Assessment of Microalgae Oil as a Carbon-Neutral Transport Fuel: Engine Performance, Energy Balance Changes, and Exhaust Gas Emissions
Abstract
1. Introduction
2. Materials and Methods
3. Results
3.1. In-Cylinder Processes
3.2. Engine Operational Performance
3.2.1. Brake Specific Fuel Consumption (BSFC)
3.2.2. Brake Thermal Efficiency (BTE)
3.2.3. Exhaust Gas Temperature
3.3. Emission Characteristics
3.3.1. Smoke Opacity
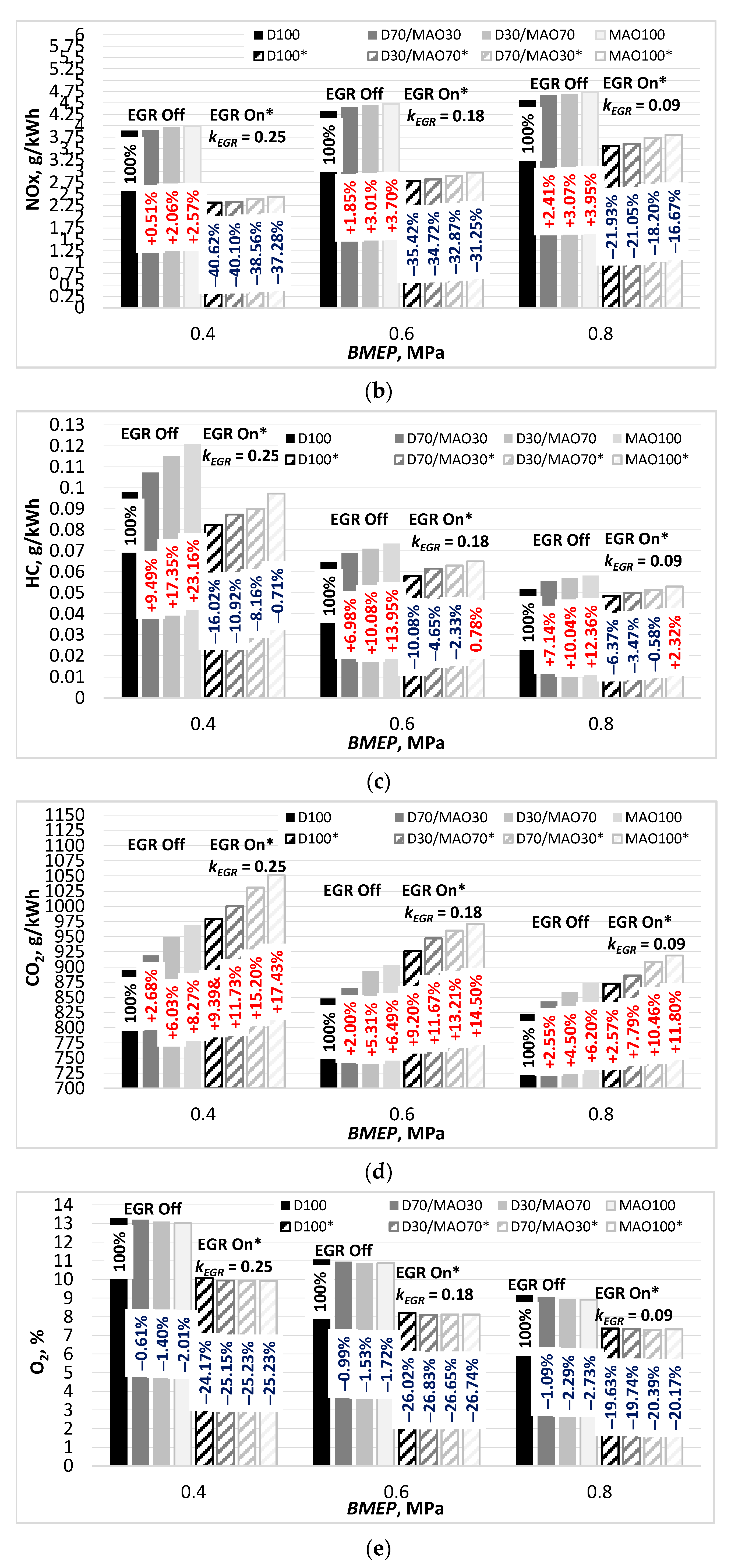
3.3.2. NOx
- Chemical mechanism that was already described in the above chapter states that increased dissociation of the more complex triatomic molecules reduces the heat released.
