An Infodemiology and Infoveillance Study on COVID-19: Analysis of Twitter and Google Trends
Abstract
:1. Introduction
2. Materials and Methods
2.1. Twitter
2.2. Google Trends Data
2.3. Google Mobility Data
3. Results
3.1. Twitter
3.2. Google Trends
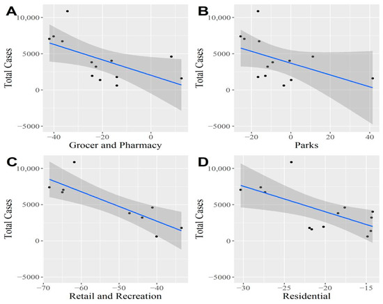
3.3. Google Mobility Data
4. Discussion
Study Limitations
5. Conclusions and Future Work
Author Contributions
Funding
Informed Consent Statement
Data Availability Statement
Conflicts of Interest
Abbreviations
| ACF | Autocorrelation Function |
| COVID-19 | Novel coronavirus disease |
| HQS | High-Quality Sources |
| LQS | Low-Quality Sources |
| RCCE | Risk Communication and Community Engagement |
| WHO | World Health Organization |
References
- Harapan, H.; Itoh, N.; Yufika, A.; Winardi, W.; Keam, S.; Te, H.; Megawati, D.; Hayati, Z.; Wagner, A.L.; Mudatsir, M. Coronavirus disease 2019 (COVID-19): A literature review. J. Infect. Public Health 2020, 13, 667–673. [Google Scholar] [CrossRef] [PubMed]
- World Health Organization. Managing the COVID-19 Infodemic: Promoting Healthy Behaviours and Mitigating the Harm from Misinformation and Disinformation. 2020. Available online: https://www.who.int/news/item/23-09-2020-managing-the-covid-19-infodemic-promoting-healthy-behaviours-and-mitigating-the-harm-from-misinformation-and-disinformation (accessed on 22 November 2020).
- Nsoesie, E.O.; Cesare, N.; Müller, M.; Ozonoff, A. COVID-19 Misinformation Spread in Eight Countries: Exponential Growth Modeling Study. J. Med. Internet Res. 2020, 22, e24425. [Google Scholar] [CrossRef] [PubMed]
- Cinelli, M.; Quattrociocchi, W.; Galeazzi, A.; Valensise, C.M.; Brugnoli, E.; Schmidt, A.L.; Zola, P.; Zollo, F.; Scala, A. The COVID-19 social media infodemic. Sci. Rep. 2020, 10, 1–10. [Google Scholar] [CrossRef] [PubMed]
- Tagliabue, F.; Galassi, L.; Mariani, P. The “Pandemic” of Disinformation in COVID-19. SN Compr. Clin. Med. 2020, 2, 1287–1289. [Google Scholar] [CrossRef]
- Smith, G.D.; Ng, F.; Li, W.H.C. COVID-19: Emerging compassion, courage and resilience in the face of misinformation and adversity. J. Clin. Nurs. 2020, 29, 1425. [Google Scholar] [CrossRef] [Green Version]
- World Health Organization. Risk Communication and Community Engagement Readiness and Response to Coronavirus Disease (COVID-19): Interim Guidance. 19 March 2020. Available online: https://apps.who.int/iris/bitstream/handle/10665/331513/WHO-2019-nCoV-RCCE-2020.2-eng.pdf?sequence=1&isAllowed=y (accessed on 22 November 2020).
- Rovetta, A.; Bhagavathula, A.S. COVID-19-Related Web Search Behaviors and Infodemic Attitudes in Italy: Infodemiological Study. JMIR Public Health Surveill. 2020, 6, e19374. [Google Scholar] [CrossRef]
- Eysenbach, G. Infodemiology and Infoveillance: Framework for an Emerging Set of Public Health Informatics Methods to Analyze Search, Communication and Publication Behavior on the Internet. J. Med. Internet Res. 2009, 11, e11. [Google Scholar] [CrossRef]
- Cuan-Baltazar, J.Y.; Muñoz-Perez, M.J.; Robledo-Vega, C.; Pérez-Zepeda, M.F.; Soto-Vega, E. Misinformation of COVID-19 on the Internet: Infodemiology Study. JMIR Public Health Surveill. 2020, 6, e18444. [Google Scholar] [CrossRef] [Green Version]
- Kouzy, R.; Jaoude, J.A.; Kraitem, A.; El Alam, M.B.; Karam, B.; Adib, E.; Zarka, J.; Traboulsi, C.; Akl, E.W.; Baddour, K. Coronavirus Goes Viral: Quantifying the COVID-19 Misinformation Epidemic on Twitter. Cureus 2020, 12. [Google Scholar] [CrossRef] [Green Version]
- Report of the WHO-China Joint Mission on Coronavirus Disease 2019 (COVID-19). Available online: https://www.who.int/docs/default-source/coronaviruse/who-china-joint-mission-on-covid-19-final-report.pdf (accessed on 22 November 2020).
