Indoor and Outdoor Particle Number Concentration in the Sapienza University Campus of Rome
Abstract
:1. Introduction
- -
- Evaluate the PNC trends in the university environments under study through high temporal resolution measures, to highlight transient phenomena and to estimate the PNC levels and their seasonal variability in different environments in terms of size, level of occupation, altitude from the road level, destination prevalent use and air exchange methods [40];
- -
- Identify the relationships between indoor and outdoor and explain how the variability of outdoor PNC affects indoor levels, in a context of real use of the environments.
- -
- Estimate the average indoor/outdoor ratios and their seasonal variability.
- -
- Understand the role of indoor sources other than combustion, such as the presence of people, on PNC levels in the different dimensional fractions.
2. Materials and Methods
2.1. Site Description
2.2. Instrumental Description
3. Results
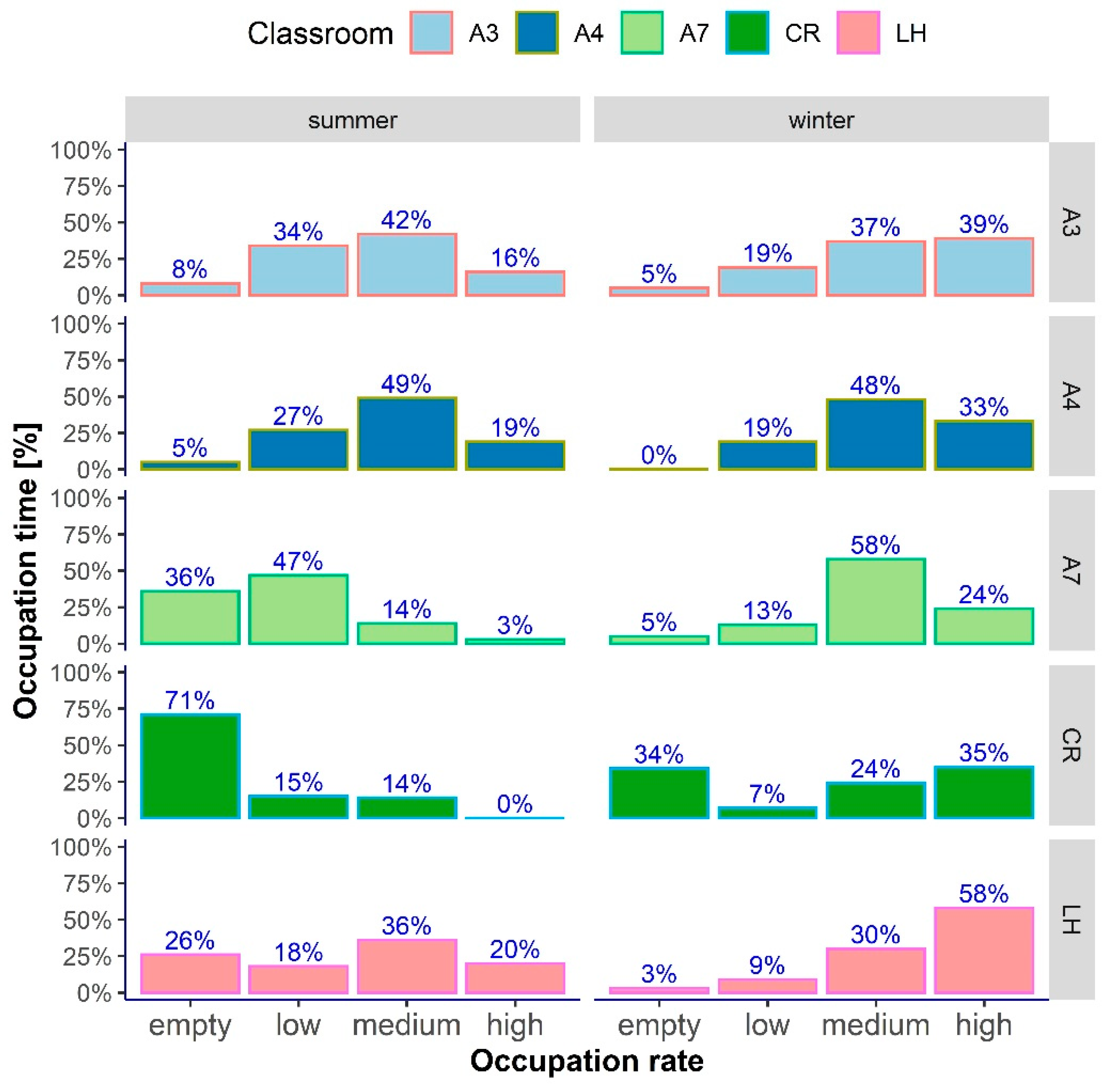
3.1. Relationship between Occupation and UFP Indoor Measurements
3.2. Characterization of Observed Distribution of UFP
3.3. Indoor/Outdoor Time Series
3.4. Indoor/Outdoor Ratios
3.5. Outdoor Trends
3.6. Analysis of Indoor Sources
4. Discussion
- -
- To estimate levels, trends, seasonal variability of PNC in the university environments covered by the study (different in size, level of occupancy, height from the road level, main use, mode of air exchange) and highlight transient phenomena;
- -
- To identify the relationships between indoor and outdoor, the average indoor/outdoor ratios and their seasonal variability and understand how the variability of outdoor PNC is reflected on indoor levels, in a context of real use of the environments.
