Success: A Systematic Literature Review. J. Manag. Dev. 2020, 39, 453–474. [Google Scholar] [CrossRef]
- Fuentes-Ardeo, L.; Otegi-Olaso, J.R.; Aguilar-Fernandez, M.E. How the Project Knowledge Management and the Sustainability in Project Management Affect the Project Success. In Proceedings of the 2017 IEEE 9th International Conference on Intelligent Data Acquisition and Advanced Computing Systems: Technology and Applications, IDAACS 2017, Bucharest, Romania, 21–23 September 2017; Volume 2, pp. 884–887. [Google Scholar] [CrossRef]
- Dubois, O.; Silvius, G. The Relation between Sustainable Project Management and Project Success. Int. J. Manag. Sustain. 2020, 9, 218–238. [Google Scholar] [CrossRef]
- Carvalho, M.M.; Rabechini, R. Can Project Sustainability Management Impact Project Success? An Empirical Study Applying a Contingent Approach. Int. J. Proj. Manag. 2017, 35, 1120–1132. [Google Scholar] [CrossRef]
- Martens, M.L.; Carvalho, M.M. Key Factors of Sustainability in Project Management Context: A Survey Exploring the Project Managers’ Perspective. Int. J. Proj. Manag. 2017, 35, 1084–1102. [Google Scholar] [CrossRef]
- Stanitsas, M.; Kirytopoulos, K.; Leopoulos, V. Integrating Sustainability Indicators into Project Management: The Case of Construction Industry. J. Clean. Prod. 2021, 279, 123774. [Google Scholar] [CrossRef]
- Amadi, C.; Carrillo, P.; Tuuli, M. PPP Projects: Improvements in Stakeholder Management. Eng. Constr. Archit. Manag. 2020, 27, 544–560. [Google Scholar] [CrossRef]
- Yang, R.J.; Jayasuriya, S.; Gunarathna, C.; Arashpour, M.; Xue, X.; Zhang, G. The Evolution of Stakeholder Management Practices in Australian Mega Construction Projects. Eng. Constr. Archit. Manag. 2018, 25, 690–706. [Google Scholar] [CrossRef]
- Mok, K.Y.; Shen, G.Q.; Yang, J. Stakeholder Management Studies in Mega Construction Projects: A Review and Future Directions. Int. J. Proj. Manag. 2015, 33, 446–457. [Google Scholar] [CrossRef]
- Singh, S.; Chinyio, E.; Suresh, S. The Implementation of Stakeholder Management and Building Information Modelling (BIM) in UK Construction Projects. In Proceeding of the 34th Annual ARCOM Conference, ARCOM, Belfast, UK, 3–5 September 2018; pp. 766–775. [Google Scholar]
- Park, H.; Kim, K.; Kim, Y.-W.; Kim, H. Stakeholder Management in Long-Term Complex Megaconstruction Projects: The Saemangeum Project. J. Manag. Eng. 2017, 33, 05017002. [Google Scholar] [CrossRef]
- Yang, R.J.; Shen, G.Q.P. Framework for Stakeholder Management in Construction Projects. J. Manag. Eng. 2015, 31, 04014064. [Google Scholar] [CrossRef] [Green Version]
- Storvang, P.; Clarke, A.H. How to Create a Space for Stakeholders’ Involvement in Construction. Constr. Manag. Econ. 2014, 32, 1166–1182. [Google Scholar] [CrossRef]
- Gan, X.; Guo, L. A Framework for Stakeholder Analysis in Construction Projects. In WIT Transactions on Information and Communication Technologies; WIT Press: Southampton, UK, 2014; Volume 61, pp. 1869–1876. [Google Scholar] [CrossRef]