- Ho, Y.-H.; Tai, Y.-J.; Chen, L.-J. COVID-19 Pandemic Analysis for a Country’s Ability to Control. The Outbreak Using Little’s Law: Infodemiology Approach. Sustainability 2021, 13, 5628. [Google Scholar] [CrossRef]
- Mavragani, A.; Ochoa, G. Google Trends in Infodemiology and Infoveillance: Methodology Framework. JMIR Public Health Surveill. 2019, 5, e13439. [Google Scholar] [CrossRef] [Green Version]
- Singh, L.; Bansal, S.; Bode, L.; Budak, C.; Chi, G.; Kawintiranon, K.; Padden, C.; Vanarsdall, R.; Vraga, E.; Wang, Y. A First Look at COVID-19 Information and Misinformation Sharing on Twitter. ArXiv 2020, arXiv:2003.13907v1. [Google Scholar]
- Sahni, H.; Sharma, H. Role of social media during the COVID-19 pandemic: Beneficial, destructive, or reconstructive? Int. J. Acad. Med. 2020, 6, 70. [Google Scholar] [CrossRef]
- Bernardo, T.; Liang, C.; Sun, L.; Marlicz, W.; Mavragani, A. Infodemiology and Infoveillance: Scoping Review. J. Med Internet Res. 2020, 22, e16206. [Google Scholar] [CrossRef]
- Chaves-Montero, A.; Relinque-Medina, F.; Fernández-Borrero, M.Á.; Vázquez-Aguado, O. Twitter, Social Services and Covid-19: Analysis of Interactions between Political Parties and Citizens. Sustainability 2021, 13, 2187. [Google Scholar] [CrossRef]
- Saudi Arabia Social Media Statistics 2020. 8 September 2020. Available online: https://www.globalmediainsight.com/blog/saudi-arabia-social-media-statistics/ (accessed on 22 November 2020).
- Google. COVID-19 Community Mobility Reports. Available online: https://www.google.com/covid19/mobility/ (accessed on 22 November 2020).
- “Covid19 Infodemic Observatory” from FBK-WHO Partnership. 2020. Available online: https://covid19obs.fbk.eu/#/ (accessed on 22 November 2020).
- COVID-19 Dashboard. Available online: https://covid19.moh.gov.sa/ (accessed on 27 March 2021).
- Twitter. Search Tweets. Available online: https://developer.twitter.com/en/docs/twitter-api/v1/tweets/search/overview (accessed on 13 June 2020).
- Google Trends. Available online: https://trends.google.com/trends/explore (accessed on 31 July 2020).
- Zerrouki, T. Tashaphyne 0.3.4.1. Available online: https://pypi.org/project/Tashaphyne/ (accessed on 22 November 2020).
- Abdelali, A.; Darwish, K.; Durrani, N.; Mubarak, H. Farasa: A fast and furious segmenter for arabic. In Proceedings of the 2016 Conference of the North American Chapter of the Association for Computational Linguistics: Demonstrations, San Diego, CA, USA, 12–17 June 2016. [Google Scholar]
- Alahdal, H.; Basingab, F.; Alotaibi, R. An analytical study on the awareness, attitude and practice during the COVID-19 pandemic in Riyadh, Saudi Arabia. J. Infect. Public Health 2020, 13, 1446–1452. [Google Scholar] [CrossRef]
- Bence, J.R. Analysis of Short Time Series: Correcting for Autocorrelation. Ecology 1995, 76, 628–639. [Google Scholar] [CrossRef] [Green Version]
- Cohen, J. A power primer. Psychol. Bull. 1992, 112, 155–159. [Google Scholar] [CrossRef]
- World Health Organization. Coronavirus Disease (COVID-19): Dexamethasone. 2020. Available online: https://www.who.int/news-room/q-a-detail/coronavirus-disease-covid-19-dexamethasone#:~:text=Dexamethasone%20is%20a%20corticosteroid%20used,for%20critically%20ill%20patients (accessed on 22 November 2020).
- Rovetta, A.; Bhagavathula, A.S. Global Infodemiology of COVID-19: Analysis of Google Web Searches and Instagram Hashtags. J. Med. Internet Res. 2020, 22, e20673. [Google Scholar] [CrossRef]
- Jang, H.; Rempel, E.; Roth, D.; Carenini, G.; Janjua, N.Z. Tracking COVID-19 Discourse on Twitter in North America: Infodemiology Study Using Topic Modeling and Aspect-Based Sentiment Analysis. J. Med. Internet Res. 2021, 23, e25431. [Google Scholar] [CrossRef]
- Mheidly, N.; Fares, J. Leveraging media and health communication strategies to overcome the COVID-19 infodemic. J. Public Health Policy 2020, 41, 1–11. [Google Scholar] [CrossRef] [PubMed]
- Centers for Disease Control and Prevention. Stop the Spread of Rumors. Available online: https://www.cdc.gov/coronavirus/2019-ncov/daily-life-coping/share-facts.html (accessed on 22 November 2020).
