Effect of Vegetable Growth on Content and Composition of Antibiotics in Litopenaeus vannamei Pond Sediments in Crop/Aquacultural Rotation Process
Abstract
:1. Introduction
2. Materials and Methods
2.1. Collection, Preservation, and Pretreatment of Sediment Samples
2.2. Extraction and Detection Methods for Antibiotics
2.3. Quality Control and Quality Assurance
3. Results and Discussion
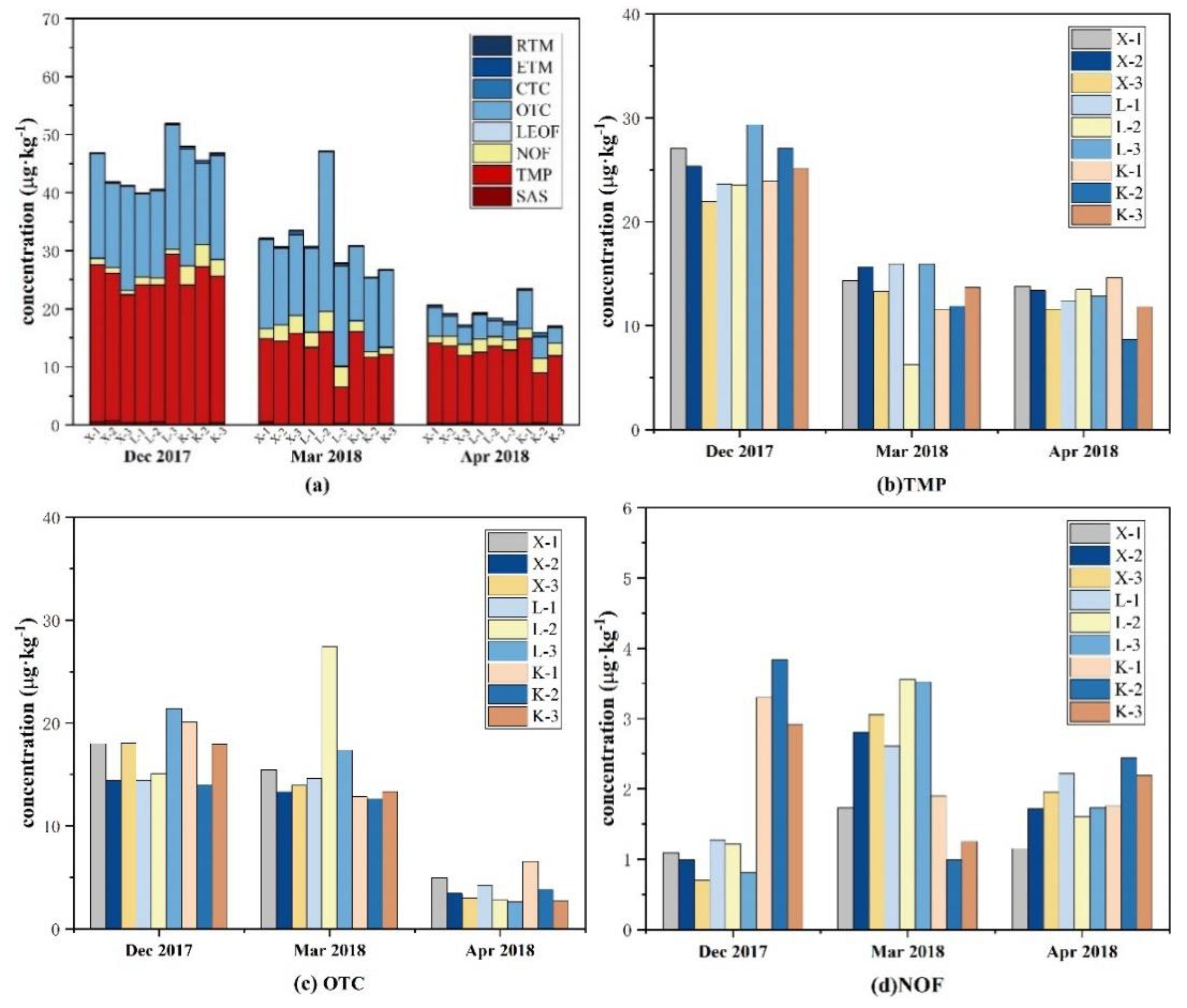
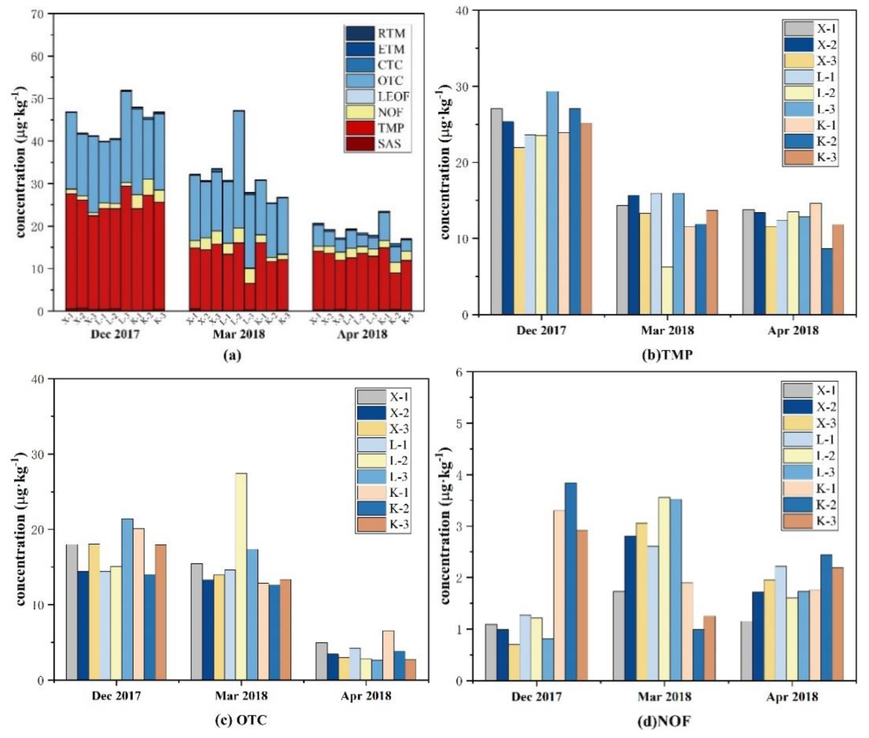
3.1. Concentration Changes of Sediment Antibiotics in the Shrimp–Vegetable Rotational Farming Period
3.2. Speciation Evolution of Antibiotics in the Shrimp–Vegetable Rotational Farming Period
3.3. Antibiotic Characteristics after a New Round of Shrimp Farming
4. Conclusions
Supplementary Materials
Author Contributions
Funding
Institutional Review Board Statement
Informed Consent Statement
Data Availability Statement
Acknowledgments
Conflicts of Interest
References
- Wolanski, E.; Spagnol, S.; Thomas, S.; Moore, K.; Alongi, D.M.; Trott, L.; Davidson, A. Modelling and visualizing the fate of shrimp pond effluent in a mangrove-fringed tidal creek. Estuar. Coast. Shelf Sci. 2000, 50, 85–97. [Google Scholar] [CrossRef]
- Hossain, A.; Nakamichi, S.; Habibullah-Al-Mamun, M.; Tani, K.; Masunaga, S.; Matsuda, H. Occurrence, distribution, ecological and resistance risks of antibiotics in surface water of finfish and shellfish aquaculture in Bangladesh. Chemosphere 2017, 188, 329–336. [Google Scholar] [CrossRef]
- Quimpo, T.J.R.; Ligson, C.A.; Manogan, D.P.; Requilme, J.N.C.; Albelda, R.L.; Conaco, C.; Cabaitan, P.C. Fish farm effluents alter reef benthic assemblages and reduce coral settlement. Mar. Pollut. Bull. 2020, 153, 111025. [Google Scholar] [CrossRef]
- Xiong, B.; Xu, T.; Li, R.; Johnson, D.; Ren, D.; Liu, H.; Xi, Y.; Huang, Y. Heavy metal accumulation and health risk assessment of crayfish collected from cultivated and uncultivated ponds in the Middle Reach of Yangtze River. Sci. Total Environ. 2020, 739, 139963. [Google Scholar] [CrossRef]
- Alonso-Rodriguez, R.; Paez-Osuna, F. Nutrients, phytoplankton and harmful algal blooms in shrimp ponds: A review with special reference to the situation in the Gulf of California. Aquaculture 2003, 219, 317–336. [Google Scholar] [CrossRef]