- Hartmann, A.; Hietbrink, M. An Exploratory Study on the Relationship between Stakeholder Expectations, Experiences and Satisfaction in Road Maintenance. Constr. Manag. Econ. 2013, 31, 345–358. [Google Scholar] [CrossRef]
- Olander, S. Stakeholder Impact Analysis in Construction Project Management. Constr. Manag. Econ. 2007, 25, 277–287. [Google Scholar] [CrossRef]
- Olander, S.; Landin, A. Evaluation of Stakeholder Influence in the Implementation of Construction Projects. Int. J. Proj. Manag. 2005, 23, 321–328. [Google Scholar] [CrossRef]
- Xue, J.; Shen, G.Q.; Yang, R.J.; Wu, H.; Li, X.; Lin, X.; Xue, F. Mapping the Knowledge Domain of Stakeholder Perspective Studies in Construction Projects: A Bibliometric Approach. Int. J. Proj. Manag. 2020, 38, 313–326. [Google Scholar] [CrossRef]
- Mosey, D. Early Contractor Involvement in Building Procurement: Contracts, Partnering and Project Management; Wiley-Blackwell: New York, NY, USA, 2009. [Google Scholar]
- Sepasi, S.; Rexhepi, G.; Rahdari, A. The changing prospects of corporate social responsibility in the decade of action: Do personal values matter? Corp. Soc. Responsib. Environ. Manag. 2021, 28, 138–152. [Google Scholar] [CrossRef]
- Sepasi, S.; Rahdari, A.; Rexhepi, G. Developing a sustainability reporting assessment tool for higher education institutions: The University of California. Sustain. Dev. 2018, 26, 672–682. [Google Scholar] [CrossRef]
- Sońta-Drączkowska, E. Wpływ Zarządzania Projektami Na Tworzenie Wartości Przedsiębiorstwa; SGH Warsaw School of Economics: Warszawa, Poland, 2007. [Google Scholar]




| ID | Search Phrases | Limitations | Results Found | Results after Pre-Selection (Pre-Selection Was about Analysis of the Titles) | Results Reviewed (After Analysis of the Abstracts) |
|---|---|---|---|---|---|
| 1. | project success | 1. Year: 2020, 2021 2. Document type: Article, Conference Paper, Book Chapter, Book 3. Subject area: Business, Management and Accounting 4. Keyword: Project Management | 581 | 30 | 7 |
| 2. | critical success factors and construction projects | 1. Document type: Article, Conference Paper, Book Chapter, Book 2. Subject area: Business, Management and Accounting 3. Keyword: Project Management | 154 | 42 | 22 |
| 3. | sustainability in project management | 1. Document type: Article, Conference Paper, Book Chapter, Book | 40 | 32 | 11 |
| 4. | stakeholders management and construction projects | 1. Document type: Article, Conference Paper, Book Chapter, Book 2. Subject area: Business, Management and Accounting 3. Keyword: Project Management | 505 | 41 | 19 |
| Total (excluding repeats) | 59 | ||||
| Project Stakeholder Type | Perception of Success by Project Stakeholder Type | |
|---|---|---|
| 1. | Project manager | Project managers view project success mainly in terms of the iron triangle (cost, time, and quality), but also customer satisfaction, good relations within the project team, and implementation of the project product. |