- Van Der Linden, S.; Roozenbeek, J.; Compton, J. Inoculating Against Fake News About COVID-19. Front. Psychol. 2020, 11, 2928. [Google Scholar] [CrossRef] [PubMed]
- Baraybar-Fernández, A.; Arrufat-Martín, S.; Rubira-García, R. Public Information, Traditional Media and Social Networks during the COVID-19 Crisis in Spain. Sustainability 2021, 13, 6534. [Google Scholar] [CrossRef]
- Commodari, E.; La Rosa, V.; Coniglio, M. Health risk perceptions in the era of the new coronavirus: Are the Italian people ready for a novel virus? A cross-sectional study on perceived personal and comparative susceptibility for infectious diseases. Public Health 2020, 187, 8–14. [Google Scholar] [CrossRef]
- Fang, H.; Wang, L.; Yang, Y. Human mobility restrictions and the spread of the Novel Coronavirus (2019-nCoV) in China. J. Public Econ. 2020, 191, 104272. [Google Scholar] [CrossRef]
- Engle, S.; Stromme, J.; Zhou, A. Staying at Home: Mobility Effects of COVID-19. SSRN Electron. J. 2020. [Google Scholar] [CrossRef]
- Qureshi, A.I.; Suri, M.F.K.; Chu, H.; Suri, H.K.; Suri, A.K. Early mandated social distancing is a strong predictor of reduction in peak daily new COVID-19 cases. Public Health 2021, 190, 160–167. [Google Scholar] [CrossRef]
- Ceccato, R.; Rossi, R.; Gastaldi, M. Travel Demand Prediction during COVID-19 Pandemic: Educational and Working Trips at the University of Padova. Sustainability 2021, 13, 6596. [Google Scholar] [CrossRef]










| Term | English Name | Description |
|---|---|---|
| كورونا | Coronavirus | The most common term for the novel coronavirus |
| ديكساميثازون | Dexamethasone | Corticosteroid used as anti-inflammatory |
| القسط الهندي | Saussurea costus | Common folk remedy for respiratory complaints |
| سماق | Sumac | Common folk remedy for a variety of complaints |
| رمديسيفير | Remdesivir | An antiviral medication |
| Arabic Term/Phrase | English Name |
|---|---|
| كورونا | Coronavirus |
| كوفيد ١٩ | COVID-19 |
| كوفيد | COVID |
| كرونا | Corona |
| عدد حالات كورونا | Coronavirus new cases |
| كورونا في السعودية | Coronavirus in Saudi Arabia |
| Mobility Categories | ||||||||
|---|---|---|---|---|---|---|---|---|
| Grocery & Pharmacy | Parks | Retail & Recreation | Residential | |||||
| r | p-Value | r | p-Value | r | p-Value | r | p-Value | |
| Before curfew | −0.8 | 0.007 * | −0.6 | 0.04 * | −0.8 | 0.003 * | −0.8 | 0.01 * |
| After curfew | 0.4 | 0.0001 * | 0.2 | 0.006 * | 0.4 | 0.0002 * | 0.2 | 0.003 * |
| Predictor | B | p | % Variance Explained |
|---|---|---|---|
| Total cases | 0.024 | <0.001 * | 20.48% |
| Information prevalence | −22.06 | <0.001 * | 9.69% |
| Grocery and pharmacy mobility | −46.57 | 0.009 * | 0.11% |
| Parks mobility | 28.01 | 0.012 * | 0.46% |
| Retail and recreation mobility | 11.54 | 0.335 | 0.05% |
| Residential mobility | 4.43 | 0.402 | 0.15% |
Publisher’s Note: MDPI stays neutral with regard to jurisdictional claims in published maps and institutional affiliations. |
© 2021 by the authors. Licensee MDPI, Basel, Switzerland. This article is an open access article distributed under the terms and conditions of the Creative Commons Attribution (CC BY) license (https://creativecommons.org/licenses/by/4.0/).
Share and Cite
Alshahrani, R.; Babour, A. An Infodemiology and Infoveillance Study on COVID-19: Analysis of Twitter and Google Trends. Sustainability 2021, 13, 8528. https://doi.org/10.3390/su13158528
Alshahrani R, Babour A. An Infodemiology and Infoveillance Study on COVID-19: Analysis of Twitter and Google Trends. Sustainability. 2021; 13(15):8528. https://doi.org/10.3390/su13158528
Chicago/Turabian StyleAlshahrani, Reem, and Amal Babour. 2021. "An Infodemiology and Infoveillance Study on COVID-19: Analysis of Twitter and Google Trends" Sustainability 13, no. 15: 8528. https://doi.org/10.3390/su13158528
APA StyleAlshahrani, R., & Babour, A. (2021). An Infodemiology and Infoveillance Study on COVID-19: Analysis of Twitter and Google Trends. Sustainability, 13(15), 8528. https://doi.org/10.3390/su13158528