- -
- To understand the role of indoor sources other than combustion, such as the presence of people on PNC levels in the different dimensional fractions.
- -
- The time series of the concentration in number of particles (PNC) determined at the same time indoor and outdoor are compared, and the moments of start and end of activities, that potentially can influence indoor levels and modify air exchange rate, are identified(i.e., opening/closing windows, activation of air conditioning systems, etc.);
- -
- Concentration peaks are identified, separating those that are clearly attributable to outdoor sources from those attributable to indoor sources;
- -
- A baseline underlying the indoor peaks is extrapolated, useful for estimating the contribution of the indoor source to the PNC;
- -
- PNC peaks determined by indoor sources show a longer decrease time than that generally observed in the case of intrusion of particles from the outside. It may therefore happen that a peak, usually asymmetrical and thin, is superimposed on the PNC decay curve, due to a phenomenon of intrusion from the outside, which must be taken into account when the contribution of the indoor source in question is estimated;
- -
- At this point the area underlying the peak determined by the indoor source is subtracted from the time series of data, allowing to obtain a series of PNC data in which the indoor concentration depends exclusively on the outdoor concentration and on the infiltration mode of the exterior of the particles. On the basis of the indoor PNC series thus obtained and the contemporary outdoor PNC series, it is now possible to estimate the infiltration factor simply on the basis of the ratio of indoor and outdoor PNC.
5. Conclusions
Author Contributions
Funding
Institutional Review Board Statement
Informed Consent Statement
Data Availability Statement
Acknowledgments
Conflicts of Interest
References
- Morawska, L.; Ristovski, Z.; Jayaratne, E.R.; Keogh, D.U.; Ling, X. Ambient nano and ultrafine particles from motor vehicle emissions: Characteristics, ambient processing and implications on human exposure. Atmos. Environ. 2008, 42, 8113–8138. [Google Scholar] [CrossRef] [Green Version]
- Bekö, G.; Weschler, C.J.; Wierzbicka, A.; Karottki, D.G.; Toftum, J.; Loft, S.; Clausen, G. Ultrafine particles: Exposure and source apportionment in 56 danish homes. Environ. Sci. Technol. 2013, 47, 10240–10248. [Google Scholar] [PubMed]
- Bhangar, S.; Mullen, N.A.; Hering, S.V.; Kreisberg, N.M.; Nazaroff, W.W. Ultrafine particle concentrations and exposures in seven residences in northern California. Indoor Air 2011, 21, 132–144. [Google Scholar] [CrossRef]
- Kumar, P.; Robins, A.; Vardoulakis, S.; Britter, R. A review of the characteristics of nanoparticles in the urban atmosphere and the prospects for developing regulatory controls. Atmos. Environ. 2010, 44, 5035–5042. [Google Scholar] [CrossRef] [Green Version]
- Kulmala, M.; Vehkamaki, H.; Petaja, T.; Dal Maso, M.; Lauri, A.; Kerminen, V.; Birmilli, W.; McMurry, P. Formation and growth rates of ultrafine atmospheric particles: A review of observations. J. Aerosol. Sci. 2004, 35, 143–176. [Google Scholar] [CrossRef]