| 2. | Project team | The project team perceives project success through good collaboration within the project, the importance of the project to the organization and/or the environment, and accomplishment of the planned project work. |
| 3. | Client, user | The client perceives project success by the acceptance of their needs/requirements by the project manager, the satisfaction of the end users with the products delivered by the project, and efficient communication between them and the project. The end user perceives the success of the project primarily through the satisfaction of their needs through the products of the project. |
| 4. | Other stakeholders, such as owner, sponsor | In the case of other stakeholders, project success is considered in the context of achieving their intended goals. In the case of a sponsor, the success of a project is understood by his achievement of the intended profits. For the owner, if the project is external, success is viewed through the gains the organization has made through the project. When the project is internal, the owner also considers the involvement of the organization’s employees in the project. |
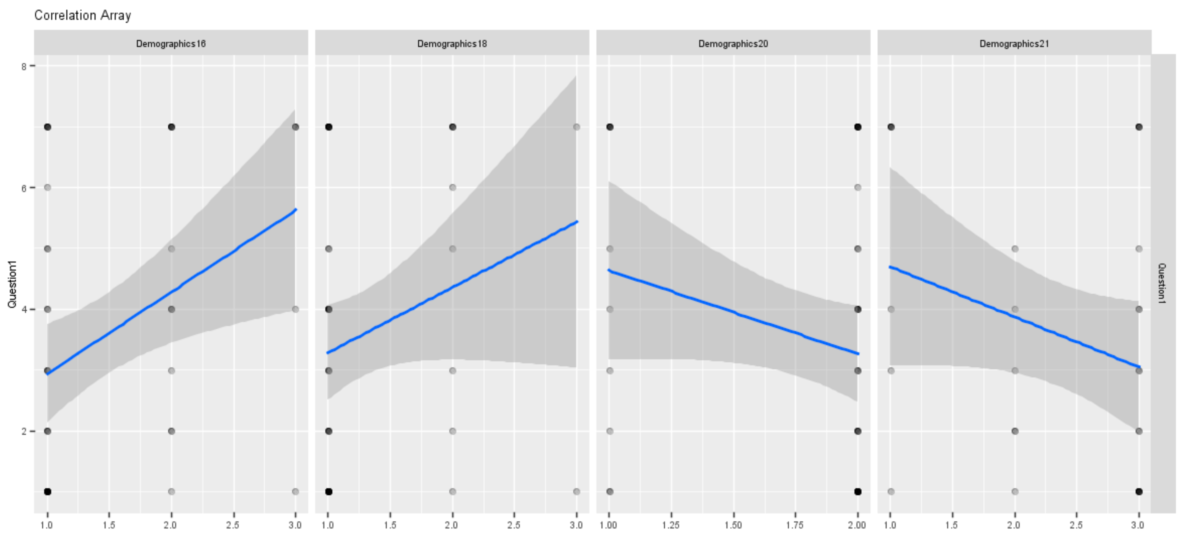
| Spearman’s Rank Correlation | Question1: Q1—Does Your Company Identify (Check) Stakeholders and Clients before Starting Projects? | |
|---|---|---|
| Demographics16 (the number of employees) | r = 0.3969; p = 0.0048 | Conclusions: The frequency of conducting stakeholder and customer identification (checking) before starting projects significantly positively correlates with the number of employees in the company (the larger the company, the more often it checks stakeholders and customers before starting projects). Average correlation. |
| Demographics18 (conducting international cooperation) | r = 0.249; p = 0.0845 | Conclusions: The frequency of conducting stakeholder and customer identification (checking) before starting projects significantly positively correlates with the company’s openness to foreign markets (the more open the company is to foreign markets, the more often it checks stakeholders and customers before starting projects). Weak correlation. |
| Demographics20 (date of commencement of operations) | r = −0.2359; p = 0.1027 | Conclusions: The frequency of conducting stakeholder and customer identification (checking) before starting projects non-significantly negatively correlates with firm formation after 1990 (the younger the firm, the less often customers and stakeholders are checked before starting projects). Correlation weak and not significant. |