- Hargan, K.E.; Williams, B.; Nuangsaeng, B.; Siriwong, S.; Tassawad, P.; Chaiharn, C.; McAdoo, B.; Los Huertos, M. Understanding the fate of shrimp aquaculture effluent in a mangrove ecosystem: Aiding management for coastal conservation. J. Appl. Ecol. 2020, 57, 754–765. [Google Scholar] [CrossRef]
- Costanzo, S.D.; Murby, J.; Bates, J. Ecosystem response to antibiotics entering the aquatic environment. Mar. Pollut. Bull. 2005, 51, 218–223. [Google Scholar] [CrossRef] [PubMed]
- Jiang, J.; Guo, B. Occurrence, source and ecological risk assessment of antibiotics in seawater and sediment from typical marine aquaculture ponds. Fresenius Environ. Bull. 2019, 28, 8128–8140. [Google Scholar]
- Chen, H.; Liu, S.; Xu, X.R.; Liu, S.S.; Zhou, G.J.; Sun, K.F.; Zhao, J.L.; Ying, G.G. Antibiotics in typical marine aquaculture farms surrounding Hailing Island, South China: Occurrence, bioaccumulation and human dietary exposure. Mar. Pollut. Bull. 2015, 90, 181–187. [Google Scholar] [CrossRef]
- Sun, S.; Korheina, D.K.A.; Fu, H.; Ge, X. Chronic exposure to dietary antibiotics affects intestinal health and antibiotic resistance gene abundance in oriental river prawn (Macrobrachium nipponense), and provokes human health risk. Sci. Total Environ. 2020, 720, 137478. [Google Scholar] [CrossRef]
- Flaherty, M.; Szuster, B.; Miller, P. Low salinity inland shrimp farming in Thailand. Ambio 2000, 29, 174–179. [Google Scholar] [CrossRef]
- Kummerer, K. Antibiotics in the aquatic environment—A review—Part I. Chemosphere 2009, 75, 417–434. [Google Scholar] [CrossRef]
- Bound, J.P.; Voulvoulis, N. Pharmaceuticals in the aquatic environment—A comparison of risk assessment strategies. Chemosphere 2004, 56, 1143–1155. [Google Scholar] [CrossRef]
- Jjemba, P.K. The potential impact of veterinary and human therapeutic agents in manure and biosolids on plants grown on arable land: A review. Agric. Ecosyst. Environ. 2002, 93, 267–278. [Google Scholar] [CrossRef]
- Xie, Y.F.; Li, X.W.; Wang, J.F.; Christakos, G.; Hu, M.G.; An, L.H.; Li, F.S. Spatial estimation of antibiotic residues in surface soils in a typical intensive vegetable cultivation area in China. Sci. Total Environ. 2012, 430, 126–131. [Google Scholar] [CrossRef] [PubMed]