- Thermal mechanism—the increased heat capacity of the triatomic molecules in the recirculated gases results in lower flame temperatures.
- Dilution mechanism—the potentially increased mixing time and longer burn dilution caused by the dilution effect of the EGR results in lower flame temperatures.
3.3.3. HC
3.3.4. CO2
3.3.5. Oxygen Content
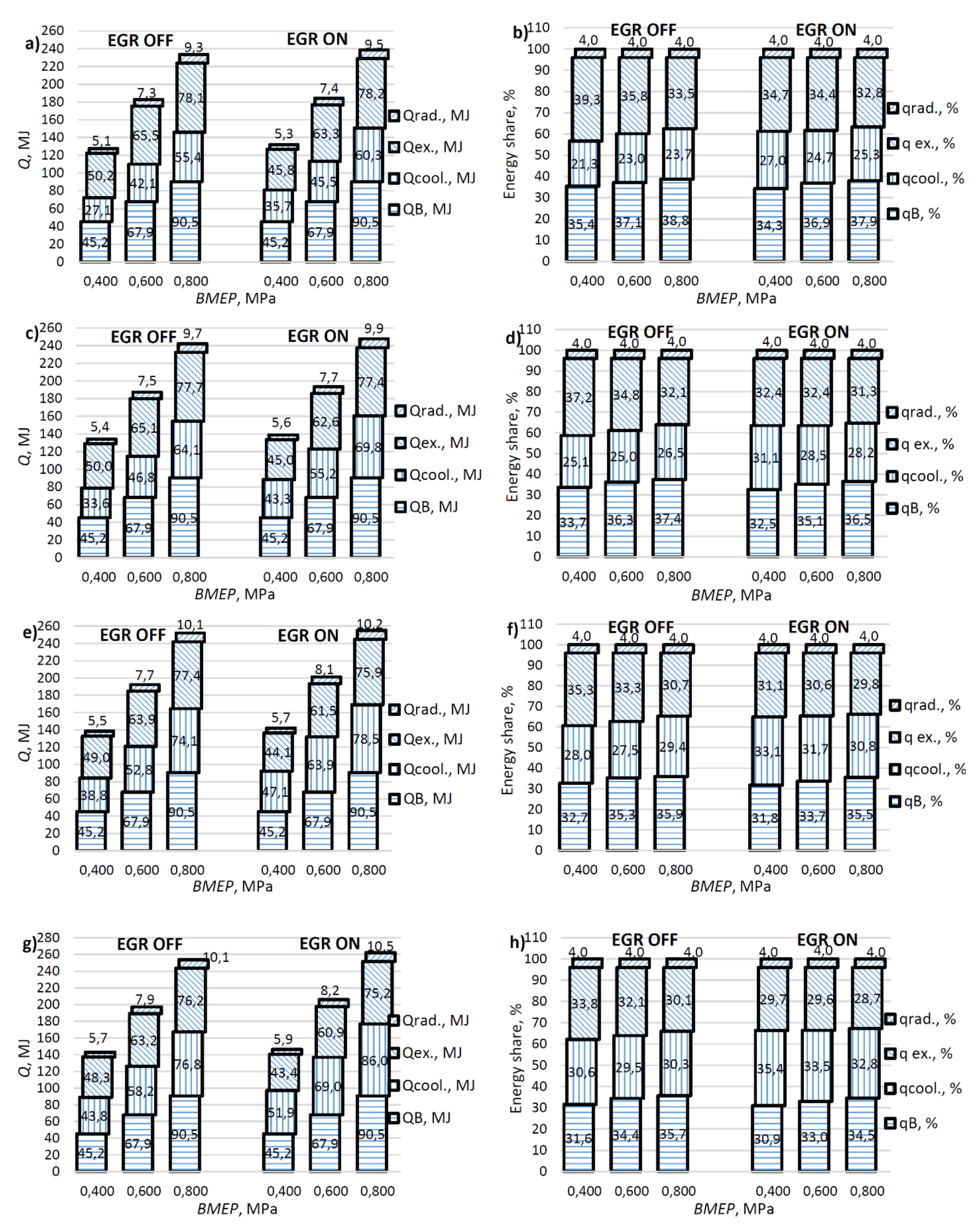
3.4. Energy Balance Assessment
4. Conclusions
- (1)
- Due to higher density and lower energy content, microalgae oil distinguishes for a longer injection duration compared to diesel fuel that predetermines higher values of heat release rate during the mixing controlled combustion phase what, at the same time, positively influences the better burn out of the solid particles and the overall decrease in smoke opacity.