| Demographics21 (respondent’s function in the organization) | r = −0.2688; p = 0.1437 | Conclusions: The frequency of conducting stakeholder and customer identification (checking) before starting projects non-significantly negatively correlates with the importance of the position held by the respondent (the higher the respondent in the company hierarchy, the less frequently customers and stakeholders are checked before starting projects). Correlation weak and not significant. We can also conclude that the easier it is to talk to the most important person in the company, the smaller and younger the company is, which is consistent with the answer to questions Q18 and Q20. |
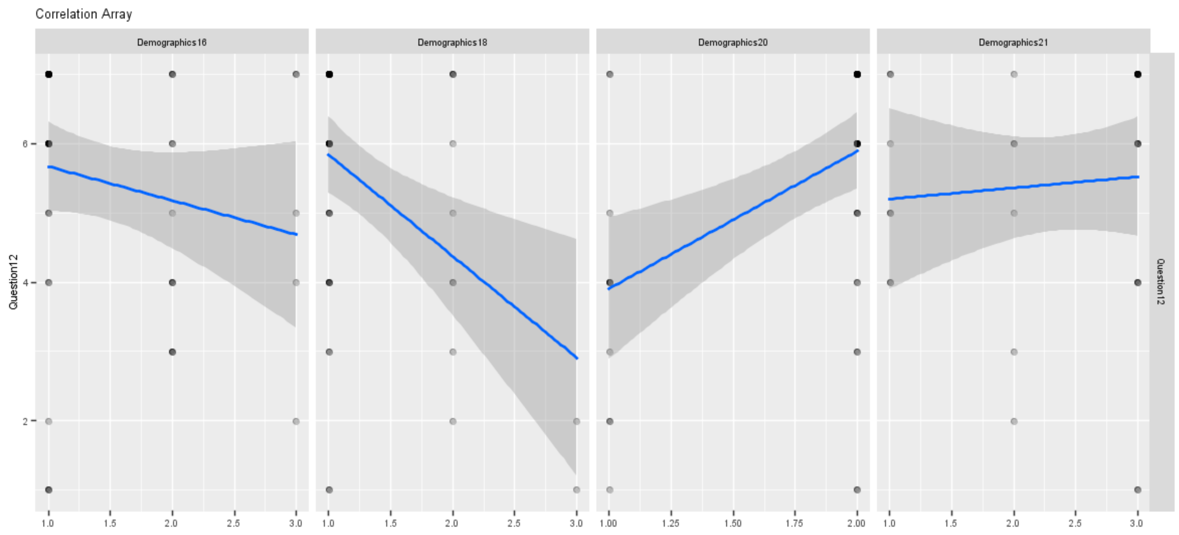
| Spearman’s Rank Correlation | Question 12: Q12—Does the Current Way of Communicating with the Stakeholders before the Project Implementation Sufficiently Allow Them to Get to Know Their Needs, Expectations, and Attitudes towards the Project? | |
|---|---|---|
| Demographics16 (the number of employees) | r = −0.2355; p = 0.1033 | Conclusions: The current method of communication with stakeholders prior to project implementation allows one to learn about their needs, expectations, and attitudes towards the project non-significantly negatively correlates with the number of employees employed in the company (the larger the company, the less frequently the current method of communication with stakeholders prior to project implementation allows one to learn about their needs, expectations, and attitudes towards the project). Weak correlation |
| Demographics18 (conducting international cooperation) | r = −0.3017; p = 0.3552 | Conclusions: The current method of communication with stakeholders prior to project implementation allows one to learn about their needs, expectations, and attitudes towards the project non-significantly negatively correlates with the company’s opening to foreign markets (the more open the company is to foreign markets, the less frequently the current method of communication with stakeholders prior to project implementation allows one to learn about their needs, expectations, and attitudes towards the project). Weak correlation |
| Demographics20 (date of commencement of operations) | r = −0.4223; p = 0.0025 | Conclusions: The current method of communication with stakeholders before project implementation allows one to know their needs, expectations, and attitudes towards the project non-significantly negatively correlates with the establishment of the company after 1990 (the younger the company, the less often the current way of communication with stakeholders before project implementation allows one to know their needs, expectations, and attitudes towards the project). Average correlation |
| Demographics21 (respondent’s function in the organization) | r = 0.1949; p = 0.2633 | Conclusions: The current method of communication with stakeholders before project implementation allows one to learn their needs, expectations, and attitudes towards the project significantly positively correlates with the importance of the position held by the respondent (the higher the respondent in the hierarchy of the company, the more often the current method of communication with stakeholders before project implementation allows one to learn their needs, expectations, and attitudes towards the project). Weak correlation |