- Wallace, L. Indoor sources of ultrafine and accumulation mode particles: Size distributions, size-resolved concentrations, and source strengths. Aerosol. Sci. Technol. 2006, 40, 348–360. [Google Scholar] [CrossRef] [Green Version]
- Diapouli, E.; Chaloulakou, A.; Koutrakis, P. Estimating the concentration of indoor particles of outdoor origin: A review. J. Air Waste Manag. 2013, 63, 1113–1129. [Google Scholar] [CrossRef]
- Manigrasso, M.; Vitali, M.; Protano, C.; Avino, P. Temporal evolution of ultrafine particles and of alveolar deposited surface area from main indoor combustion and non-combustion sources in a model room. Sci. Total Environ. 2017, 598, 1015–1026. [Google Scholar] [CrossRef]
- Frampton, M.W. Systemic and cardiovascular effects of airway injury and inflammation: Ultrafine particle exposure in humans. Environ. Health Perspect. 2001, 109, 529–532. [Google Scholar]
- Hong, G.; Jee, Y.-K. Special issue on ultrafine particles: Where are they from and how do they affect us? Exp. Mol. Med. 2020, 52, 309–310. [Google Scholar] [CrossRef]
- Franck, U.; Odeh, S.; Wiedensohler, A.; Wehner, B.; Herbarth, O. The effect of particle size on cardiovascular disorders—The smaller the worse. Sci. Total Environ. 2011, 409, 4217–4221. [Google Scholar] [CrossRef]
- Karottki, D.G.; Beko, G.; Clausen, G.; Madsen, A.M.; Andersen, Z.J.; Massling, A.; Ketzel, M.; Ellermann, T.; Lund, R.; Sigsgaard, T. Cardiovascular and lung function in relation to outdoor and indoor exposure to fine and ultrafine particulate matter in middle-aged subjects. Environ. Int. 2014, 73, 372–381. [Google Scholar] [CrossRef] [Green Version]
- HEI Review Panel on Ultrafine Particles. In Understanding the Health Effects of Ambient Ultrafine Particles; Health Effects Institute: Boston, MA, USA, 2013; pp. 65–66.
- Schraufnagel, D.E. The health effects of ultrafine particles. Exp. Mol. Med. 2020, 52, 311–317. [Google Scholar] [CrossRef] [PubMed]
- Kwon, H.S.; Ryu, M.H.; Carlsten, C. Ultrafine particles: Unique physicochemical properties relevant to health and disease. Exp. Mol. Med. 2020, 52, 318–328. [Google Scholar] [CrossRef] [PubMed]
- Hänninen, O.; Hoek, G.; Mallone, S.; Chellini, E.; Katsouyanni, K.; Gariazzo, C.; Cattani, G.; Marconi, A.; Molnár, P.; Bellander, T.; et al. Seasonal patterns of outdoor PM infiltration into indoor environments: Review and meta-analysis of available studies from different climatological zones in Europe. Air Qual. Atmos. Health 2011, 4, 221–233. [Google Scholar] [CrossRef]
- Matson, U. Indoor and outdoor concentrations of ultrafine particles in some Scandinavian rural and urban areas. Sci. Total Environ. 2005, 343, 169–176. [Google Scholar] [CrossRef]
- Hystad, P.; Setton, E.; Allen, R.; Keller, P.; Brauer, M. Modeling residential fine particulate matter infiltration for exposure assessment. J. Expo. Sci. Environ. Epidemiol. 2009, 19, 570–579. [Google Scholar] [CrossRef] [Green Version]
- Schneider, T.; Jensen, K.A.; Clausen, P.A.; Afshari, A.; Gunnarsen, L.; Wahlin, P.; Glasius, M.; Palmgren, F.; Nielsen, O.J.; Fogh, C.L. Penetration of indoor concentration of 0.5–4 m particles of outdoor origin in an uninhabited apartment. Atmos. Environ. 2004, 38, 6349–6359. [Google Scholar] [CrossRef]
