Study on Evolution Mechanism of Structure-Type Rockburst: Insights from Discrete Element Modeling
Abstract
:1. Introduction
2. Generation of Numerical Model
2.1. Contact Models
2.1.1. Flat-Joint Model
2.1.2. Smooth-Joint Model
2.2. Calibration of Micro-Parameters
2.3. Simulation Procedures
2.4. Energy Balance Calculations
3. Analysis of Simulation Results
3.1. Evolution Mechanism of Strainburst
3.2. Evolution Mechanism of Structure-Type Rockburst
3.3. Comparison between Strainburst and Structure-Type Rockburst
4. Sensitivity Analysis
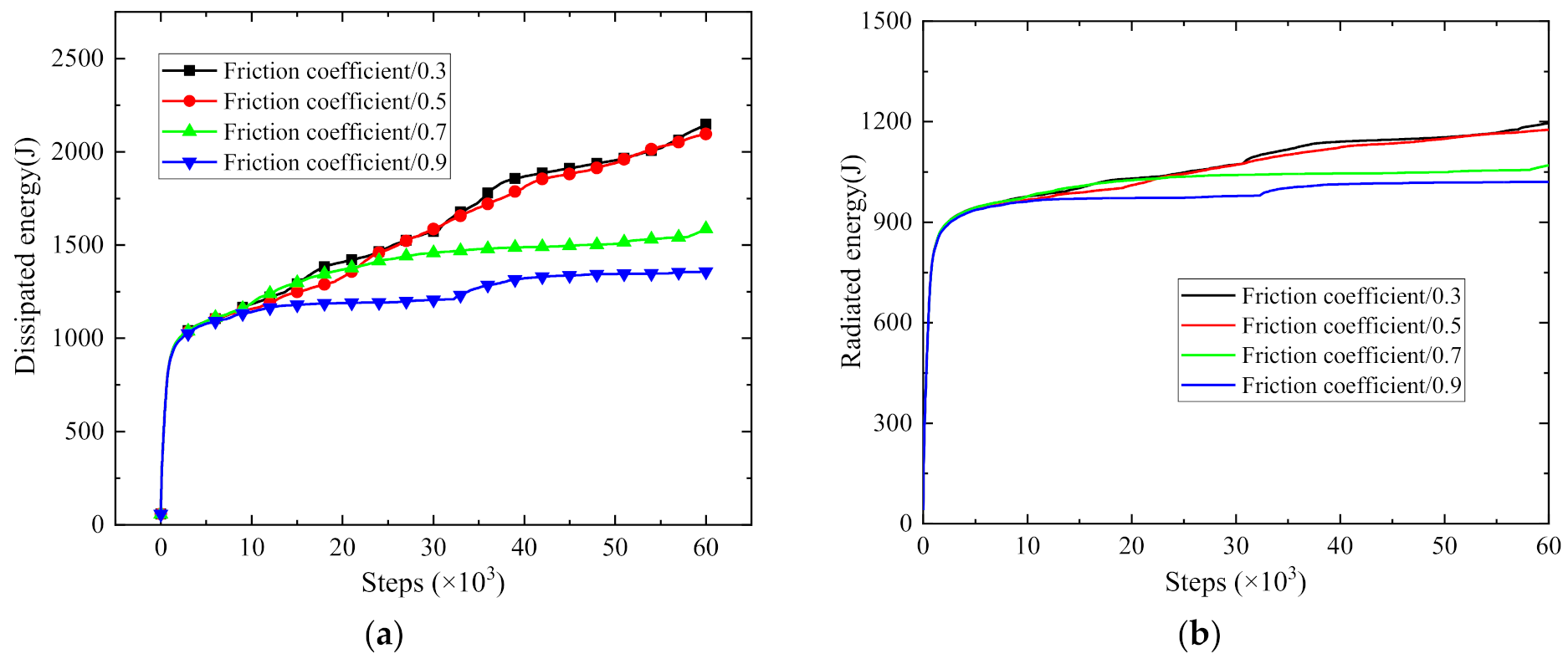
4.1. Influence of Structural Plane Roughness
4.2. Influence of Rockmass Heterogeneity
4.2.1. Simulation of Heterogeneity
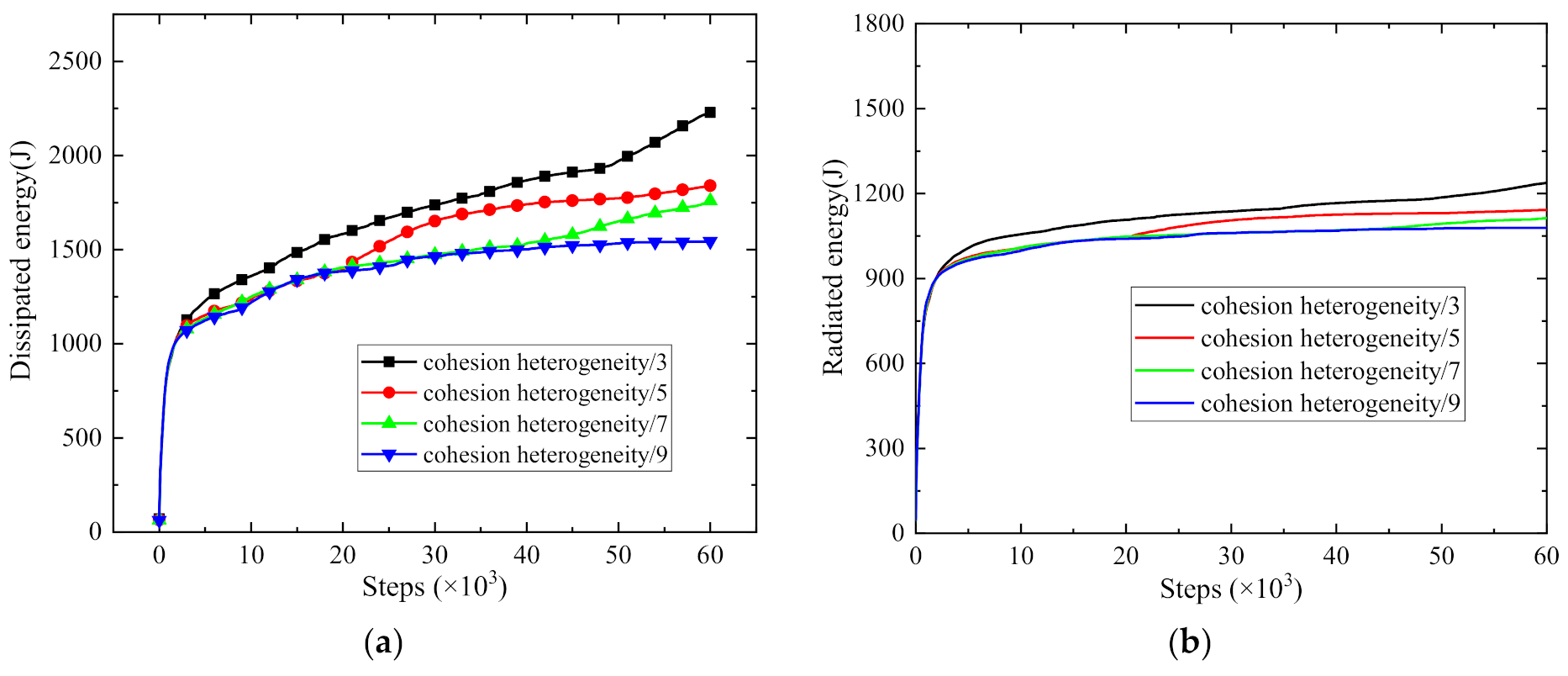
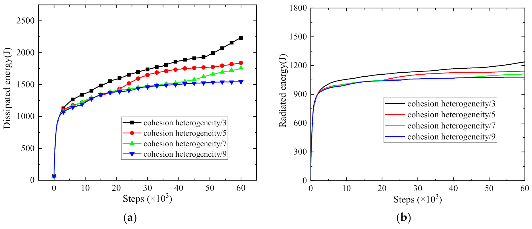
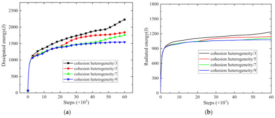
4.2.2. Influence of Cohesion Heterogeneity
4.2.3. Influence of Effective Modulus Heterogeneity
4.2.4. Comparison for Influence of Cohesion and Modulus Heterogeneity
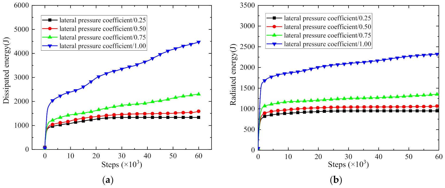
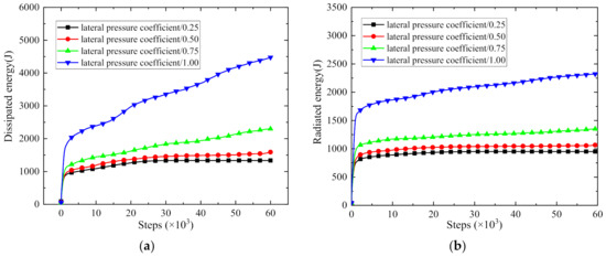
4.3. Influence of Lateral Pressure Coefficient
4.4. Influence of Structural Plane Length
5. Similarity between the Numerical Modeling and the Actual Tunnelling Case
6. Conclusions
Author Contributions
Funding
Institutional Review Board Statement
Informed Consent Statement
Data Availability Statement
Conflicts of Interest
References
- Jiang, T.; Shen, Z.; Liu, Y.; Hou, Y. Carbon Footprint Assessment of Four Normal Size Hydropower Stations in China. Sustainability 2018, 10, 2018. [Google Scholar] [CrossRef] [Green Version]
- Tang, W.; Li, Z.; Tu, Y. Sustainability Risk Evaluation for Large-Scale Hydropower Projects with Hybrid Uncertainty. Sustainability 2018, 10, 138. [Google Scholar] [CrossRef] [Green Version]
- Feng, G.; Xia, G.; Chen, B.; Xiao, Y.; Zhou, R. A Method for Rockburst Prediction in the Deep Tunnels of Hydropower Stations Based on the Monitored Microseismicity and an Optimized Probabilistic Neural Network Model. Sustainability 2019, 11, 3212. [Google Scholar] [CrossRef] [Green Version]
- Martin, C.; Kaiser, P.; McCreath, D. Hoek-Brown parameters for predicting the depth of brittle failure around tunnels. Can. Geotech. J. 1999, 36, 136–151. [Google Scholar] [CrossRef]