- (2)
- The higher values of in-cylinder pressure and in-cylinder temperature facilitate the ignition (heats the unburned portion of the charge) and shorten the delay before its ignition. In the case of microalgae oil as a product of biological origin having high oxygen content, this helps to avoid the sharp increase in NOx emissions.
- (3)
- Microalgae oil produces a much more intensive reaction zone during the mixing-controlled combustion phase, which, as a consequence, leads to a more complete combustion process and better fuel efficiency (mass burnt per energy produced).
- (4)
- Results revealed that the exhaust gas recirculation (EGR) system reduces the in-cylinder temperature that can be explained by the following facts:
- Lower heat release rate, in-cylinder temperature, and air-fuel ratio acted in favour of NOx reduction as well as prevented the formation of this harmful compound;
- In the case of prolonged combustion, more heat from the combustion gases is transferred to and conducted through the cylinder walls that increases the amount of heat energy delivered through the cooling system in the form of heat loss. This lead to an increase in fuel consumption.
- (5)
- The fuel energy rate transferred to the engine’s effective power as well as lost energy rate were calculated for each fuel and then compared to each other:
- At EGR-Off mode, microalgae oil demonstrated on average in −10.8% (BMEP = 0.4 MPa), −7.3% (BMEP = 0.6 MPa) and −11.0% (BMEP = 0.8 MPa) lower energy losses (in MJ) if compared to diesel fuel;
- At 18% EGR mode, MAO100 demonstrated on average in −3.3%, −4.3% and −3.3% lower energy losses than D100 for the same loads, respectively.
- (6)
- The study has found that microalgae oil and its 30/70 and 70/30 blends with conventional diesel are more or less equally sensitive to key engine parameters compared with pure diesel fuel, and potentially can be adopted to the CI engine of a passenger car, type 1Z, as well as to the entire family of industrial diesel engines [41].
Author Contributions
Funding
Institutional Review Board Statement
Informed Consent Statement
Acknowledgments
Conflicts of Interest
Nomenclature
| Latin symbols | |
| Ai | Percentage composition of each fatty acid in the microalgae oil |
| cp | Specific heat capacity (MJ/kg K) |
| D | Number of double bonds present in each unsaturated fatty acid |
| HRPREMIX | Heat release during the premixed phase of combustion |
| kEGR | EGR coefficient |
| mair | Mass of fresh intake air at EGR Off mode (kg/h) |
| mair_EGR | Mass of fresh intake air in the total intake mixture when EGR is On (kg/h) |
| mEGR | Mass of recirculated gases introduced to engine cylinders (kg/h) |
| Mwi | Molecular weight of each fatty acid or its ester component |
| mf | Fuel mass (kg) |
| n | Engine speed (rpm) |
| QB | Brake power energy (MJ) |
| Qcool | Energy transferred to the cooling medium (MJ) |
| Qi.c. | Enthalpy flux of the exhaust gases (MJ) |
| Qf | Chemical energy stored in the fuel (input energy) (MJ) |
| Qrad. | Radiation from the engine’s external surfaces (MJ) |
| ROHRMAX | Maximum value of heat flux (J/degCA) |
| SOC | Start of combustion (degCA) |
| SOI | Start of injection (degCA) |
| T | Temperature (K) |
| Tex | Exhaust gas temperature (K) |
Abbreviations
| BMEP: | Brake mean effective pressure (MPa) |