- Rico, A.; Oliveira, R.; McDonough, S.; Matser, A.; Khatikarn, J.; Satapornvanit, K.; Nogueira, A.J.A.; Soares, A.M.V.M.; Domingues, I.; Van de Brink, P.J. Use, fate and ecological risks of antibiotics applied in tilapia cage farming in Thailand. J. Environ. Pollut. 2014, 191, 8–16. [Google Scholar] [CrossRef] [PubMed]
- Li, Y.; Wang, L.; Yan, Z.; Chao, C.; Yu, H.; Yu, D.; Liu, C. Effectiveness of dredging on internal phosphorus loading in a typical aquacultural lake. Sci. Total Environ. 2020, 744, 140883. [Google Scholar] [CrossRef] [PubMed]
- Xu, W.H.; Zhang, G.; Wai, O.W.H.; Zou, S.C.; Li, X.D. Transport and adsorption of antibiotics by marine sediments in a dynamic environment. J. Soils Sediments 2009, 9, 364–373. [Google Scholar] [CrossRef] [Green Version]
- Graslund, S.; Bengtsson, B.E. Chemicals and biological products used in south-east Asian shrimp farming, and their potential impact on the environment—A review. Sci. Total Environ. 2001, 280, 93–131. [Google Scholar] [CrossRef]
- Fenner, K.; Canonica, S.; Wackett, L.P.; Elsner, M. Evaluating Pesticide Degradation in the Environment: Blind Spots and Emerging Opportunities. Science 2013, 341, 752–758. [Google Scholar] [CrossRef] [Green Version]
- Hu, L.H.; Flanders, P.M.; Miller, P.L.; Strathmann, T.J. Oxidation of sulfamethoxazole and related antimicrobial agents by TiO2 photocatalysis. Water Res. 2007, 41, 2612–2626. [Google Scholar] [CrossRef]
- Lorenzo, F.; Navaratnam, S.; Edge, R.; Allen, N.S. Primary photophysical properties of moxifloxacin—A fluoroquinolone antibiotic. Photochem. Photobiol. 2008, 84, 1118–1125. [Google Scholar] [CrossRef]
- Ahmed, M.B.; Upamali, R.A.; Eun, L.J.; Thang, V.N.; Seop, K.I.; Min, K.H.; Soo, L.S.; Sik, O.Y. Distribution and accumulative pattern of tetracyclines and sulfonamides in edible vegetables of cucumber, tomato, and lettuce. Journal of agricultural and food chemistry. J. Agric. Food Chem. 2015, 63, 398–405. [Google Scholar] [CrossRef]
- Ni, M.; Yuan, J.L.; Hua, J.Q.; Lian, Q.P.; Guo, A.H.; Liu, M.; Xin, J.M.; Wang, H.Y.; Gu, Z.M. Shrimp–vegetable rotational farming system: An innovation of shrimp aquaculture in the tidal flat ponds of Hangzhou Bay, China. Aquaculture 2020, 518, 734864. [Google Scholar] [CrossRef]