| Spearman’s Rank Correlation | Question13: Q13—Is Any Significant Modification to the Way of Contacting Stakeholders before the Project Implementation Planned in the Near Future? | |
|---|---|---|
| Demographics16 (the number of employees) | r = 0.3099; p = 0.8344 | Conclusions: In the near future, the anticipated significant modification of the method of contacting stakeholders before project implementation significantly positively correlates with the number of employees in the company (the larger the company, the more often the anticipated significant modification of the method of contacting stakeholders before project implementation in the near future). Weak correlation |
| Demographics18 (conducting international cooperation) | r = 0.02953; p = 0.8421 | Conclusions: In the near future, the anticipated significant modification of the method of contacting stakeholders prior to project implementation significantly positively correlates with the company’s opening to foreign markets (the more open the company is to foreign markets, the more often the significant modification of the method of contacting stakeholders prior to project implementation is anticipated in the near future). Weak correlation |
| Demographics20 (date of commencement of operations) | r = 0.3291; p = 0.8243 | Conclusions: In the near term, anticipated significant modification in how stakeholders are contacted prior to project implementation significantly positively correlates with having established the firm after 1990 (the younger the firm, the more likely it is to anticipate significant modification in how stakeholders are contacted prior to project implementation in the near term). Weak correlation |
| Demographics21 (respondent’s function in the organization) | r = −0.1744; p = 0.3567 | Conclusions: In the near future, the anticipated significant modification of the method of contacting stakeholders prior to project implementation non-significantly negatively correlates with the importance of the position held by the respondent (the higher the respondent in the hierarchy of the company, the less often significant modification of the method of contacting stakeholders prior to project implementation is anticipated in the near future). Weak correlation |
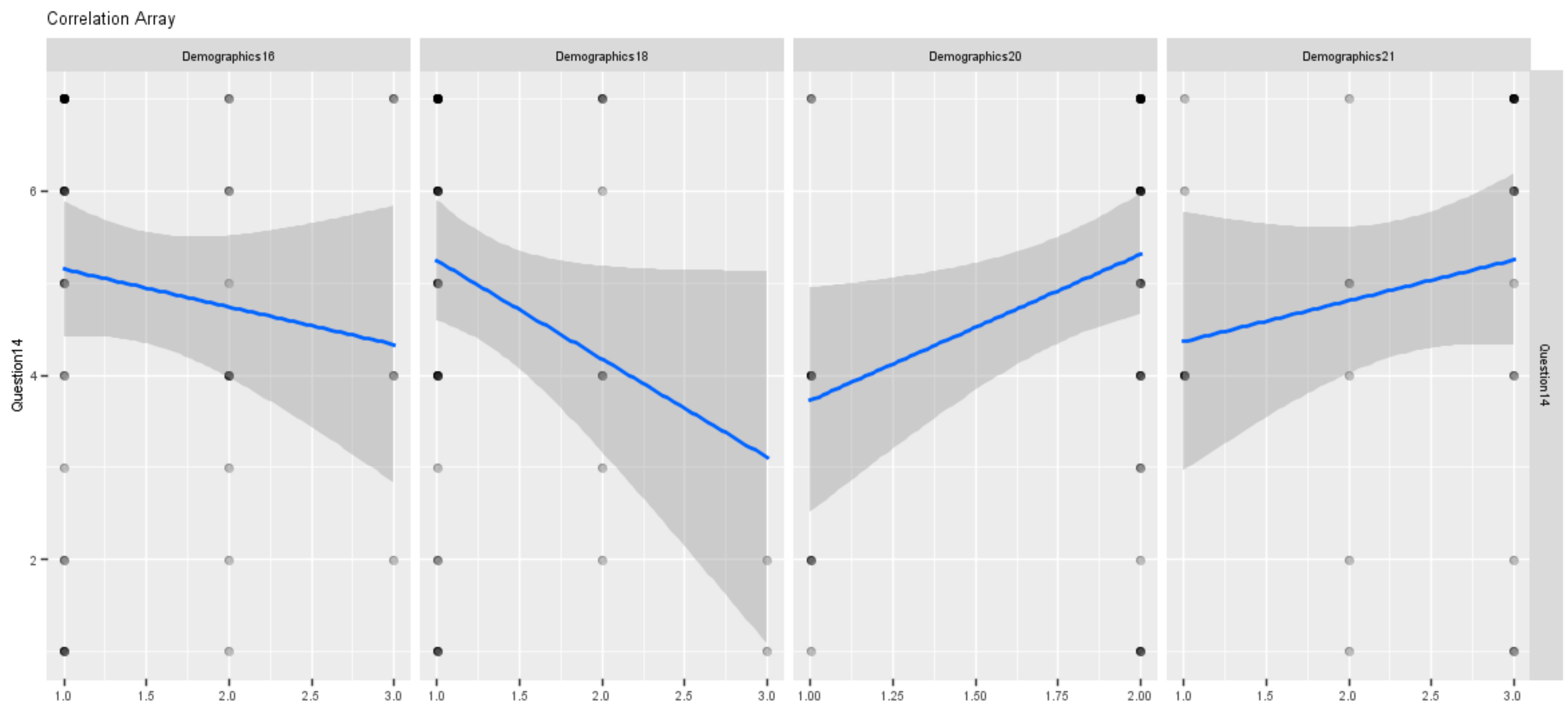
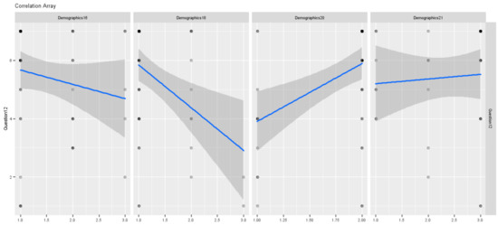
| Spearman’s Rank Correlation | Question 14: Q14—Does Communication with Stakeholders during Project Implementation Sufficiently Allow Identification of Possible Evolution of Their Needs, Expectations, and Attitudes Towards the Project? | |
|---|---|---|