- Bennett, D.H.; Koutrakis, P. Determining the infiltration of outdoor particles in the indoor environment using a dynamic model. J. Aerosol. Sci. 2006, 37, 766–785. [Google Scholar] [CrossRef]
- Morawska, L.; Afshari, A.; Bae, G.N.; Buonanno, G.; Chao, C.Y.H.; Hanninen, O.; Hofmann, W.; Isaxon, W.C. Indoor aerosols: From personal exposure to risk assessment. Indoor Air 2013, 23, 462–487. [Google Scholar] [CrossRef] [Green Version]
- He, C.; Morawska, L.; Hitchins, J.; Gilbert, D. Contribution from indoor sources to particle number and mass concentrations in residential houses. Atmos. Environ. 2004, 38, 3405–3415. [Google Scholar] [CrossRef]
- Long, C.M.; Suh, H.H.; Koutrakis, P. Characterization of indoor particle sources using continuous mass and size monitors. J. Air Waste Manag. Assoc. 2000, 50, 1236–1250. [Google Scholar] [CrossRef] [PubMed]
- Chao, C.Y.; Cheng, E.C. Source Apportionment of Indoor PM2.5 and PM10 in Homes. Indoor Built Environ. 2002, 11, 27–37. [Google Scholar] [CrossRef]
- Hussein, T.; Glytsos, T.; Ondrácek, J.; Dohányosová, P.; Zdímal, V.; Hämeri, K.; Lazaridis, M.; Smolík, J.; Kulmala, M. Particle size characterization and emission rates during indoor activities in a house. Atmos. Environ. 2006, 40, 4285–4307. [Google Scholar] [CrossRef]
- Adgate, J.L.; Mongin, S.J.; Pratt, G.C.; Zhang, J.; Field, M.P.; Ramachandran, G.; Sexton, K. Relationships between personal, indoor, and outdoor exposures to trace elements in PM2.5. Sci. Total Environ. 2007, 386, 21–32. [Google Scholar] [CrossRef]
- Cyrys, J.; Pitz, M.; Bischof, W.; Wichmann, H.E.; Heinrich, J. Relationship between indoor and outdoor levels of fine particle mass, particle number concentrations and black smoke under different ventilation conditions. J. Expo. Sci. Environ. Epidemiol. 2004, 14, 275–283. [Google Scholar] [CrossRef] [Green Version]
- Ott, W.R.; Siegmann, H.C. Using multiple continuous fine particle monitors to characterize tobacco, incense, candle, cooking, wood burning, and vehicular sources in indoor, outdoor, and in transit settings. Atmos. Environ. 2006, 40, 821–843. [Google Scholar] [CrossRef]
- Glytsos, T.; Ondrácek, J.; Dzumbová, L.; Kopanakis, I.; Lazaridis, M. Characterization of particulate matter concentrations during controlled indoor activities. Atmos. Environ. 2010, 44, 1539–1549. [Google Scholar] [CrossRef]
- Perrino, C.; Tofful, L.; Canepari, S. Chemical characterisation of indoor and outdoor fine particulate matter in an occupied apartment in Rome, Italy. Indoor Air 2016, 26, 558–570. [Google Scholar] [CrossRef]
- Wensing, M.; Schripp, T.; Uhde, E.; Salthammer, T. Ultra-fine particles release from hardcopy devices: Sources, real-room measurements and efficiency of filter accessories. Sci. Total Environ. 2008, 407, 418–427. [Google Scholar] [CrossRef]
- Kagi, N.; Fujii, S.; Horiba, Y.; Namiki, N.; Ohtani, Y.; Emi, H.; Tamura, H.; Kim, Y.S. Indoor air quality for chemical and ultrafine particle contaminants from printers. Build. Environ. 2007, 42, 1949–1954. [Google Scholar] [CrossRef]
- Salthammer, T.; Schripp, T.; Uhde, E.; Wensing, M. Aerosols generated by hardcopy devices and other electrical appliances. Environ. Pollut. 2012, 169, 167–174. [Google Scholar] [CrossRef]
- Schripp, T.; Kirsch, I.; Salthammer, T. Characterization of particle emission from household electrical appliances. Sci. Total Environ. 2011, 409, 2534–2540. [Google Scholar] [CrossRef] [PubMed]