| BSFC: | Brake specific fuel consumption (g/kWh) |
| BTE: | Brake thermal efficiency |
| CA: | Crankshaft rotation angle |
| CI: | Compression ignition |
| CN: | Cetane number |
| CO2: | Carbon dioxide (g/kWh) |
| D100: | Pure diesel fuel |
| D70/MAO30 | Binary blend comprised of microalgae oil (30%) and diesel fuel (70%) |
| D30/MAO70 | Binary blend comprised of microalgae oil (70%) and diesel fuel (30%) |
| degCA: | Crankshaft rotation angle degrees |
| EGR | Exhaust gas recirculation |
| GHG: | Greenhouse gases |
| HC: | Hydrocarbons (g/kWh) |
| HHV: | Higher heating value (MJ/kg) |
| HRR: | Heat of release rate (J/degCA) |
| LHV: | Lower heating value (MJ/kg) |
| MAO100: | Pure microalgae oil |
| MFB: | Mass fuel burnt |
| NOx: | Nitrogen oxides (g/kWh) |
| O2: | Oxygen (%) |
| OEM: | Original equipment manufacturers |
| ROHR: | Rate of heat release (J/degCA) |
| SO2: | Sulfur dioxide |
| SR: | Stoichiometric ratio |
| TRL: | Technology readiness level |
References
- Goulden, M.; Ryley, T.; Dingwall, R. Beyond ‘predict and provide’: UK transport, the growth paradigm and climate change. Transp. Policy 2014, 32, 139–147. [Google Scholar] [CrossRef]
- Tsaousis, P.; Wang, Y.; Roskilly, A.P.; Caldwell, G.S. Algae to energy: Engine performance using raw algal oil. Energy Procedia 2014, 61, 656–659. [Google Scholar] [CrossRef]
- Arvindnarayan, S.; Prabhu, K.K.S.; Shobana, S.; Dharmaraja, J.; Pasupathy, S. Algal biomass energy carriers as fuels: An alternative green source. J. Energy Inst. 2017, 90, 300–315. [Google Scholar] [CrossRef]
- Hellier, P.; Ladommatos, N.; Yusaf, T. The influence of straight vegetable oil fatty acid composition on compression ignition combustion and emissions. Fuel 2015, 143, 131–143. [Google Scholar] [CrossRef]
- Karthikeyan, S.; Periyasamy, M.; Prathima, A. Performance characteristics of CI engine using Chlorella Vulgarismicroalgae oil as a pilot dual fuel blends. Mater. Today Proc. 2020, 33, 3277–3282. [Google Scholar] [CrossRef]
- Raslavičius, L.; Bazaras, Ž. The possibility of increasing the quantity of oxygenates in fuel blends with no diesel engine modifications. Transport 2010, 25, 81–88. [Google Scholar] [CrossRef][Green Version]
- Pearson, R.J.; Eisaman, M.D.; Turner, J.W.G.; Edwards, P.P.; Jiang, Z.; Kuznetsov, V.L.; Littau, K.A.; Di Marco, L.; Taylor, S.R.G. Energy storage via carbon-neutral fuels made from CO2 water, and renewable energy. Proc. IEEE 2012, 100, 440–460. [Google Scholar] [CrossRef]
- Jacquot, J.E. Biofuel Comparison Chart: The “Good,” the Bad and the (Really) Ugly. Treehugger. 2008. Available online: https://www.treehugger.com/clean-technology/biofuel-comparison-chart-the-good-the-bad-and-the-really-ugly.html (accessed on 20 March 2021).
- Peng, T.; Zhou, S.; Yuan, Z.; Ou, X. Life cycle greenhouse gas analysis of multiple vehicle fuel pathways in China. Sustainability 2017, 9, 2183. [Google Scholar] [CrossRef]
- Lynes, J. Dealerships are a tipping point. Nat. Energy 2018, 3, 457–458. [Google Scholar] [CrossRef]
- Fairley, P. Introduction: Next generation biofuels. Nature 2011, 474, S2–S5. [Google Scholar] [CrossRef]
- Geuss, M. Price vs Cost—Fuel Economy Standards Kill People, Trump Administration Claims. Available online: https://arstechnica.com/cars/2018/08/epas-rationale-for-slicing-fuel-standards-rife-with-logical-fallacies/ (accessed on 3 March 2021).