- Bao, Y.; Guo, A.; Ma, J.; Pan, C.; Hu, L. Citric acid and glycine reduce the uptake and accumulation of Fe2O3 nanoparticles and oxytetracycline in rice seedlings upon individual and combined exposure. Sci. Total Environ. 2019, 695, 133859. [Google Scholar] [CrossRef] [PubMed]
- Yuan, J.; Ni, M.; Liu, M.; Zheng, Y.; Gu, Z. Occurrence of antibiotics and antibiotic resistance genes in a typical estuary aquaculture region of Hangzhou Bay, China. Mar. Pollut. Bull. 2019, 138, 376–384. [Google Scholar] [CrossRef] [PubMed]
- Perisa, M.; Babic, S.; Skoric, I.; Froemel, T.; Knepper, T.P. Photodegradation of sulfonamides and their N4-acetylated metabolites in water by simulated sunlight irradiation: Kinetics and identification of photoproducts. Environ. Sci. Pollut. Res. 2013, 20, 8934–8946. [Google Scholar] [CrossRef]
- Baena-Nogueras, R.M.; Gonzalez-Mazo, E.; Lara-Martin, P.A. Photolysis of Antibiotics under Simulated Sunlight Irradiation: Identification of Photoproducts by High-Resolution Mass Spectrometry. Environ. Sci. Technol. 2017, 51, 3148–3156. [Google Scholar] [CrossRef]
- Li, Y.; Niu, J.; Wang, W. Photolysis of Enrofloxacin in aqueous systems under simulated sunlight irradiation: Kinetics, mechanism and toxicity of photolysis products. Chemosphere 2011, 85, 892–897. [Google Scholar] [CrossRef]
- Hao, H.S.; Xu, Y.R.; Gao, Y.; Wang, Z.F.; Li, J.; Xu, N. Occurrence of Antibiotics in water, Sediments and Seafood in Aquaculture Area of the Pearl River Estuary. Acta Sci. Nat. Univ. Pekin. 2018, 54, 1077–1084. [Google Scholar]
- Zhang, R.-L. Characteristics of Antibiotics Contamination and Consumption Risk of Seafood in Typical Culture Areas of the Beibu Gulf. Master’s Thesis, Guangxi University, Nanning, China, 2018. [Google Scholar]
- Wang, Z.F. Detection and Risk Evaluation of Heavy Metals and Antibiotics inn Tilapia Aquaculture Ponds in Guangxi Province. Master’s Thesis, Guangxi University, Nanning, China, 2018. [Google Scholar]