- Cai, M.; Kaiser, P. Rockburst Support Reference Book—Volume I: Rockburst Phenomenon and Support Characteristics; MIRARCO- Mining Innovation: Sudbury, ON, Canada, 2018; pp. 40–47. [Google Scholar]
- Jiang, Q.; Feng, X.T.; Fan, Y.; Fan, Q.; Liu, G.; Pei, S.; Duan, S. In situ experimental investigation of basalt spalling in a large underground powerhouse cavern. Tunn. Undergr. Space Technol. 2017, 68, 82–94. [Google Scholar] [CrossRef]
- Wu, W.; Feng, X.; Zhang, C.; Qiu, S. Classification of failure modes and controlling measures for surrounding rock of deep tunnel in hard rock. Chin. J. Rock Mech. Eng. 2011, 30, 1782–1801. [Google Scholar]
- Zhou, H.; Meng, F.; Zhang, C.; Lu, J.; Xu, R. Effect of structural plane on rockburst in deep hard rock tunnels. Chin. J. Rock Mech. Eng. 2015, 34, 720–727. [Google Scholar]
- He, M.C.; Miao, J.L.; Li, D.; Wang, C.G. Experimental study on rockburst processes of granite specimen at great depth. Chin. J. Rock Mech. Eng. 2007, 26, 865–876. [Google Scholar]
- He, M.C.; Miao, J.L.; Feng, J.L. Rock burst process of limestone and its acoustic emission characteristics under true-triaxial unloading conditions. Int. J. Rock Mech. Min. Sci. 2010, 47, 286–298. [Google Scholar] [CrossRef]
- Chen, Z.Y.; Su, G.S.; Ju, J.W.; Jiang, J.Q. Experimental study on energy dissipation of fragments during rockburst. Bull. Eng. Geol. Environ. 2019, 78, 5369–5386. [Google Scholar] [CrossRef]
- Su, G.S.; Jiang, J.Q.; Feng, X.T.; Jiang, Q.; Chen, Z.Y.; Mo, J.H. Influence of loading rate on strainburst: An experimental study. Bull. Eng. Geol. Environ. 2019, 78, 3559–3573. [Google Scholar] [CrossRef]
- Zhai, S.B.; Su, G.S.; Yin, S.D.; Zhao, B.; Yan, L.B. Rockburst characteristics of several hard brittle rocks: A true triaxial experimental study. J. Rock. Mech. Geotech. 2020, 12, 279–296. [Google Scholar] [CrossRef]
- Hu, X.C.; Su, G.S.; Chen, G.Y.; Mei, S.M.; Feng, X.T.; Mei, G.X.; Huang, X.H. Experiment on rockburst process of borehole and its acoustic emission characteristics. Rock Mech. Rock Eng. 2019, 52, 783–802. [Google Scholar] [CrossRef]
- Si, X.F.; Gong, F.Q.; Luo, Y.; Li, X.B. Experimental simulation on rockburst process of deep three-dimensional circular cavern. Rock Soil Mech. 2018, 39, 621–634. [Google Scholar]
- Gong, F.Q.; Si, X.F.; Li, X.B.; Wang, S.Y. Experimental investigation of strain rockburst in circular caverns under deep three-dimensional high-stress conditions. Rock Mech. Rock Eng. 2019, 52, 1459–1474. [Google Scholar] [CrossRef]