| Demographics16 (the number of employees) | r = −0.1924; p = 0.1854 | Conclusions: Communication with stakeholders during project implementation allows identification of the possible evolution of their needs, expectations, and attitudes towards the project insignificantly negatively correlates with the number of employees employed in the company (the larger the company, the less often communication with stakeholders during project implementation allows identification of the possible evolution of their needs, expectations, and attitudes towards the project). Weak correlation |
| Demographics18 (conducting international cooperation) | r = −0.1984; p = 0.1718 | Conclusions: Communication with stakeholders during project implementation allows identification of the possible evolution of their needs, expectations, and attitude towards the project non-significantly negatively correlates with the company’s opening to foreign markets (the more open the company is to foreign markets, the less often communication with stakeholders during project implementation allows identification of the possible evolution of their needs, expectations, and attitude towards the project). Weak correlation |
| Demographics20 (date of commencement of operations) | r = 0.3158; p = 0.0271 | Conclusions: Communication with stakeholders during project implementation allows identification of the possible evolution of their needs, expectations, and attitudes towards the project significantly positively correlates with the establishment of the company after 1990 (the younger the company, the more often communication with stakeholders during project implementation allows identification of the possible evolution of their needs, expectations, and attitudes towards the project). Weak correlation |
| Demographics21 (respondent’s function in the organization) | r = 0.2965; p = 0.1053 | Conclusions: Communication with stakeholders during project implementation allows identification of the possible evolution of their needs, expectations, and attitude towards the project significantly positively correlates with the importance of the position held by the respondent (the higher the respondent in the hierarchy of the company, the more often communication with stakeholders during project implementation allows identification of the possible evolution of their needs, expectations, and attitude towards the project). Weak correlation |
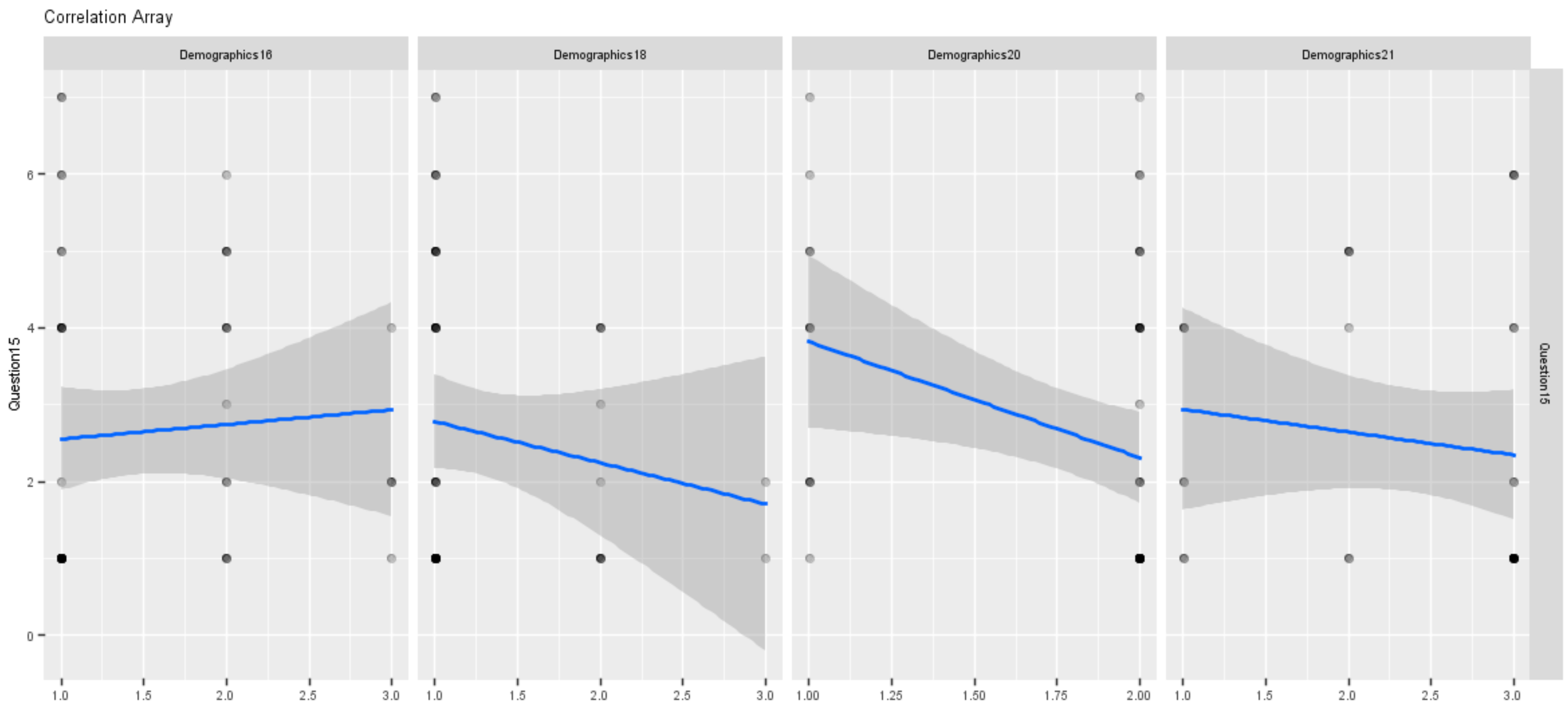
| Spearman’s Rank Correlation | Question 15: Q15—Is Any Significant Modification to the Way of Contacting Stakeholders during the Project Implementation Planned in the Near Future? | |
|---|---|---|
| Demographics16 (the number of employees) | r = 0.2196; p = 0.1255 | Conclusions: Significant modification of the method of contacting stakeholders during project execution expected in the near future positively correlates with the number of employees in the company (the larger the company, the more often significant modification of the method of contacting stakeholders during project execution is expected in the near future). Weak correlation |