- Wallace, L.; Ott, W. Personal exposure to ultrafine particles. J. Expo. Sci. Environ. Epidemiol. 2011, 21, 20–30. [Google Scholar] [CrossRef] [PubMed]
- Snyder, E.G.; Watkins, T.H.; Solomon, P.A.; Thoma, E.D.; Williams, R.W.; Hagler, G.S.W.; Shelow, D.; Hindin, D.A.; Kilaru, V.J.; Preuss, P.W. The changing paradigm of air pollution monitoring. Environ. Sci. Technol. 2013, 47, 11369–11377. [Google Scholar] [CrossRef]
- Hagler, G.; Birkett, D.; Henry, R.C.; Peltier, R.E. Three Years of High Time-resolution Air Pollution Monitoring in the Complex Multi-source Harbor of New York and New Jersey. Aerosol Air Qual. Res. 2021, 21, 200374. [Google Scholar] [CrossRef] [PubMed]
- Harrison, R.M.; Beddows, D.C.; Dall’Osto, M. PMF analysis of wide-range particle size spectra collected on a major highway. Environ. Sci. Technol. 2011, 45, 5522–5528. [Google Scholar] [CrossRef] [PubMed]
- Pelliccioni, A.; Monti, P.; Cattani, G.; Boccuni, F.; Cacciani, M.; Canepari, S.; Capone, P.; Catrambone, M.; Cusano, M.; D’Ovidio, M.C.; et al. Integrated evaluation of indoor particulate exposure: The VIEPI project. Sustainability 2020, 12, 9758. [Google Scholar] [CrossRef]
- Boccuni, F.; Ferrante, R.; Tombolini, F.; Iavicoli, S.; Pelliccioni, A. Relationship between Indoor High Frequency Size Distribution of Ultrafine Particles and Their Metrics in a University Site. Sustainability 2021, 13, 5504. [Google Scholar] [CrossRef]
- R Core Team. R: A Language and Environment for Statistical Computing; R Foundation for Statistical Computing: Vienna, Austria, 2020; Available online: https://www.R-project.org/ (accessed on 30 June 2021).
- RStudio Team. RStudio: Integrated Development for R; RStudio, PBC: Boston, MA, USA, 2020; Available online: http://www.rstudio.com/ (accessed on 30 June 2021).
- Pelliccioni, A.; Gherardi, M. Development and validation of an intra-calibration procedure for MiniDISCs measuring ultrafine particles in multi-spatial indoor environments. Atmos. Environ. 2021, 246, 118154. [Google Scholar] [CrossRef]
- Morawska, L.; Ayoko, G.A.; Bae, G.N.; Buonanno, G.; Chao, C.Y.H.; Clifford, S.; Fu, S.C.; Hänninen, O.; He, C.; Isaxon, C.; et al. Airborne particles in indoor environment of homes, schools, offices and aged care facilities: The main routes of exposure. Environ. Int. 2017, 108, 75–83. [Google Scholar] [CrossRef] [PubMed]
- Dockery, D.W.; Spengler, J.D. Indoor-outdoor relationships of respirables sulfates and particles. Atmos. Environ. 1981, 15, 335–343. [Google Scholar] [CrossRef]
- Hänninen, O.; Lebret, E.; Ilacqua, V.; Katsouyanni, K.; Künzli, N.; Radim, J.S.; Jantunen, M. Infiltration of ambient PM2.5 and levels of indoor generated non-ETS PM2.5 in residences of four European cities. Atmos. Environ. 2004, 38, 6411–6423. [Google Scholar] [CrossRef]
- Hoek, G.; Kos, G.; Harrison, R.; de Hartog, J.; Meliefste, K.; ten Brink, H.; Katsouyanni, K.; Karakatsani, A.; Lianou, M.; Kotronarou, A.; et al. Indoor–outdoor relationships of particle number and mass in four European cities. Atmos. Environ. 2008, 42, 156–169. [Google Scholar] [CrossRef]