- U.S. DOT and EPA Propose SAFE Vehicles Rule. National Highway Traffic Safety Administration (NHTSA). Available online: https://www.nhtsa.gov/corporate-average-fuel-economy/safe (accessed on 3 February 2021).
- Agarwal, A.K.; Gupta, J.G.; Dhar, A. Potential and challenges for large-scale application of biodiesel in automotive sector. Prog. Energy Combust. 2017, 61, 113–149. [Google Scholar] [CrossRef]
- Global Algae Biofuel Market Will Reach USD 9.88 Billion by 2024: Zion Market Research. 2018. Available online: https://globenewswire.com/news-release/2018/07/09/1534625/0/en/Global-Algae-Biofuel-Market-Will-Reach-USD-9-88-Billion-by-2024-Zion-Market-Research.html (accessed on 15 April 2021).
- State of Technology Review—Algae Bioenergy. An IEA Bioenergy Inter-Task Strategic Project. IEA Bioenergy: Task 39: January 2017. Available online: https://www.ieabioenergy.com/blog/publications/state-of-technology-review-algae-bioenergy/ (accessed on 17 April 2021).
- Paraskova, T. Is this Exxon’s Secret Weapon against Electric Cars? 2017. Available online: https://oilprice.com/Energy/Energy-General/Is-This-Exxons-Secret-Weapon-Against-Electric-Cars.html (accessed on 12 April 2021).
- Folayan, A.J.; Anawe, P.A.L.; Aladejare, A.E.; Ayeni, A.O. Experimental investigation of the effect of fatty acids configuration, chain length, branching and degree of unsaturation on biodiesel fuel properties obtained from lauric oils, high-oleic and high-linoleic vegetable oil biomass. Energy Rep. 2019, 5, 793–806. [Google Scholar] [CrossRef]
- De Serio, D.; De Oliveira, A.; Sodre, J.R. Effects of EGR rate on performance and emissions of a diesel power generator fueled by B7. J. Braz. Soc. Mech. Sci. 2017, 39, 1919–1927. [Google Scholar] [CrossRef][Green Version]
- Raslavičius, L.; Felneris, M.; Pukalskas, S.; Rimkus, A.; Melaika, M. Evaluation of P. moriformis oil and its blends with diesel fuel as promising contributors to transportation energy. Energy 2019, 189, 116196. [Google Scholar] [CrossRef]
- Heywood, J. Internal Combustion Engine Fundamentals, 2nd ed.; McGraw-Hill Education: New York, NY, USA, 2018. [Google Scholar]
- Zamboni, G.; Capobianco, M. Effects of rail pressure control on fuel consumption, emissions and combustion parameters in a turbocharged diesel engine. Cogent Eng. 2020, 7, 1724848. [Google Scholar] [CrossRef]
- Reifarth, S. Efficiency and Mixing Analysis of EGR-Systems for Diesel Engines. Ph.D. Thesis, Royal Institute of Technology, Stockholm, Sweden, 2014. [Google Scholar]
- Saravanan, P.; Kumar, N.M.; Ettappan, M.; Dhanagopal, R.; Vishnupriyan, J. Effect of exhaust gas re-circulation on performance, emission and combustion characteristics of ethanol-fueled diesel engine. Case Stud. Therm. Eng. 2020, 20, 100643. [Google Scholar] [CrossRef]
- Zhang, L.; He, Z.; Wang, Q.; Guo, G. Effect of nozzle hole size coupling with exhaust gas re-circulation on the engine emission performance based on KH-ACT spray model. Therm. Sci. 2015, 9, 2003–2012. [Google Scholar] [CrossRef]