- Liang, P.; Zhang, Y.B.; Tian, B.Z.; Yao, X.L.; Sun, L.; Liu, X.X. Experimental study on energy evolution characteristics in the process of tunnel rock burst. Chin. J. Rock Mech. Eng. 2019, 38, 736–746. [Google Scholar]
- Liu, F.; Tang, C.A.; Ma, T.H.; Tang, L.X. Characterizing rockbursts along a structural plane in a tunnel of the Hanjiang-to-Weihe river diversion project by microseismic monitoring. Rock Mech. Rock Eng. 2019, 52, 1835–1856. [Google Scholar] [CrossRef]
- Sun, S.R.; Sun, H.Y.; Wang, Y.J.; Wei, J.; Liu, J.H.; Kanungo, D.P. Effect of the combination characteristics of rock structural plane on the stability of a rock-mass slope. Bull. Eng. Geol. Environ. 2014, 73, 987–995. [Google Scholar] [CrossRef]
- Durrheim, R.J.; Roberts, M.K.C.; Haile, A.T.; Hagan, T.O.; Jager, A.J.; Handley, M.F.; Spottiswoode, S.M.; Ortlepp, W.D. Factors influencing the severity of rockburst damage in South African gold mines. J. S. Afr. Inst. Min. Met. 1998, 98, 53–57. [Google Scholar]
- Hu, L.; Feng, X.T.; Xiao, Y.X.; Wang, R.; Feng, G.L.; Yao, Z.B.; Niu, W.J.; Zhang, W. Effects of structural planes on rockburst position with respect to tunnel cross-sections: A case study involving a railway tunnel in China. Bull. Eng. Geol. Environ. 2020, 79, 1061–1081. [Google Scholar] [CrossRef]
- Zhang, C.Q.; Feng, X.T.; Zhou, H.; Qiu, S.L.; Wu, W.P. Case histories of four extremely intense rockbursts in deep tunnels. Rock Mech. Rock Eng. 2012, 45, 275–288. [Google Scholar] [CrossRef]
- Zhou, H.; Meng, F.Z.; Zhang, C.Q.; Hu, D.W.; Yang, F.J.; Lu, J.J. Analysis of rockburst mechanisms induced by structural planes in deep tunnels. Bull. Eng. Geol. Environ. 2015, 74, 1435–1451. [Google Scholar] [CrossRef]
- Zhang, C.Q.; Feng, X.T.; Zhou, H.; Qiu, S.L.; Wu, W.P. Rockmass damage development following two extremely intense rockbursts in deep tunnels at Jinping II hydropower station, southwestern China. Bull. Eng. Geol. Environ. 2013, 72, 237–247. [Google Scholar] [CrossRef]
- Manouchehrian, A.; Cai, M. Numerical modeling of rockburst near fault zones in deep tunnels. Tunn. Undergr. Space Technol. 2018, 80, 164–180. [Google Scholar] [CrossRef]