- di Bucchianico, A.D.; Cattani, G.; Inglessis, M. Outdoor/indoor particle infiltration factor in residential buildings and its relation with urban air quality. Environ. Eng. Manag. J. 2013, 12, 221–224. [Google Scholar]









| II Floor | Ground/II Floor/IV Floor | |
|---|---|---|
| 1st campaign | 4/06/2018–08/06/2018 | 11/06/2018–15/06/2018 |
| 2nd campaign | 26/11/2018–30/11/2018 | 03/12/2018–07/12/2018 |
| 3th campaign | - | 17/06/2019–21/06/2019 |
| Summer | |||||
| A3 | Out N | A4 | CR | Out S | |
| A3 | 1.00 | ||||
| Out N | 0.70 | 1.00 | |||
| A4 | 0.94 | 0.75 | 1.00 | ||
| CR | - | - | - | - | |
| Out S | 0.76 | 0.83 | 0.81 | - | 1.00 |
| Winter | |||||
| A3 | Out N | A4 | CR | Out S | |
| A3 | 1.00 | ||||
| Out N | 0.60 | 1.00 | |||
| A4 | 0.65 | 0.60 | 1.00 | ||
| CR | 0.32 | 0.50 | 0.53 | 1.00 | |
| Out S | 0.60 | 0.94 | 0.62 | 0.46 | 1.00 |
| Summer | |||||
| LH | CR | A7 | Out ground floor | Out 4th floor | |
| LH | 1.00 | ||||
| CR | 0.85 | 1.00 | |||
| A7 | 0.16 | nd | 1.00 | ||
| Out ground floor | 0.52 | 0.59 | 0.81 | 1.00 | |
| Out 4th floor | 0.53 | 0.61 | 0.78 | 0.95 | 1.00 |
| Winter | |||||
| LH | CR | A7 | Out ground floor | Out 4th floor | |
| LH | 1.00 | ||||
| CR | 0.81 | 1.00 | |||
| A7 | 0.52 | 0.68 | 1.00 | ||
| Out ground floor | 0.56 | 0.62 | 0.34 | 1.00 | |
| Out 4th floor | 0.56 | 0.63 | 0.35 | 0.97 | 1.00 |
| A3/Out N | A4/Out S | CR/Out S | OutS/OutN | A3/A4 | |
|---|---|---|---|---|---|
| Summer | 1.18 | 1.11 | 0.98 | 0.99 | |
| Winter | 0.77 | 0.76 | 0.84 | 0.92 | 0.89 |
| LH/Out Ground | CR/Out Ground | A7/Out 4th | Out Ground/Out 4 th | |
|---|---|---|---|---|
| Summer | 0.99 | 0.76 | 0.98 | 1.15 |
| Winter | 0.55 | 0.59 | 0.90 | 1.30 |
Publisher’s Note: MDPI stays neutral with regard to jurisdictional claims in published maps and institutional affiliations. |
© 2021 by the authors. Licensee MDPI, Basel, Switzerland. This article is an open access article distributed under the terms and conditions of the Creative Commons Attribution (CC BY) license (https://creativecommons.org/licenses/by/4.0/).
Share and Cite
Di Menno di Bucchianico, A.; Cusano, M.; Gaddi, R.; Gaeta, A.; Leone, G.; Boccuni, F.; Ferrante, R.; Pelliccioni, A.; Cattani, G. Indoor and Outdoor Particle Number Concentration in the Sapienza University Campus of Rome. Sustainability 2021, 13, 9126. https://doi.org/10.3390/su13169126
Di Menno di Bucchianico A, Cusano M, Gaddi R, Gaeta A, Leone G, Boccuni F, Ferrante R, Pelliccioni A, Cattani G. Indoor and Outdoor Particle Number Concentration in the Sapienza University Campus of Rome. Sustainability. 2021; 13(16):9126. https://doi.org/10.3390/su13169126
Chicago/Turabian StyleDi Menno di Bucchianico, Alessandro, Mariacarmela Cusano, Raffaela Gaddi, Alessandra Gaeta, Gianluca Leone, Fabio Boccuni, Riccardo Ferrante, Armando Pelliccioni, and Giorgio Cattani. 2021. "Indoor and Outdoor Particle Number Concentration in the Sapienza University Campus of Rome" Sustainability 13, no. 16: 9126. https://doi.org/10.3390/su13169126
APA StyleDi Menno di Bucchianico, A., Cusano, M., Gaddi, R., Gaeta, A., Leone, G., Boccuni, F., Ferrante, R., Pelliccioni, A., & Cattani, G. (2021). Indoor and Outdoor Particle Number Concentration in the Sapienza University Campus of Rome. Sustainability, 13(16), 9126. https://doi.org/10.3390/su13169126