- He, X.T.; Wang, Q.; Ni, X.P.; Yang, Y.T.; Chen, Z. Residues and health risk assessment of sulfonamides in sediment and fish from typical marine aquaculture regions of Guangdong Province, China. Huan Jing Ke Xue 2014, 35, 2728–2735. [Google Scholar] [PubMed]
- Ruan, Y.F.; Chen, J.S.; Guo, C.S.; Chen, S.S.; Wang, S.T.; Wang, Y.Q. Distribution characteristics of typical antibiotics in surface water and sediments from freshwater aquaculture water in Tianjin suburban areas, China. J. Agric. Environ. Sci. 2011, 30, 2586–2593. [Google Scholar]
- Zhang, J.Q.; Dong, Y.H. Influence of strength and species of cation on adsorption of norfloxacin in typical soils of China. Huan Jing Ke Xue 2007, 28, 2383–2388. [Google Scholar] [PubMed]




| Time (min) | A (%) | B (%) |
|---|---|---|
| 0 | 30 | 70 |
| 2.0 | 60 | 40 |
| 4.0 | 90 | 10 |
| 8.0 | 90 | 10 |
| 8.5 | 30 | 70 |
| 12.0 | 30 | 70 |
| Antibiotics | Parent Ion (m/z) | Daughter Ion (m/z) | Retention Time (m/z) | Fragmentor Voltage (V) | Collision Energy (eV) |
|---|---|---|---|---|---|
| SDZ | 250.9 | 108.0, 155.9 | 1.26 | 72 | 31, 17 |
| SMX | 253.8 | 92.1, 108.0 | 2.44 | 65 | 26, 16 |
| SMZ | 278.9 | 124.0, 186.0 | 2.08 | 72 | 26, 17 |
| SMD | 280.9 | 92.1, 155.9 | 1.89 | 76 | 28, 17 |
| TMP | 291.0 | 230.8, 261.8 | 1.33 | 100 | 24, 25 |
| 13C-TMP | 294.2 | 231.8, 262.8 | 1.35 | 107 | 23, 24 |
| NOF | 319.4 | 275.9, 301.8 | 1.77 | 113 | 15, 20 |
| LEOF | 362.2 | 261.2, 317.9 | 1.60 | 114 | 27, 18 |
| TC | 442.8 | 340.8, 414.7 | 4.52 | 132 | 48, 31 |
| OTC | 461.3 | 222.9, 426.6 | 9.69 | 113 | 58, 19 |
| CTC | 478.3 | 443.6, 461.6 | 3.12 | 109 | 18, 17 |
| ETM | 716.0 | 158.0, 558.4 | 4.47 | 109 | 30, 16 |
| RTM | 837.8 | 157.8, 679.0 | 4.48 | 131 | 32, 19 |
| Antibiotic | Concentration–Peak Area Linear Equations | R2 | Detection Limit |
|---|---|---|---|
| SDZ | y = 0.00005773x − 0.4445 | 0.9991 | 0.017 |
| SMX | y = 0.00006452x − 0.6231 | 0.9992 | 0.015 |
| SMZ | y = 0.00004717x − 1.214 | 0.9996 | 0.014 |
| SMD | y = 0.00006818x − 0.8433 | 0.9992 | 0.028 |
| TMP | y = 0.00350072x − 0.5668 | 0.9990 | 0.009 |
| 13C-TMP | y = 0.00008375x − 0.3072 | 0.9987 | 0.009 |
| NOF | y = 0.00032399x + 1.272 | 0.9997 | 0.217 |
| LEOF | y = 0.00004277x − 0.7590 | 0.9986 | 0.033 |
| TC | y = 0.00010161x + 0.3603 | 0.9991 | 0.108 |