- Xu, X.L.; Wu, S.C.; Gao, Y.T.; Xu, M.F. Effects of micro-structure and micro-parameters on Brazilian tensile strength using flat-joint model. Rock Mech. Rock Eng. 2016, 49, 3575–3595. [Google Scholar] [CrossRef]
- Jing, L. A review of techniques, advances and outstanding issues in numerical modelling for rock mechanics and rock engineering. Int. J. Rock Mech. Min. Sci. 2003, 40, 283–353. [Google Scholar] [CrossRef]
- Hazzard, J.F.; Collins, D.S.; Pettitt, W.S.; Young, R.P. Simulation of Unstable Fault Slip in Granite Using a Bonded-particle Model. Pure Appl. Geophys. 2002, 159, 221–245. [Google Scholar] [CrossRef]
- Potyondy, D.O. A flat-jointed bonded-particle material for hard rock. In Proceedings of the 46th US Rock Mechanics/Geomechanics Symposium, Chicago, IL, USA, 24–27 June 2012. [Google Scholar]
- Potyondy, D.O. PFC 2D Flat Flat-Joint Contact Model; Technical Memorandum ICG7138-L; Itasca Consulting Group, Inc.: Minneapolis, MN, USA, 2012. [Google Scholar]
- Wu, S.C.; Xu, X.L. A study of three intrinsic problems of the classic discrete element method using flat-joint model. Rock Mech. Rock Eng. 2016, 49, 1813–1830. [Google Scholar] [CrossRef]
- Potyondy, D.O. The bonded-particle model as a tool for rock mechanics research and application: Current trends and future directions. Geosyst. Eng. 2015, 18, 1–28. [Google Scholar] [CrossRef]
- Wu, S.; Chen, L.; Cheng, Z. Macro and meso research on the zonal disintegration phenomenon and the mechanism of deep brittle rock mass. Eng. Fract. Mech. 2019, 211, 254–268. [Google Scholar] [CrossRef]
- Duan, K.; Kwok, C.; Pierce, M. Discrete element method modeling of inherently anisotropic rocks under uniaxial compression loading. Int. J. Numer. Anal. Methods 2016, 40, 1150–1183. [Google Scholar] [CrossRef]
- Mas Ivars, D.; Potyondy, D.O.; Pierce, M.; Cundall, P.A. The smooth-joint contact model. In Proceedings of the 8th World Congress on Computational Mechanics/5th European Congress on Computational Methanics and Applied Science and Engineering, Venice, Italy, 30 June–4 July 2008. [Google Scholar]
- Hu, W.R.; Kwok, C.; Duan, K.; Wang, T. Parametric study of the smooth-joint contact model on the mechanical behavior of jointed rock. Int. J. Numer. Anal. Methods 2018, 42, 358–376. [Google Scholar] [CrossRef]