| Demographics18 (conducting international cooperation) | r = −0.09034; p = 0.5327 | Conclusions: In the near future, the expected significant modification of the method of contacting stakeholders during project implementation non-significantly negatively correlates with the company’s opening to foreign markets (the more open a company is to foreign markets, the less often it is expected in the near future to significantly modify the method of contacting stakeholders during project implementation). Weak correlation |
| Demographics20 (date of commencement of operations) | 0.3743; p = 0.0074 | Conclusions: In the near future, the anticipated significant modification of the way of contacting stakeholders during project implementation non-significantly negatively correlates with the establishment of the company after 1990 (the younger the company, the less often the anticipated significant modification of the way of contacting stakeholders during project implementation in the near future). Weak correlation |
| Demographics21 (respondent’s function in the organization) | r = −0.2193; p = 0.2279 | Conclusions: Significant modification of the method of contacting stakeholders during project execution expected in the near future negatively correlates with the importance of the position held by the respondent (the higher the respondent in the hierarchy of the company, the less often a significant modification of the method of contacting stakeholders during project execution is expected in the near future). Weak correlation |
Publisher’s Note: MDPI stays neutral with regard to jurisdictional claims in published maps and institutional affiliations. |
© 2021 by the authors. Licensee MDPI, Basel, Switzerland. This article is an open access article distributed under the terms and conditions of the Creative Commons Attribution (CC BY) license (https://creativecommons.org/licenses/by/4.0/).
Share and Cite
Klaus-Rosińska, A.; Iwko, J. Stakeholder Management—One of the Clues of Sustainable Project Management—As an Underestimated Factor of Project Success in Small Construction Companies. Sustainability 2021, 13, 9877. https://doi.org/10.3390/su13179877
Klaus-Rosińska A, Iwko J. Stakeholder Management—One of the Clues of Sustainable Project Management—As an Underestimated Factor of Project Success in Small Construction Companies. Sustainability. 2021; 13(17):9877. https://doi.org/10.3390/su13179877
Chicago/Turabian StyleKlaus-Rosińska, Agata, and Joanna Iwko. 2021. "Stakeholder Management—One of the Clues of Sustainable Project Management—As an Underestimated Factor of Project Success in Small Construction Companies" Sustainability 13, no. 17: 9877. https://doi.org/10.3390/su13179877
APA StyleKlaus-Rosińska, A., & Iwko, J. (2021). Stakeholder Management—One of the Clues of Sustainable Project Management—As an Underestimated Factor of Project Success in Small Construction Companies. Sustainability, 13(17), 9877. https://doi.org/10.3390/su13179877