| OTC | y = 0.00117097x − 2.3480 | 0.9993 | 0.094 |
| CTC | y = 0.00019284x + 0.1712 | 0.9991 | 0.055 |
| ETM | y = 0.00003306x − 0.5322 | 0.9994 | 0.006 |
| RTM | y = 0.00020047x − 1/1833 | 0.9999 | 0.007 |
| Potherb Mustard (X-Ponds) | Broccoli (L-Ponds) | Control Ponds (K-Ponds) | |||||||
|---|---|---|---|---|---|---|---|---|---|
| Antibiotic | TMP | NOF | OTC | TMP | NOF | OTC | TMP | NOF | OTC |
| Before shrimp cultivation | 12.88 | 1.61 | 3.78 | 12.86 | 1.86 | 3.18 | 11.61 | 2.14 | 4.33 |
| After shrimp cultivation (μg/kg) | 15.18 | 7.91 | 27.19 | 13.49 | 8.57 | 26.87 | 17.84 | 8.37 | 26.98 |
| Increments (μg/kg) | 2.3 | 6.3 | 23.41 | 0.63 | 6.71 | 23.69 | 6.23 | 6.23 | 22.65 |
| Increments (%) | 18 | 391 | 619 | 5 | 361 | 745 | 54 | 291 | 523 |
Publisher’s Note: MDPI stays neutral with regard to jurisdictional claims in published maps and institutional affiliations. |
© 2021 by the authors. Licensee MDPI, Basel, Switzerland. This article is an open access article distributed under the terms and conditions of the Creative Commons Attribution (CC BY) license (https://creativecommons.org/licenses/by/4.0/).
Share and Cite
Gu, B.; Li, F.; Liu, Y.; Mao, L.; Tao, H. Effect of Vegetable Growth on Content and Composition of Antibiotics in Litopenaeus vannamei Pond Sediments in Crop/Aquacultural Rotation Process. Sustainability 2021, 13, 8400. https://doi.org/10.3390/su13158400
Gu B, Li F, Liu Y, Mao L, Tao H. Effect of Vegetable Growth on Content and Composition of Antibiotics in Litopenaeus vannamei Pond Sediments in Crop/Aquacultural Rotation Process. Sustainability. 2021; 13(15):8400. https://doi.org/10.3390/su13158400
Chicago/Turabian StyleGu, Bihan, Feipeng Li, Yanru Liu, Lingchen Mao, and Hong Tao. 2021. "Effect of Vegetable Growth on Content and Composition of Antibiotics in Litopenaeus vannamei Pond Sediments in Crop/Aquacultural Rotation Process" Sustainability 13, no. 15: 8400. https://doi.org/10.3390/su13158400
APA StyleGu, B., Li, F., Liu, Y., Mao, L., & Tao, H. (2021). Effect of Vegetable Growth on Content and Composition of Antibiotics in Litopenaeus vannamei Pond Sediments in Crop/Aquacultural Rotation Process. Sustainability, 13(15), 8400. https://doi.org/10.3390/su13158400