- Zhao, J.; Feng, X.T.; Zhang, X.W.; Zhang, Y.; Zhou, Y.Y.; Yang, C.X. Brittle-ductile transition and failure mechanism of Jinping marble under true triaxial compression. Eng. Geol. 2018, 232, 160–170. [Google Scholar] [CrossRef]
- Zhao, X.J.; Chen, B.R.; Zhao, H.B.; Jie, B.H.; Ning, Z.F. Laboratory creep tests for time-dependent properties of a marble in Jinping II hydropower station. J. Rock. Mech. Geotech. 2012, 4, 168–176. [Google Scholar] [CrossRef] [Green Version]
- Zhang, C.S.; Chu, W.J.; Liu, N.; Zhu, Y.S.; Hou, J. Laboratory tests and numerical simulations of brittle marble and squeezing schist at Jinping II hydropower station, China. J. Rock. Mech. Geotech. 2011, 3, 30–38. [Google Scholar] [CrossRef] [Green Version]
- Jiang, Q.; Zhong, S.; Cui, J.; Feng, X.T.; Song, L.B. Statistical characterization of the mechanical parameters of intact rock under triaxial compression: An experimental proof of the Jinping marble. Rock Mech. Rock Eng. 2016, 49, 4631–4646. [Google Scholar] [CrossRef]
- Zheng, Z.; Feng, X.T.; Yang, C.X.; Zhang, X.W.; Li, S.J.; Qiu, S.L. Post-peak deformation and failure behaviour of Jinping marble under true triaxial stresses. Eng. Geol. 2020, 265, 105444. [Google Scholar] [CrossRef]
- Wang, B.; Zhu, J.B.; Wu, A.Q.; Hu, J.M.; Xiong, Z.M. Experimental study on mechanical properties of Jinping marble under loading and unloading stress paths. Chin. J. Rock Mech. Eng. 2008, 27, 2138–2145. [Google Scholar]
- Zhou, H.; Yang, Y.S.; Xiao, H.B.; Zhang, C.Q.; Fu, Y.P. Research on loading rate effect of tensile strength property of hard brittle marble-test characteristics and mechanism. Chin. J. Rock Mech. Eng. 2013, 32, 1868–1875. [Google Scholar]
- Feng, G.L.; Feng, X.T.; Chen, B.R.; Xiao, Y.X.; Zhao, Z.N. Effects of structural planes on the microseismicity associated with rockburst development processes in deep tunnels of the Jinping-II Hydropower Station, China. Tunn. Undergr. Space Technol. 2019, 84, 273–280. [Google Scholar] [CrossRef]
- Duan, K.; Ji, Y.L.; Xu, N.W.; Wan, Z.J.; Wu, W. Excavation-induced fault instability: Possible causes and implications for seismicity. Tunn. Undergr. Space Technol. 2019, 92, 103041. [Google Scholar] [CrossRef]
- Cao, R.H.; Yao, R.B.; Hu, T.; Wang, C.S.; Li, K.H.; Meng, J.J. Failure and mechanical behavior of transversely isotropic rock under compression-shear tests: Laboratory testing and numerical simulation. Eng. Fract. Mech. 2021, 241, 107389. [Google Scholar] [CrossRef]