- Hunicz, J.; Matijosius, J.; Rimkus, A.; Kilikevičius, A.; Mikulski, M. Efficient hydrotreated vegetable oil combustion under partially premixed conditions with heavy exhaust gas recirculation. Fuel 2020, 268, 117350. [Google Scholar] [CrossRef]
- Abd-Elhady, M.S.; Malayeri, M.R.; Muller-Steinhagen, H. Fouling problems in exhaust gas recirculation coolers in the automotive industry. Heat Transf. Eng. 2011, 32, 248–257. [Google Scholar] [CrossRef]
- Armas, O.; Hernandez, J.J.; Cardenas, M.D. Reduction of diesel smoke opacity from vegetable oil methylesters during transient operation. Fuel 2006, 85, 2427–2438. [Google Scholar] [CrossRef]
- Hiroyasu, H.; Arai, M.; Nakanishi, K. Soot formation and oxidation in diesel engines. SAE Trans. 1980, 89, 1148–1162. [Google Scholar]
- Dimitriadis, A.; Natsios, I.; Dimaratos, A.; Katsaounis, D.; Samaras, Z.; Bezergianni, S.; Lehto, K. Evaluation of a hydrotreated vegetable oil (HVO) and effects on emissions of a passenger car diesel engine. Front. Mech. Eng. 2018, 4, 7. [Google Scholar] [CrossRef]
- Savant, G.S. Characterization and Combustion Performance of Corn Oil-Based Biofuel Blends. Master’s Thesis, Texas A&M University, College Station, TX, USA, 2012. [Google Scholar]
- Kennedy, I.M.; Milhacea, R.; Kostka, R.J.; Cramer, M.; Pasek, R.; Chang, D.P.Y. NOx and hydrocarbon emissions from a diesel engine fueled on digester gas. Combust. Sci. Technol. 1997, 123, 63–82. [Google Scholar] [CrossRef]
- Ladommatos, N.; Adelhalim, S.M.; Zhao, H.; Hu, Z. The effects of carbon dioxide in exhaust gas recirculation on diesel engine emissions. J. Automob. Eng. 1998, 212, 25–42. [Google Scholar] [CrossRef]
- Prasad, B.V.V.S.U.; Sharma, C.S.; Anand, T.N.C.; Ravikrishna, R.V. High swirl-inducing piston bowls in small diesel engines for emission reduction. Appl. Energy 2011, 88, 2355–2367. [Google Scholar] [CrossRef]
- Dreeben, T.; Millen, L.; Wells, M.; Woolworth, J. Effect of SAC Volume on Injector Performance; SAE Technical Paper 920680; SAE International: Warrendale, PA, USA, 1992. [Google Scholar] [CrossRef]
- Zhu, X.; Venderbosch, R. A correlation between stoichiometrical ratio of fuel and its higher heating value. Fuel 2005, 84, 1007–1010. [Google Scholar] [CrossRef]
- Coronado, C.R.; de Carvalho, J.A., Jr.; Silveira, J.L. Biodiesel CO2 emissions: A comparison with the main fuels in the Brazilian market. Fuel Process. Technol. 2009, 90, 204–211. [Google Scholar] [CrossRef]
- Elliott, M.A.; Nebel, G.J.; Rounds, F.G. The composition of exhaust gases from diesel, gasoline and propane powered motor coaches. J. Air Pollut. Control Assoc. 1955, 5, 103–108. [Google Scholar] [CrossRef]
- Guide to Diesel Exhaust Emissions Control of NOx, SOx, Particulates, Smoke and CO2. CIMAC—The International Council on Combustion Engines. 2008. Available online: https://www.cimac.com/cms/upload/Publication_Press/Recommendations/Recommendation_28.pdf (accessed on 23 March 2021).