- Sarfarazi, V.; Haeri, H.; Safavi, S.; Marji, M.F.; Zhu, Z.M. Interaction between two neighboring tunnel using PFC2D. Struct. Eng. Mech. 2019, 71, 77–87. [Google Scholar]
- Zhu, W.C.; Li, Z.H.; Zhu, L.; Tang, C.A. Numerical simulation on rockburst of underground opening triggered by dynamic disturbance. Tunn. Undergr. Space Technol. 2010, 25, 587–599. [Google Scholar] [CrossRef]
- Wang, S.Y.; Sloan, S.W.; Tang, C.A.; Zhu, W.C. Numerical simulation of the failure mechanism of circular tunnels in transversely isotropic rock masses. Tunn. Undergr. Space Technol. 2012, 32, 231–244. [Google Scholar] [CrossRef]
- Khademian, Z.; Ugur, O. Computational framework for simulating rock burst in shear and compression. Int. J. Rock Mech. Min. Sci. 2018, 110, 279–290. [Google Scholar] [CrossRef]
- Khademian, Z.; Ozbay, U. Modeling violent rock failures in tunneling and shaft boring based on energy balance calculations. Tunn. Undergr. Space Technol. 2019, 90, 62–75. [Google Scholar] [CrossRef]
- Haimson, B. Micromechanisms of borehole instability leading to breakouts in rocks. Int. J. Rock Mech. Min. Sci. 2007, 44, 157–173. [Google Scholar] [CrossRef]
- Liu, X.X.; Zhan, S.B.; Zhang, Y.B.; Wang, X.L.; Liang, Z.Z.; Tian, B.Z. The mechanical and fracturing of rockburst in tunnel and its acoustic emission characteristics. Shock Vib. 2018, 1–11. [Google Scholar] [CrossRef]
- Li, D.Y.; Zhu, Q.Q.; Zhou, Z.L.; Li, X.B.; Ranjith, P. Fracture analysis of marble specimens with a hole under uniaxial compression by digital image correlation. Eng. Fract. Mech. 2017, 183, 109–124. [Google Scholar] [CrossRef]
- Zhang, C.Q.; Feng, X.T.; Zhou, H.; Qiu, S.L.; Wu, W.P. A top pilot tunnel preconditioning method for the prevention of extremely intense rockbursts in deep tunnels excavated by TBMs. Rock Mech. Rock Eng. 2012, 45, 289–309. [Google Scholar] [CrossRef]
- Bahaaddini, M.; Hagan, P.; Mitra, R.; Hebblewhite, B. Parametric study of smooth joint parameters on the shear behaviour of rock joints. Rock Mech. Rock Eng. 2015, 48, 923–940. [Google Scholar] [CrossRef]
- Lambert, C.; Coll, C. Discrete modeling of rock joints with a smooth-joint contact model. J. Rock Mech. Geotech. 2014, 6, 1–12. [Google Scholar] [CrossRef] [Green Version]
- Huan, J.Y.; He, M.M.; Zhang, Z.Q.; Li, N.; Nascimbene, R. A New Method to Estimate the Joint Roughness Coefficient by Back Calculation of Shear Strength. Adv. Civ. Eng. 2019, 1–11. [Google Scholar] [CrossRef] [Green Version]
- Li, X.F.; Li, X.; Li, H.B.; Zhang, Q.B.; Zhao, J. Dynamic tensile behaviours of heterogeneous rocks: The grain scale fracturing characteristics on strength and fragmentation. Int. J. Impact Eng. 2018, 118, 98–118. [Google Scholar] [CrossRef]
- Peng, J.; Wong, L.N.Y.; Teh, C.I. Influence of grain size heterogeneity on strength and microcracking behavior of crystalline rocks. J. Geophys. Res. Solid Earth 2017, 122, 1054–1073. [Google Scholar] [CrossRef] [Green Version]
- Tang, C.A.; Liu, H.; Lee, P.K.K.; Tsui, Y.; Tham, L.G. Numerical studies of the influence of microstructure on rock failure in uniaxial compression—part I: Effect of heterogeneity. Int. J. Rock Mech. Min. Sci. 2000, 37, 555–569. [Google Scholar] [CrossRef]
- Tang, C.A. Numerical simulation of progressive rock failure and associated seismicity. Int. J. Rock Mech. Min. Sci. 1997, 34, 249–261. [Google Scholar] [CrossRef]
- Dai, S.; Gao, W.; Wang, C.; Xiao, T. Damage Evolution of Heterogeneous Rocks Under Uniaxial Compression Based on Distinct Element Method. Rock Mech. Rock Eng. 2019, 52, 2631–2647. [Google Scholar] [CrossRef]
- Wong, T.F.; Wong, R.H.; Chau, K.T.; Tang, C.A. Microcrack statistics, Weibull distribution and micromechanical modeling of compressive failure in rock. Mech. Mater. 2006, 38, 664–681. [Google Scholar] [CrossRef]
- Bahaaddini, M.; Sheikhpourkhani, A.M.; Mansouri, H. Flat-joint model to reproduce the mechanical behaviour of intact rocks. Eur. J. Environ. Civ. Eng. 2019, 1–22. [Google Scholar] [CrossRef]
- Chen, P.Y. Effects of microparameters on macroparameters of flat-jointed bonded-particle materials and suggestions on trial-and-error method. Geotech. Geol. Eng. 2017, 35, 663–677. [Google Scholar] [CrossRef]
- Fairhurst, C.; Hudson, J.A. Draft ISRM suggested method for the complete stress-strain curve for intact rock in uniaxial compression. Int. J. Rock Mech. Min. Sci. 1999, 36, 279–289. [Google Scholar]
- International Society for Rock Mechanics. Suggested methods for determining tensile strength of rock materials. Int. J. Rock Mech. Min. Sci. Geomech. Abstr. 1978, 15, 99–103. [Google Scholar] [CrossRef]