- Ambrosewicz-Walacik, M.; Wierzbick, S.; Mikulski, M.; Podciborski, T. Ternary fuel mixture of diesel, rapeseed oil and tyre pyrolytic oil suitable for modern CRDI engines. Transportation 2018, 33, 727–740. [Google Scholar] [CrossRef]
- Lebedevas, S.; Raslavičius, L. Prognostic assessment of the performance parameters for the industrial diesel engines operated with microalgae oil. Sustainability 2021, 13, 6482. [Google Scholar] [CrossRef]







| Oilseed Crops/Fossil Fuel | Soybean | Rapeseed | Microalgae Oil | Diesel Fuel |
|---|---|---|---|---|
| Life cycle GHG emissions | 49 | 37 | −183 | 93 |
| Demand for water use | High | High | Average | N/A |
| Demand for fertilizer use | Low-average | Average | Low | N/A |
| Demand for pesticide use | Average | Average | Low | N/A |
| Energy consumption | Low-average | Low-average | High | N/A |
| TRL (according to EU policy) | TRL 9—Competitive manufacturing in the case of key enabling technologies. Land use competition between foods and biofuels | TRL 9—Competitive manufacturing in the case of key enabling technologies. Land use competition between foods and biofuels | TRL 7—System prototype demonstration in an operational environment. There is potential for huge production volumes | TRL 9 |
| Parameter | Diesel Fuel | Microalgae Oil |
|---|---|---|
| Fatty acid composition | – | Saturated: Lauric 12:0, Myristic 14:0, Palmitic 16:0, Stearic 18:0. Unsaturated: Palmitoleic 16:1, Oleic 18:1, Linoleic 18:2, Linolenic 18:3 |
| Density (at 15 °C), kg/m3 | 834.5 | 915.8 |
| LHV, MJ/kg | 42.80 | 36.91 |
| HHV, MJ/kg | 44.80 | 39.62 |
| Cetane number | 52.4 | 53.2 |
| Parameter | Type or value |
|---|---|
| Model | 1Z |
| Total displacement | 1896 cm3 |
| SAC-hole nozzles | 5 × 0.19 × 150° |
| Compression ratio | 19.5:1 |
| No. of cylinders | 4 |
| Firing order | 1–3–4–2 |
| No. of strokes | 4 |
| Type of injection | Direct |
| Bore/stroke | 79.5 mm/95.5 mm |
| Maximum power at 4000 rpm | 66 kW |
| Parameter | Uncertainty |
|---|---|
| Brake load (KI-5543) | ±1.23 Nm |
| CO2 (AVL DiCom 4000) | 0.1% vol. |
| HC (AVL DiCom 4000) | 1 ppm |
| NOx (AVL DiCom 4000) | 1 ppm |
| O2 (AVL DiCom 4000) | 0.01% vol. |
| Smoke absorption (AVL DiCom 465) | 0.01 m−1 |
| Fuel delivery time (VWR 61161-326) | 0.001% |
| Test fuel weight (SK-5000) | ±0.5 g |
| Exhaust gas temperature (K-type thermocouple) | ±0.5% |
| In-cylinder pressure (AVL GH13P) | ±0.3% |
Publisher’s Note: MDPI stays neutral with regard to jurisdictional claims in published maps and institutional affiliations. |
© 2021 by the authors. Licensee MDPI, Basel, Switzerland. This article is an open access article distributed under the terms and conditions of the Creative Commons Attribution (CC BY) license (https://creativecommons.org/licenses/by/4.0/).
Share and Cite
Felneris, M.; Raslavičius, L.; Pukalskas, S.; Rimkus, A. Assessment of Microalgae Oil as a Carbon-Neutral Transport Fuel: Engine Performance, Energy Balance Changes, and Exhaust Gas Emissions. Sustainability 2021, 13, 7878. https://doi.org/10.3390/su13147878
Felneris M, Raslavičius L, Pukalskas S, Rimkus A. Assessment of Microalgae Oil as a Carbon-Neutral Transport Fuel: Engine Performance, Energy Balance Changes, and Exhaust Gas Emissions. Sustainability. 2021; 13(14):7878. https://doi.org/10.3390/su13147878
Chicago/Turabian StyleFelneris, Mantas, Laurencas Raslavičius, Saugirdas Pukalskas, and Alfredas Rimkus. 2021. "Assessment of Microalgae Oil as a Carbon-Neutral Transport Fuel: Engine Performance, Energy Balance Changes, and Exhaust Gas Emissions" Sustainability 13, no. 14: 7878. https://doi.org/10.3390/su13147878
APA StyleFelneris, M., Raslavičius, L., Pukalskas, S., & Rimkus, A. (2021). Assessment of Microalgae Oil as a Carbon-Neutral Transport Fuel: Engine Performance, Energy Balance Changes, and Exhaust Gas Emissions. Sustainability, 13(14), 7878. https://doi.org/10.3390/su13147878