- Ding, X.B.; Zhang, L.Y.; Zhu, H.H.; Zhang, Q. Effect of model scale and particle size distribution on PFC3D simulation results. Rock Mech. Rock Eng. 2014, 47, 2139–2156. [Google Scholar] [CrossRef]
- Koyama, T.; Jing, L. Effects of model scale and particle size on micro-mechanical properties and failure processes of rocks—A particle mechanics approach. Eng. Anal. Bound. Elem. 2007, 31, 458–472. [Google Scholar] [CrossRef]




























| Category | UCS (MPa) | TS (MPa) | Poisson’s Ratio | Elastic Modulus (GPa) |
|---|---|---|---|---|
| Laboratory test | 114.2 | 6.5 | 0.26 | 42.8 |
| FJM results | 113.6 | 5.4 | 0.26 | 43.4 |
| Micro-Parameters | Value |
|---|---|
| Installation gap ratio, gratio | 0.3 |
| Bonded element fraction, | 0.9 |
| Slit element friction, | 0.1 |
| Contact elements, N | 2 |
| Effective modulus of both particle and bond, (MPa) | 35 |
| Ratio of normal to shear stiffness of particle and bond (GPa) | 1.5 |
| Bond tensile strength, (MPa) | 8.7 |
| Bond cohesion strength, (MPa) | 50.5 |
| 5 | 5 | 0.7 | 0 | 0 | 0 |
Publisher’s Note: MDPI stays neutral with regard to jurisdictional claims in published maps and institutional affiliations. |
© 2021 by the authors. Licensee MDPI, Basel, Switzerland. This article is an open access article distributed under the terms and conditions of the Creative Commons Attribution (CC BY) license (https://creativecommons.org/licenses/by/4.0/).
Share and Cite
Zhang, C.; Li, D.; Wu, S.; Chen, L.; Peng, J. Study on Evolution Mechanism of Structure-Type Rockburst: Insights from Discrete Element Modeling. Sustainability 2021, 13, 8036. https://doi.org/10.3390/su13148036
Zhang C, Li D, Wu S, Chen L, Peng J. Study on Evolution Mechanism of Structure-Type Rockburst: Insights from Discrete Element Modeling. Sustainability. 2021; 13(14):8036. https://doi.org/10.3390/su13148036
Chicago/Turabian StyleZhang, Chenxi, Diyuan Li, Shunchuan Wu, Long Chen, and Jun Peng. 2021. "Study on Evolution Mechanism of Structure-Type Rockburst: Insights from Discrete Element Modeling" Sustainability 13, no. 14: 8036. https://doi.org/10.3390/su13148036
APA StyleZhang, C., Li, D., Wu, S., Chen, L., & Peng, J. (2021). Study on Evolution Mechanism of Structure-Type Rockburst: Insights from Discrete Element Modeling. Sustainability, 13(14), 8036. https://doi.org/10.3390/su13148036

